Dynamic Compressive Mechanical Properties of Polyvinyl Alcohol Fiber-Reinforced Geopolymer Composites
Abstract
1. Introduction
2. Materials and Methods
2.1. Material and Specimen Preparation
2.2. Orthogonal Test Design
2.3. SHPB Test Principles
2.4. Test Setup
3. Experimental Results
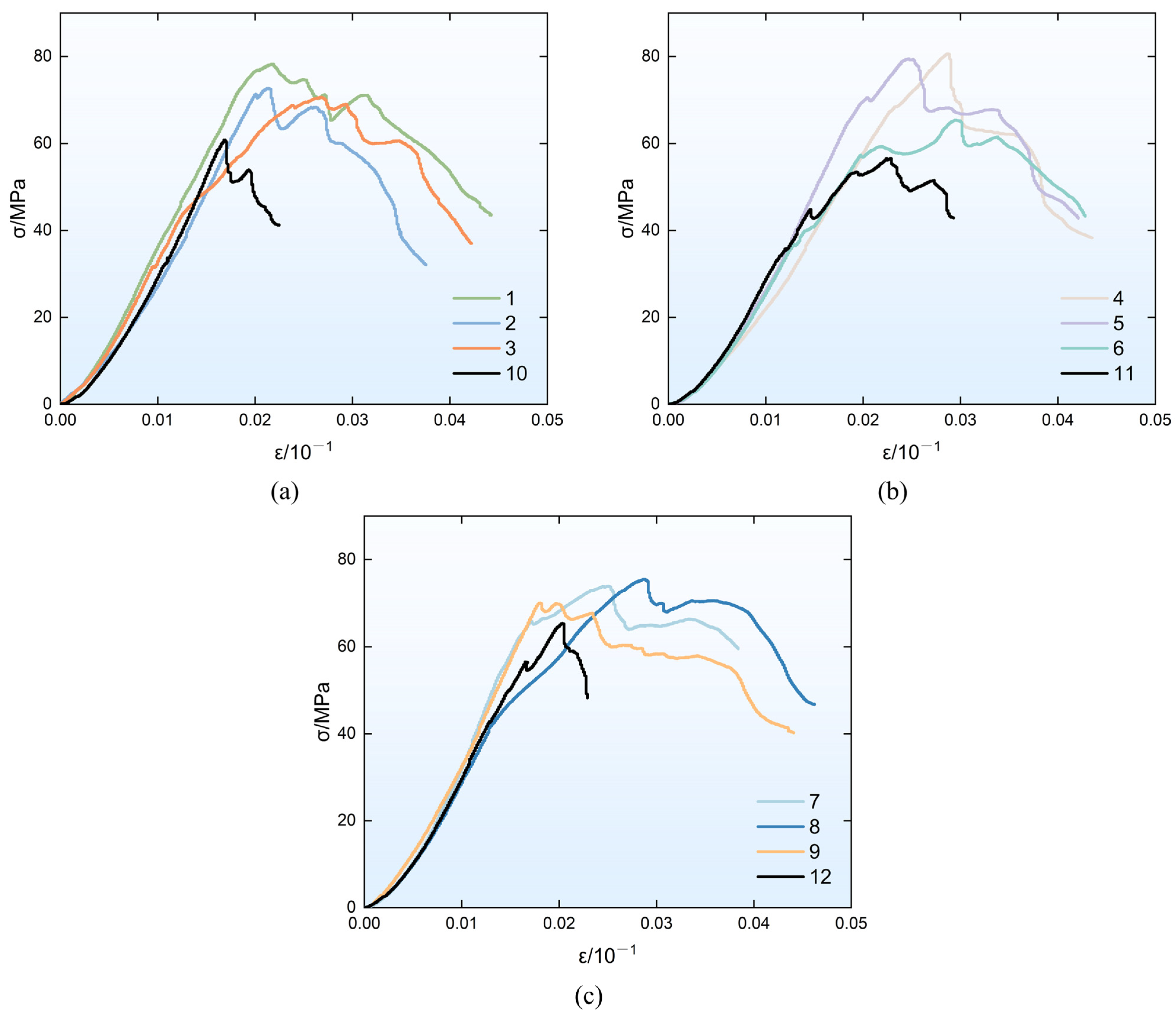
3.1. Quasi-Static Test Results
3.2. Damage Morphology
3.3. Analysis of Experimental Results Regarding Dynamic Compressive Strength
3.4. Analysis of Experimental Results Regarding Energy Absorption Capacity
4. Discussion
5. Conclusions
- (1)
- Dynamic compressive strength and optimal mix proportion: The matrix precursor proportion (fly ash/slag ratio), fiber length, and fiber volume fraction all have significant effects on the dynamic compressive strength of PVA-FRGC (F statistic > critical F value at α = 0.05). With an increase in the loading strain rate, the contribution rate of the fly ash/slag ratio to the dynamic compressive strength decreases from 37.75% to 9.7%, while that of the fiber volume fraction increases from 20.68% to 58.15%. The local optimal mix proportion is determined as a fly ash/slag ratio of 5:5, fiber length of 9 mm, and fiber volume content of 2.0%; under the three different impact load levels, the dynamic compressive strength of specimens with these proportions is 157.52 MPa, 183.26 MPa, and 210.68 MPa, respectively. The optimal performance is mainly attributed to the better bridging effect between the fiber length and volume content and the matrix during the crack propagation process. At the same time, the material exhibits obvious strain rate sensitivity under all dynamic loading levels.
- (2)
- Energy absorption capacity and fragmentation degree: The fly-ash-to-slag ratio, fiber length, and fiber volume content all significantly affect the energy absorption capacity of PVA-FRGC under dynamic impact loading, among which the fiber length exerts the most prominent influence. Notably, fiber incorporation does not significantly improve the energy absorption capacity of the material at the same strain rate level. However, for specimens with comparable energy absorption capacities, fiber reinforcement significantly reduces the fragmentation degree of the composite compared with plain geopolymer matrices: the average fragment particle size increases by 241.43%, 245.04%, and 127.80% under different loading levels, which confirms the effective crack inhibition effect of fibers.
- (3)
- Failure mode and microscopic mechanism: Under dynamic compressive impact loads, the cracks of PVA-FRGC propagate along the generatrices of cylindrical specimens and peel off sequentially from the surface to the center, eventually forming fragments with a core-like structure. The addition of fibers significantly improves the integrity of the material after failure. Scanning electron microscopy (SEM) observations show that the material exhibits fiber debonding, sliding, and fracture mechanisms under dynamic loading, which are similar to those under static loading conditions, further verifying the stable reinforcing mechanism of PVA fibers in the geopolymer matrix.
Author Contributions
Funding
Data Availability Statement
Conflicts of Interest
References
- Yu, Y.F.; Hou, C. An anisotropic multi-phase field model for damage of fiber reinforced composites. Compos. Sci. Technol. 2025, 270, 111288. [Google Scholar] [CrossRef]
- Wang, T.; Fan, X.Q.; Gao, C.S. Flexural properties of fiber reinforced geopolymer composites: Experimental investigation and toughness evaluation. J. Sustain. Cem.-Based Mater. 2025, 14, 1536–1548. [Google Scholar] [CrossRef]
- Fakoor, M.; Ghodsi, S.; Izadi, S.M.H.; Daneshjoo, Z. Exploring fracture toughness in the damage zone of fiber-reinforced composites: A study on crack orientation effects. Arab. J. Sci. Eng. 2025, 50, 10272. [Google Scholar] [CrossRef]
- Zhang, P.; Wen, Z.; Han, X.; Guo, J.J.; Hu, S.W. A state-of-the-art review on frost resistance of fiber-reinforced geopolymer composites. Sustain. Chem. Pharm. 2025, 45, 102006. [Google Scholar] [CrossRef]
- Goncalves, P.T.; Arteiro, A.; Rocha, N.; Otero, F. Coupled longitudinal and transverse damage modeling of fiber-reinforced polymers using a smeared crack approach. Int. J. Solids Struct. 2025, 311, 113252. [Google Scholar] [CrossRef]
- Yuan, Z.; Jia, Y.M.; Xie, X.B.; Xu, J.M. Study on the macroscopic properties and microstructure of high fly ash content alkali-activated fly ash slag concrete cured at room temperature. Materials 2025, 18, 547. [Google Scholar] [CrossRef]
- Jin, Z.; Gong, A.M.; Huang, Y.E.; Peng, Y.L.; Yong, K.; Shao, S.Q. Hydration product phase evolution and mortar strength development in alkali-activated slag and fly ash systems. PLoS ONE 2025, 20, e0338119. [Google Scholar] [CrossRef]
- Masoud, L.; Hammoud, A.; Mortada, Y.; Masad, E. Rheological, mechanical, and microscopic properties of polypropylene fiber reinforced-geopolymer concrete for additive manufacturing. Constr. Build. Mater. 2024, 438, 137069. [Google Scholar] [CrossRef]
- Wang, C.Q.; Guo, J.; Cao, L.Y.; Zhang, Y.C.; Li, C.X.; Ma, Z.M. Mechanical behavior and fiber reinforcing mechanism of high-toughness recycled aggregate concrete under high strain-rate impact loads. Constr. Build. Mater. 2024, 437, 136960. [Google Scholar] [CrossRef]
- Raza, A.; Ahmed, B.; El Ouni, M.H.; Chen, W.S. Mechanical, durability and microstructural characterization of cost-effective polyethylene fiber-reinforced geopolymer concrete. Constr. Build. Mater. 2024, 432, 136661. [Google Scholar] [CrossRef]
- Nukah, P.D.; Abbey, S.J.; Booth, C.A.; Oti, J. Development of low carbon concrete and prospective of geopolymer concrete using lightweight coarse aggregate and cement replacement materials. Constr. Build. Mater. 2024, 428, 136295. [Google Scholar] [CrossRef]
- Belabbas, O.; Bouziadi, F.; Boulekbache, B.; Hamrat, M.; Haddi, A.; Amziane, S. Mechanical properties of multi-recycled coarse aggregate concrete, with particular emphasis on experimental and numerical assessment of shrinkage at different curing temperatures. J. Build. Eng. 2024, 89, 109333. [Google Scholar] [CrossRef]
- Mehta, V. Sustainable approaches in concrete production: An in-depth review of waste foundry sand utilization and environmental considerations. Environ. Sci. Pollut. Res. 2024, 31, 23435–23461. [Google Scholar] [CrossRef]
- Li, V.C.; Leung, C.K.Y. Steady-state and multiple cracking of short random fiber composites. J. Eng. Mech. 1992, 118, 2246–2264. [Google Scholar] [CrossRef]
- Lăzărescu, A.V.; Hegyi, A.; Csapai, A.; Popa, F. The influence of different aggregates on the physico-mechanical performance of alkali-activated geopolymer composites produced using Romanian fly ash. Materials 2024, 17, 485. [Google Scholar] [CrossRef]
- Furtos, G.; Prodan, D.; Sarosi, C.; Moldovan, M.; Korniejenko, K.; Miller, L.; Iveta, N. Mechanical properties of MiniBars™ basalt fiber-reinforced geopolymer composites. Materials 2024, 17, 248. [Google Scholar] [CrossRef]
- Deluan, F.; Jie, W.; Yuxin, W.; Xueli, X.; Wenjuan, H.; Shihua, L. Alkali-activated geopolymer materials prepared from coal gangue and municipal solid waste incineration byproducts. J. Build. Eng. 2023, 80, 108074. [Google Scholar] [CrossRef]
- Tambichik, M.A.; Samad, A.A.A.; Mohamad, N.; Bosro, M.Z.M.; Iman, M.A. Combining pozzolanic material as ternary binder in recycled aggregate concrete (RAC) to develop a new sustainable concrete. IOP Conf. Ser. Mater. Sci. Eng. 2020, 713, 012013. [Google Scholar] [CrossRef]
- Davidovits, J. Geopolymers and geopolymeric materials. J. Therm. Anal. 1989, 35, 429–441. [Google Scholar] [CrossRef]
- Liu, Z.; Cheng, G.D.; Huang, T.Y. Study on the performance of fly ash-slag based geopolymer mortar. Bull. Chin. Ceram. Soc. 2019, 38, 1883–1888. [Google Scholar]
- Cheng, G.D.; Huang, T.Y.; Liu, Z. Study on the performance of fly ash-slag based polymer mortar. New Build. Mater. 2020, 47, 50–53. [Google Scholar]
- Cheng, G.D.; Huang, T.Y.; Liu, Z. Study on the influence of different water-reducing agents on the properties of geopolymer mortar. Concrete 2020, 6, 109–112. [Google Scholar]
- Ohno, M.; Li, V.C. A feasibility study of strain hardening fiber reinforced fly ash-based geopolymer composites. Constr. Build. Mater. 2014, 57, 163–168. [Google Scholar] [CrossRef]
- Ohno, M.; Li, V.C. An integrated design method of engineered geopolymer composite. Cem. Concr. Compos. 2018, 88, 73–85. [Google Scholar] [CrossRef]
- Wang, Y.; Chan, C.L.; Leong, S.H.; Zhang, M.Z. Engineering properties of strain hardening geopolymer composites with hybrid polyvinyl alcohol and recycled steel fibres. Constr. Build. Mater. 2020, 261, 120585. [Google Scholar] [CrossRef]
- Feng, S.; Zhou, Y.; Li, Q.M. Damage behavior and energy absorption characteristics of foamed concrete under dynamic load. Constr. Build. Mater. 2022, 357, 129340. [Google Scholar] [CrossRef]
- Lin, J.-X.; Song, Y.; Xie, Z.-H. Static and dynamic mechanical behavior of engineered cementitious composites with PP and PVA fibers. J. Build. Eng. 2020, 29, 101153. [Google Scholar] [CrossRef]
- Khan, M.Z.N.; Hao, Y.F.; Hao, H.; Shaikh, F.U.A. Mechanical properties and behaviour of high-strength plain and hybrid-fiber reinforced geopolymer composites under dynamic splitting tension. Cem. Concr. Compos. 2019, 104, 103343. [Google Scholar] [CrossRef]
- Doner, S.; Nayak, S.; Senol, K.; Shukla, A.; Krishnan, N.M.A.; Yilmazcoban, I.K.; Das, S. Dynamic compressive behavior of metallic particulate-reinforced cementitious composites: SHPB experiments and numerical simulations. Constr. Build. Mater. 2019, 227, 116668. [Google Scholar] [CrossRef]
- Khan, M.Z.N.; Hao, Y.F.; Hao, H.; Shaikh, F.U.A. Experimental evaluation of quasi-static and dynamic compressive properties of ambient-cured high-strength plain and fiber reinforced geopolymer composites. Constr. Build. Mater. 2018, 166, 482–499. [Google Scholar] [CrossRef]
- Su, J.H.; Mao, J.Z.; Zhou, B.K.; Zhang, W.; Wang, L.M.; Mu, C.M. Dynamic compressive mechanical properties of fibre-reinforced geopolymer concrete. Case Stud. Constr. Mater. 2025, 22, e04268. [Google Scholar] [CrossRef]
- Ling, Y.; Zhang, X.F.; Zou, W.Y.; Feng, C.; Lai, H.M.; Yang, J.L.; Xie, B.X. Axial impact resistance of high-strength engineering geopolymer composites: Effect of polyethylene fiber content and strain rate. Buildings 2024, 14, 1438. [Google Scholar] [CrossRef]
- Kan, X.; Xue, P.; Jia, M.; Zhang, Y. Study on the Properties of Polyvinyl Alcohol Modified Geopolymer Composites. Multipurp. Util. Miner. Resour. 2018, 3, 125–128. [Google Scholar] [CrossRef]
- Wang, Y.; Zhong, H.; Zhang, M. Experimental Study on Static and Dynamic Properties of Fly Ash-Slag Based Strain Hardening Geopolymer Composites. Cem. Concr. Compos. 2022, 129, 104481. [Google Scholar] [CrossRef]
- Zhang, S.; Liu, J.; Duan, S.; Du, L.; Zhang, Z.; Zhang, M.; Jiang, D.; Wu, X. Investigation into the Strength and Toughness of Polyvinyl Alcohol Fiber-Reinforced Fly Ash-Based Geopolymer Composites. J. Build. Eng. 2024, 90, 109371. [Google Scholar] [CrossRef]
- Li, Z.; Sheikh, M.N.; Feng, H.; Hadi, M.N.S. Mechanical Properties of Ambient Cured Fly Ash-slag-based Engineered Geopolymer Composites with Different Types of Fibers. Struct. Concr. 2023, 24, 2363–2383. [Google Scholar] [CrossRef]
- Assaedi, H.S.; Olawale, M.D. Impact of Nano-Alumina on the Mechanical Characterization of PVA Fibre-Reinforced Geopolymer Composites. J. Taibah Univ. Sci. 2022, 16, 828–835. [Google Scholar] [CrossRef]
- Shi, H.; Zang, Q.; Wang, Y.; Qian, H.; Zong, Z.; Cai, J.; Li, M.; Lin, Y. Comparative Study on Dynamic Compressive Properties and Sustainability Assessment of One-Part Fiber-Reinforced Geopolymer Composites. Case Stud. Constr. Mater. 2025, 22, e04503. [Google Scholar] [CrossRef]
- Alrefaei, Y.; Rahal, K.; Maalej, M. Shear strength of beams made using hybrid fiber–engineered cementitious composites. J. Struct. Eng. 2017, 144, 04017177. [Google Scholar] [CrossRef]
- Alamian, M.; Asadollahi, S.; Dehestani, M. Optimum mechanical properties of repair mortar containing hybrid fibers using the Taguchi method and analysis of variance. J. Build. Eng. 2024, 98, 111049. [Google Scholar] [CrossRef]
- Imam, A.; Banchhor, S.; Mishra, U.; Murmu, M.; Deo, S.V.; Meshram, K.; Vijay, K. Evaluating the durability parameters and bibliometric trends of alkali-activated concrete containing fly-ash and GGBS. Innov. Infrastruct. Solut. 2026, 11, 95. [Google Scholar] [CrossRef]
- Deng, Z.; Yang, Z.; Bian, J.; Lin, J.; Long, Z.; Hong, G.; Yang, Z.; Ye, Y. Advantages and disadvantages of PVA-fibre-reinforced slag- and fly ash-blended geopolymer composites: Engineering properties and microstructure. Constr. Build. Mater. 2022, 349, 128690. [Google Scholar] [CrossRef]
- Lu, S.; Yang, C.; Guan, X. Compressive behavior and microstructural analysis of fiber-reinforced geopolymer cemented aeolian sand composite. Constr. Build. Mater. 2025, 501, 144413. [Google Scholar] [CrossRef]
- Bheel, N.; Mohammed, B.S.; Ahmed Ali, M.O.; Shafiq, N.; Mohamed Tag-eldin, E.; Ahmad, M. Effect of polyvinyl alcohol fiber on the mechanical properties and embodied carbon of engineered cementitious composites. Results Eng. 2023, 20, 101458. [Google Scholar] [CrossRef]
- Xiong, B.B.; Demartino, C.; Xiao, Y. High-strain rate compressive behavior of CFRP confined concrete: Large diameter SHPB tests. Constr. Build. Mater. 2019, 201, 484–501. [Google Scholar] [CrossRef]
- Wu, W.; Chen, X.; Kang, S.; Zeng, H.; Wang, X.; Xiao, H.; Yan, H. Crack resistance and toughening mechanisms of dopamine-modified PVA fiber-reinforced cement-based composites. J. Build. Eng. 2026, 120, 115355. [Google Scholar] [CrossRef]
- Sun, W.; Lin, P.; Zheng, Y.; Zhou, L.; Zhang, L.; Sun, L.; Wang, D. Bond behaviour of GFRP bars embedded in PVA fibre-reinforced seawater sea-sand cementitious composite (PVA-SSCC) up to 180 days. Constr. Build. Mater. 2025, 505, 144722. [Google Scholar] [CrossRef]
- Bu, J.Q.; Liu, Q.; Zhang, L.W.; Li, S.J.; Zhang, L.P. Dynamic compressive behavior and fracture mechanisms of binary mineral admixture-modified concrete. Materials 2025, 18, 2883. [Google Scholar] [CrossRef]
- Liu, L.; Cai, Y.; Chen, X.; Liang, J.; Xu, Z. Study on high temperature dynamic characteristics and mesoscopic simulation of HFRC under dynamic and static combined loading. Structures 2024, 60, 105824. [Google Scholar] [CrossRef]
- Xu, Y.; Ge, J.; Huang, W. Energy Analysis on Dynamic Fragmentation Degree of Cemented Sand Specimens under Confining Pressure. Shock. Vib. 2019, 2019, 5893957. [Google Scholar] [CrossRef]
- Gong, F.; Jia, H.; Zhang, Z.; Hu, J.; Luo, S. Energy Dissipation and Particle Size Distribution of Granite under Different Incident Energies in SHPB Compression Tests. Shock. Vib. 2020, 2020, 8899355. [Google Scholar] [CrossRef]
- Zhang, S.; Duque-Redondo, E.; Kostiuchenko, A.; Dolado, J.S.; Ye, G. Molecular Dynamics and Experimental Study on the Adhesion Mechanism of Polyvinyl Alcohol (PVA) Fiber in Alkali-Activated Slag/Fly Ash. Cem. Concr. Res. 2021, 145, 106452. [Google Scholar] [CrossRef]
- Ge, X.; Hu, X.; Li, H.; Shi, C. Synergistic Effect of Characteristics of Raw Materials on Controlling the Mechanical Properties of Fly Ash-Based Geopolymers. Cem. Concr. Compos. 2024, 145, 105368. [Google Scholar] [CrossRef]
- Zhang, S.; Li, Z.; Ghiassi, B.; Yin, S.; Ye, G. Fracture Properties and Microstructure Formation of Hardened Alkali-Activated Slag/Fly Ash Pastes. Cem. Concr. Res. 2021, 144, 106447. [Google Scholar] [CrossRef]
- Javed, U.; Shaikh, F.U.A.; Sarker, P.K. A Comprehensive Micro-Nano Investigative Approach to Study the Development of Aluminosilicate Gel in Binary Blends of Lithium Slag Geopolymer. Cem. Concr. Compos. 2024, 145, 105338. [Google Scholar] [CrossRef]
- Cai, Y.; Fang, Z.; Guo, R.Q.; Kuang, D.M.; He, J. The compressive behavior of PVA fiber reinforced coral aggregate concrete under high-strain rate loading. Constr. Build. Mater. 2025, 497, 143843. [Google Scholar] [CrossRef]
- Wang, Z.C.; Li, L.; Wu, J.; Du, X.L.; Wang, H.W.; Du, G. Experimental investigation of static and dynamic compressive behavior of carbon fiber reinforced concrete at elevated temperatures. Eng. Fract. Mech. 2025, 324, 111275. [Google Scholar] [CrossRef]
- Zhang, N.; Qian, X.G.; Zhang, Q.; Zhou, G.M.; Xuan, S.Y.; Wang, X.P.; Cai, D.A. On strain rate effect and high-velocity impact behavior of carbon fiber reinforced laminated composites. Thin-Walled Struct. 2024, 194, 111328. [Google Scholar] [CrossRef]
- Yang, X.; Dong, J.; Yang, J.; Han, X. Similar material proportioning tests and mechanical properties based on orthogonal design. Materials 2023, 16, 6439. [Google Scholar] [CrossRef] [PubMed]
- Trindade, A.C.C.; Heravi, A.A.; Curosu, I.; Liebscher, M.; de Andrade Silva, F.; Mechtcherine, V. Tensile behavior of strain-hardening geopolymer composites (SHGC) under impact loading. Cem. Concr. Compos. 2020, 113, 103743. [Google Scholar] [CrossRef]
- Zahid, M.; Khan, M.I.; Shafiq, N.; Abbas, Y.M.; Khatib, J.M. Achieving superior mechanical performance in one-part geopolymer composites through innovative hybrid fiber systems of recycled steel and PVA fibers. J. Mater. Res. Technol. 2024, 32, 1772–1787. [Google Scholar] [CrossRef]
- Zhong, H.; Wang, Y.; Zhang, M.Z. Quasi-static and dynamic mechanical properties of engineered geopolymer composites with hybrid PVA and recycled steel fibres. J. Adv. Concr. Technol. 2023, 21, 405–420. [Google Scholar] [CrossRef]













| Test Group | Fly-Ash-to-Slag Ratio | Fiber Length/mm | Fiber Volume Content/% |
|---|---|---|---|
| 1 | 7:3 | 6 | 1.0 |
| 2 | 7:3 | 9 | 1.4 |
| 3 | 7:3 | 12 | 2.0 |
| 4 | 5:5 | 6 | 1.4 |
| 5 | 5:5 | 9 | 2.0 |
| 6 | 5:5 | 12 | 1.0 |
| 7 | 4:6 | 6 | 2.0 |
| 8 | 4:6 | 9 | 1.0 |
| 9 | 4:6 | 12 | 1.4 |
| 10 | 7:3 | / | / |
| 11 | 5:5 | / | / |
| 12 | 4:6 | / | / |
| Test Group | Ash/Slag Ratio | Fiber Length/mm | Fiber Volume Content/% | Quasi-Static Compressive Strength/MPa | Dynamic Compressive Strength/MPa | Absorbed Energy/J | ||||
|---|---|---|---|---|---|---|---|---|---|---|
| 0.3 MPa | 0.4 MPa | 0.5 MPa | 0.3 MPa | 0.4 MPa | 0.5 MPa | |||||
| 1 | 1 | 1 | 1 | 78.23 | 115.14 | 121.65 | 134.57 | 70.04 | 82.15 | 108.37 |
| 2 | 1 | 2 | 2 | 72.70 | 136.37 | 158.22 | 178.84 | 40.25 | 47.21 | 62.34 |
| 3 | 1 | 3 | 3 | 70.64 | 119.06 | 142.85 | 170.41 | 44.34 | 55.47 | 73.25 |
| 4 | 2 | 1 | 2 | 80.64 | 144.53 | 170.13 | 173.20 | 71.38 | 83.16 | 109.80 |
| 5 | 2 | 2 | 3 | 79.46 | 157.52 | 183.26 | 210.68 | 51.68 | 58.76 | 77.53 |
| 6 | 2 | 3 | 1 | 65.39 | 126.90 | 140.12 | 146.98 | 60.81 | 74.55 | 98.38 |
| 7 | 3 | 1 | 3 | 73.93 | 141.59 | 156.05 | 190.10 | 61.39 | 77.97 | 102.98 |
| 8 | 3 | 2 | 1 | 75.44 | 133.26 | 146.72 | 170.65 | 52.13 | 58.65 | 77.43 |
| 9 | 3 | 3 | 2 | 70.04 | 123.31 | 140.44 | 160.33 | 43.80 | 51.59 | 68.01 |
| 10 | 1 | / | / | 60.82 | 122.00 | 120.04 | 146.49 | 39.89 | 49.42 | 63.38 |
| 11 | 2 | / | / | 56.59 | 105.34 | 108.03 | 127.63 | 37.47 | 53.1 | 56.6 |
| 12 | 3 | / | / | 65.36 | 112.93 | 144.04 | 163.64 | 41.56 | 55.88 | 61.58 |
| Parameter | Compressive Strength (MPa) | Absorbed Energy (J) | ||||
|---|---|---|---|---|---|---|
| Ash/Slag Ratio | Fiber Length | Fiber Volume Content | Ash/Slag Ratio | Fiber Length | Fiber Volume Content | |
| K1 | 370.56 | 401.25 | 375.3 | 154.62 | 202.8 | 182.97 |
| K2 | 428.94 | 427.14 | 404.22 | 183.87 | 144.06 | 155.43 |
| K3 | 398.16 | 369.27 | 418.17 | 157.32 | 148.95 | 157.41 |
| F | 35.56 | 35.05 | 19.93 | 35.52 | 144.54 | 32.13 |
| Contribution | 37.75% | 37.19% | 20.68% | 16.20% | 67.34% | 14.60% |
| Sequence | A > B > C | B > A > C | ||||
| Optimal Scheme | A2 | B2 | C3 | A2 | B1 | C1 |
| Parameter | Compressive Strength (MPa) | Absorbed Energy (J) | ||||
|---|---|---|---|---|---|---|
| Ash/Slag Ratio | Fiber Length | Fiber Volume Content | Ash/Slag Ratio | Fiber Length | Fiber Volume Content | |
| K1 | 422.73 | 447.84 | 408.48 | 184.83 | 243.27 | 215.37 |
| K2 | 493.5 | 488.19 | 468.78 | 216.48 | 164.61 | 181.95 |
| K3 | 443.22 | 423.42 | 482.16 | 188.22 | 181.62 | 192.18 |
| F | 25.20 | 20.33 | 29.25 | 22.32 | 126.70 | 21.65 |
| Contribution | 31.91% | 25.51% | 37.28% | 12.42% | 73.22% | 12.02% |
| Sequence | C > A > B | B > A > C | ||||
| Optimal Scheme | A2 | B2 | C3 | A2 | B1 | C1 |
| Parameter | Compressive Strength (MPa) | Absorbed Energy (J) | ||||
|---|---|---|---|---|---|---|
| Ash/Slag Ratio | Fiber Length | Fiber Volume Content | Ash/Slag Ratio | Fiber Length | Fiber Volume Content | |
| K1 | 483.81 | 497.88 | 452.19 | 243.96 | 321.15 | 284.19 |
| K2 | 530.85 | 560.16 | 512.37 | 285.72 | 217.29 | 240.15 |
| K3 | 521.07 | 477.72 | 571.17 | 248.4 | 239.64 | 253.77 |
| F | 19.96 | 59.86 | 114.69 | 21.12 | 120.05 | 20.42 |
| Contribution | 9.70% | 30.11% | 58.15% | 12.37% | 73.22% | 11.94% |
| Sequence | C > B > A | B > A > C | ||||
| Optimal Scheme | A2 | B2 | C3 | A2 | B1 | C1 |
Disclaimer/Publisher’s Note: The statements, opinions and data contained in all publications are solely those of the individual author(s) and contributor(s) and not of MDPI and/or the editor(s). MDPI and/or the editor(s) disclaim responsibility for any injury to people or property resulting from any ideas, methods, instructions or products referred to in the content. |
© 2026 by the authors. Licensee MDPI, Basel, Switzerland. This article is an open access article distributed under the terms and conditions of the Creative Commons Attribution (CC BY) license.
Share and Cite
Li, M.; Liu, Q.; Tan, Y.; Dai, F.; Wang, S. Dynamic Compressive Mechanical Properties of Polyvinyl Alcohol Fiber-Reinforced Geopolymer Composites. Materials 2026, 19, 1128. https://doi.org/10.3390/ma19061128
Li M, Liu Q, Tan Y, Dai F, Wang S. Dynamic Compressive Mechanical Properties of Polyvinyl Alcohol Fiber-Reinforced Geopolymer Composites. Materials. 2026; 19(6):1128. https://doi.org/10.3390/ma19061128
Chicago/Turabian StyleLi, Mingyang, Qi Liu, Yizhong Tan, Fanfei Dai, and Shenghui Wang. 2026. "Dynamic Compressive Mechanical Properties of Polyvinyl Alcohol Fiber-Reinforced Geopolymer Composites" Materials 19, no. 6: 1128. https://doi.org/10.3390/ma19061128
APA StyleLi, M., Liu, Q., Tan, Y., Dai, F., & Wang, S. (2026). Dynamic Compressive Mechanical Properties of Polyvinyl Alcohol Fiber-Reinforced Geopolymer Composites. Materials, 19(6), 1128. https://doi.org/10.3390/ma19061128
