Sequential Leaching and Mineralogical Controls of Rare Earth Elements and Yttrium Occurrence in Bituminous Coal from Upper Silesian Coal Basin (Poland)
Abstract
1. Introduction
2. Materials and Methods
3. Results
3.1. Petrographic Composition of Coal
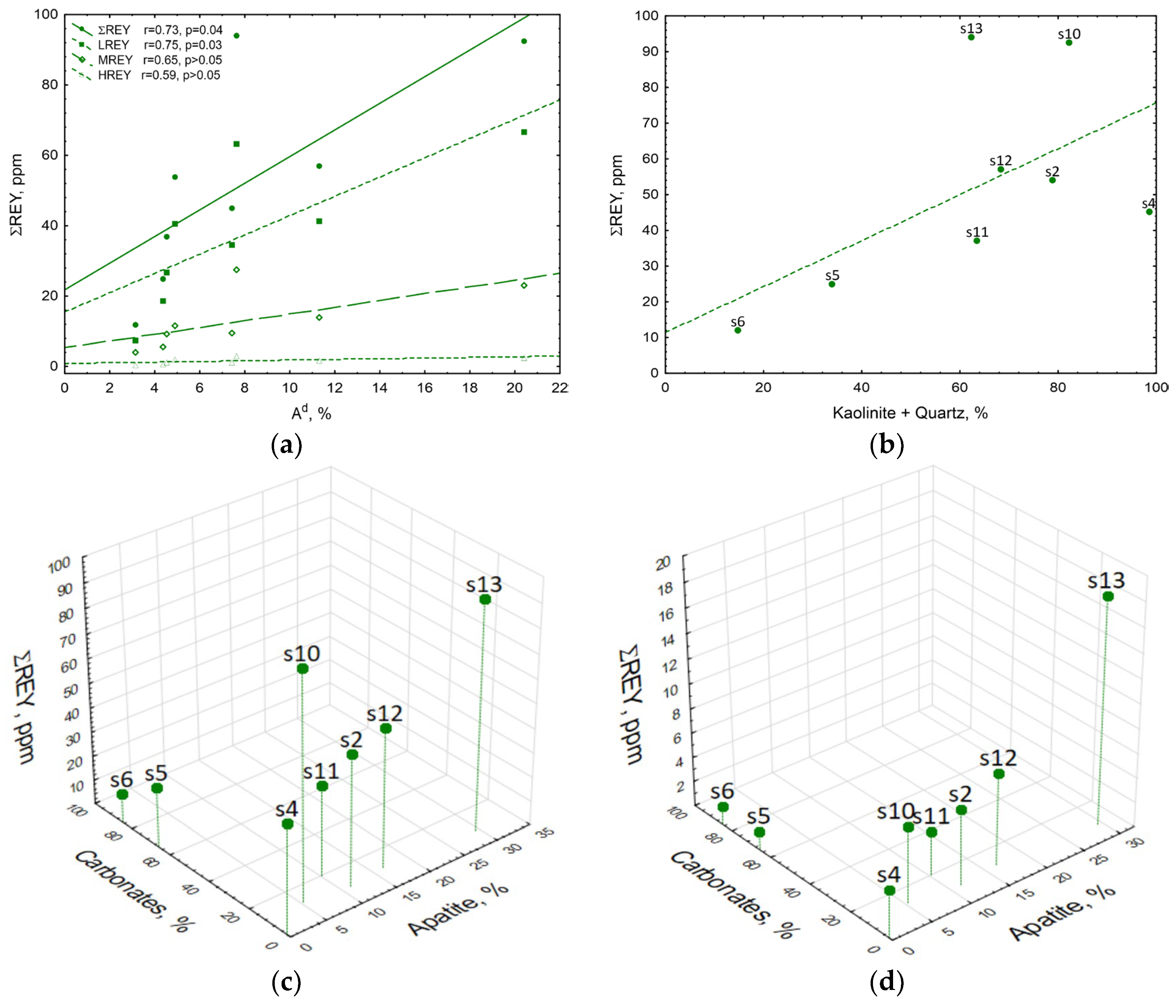
3.2. Mineral Matter in Coal
3.3. Concentration of REY in Sequential Coal Leaching Solutions
3.4. REY Anomalies in Coal
3.5. Main Types of REY Distribution Patterns
3.6. Assessment of the Suitability of Coal as a Potential Alternative REY Source
4. Summary of Test Results
5. Conclusions
Author Contributions
Funding
Institutional Review Board Statement
Informed Consent Statement
Data Availability Statement
Conflicts of Interest
References
- Hower, J.C.; Granite, E.J.; Mayfield, D.B.; Lewis, A.S.; Finkelman, R.B. Notes on contributions to the science of rare earth element enrichment in coal and coal combustion byproducts. Minerals 2016, 6, 32. [Google Scholar] [CrossRef]
- Dai, S.; Finkelman, R.B. Coal as a promising source of critical elements: Progress and future prospects. Int. J. Coal Geol. 2018, 186, 155–164. [Google Scholar] [CrossRef]
- Salem, M.; Souissi, R.; Souissi, F.; Abbes, N.; Moutte, J. Phosphoric acid purification sludge: Potential in heavy metals and rare earth elements. Waste Manag. 2019, 83, 46–56. [Google Scholar] [CrossRef]
- Seredin, V.V.; Dai, S. Coal deposits as a potential alternative source for lanthanides and yttrium. Int. J. Coal Geol. 2012, 94, 67–93. [Google Scholar] [CrossRef]
- Dai, S.; Graham, I.T.; Ward, C.R. A review of anomalous rare earth elements and yttrium in coal. Int. J. Coal Geol. 2016, 159, 82–95. [Google Scholar] [CrossRef]
- Zhang, W.; Yang, X.; Honaker, R.Q. Association characteristic study and preliminary recovery investigation of rare earth elements from Fire Clay seam coal middlings. Fuel 2018, 215, 551–560. [Google Scholar] [CrossRef]
- Alonso, E.; Sherman, A.M.; Wallington, T.J.; Everson, M.P.; Field, F.R.; Roth, R.; Kirchain, R.E. Evaluating rare earth element availability: A case with revolutionary demand from clean technologies. Environ. Sci. Technol. 2012, 46, 3406–3414. [Google Scholar] [CrossRef] [PubMed]
- Deetman, S.; Pauliuk, S.; van Vuuren, D.P.; van der Voet, E.; Tukker, A. Scenarios for Demand Growth of Metals in Electricity Generation Technologies, Cars, and Electronic Appliances. Environ. Sci. Technol. 2018, 52, 4950–4959. [Google Scholar] [CrossRef] [PubMed]
- European Parliament and Council. Regulation (EU) 2019/631 of 17 April 2019 Setting CO2 Emission Performance Standards for New Passenger Cars and for New Light Commercial Vehicles, and Repealing Regulations (EC) No 443/2009 and (EU) No 510/2011 (Recast). Off. J. Eur. Union 2019, L 111, 13–53. Available online: https://climate-laws.org/document/regulation-eu-2019-631-setting-co2-emission-performance-standards-for-new-passenger-cars-and-for-new-light-commercial-vehicles_a8fb (accessed on 9 February 2026).
- Samardžija, Z.; McGuiness, P.; Soderžnik, M.; Kobe, S.; Sagawa, M. Microstructural and compositional characterization of terbium-doped Nd–Fe–B sintered magnets. Mater. Charact. 2012, 67, 27–33. [Google Scholar] [CrossRef]
- Zhao, Y.; Han, R.; Zheng, M.; Duan, X.; Shi, X.; Hu, X.; Chen, H.; Zhou, D.; Dong, S.; Li, W. Optimization of microstructure for HRE-free Nd-Fe-B magnets with improved properties. J. Mater. Res. Technol. 2025, 35, 1901–1912. [Google Scholar] [CrossRef]
- European Parliament and Council. Regulation (EU) 2024/1252 of 11 April 2024 Establishing a Framework for En-suring a Secure and Sustainable Supply of Critical Raw Materials and Amending Regulations (EU) No 168/2013, (EU) 2018/858, (EU) 2018/1724 and (EU) 2019/1020. Off. J. Eur. Union 2024. Available online: https://eur-lex.europa.eu/eli/reg/2024/1252 (accessed on 9 February 2026).
- Kamprowski, R. The raw materials policy of the European Union for rare earth elements. Rocz. Integr. Eur. 2022, 16, 243–250. [Google Scholar] [CrossRef]
- Adamczyk, Z.; Komorek, J.; Lewandowska, M.; Nowak, J.; Białecka, B.; Całusz-Moszko, J.; Klupa, A. Ashes from bituminous coal burning in fluidized bed boilers as a potential source of rare earth elements. Gospod. Surowcami Miner.-Miner. Resour. Manag. 2018, 34, 21–36. [Google Scholar] [CrossRef]
- Dai, S.; Xie, P.; Jia, S.; Ward, C.R.; Hower, J.C.; Yan, X.; French, D. Enrichment of U-Re-V-Cr-Se and rare earth elements in the Late Permian coals of the Moxinpo Coalfield, Chongqing, China: Genetic implications from geochemical and mineralogical data. Ore Geol. Rev. 2017, 80, 1–17. [Google Scholar] [CrossRef]
- Zhang, W.; Honaker, R.Q. Rare earth elements recovery using staged precipitation from a leachate generated from coarse coal refuse. Int. J. Coal Geol. 2018, 195, 189–199. [Google Scholar] [CrossRef]
- Haberl, J.; Koralewska, R.; Schlumberger, S.; Schuster, M. Quantification of main and trace metal components in the fly ash of waste-to-energy plants located in Germany and Switzerland: An overview and comparison of concentration fluctuations within and between several plants with particular focus on valuable metals. Waste Manag. 2018, 75, 361–371. [Google Scholar] [CrossRef]
- Soyol-Erdene, T.O.; Valente, T.; Grande, J.A.; De La Torre, M.L. Mineralogical controls on mobility of rare earth elements in acid mine drainage environments. Chemosphere 2018, 205, 317–327. [Google Scholar] [CrossRef]
- Hower, J.C.; Groppo, J.G.; Henke, K.R.; Hood, M.M.; Eble, C.F.; Honaker, R.Q.; Zhang, W.; Qian, D. Notes on the potential for the concentration of rare earth elements and yttrium in coal combustion fly ash. Minerals 2015, 5, 356–366. [Google Scholar] [CrossRef]
- Wang, Z.; Dai, S.; Zou, J.; French, D.; Graham, I.T. Rare earth elements and yttrium in coal ash from the Luzhou power plant in Sichuan, Southwest China: Concentration, characterization and optimized extraction. Int. J. Coal Geol. 2019, 203, 1–14. [Google Scholar] [CrossRef]
- Adamczyk, Z.; Komorek, J.; Kokowska-Pawłowska, M.; Nowak, J. Distribution of Rare Earth Elements in Ash from Lignite Combustion in Polish Power Plants. Materials 2024, 17, 4477. [Google Scholar] [CrossRef] [PubMed]
- Świnder, H.; Białecka, B.; Jarosiński, A. Study on recovering the rare earth metals from fly ash by multi-stage leaching with sulfuric(VI) acid. Przem. Chem. 2017, 96, 2238–2243. (In Polish) [Google Scholar] [CrossRef]
- Pan, J.; Nie, T.; Vaziri Hassas, B.; Rezaee, M.; Wen, Z.; Zhou, C. Recovery of rare earth elements from coal fly ash by integrated physical separation and acid leaching. Chemosphere 2020, 248, 126112. [Google Scholar] [CrossRef] [PubMed]
- Smolka-Danielowska, D. Rare earth elements in fly ashes created during the coal burning process in certain coal-fired power plants operating in Poland–Upper Silesian Industrial Region. J. Environ. Radioact. 2010, 101, 965–968. [Google Scholar] [CrossRef] [PubMed]
- Klupa, A.; Adamczyk, Z.; Harat, A. Lanthanides in mineral elements found in fly ashes from the Rybnik Power Plant. In 17th International Multidisciplinary Scientific Geoconference SGEM; Curran Associates, Inc.: Red Hook, NY, USA, 2017; Volume 11, pp. 883–888. [Google Scholar]
- Żelazny, S.; Świnder, H.; Białecka, B.; Jarosiński, A. Recovery of rare earth elements from fly ash. Part 1, leaching. Przem. Chem. 2017, 96, 2279–2283. (In Polish) [Google Scholar] [CrossRef]
- Adamczyk, Z.; Komorek, J.; Białecka, B.; Nowak, J.; Klupa, A. Assessment of the potential of polish fly ashes as a source of rare earth elements. Ore Geol. Rev. 2020, 124, 103638. [Google Scholar] [CrossRef]
- Adamczyk, Z.; Komorek, J.; Kokowska-Pawłowska, M.; Nowak, J. Distribution of rare-earth elements in ashes produced in the coal combustion process from power boilers. Energies 2023, 16, 2696. [Google Scholar] [CrossRef]
- Całus-Moszko, J.; Białecka, B. Analysis of the possibilities of rare earth elements obtaining from coal and fly ash. Gospod. Surowcami Miner.-Miner. Resour. Manag. 2013, 29, 67–80. [Google Scholar] [CrossRef]
- Adamczyk, Z.; Białecka, B.; Moszko, J.C.; Komorek, J.; Lewandowska, M. Rare Earth Elements of Orzeskie Beds of South-West Part Upper Silesian Coal Basin (Poland). Arch. Min. Sci. 2015, 60, 157–172. [Google Scholar] [CrossRef]
- Jarosiński, A. The possibilities of the acquisition of rare-earth metals under national conditions. Zesz. Nauk. Inst. Gospod. Surowcami Miner. Energią Pol. Akad. Nauk. 2016, 92, 75–88. [Google Scholar]
- Kokowska-Pawłowska, M. Rare earth elements (REE) in claystones with selected coal seams of the mudstone and sandstone series of the Upper Silesian Coal Basin. Gospod. Surowcami Miner.-Miner. Resour. Manag. 2016, 32, 39–66. [Google Scholar] [CrossRef]
- Baron, R. Determination of rare earth elements content in hard coal type 31.1. Manag. Syst. Prod. Eng. 2020, 28, 240–246. [Google Scholar] [CrossRef]
- Rybak, A.; Rybak, A.; Kolev, S.D. Development of wind energy and access to REE. The case of Poland. Resour. Policy 2024, 90, 104723. [Google Scholar] [CrossRef]
- Spears, D.A. The dermination of trace element distributions in coals using sequential chemical leaching—A new approach to an old method. Fuel 2013, 114, 31–37. [Google Scholar] [CrossRef]
- PN-ISO 13909-6:2022-02; Hard Coal and Coke—Mechanical Sampling—Part 6: Coke—Preparation of Test Samples. PKN: Warsaw, Poland, 2022.
- PN-ISO 7404-2:2005; Methods for the Petrographic Analysis of Hard Coal and Anthracite—Part 2: Method of Preparing Coal Samples. PKN: Warsaw, Poland, 2005.
- PN-ISO 7404-3; Coal—Methods for Petrographic Analysis—Part 3: Method of Determining Maceral Group Composition. PKN: Warsaw, Poland, 2001.
- PN-ISO 11760:2007; Classification of Coals. PKN: Warsaw, Poland, 2007.
- Ketris, M.P.; Yudovich, Y.E. Estimations of Clarkes for Carbonaceous biolithes: World averages for trace element contents in black shales and coals. Int. J. Coal Geol. 2009, 78, 135–148. [Google Scholar] [CrossRef]
- Dai, S.; Zou, J.; Jiang, Y.; Ward, C.R.; Wang, X.; Li, T.; Xue, W.; Liu, S.; Tian, H.; Sun, X.; et al. Mineralogical and geochemical compositions of the Pennsylvanian coal in the Adaohai Mine, Daqingshan Coalfield, Inner Mongolia, China: Modes of occurrence and origin of diaspore, gorceixite, and ammonian illite. Int. J. Coal Geol. 2012, 94, 250–270. [Google Scholar] [CrossRef]
- Schatzel, S.J.; Stewart, B.W. Rare earth element sources and modification in the Lower Kittanning coal bed, Pennsylvania: Implications for the origin of coal mineral matter and rare earth element exposure In underground mines. Int. J. Coal Geol. 2003, 54, 223–251. [Google Scholar] [CrossRef]
- Goodarzi, F.; Grieve, D.A.; Labonte, M. Tonsteins in East Kootenay coalfields, south eastern British Columbia. Energy Sources 1990, 12, 265–295. [Google Scholar] [CrossRef]
- Zhou, Y.; Bohor, B.F.; Ren, Y. Trace element geochemistry of altered volcanic ash layers (tonsteins) in Late Permian coalbearing formations of eastern Yunnan and western Guizhou Provinces, China. Int. J. Coal Geol. 2000, 44, 305–324. [Google Scholar] [CrossRef]
- Grevenitz, P.; Carr, P.; Hutton, A. Origin, alteration and geochemical correlation of Late Permian air fall tuffs in coal measures, Sydney Basin, Australia. Int. J. Coal Geol. 2003, 55, 27–46. [Google Scholar] [CrossRef]
- Taylor, S.R.; McLennan, S.H. The Continental Crust: Its Composition and Evolution; Blackwell: Oxford, UK, 1985; pp. 1–312. [Google Scholar]







| Coal Seam | Sample | Rr, % | s, % | Vmmf | Lmmf | Immf | SM | Ad, % |
|---|---|---|---|---|---|---|---|---|
| 401/1 | S4 | 1.10 | 0.04 | 78 | 4 | 18 | 3 | 7.42 |
| 403/1 | S2 | 1.10 | 0.04 | 74 | 3 | 23 | 14 | 4.92 |
| 403/1 | S11 | 1.13 | 0.04 | 90 | 3 | 7 | 1 | 4.53 |
| 403/1 | S12 | 1.11 | 0.04 | 78 | 5 | 17 | 1 | 11.29 |
| 404/1 | S10 | 1.11 | 0.04 | 68 | 6 | 26 | 2 | 20.40 |
| 404/1 | S13 | 1.14 | 0.04 | 72 | 5 | 23 | 1 | 7.64 |
| 404/2 | S5 | 1.16 | 0.04 | 73 | 3 | 24 | 2 | 4.39 |
| 404/2 | S6 | 1.15 | 0.05 | 72 | 3 | 25 | 10 | 3.16 |
| Coal Seam | Sample | Siderite | Dolomite | Calcite | Kaolinite | Illite | Apatite | Pyrite | Quartz |
|---|---|---|---|---|---|---|---|---|---|
| % | |||||||||
| 401/1 | s4 | 1.4 | 81.8 | 10.4 | 6.4 | ||||
| 403/1 | s2 | 9.2 | 0.6 | 55.7 | 11.3 | 23.2 | |||
| 403/1 | s11 | 0.8 | 19.2 | 63.6 | 10.2 | 6.2 | |||
| 403/1 | s12 | 9.1 | 2.3 | 68.4 | 16.5 | 3.7 | |||
| 404/1 | s10 | 12.4 | 71.7 | 5.3 | 10.6 | ||||
| 404/1 | s13 | 7.9 | 0.4 | 62.4 | 29.3 | ||||
| 404/2 | s5 | 18.5 | 47.4 | 23.9 | 10.2 | ||||
| 404/2 | s6 | 61.7 | 21.0 | 2.5 | 14.8 | ||||
| Coal Seam | 401/1 | 403/1 | 403/1 | 403/1 | 404/1 | 404/1 | 404/2 | 404/2 | |
|---|---|---|---|---|---|---|---|---|---|
| Sample | s4 | s2 | s11 | s12 | s10 | s13 | s5 | s6 | |
| REY | ppm | ||||||||
| Coal | Y | 5.38 | 6.12 | 5.61 | 8.65 | 14.21 | 18.10 | 3.41 | 2.64 |
| La | 7.46 | 9.69 | 5.15 | 8.72 | 12.70 | 11.70 | 3.80 | 1.48 | |
| Ce | 16.07 | 18.58 | 12.28 | 19.36 | 30.74 | 29.17 | 8.62 | 3.41 | |
| Pr | 1.88 | 2.16 | 1.51 | 2.24 | 3.95 | 3.77 | 1.05 | 0.42 | |
| Nd | 7.58 | 8.34 | 6.47 | 8.99 | 15.88 | 15.18 | 4.29 | 1.70 | |
| Sm | 1.49 | 1.69 | 1.34 | 1.89 | 3.44 | 3.41 | 0.81 | 0.40 | |
| Eu | 0.40 | 0.50 | 0.38 | 0.54 | 0.94 | 0.90 | 0.22 | 0.14 | |
| Gd | 2.43 | 3.20 | 1.99 | 3.16 | 5.06 | 4.96 | 1.28 | 0.75 | |
| Tb | 0.20 | 0.25 | 0.18 | 0.26 | 0.47 | 0.55 | 0.11 | 0.06 | |
| Dy | 1.03 | 1.45 | 0.97 | 1.43 | 2.45 | 3.11 | 0.59 | 0.36 | |
| Ho | 0.18 | 0.28 | 0.17 | 0.26 | 0.43 | 0.54 | 0.10 | 0.07 | |
| Er | 0.46 | 0.78 | 0.45 | 0.71 | 1.09 | 1.35 | 0.28 | 0.20 | |
| Tm | 0.05 | 0.10 | 0.05 | 0.09 | 0.13 | 0.16 | 0.03 | 0.03 | |
| Yb | 0.31 | 0.63 | 0.32 | 0.54 | 0.76 | 0.89 | 0.21 | 0.17 | |
| Lu | 0.04 | 0.08 | 0.04 | 0.07 | 0.10 | 0.12 | 0.03 | 0.02 | |
| ∑REY | 44.96 | 53.84 | 36.92 | 56.91 | 92.35 | 93.90 | 24.85 | 11.86 | |
| LREY | 34.5 | 40.5 | 26.8 | 41.2 | 66.7 | 63.2 | 18.6 | 7.4 | |
| MREY | 9.4 | 11.5 | 9.1 | 14.0 | 23.1 | 27.6 | 5.6 | 4.0 | |
| HREY | 1.0 | 1.9 | 1.0 | 1.7 | 2.5 | 3.0 | 0.7 | 0.5 | |
| critical | 15.1 | 17.4 | 14.0 | 20.6 | 35.0 | 39.2 | 8.9 | 5.1 | |
| uncritical | 13.3 | 16.7 | 10.0 | 16.0 | 25.1 | 23.8 | 6.9 | 3.1 | |
| excessive | 16.7 | 19.7 | 12.9 | 20.3 | 32.2 | 30.9 | 9.0 | 3.7 | |
| Coutl | 0.90 | 0.89 | 1.09 | 1.01 | 1.09 | 1.27 | 0.99 | 1.38 | |
| Step I–III | ∑REY | 3.96 | 6.19 | 3.59 | 7.46 | 6.18 | 18.37 | 1.45 | 1.45 |
| LREY | 0.81 | 2.89 | 0.97 | 2.39 | 1.98 | 4.85 | 0.22 | 0.51 | |
| MREY | 2.81 | 2.55 | 2.36 | 4.47 | 3.77 | 12.17 | 1.09 | 0.84 | |
| HREY | 0.34 | 0.75 | 0.26 | 0.60 | 0.43 | 1.35 | 0.14 | 0.10 | |
| critical | 2.8 | 2.9 | 2.4 | 4.8 | 4.0 | 12.8 | 1.0 | 0.8 | |
| uncritical | 0.7 | 1.7 | 0.7 | 1.3 | 1.1 | 2.8 | 0.3 | 0.4 | |
| excessive | 0.5 | 1.6 | 0.5 | 1.4 | 1.1 | 2.8 | 0.1 | 0.3 | |
| Coutl | 5.76 | 1.82 | 4.82 | 3.51 | 3.65 | 4.65 | 7.10 | 3.14 | |
| Step IV–V | ∑REY | 41.00 | 47.65 | 33.33 | 49.44 | 86.18 | 75.53 | 23.40 | 10.42 |
| LREY | 33.67 | 37.56 | 25.79 | 38.81 | 64.74 | 58.38 | 18.36 | 6.91 | |
| MREY | 6.63 | 8.97 | 6.77 | 9.57 | 19.36 | 15.45 | 4.52 | 3.12 | |
| HREY | 0.71 | 1.12 | 0.77 | 1.07 | 2.08 | 1.70 | 0.52 | 0.39 | |
| critical | 12.2 | 14.5 | 11.7 | 15.8 | 31.1 | 26.4 | 7.9 | 4.3 | |
| uncritical | 12.6 | 15.0 | 9.3 | 14.7 | 24.0 | 21.0 | 6.7 | 2.7 | |
| excessive | 16.2 | 18.1 | 12.4 | 19.0 | 31.1 | 28.1 | 8.9 | 3.4 | |
| Coutl | 0.76 | 0.80 | 0.94 | 0.83 | 1.00 | 0.94 | 0.89 | 1.25 | |
Disclaimer/Publisher’s Note: The statements, opinions and data contained in all publications are solely those of the individual author(s) and contributor(s) and not of MDPI and/or the editor(s). MDPI and/or the editor(s) disclaim responsibility for any injury to people or property resulting from any ideas, methods, instructions or products referred to in the content. |
© 2026 by the authors. Licensee MDPI, Basel, Switzerland. This article is an open access article distributed under the terms and conditions of the Creative Commons Attribution (CC BY) license.
Share and Cite
Adamczyk, Z.; Komorek, J. Sequential Leaching and Mineralogical Controls of Rare Earth Elements and Yttrium Occurrence in Bituminous Coal from Upper Silesian Coal Basin (Poland). Materials 2026, 19, 1066. https://doi.org/10.3390/ma19061066
Adamczyk Z, Komorek J. Sequential Leaching and Mineralogical Controls of Rare Earth Elements and Yttrium Occurrence in Bituminous Coal from Upper Silesian Coal Basin (Poland). Materials. 2026; 19(6):1066. https://doi.org/10.3390/ma19061066
Chicago/Turabian StyleAdamczyk, Zdzisław, and Joanna Komorek. 2026. "Sequential Leaching and Mineralogical Controls of Rare Earth Elements and Yttrium Occurrence in Bituminous Coal from Upper Silesian Coal Basin (Poland)" Materials 19, no. 6: 1066. https://doi.org/10.3390/ma19061066
APA StyleAdamczyk, Z., & Komorek, J. (2026). Sequential Leaching and Mineralogical Controls of Rare Earth Elements and Yttrium Occurrence in Bituminous Coal from Upper Silesian Coal Basin (Poland). Materials, 19(6), 1066. https://doi.org/10.3390/ma19061066

