Abstract
Polycrystalline diamond (PCD) compacts are extensively applied in downhole drilling tools owing to their exceptional hardness and wear resistance. However, their tribological performance is strongly influenced by the thermal and chemical characteristics of drilling fluids. In this study, the coupled effects of temperature (25–125 °C) and oil–water ratio on the tribological behavior of PCD were systematically investigated. The results indicate that under relatively high oil–water ratios (50:50, 80:20, and 100:0), both the friction coefficient and wear rate increase monotonically with temperature, which is associated with intensified interfacial thermal stress and suppressed formation of protective carbon-based transfer films. In contrast, at low oil–water ratios (0:100 and 20:80), the friction coefficient exhibits a non-monotonic dependence on temperature, decreasing initially and then increasing with a transition near 100 °C. This behavior is attributed to temperature-activated surface passivation through C-OH bond formation in water-rich environments, followed by the deterioration of passivation due to water evaporation at elevated temperatures. These findings provide insight into temperature-dependent lubrication regime transitions and tribo-chemical evolution of PCD in complex drilling fluid environments.
1. Introduction
Thrust bearings are indispensable components in downhole power drilling systems operating under extreme mechanical and thermal conditions. In deep and ultra-deep drilling operations, axial loads can exceed several tens of kilonewtons, while bottom-hole temperatures may surpass 120–150 °C [1,2]. Simultaneously, drilling fluids undergo continuous compositional fluctuations due to circulation, thermal evaporation, and contamination by formation fluids [3,4]. These dynamic environmental variations impose severe tribological challenges on polycrystalline diamond (PCD) thrust bearings, often leading to unstable lubrication, accelerated wear, and premature tool failure [5,6,7]. Field statistics indicate that tribological degradation of thrust bearings remains one of the dominant factors limiting drilling efficiency and service life in high-temperature wells. Therefore, understanding the environmental sensitivity of PCD under realistic drilling conditions is not only a materials science problem but also a critical engineering requirement for improving drilling reliability [8,9].
In addition to PCD, several other materials have been employed in thrust bearing systems and downhole drilling components, including WC-Co cemented carbides, silicon nitride (Si3N4) ceramics, alumina-based ceramics, and diamond-like carbon (DLC) coatings. WC-Co alloys provide good toughness and manufacturability but suffer from rapid wear and binder corrosion under high-temperature drilling fluids [10]. Advanced ceramics such as Si3N4 exhibit superior thermal stability and corrosion resistance; however, their intrinsic brittleness and susceptibility to catastrophic fracture under impact loading limit their reliability in severe drilling environments [11]. DLC and other carbon-based coatings have attracted attention due to their low friction coefficients and humidity-sensitive passivation behavior, yet their thermal stability and load-bearing capacity remain inferior to bulk PCD materials [12]. Compared with these candidate materials, PCD compacts offer a unique combination of extreme hardness, high thermal conductivity, and structural integrity under high contact stress, making them one of the most promising materials for thrust bearing applications in deep drilling systems. However, their tribological behavior is highly sensitive to environmental conditions, particularly under coupled thermal-chemical lubrication regimes [13].
Despite the superior intrinsic properties of PCD compared with other candidate materials, its tribological behavior is known to be strongly influenced by environmental conditions at the sliding interface. Parameters such as ambient atmosphere, pH value of the surrounding medium, and the presence of abrasive particles can significantly alter the friction coefficient, wear rate, and surface degradation mechanisms of PCD materials [14,15,16]. For instance, oxidative environments have been reported to facilitate graphitization and accelerate material loss, whereas inert or reducing atmospheres tend to suppress such degradation pathways [17,18]. Similarly, acidic or alkaline media can activate surface reactions and affect the stability of tribo-films, while hard abrasive particles may induce micro-fracture, grain pull-out, or severe abrasive wear. These findings underscore the critical role of service environment in determining the tribological performance of PCD compacts [11,19]. Among these environmental factors, the liquid-phase medium surrounding the PCD component plays a particularly dominant role in governing its tribological performance, as it not only dictates the interfacial lubrication conditions but also mediates the chemical interactions and thermal dissipation at the sliding interface [20,21].
Recent studies have increasingly focused on elucidating the frictional mechanisms of PCD in various liquid-phase environments, particularly in the presence of drilling fluids with complex chemical compositions. In high-temperature drilling operations, especially when using water-based drilling fluids, fluid vaporization can lead to localized dry contact at the interface [4,22]. Micro-asperity flash temperatures may reach as high as 1000 °C, inducing intense thermal effects at the frictional interface. These thermal conditions can trigger structural degradation in the PCD compacts, primarily through the oxidation of diamond grains into gaseous CO and CO2. As diamond content diminishes, oxidation of the cobalt binder increases, leading to the formation of micro-voids and raised surface features. This thermal damage significantly deteriorates the mechanical integrity and tribological stability of the PCD surface [23,24]. In addition to temperature, humidity also plays an important role, particularly under conditions where drilling fluids undergo partial vaporization, forming a humid environment at elevated temperatures. Water molecules may adsorb onto the sliding interface both physically and chemically, thereby modifying interfacial tribo-chemical reactions. Under low-humidity conditions, carbon-rich tribo-films formed at the interface can effectively separate the contact surfaces, weaken covalent interactions, and reduce the friction coefficient. Conversely, at high humidity, hydroxyl (OH−) and proton (H+) species can chemically passivate reactive sites on the PCD surface, reducing diamond grain detachment and suppressing abrasive wear [25,26]. Furthermore, the pH of the drilling fluid also exerts a substantial influence on the wear mechanisms of PCD compacts. In acidic environments, corrosive attack weakens the compressive strength of the material and promotes the dissolution of metallic binders. This leads to the formation of surface pits and structural defects. When combined with thermal effects, such defects can increase the effective contact area between diamond grains and reactive oxygen species, thereby accelerating oxidative wear [11,17,27]. Although the individual effects of temperature, humidity, pH, and lubrication medium on PCD tribology have been investigated in isolated scenarios, existing studies predominantly consider single-variable systems and do not reflect the coupled thermal–chemical complexity encountered in practical drilling fluids. In oil-based drilling fluids, the oil–water ratio not only determines lubrication regime but also governs interfacial chemical reactivity, evaporation dynamics, and oxidative kinetics at elevated temperatures. The interplay between thermal activation and compositional variation may induce a transition from surface passivation-dominated lubrication to oxidation-driven degradation. However, the critical conditions governing this regime transition and the associated wear mechanisms remain unclear. Without clarifying this coupled behavior, predictive evaluation of PCD performance under realistic drilling environments remains incomplete. In particular, the transition between passivation-dominated and oxidation-dominated regimes under coupled temperature-composition conditions have not yet been clarified. A mechanistic understanding of this transition is essential for predicting lubrication stability in realistic drilling environments.
Recently, Bie et al. [13] investigated the tribological performance of polycrystalline diamond under different oil–water ratios at elevated temperature, focusing on performance optimization. However, the temperature-dependent tribo-chemical transition mechanism, and particularly the coupling effect between water evaporation and interfacial reaction pathways, was not systematically explored. Therefore, the present work aims to further advance the understanding of the interfacial evolution process by revealing the lubrication regime transition and the governing tribo-chemical mechanisms under temperature–composition coupling conditions (as shown in Table 1).
Table 1.
Comparison between the present study and the previously published work.
In this study, high-temperature tribological experiments were systematically performed on self-mated PCD pairs under controlled oil-based drilling fluids with varying oil–water ratios (0:100, 20:80, 50:50, 80:20, and 100:0) across a temperature range of 25–125 °C. By integrating three-dimensional white light interferometry, scanning electron microscopy, Raman spectroscopy, and X-ray photoelectron spectroscopy, this work aims not only to quantify friction and wear evolution, but also to elucidate the mechanistic transition between passivation-dominated and oxidation-dominated regimes under coupled temperature–composition conditions. Compared with previous single-variable studies, this study emphasizes the synergistic thermal–chemical effects that more realistically simulate practical drilling environments. The findings are expected to provide a mechanistic framework for evaluating lubrication stability and optimizing drilling fluid formulation in high-temperature downhole environments.
2. Experiments and Methods
2.1. Materials
The PCD compacts used in this study were provided by Zhongnan Co., Ltd., fabricating by sintering diamond particles (average size around 20 μm) and a WC-16 wt% Co substance under high temperature (1500 °C) and high pressure (6.6 GPa). Prior to sintering, a 4 μm thick CoCrMnFeW high-entropy alloy coating was deposited onto the surface of the diamond particles via magnetron sputtering. The structural characteristics of the resulting PCD compacts have been described in our previously published work [28,29]. Briefly, the PCD compact has a diameter of approximately 55 nm and a total thickness of 3.2 mm, consisting of a 2.71 mm thick cemented carbide substrate and a 0.47 mm thick PCD layer. The surface roughness of the PCD layer is around 0.021 μm. The binder phase of the PCD primarily consists of five elements: Co, W, Fe, Mn, and Cr. Among these, Co is the most abundant, accounting for 78.32% of the total binder composition, while Cr is the least abundant, at only 2.6%.
Drilling fluids were prepared using industrial-grade No. 5 white oil as the base oil, with oil–water volume ratios of 100:0 (pure oil-based), 80:20, 50:50, and 20:80. These were used as lubricants for the high-temperature tribological tests of the PCD compacts. In addition, a water-based drilling fluid (oil–water ratio of 0:100) was prepared and served as a control group.
To better simulate downhole conditions and prevent spontaneous infiltration of the aqueous phase into the formation, which could lead to borehole instability, 25 wt% CaCl2 solution was used as the aqueous phase in the oil-based drilling fluids. In order to form a stable oil–water emulsion, emulsifiers and wetting agents were added during the formulation process. Specifically, white oil and CaCl2 solution were mixed in designated volume ratios, poured into a stirring vessel, and supplemented with 2 wt% emulsifier and 1 wt% wetting agent. The mixture was then stirred at 2000 rpm for 60 min using a high-speed electronic stirrer to ensure full emulsification of the oil phase. After emulsification, 1 wt% CaO and 3 wt% bentonite was added to the mixture and stirred again at 2000 rpm for 60 min to obtain a homogeneous drilling fluid.
2.2. Tribological Tests
Prior to tribological testing, the PCD compacts were ultrasonically cleaned in ethanol for 15–20 min to remove surface contaminants, followed by oven drying. Tribological experiments were conducted using a high-temperature reciprocating tribometer. The reciprocating sliding configuration is a widely adopted and well-established method for evaluating friction and wear behavior under controlled contact conditions, comparable to standard reciprocating tribological testing methodologies.
A PCD self-mated configuration was employed, in which a 4 mm × 4 mm compact served as the upper specimen fixed to the loading arm, while a 13 mm × 13 mm compact was mounted on the reciprocating stage as the lower counterpart. All tests were performed in water-based and oil-based drilling fluids within a temperature range of 25–125 °C (in 25 °C increments). This temperature range was selected to simulate the typical thermal conditions encountered in drilling environments, from near-surface conditions to elevated downhole temperatures. Testing commenced only after the heating stage reached the preset temperature and stabilized for 5 min to ensure thermal equilibrium. A constant normal load of 20 N was applied, corresponding to a nominal contact stress of 1.25 MPa. The lower specimen performed reciprocating motion at 6 Hz for 160 min, resulting in a total sliding distance of 600 m. During high-temperature testing, drilling fluid was continuously supplied dropwise to the contact interface using a rubber-tipped pipette to prevent evaporation and ensure stable lubrication. The dripping volume and frequency were kept constant for all experiments. Each condition was repeated three times, and the average values were reported to ensure reproducibility.
After testing, both specimens were ultrasonically cleaned in ethanol for 10 min, dried, and cooled to room temperature in a desiccator prior to weighing. Mass measurements were performed using an analytical balance with a precision of 0.1 mg. The wear rate was calculated based on the measured mass loss. Preliminary experiments indicated that under oil-based drilling fluid, negligible wear occurred under low-load conditions due to superior lubricity. Therefore, the selected test parameters were optimized to generate measurable wear while maintaining realistic lubrication conditions.
2.3. Characterization and Testing
The surface morphologies of typical wear scars on the PCD compacts were observed using a field-emission scanning electron microscope (SEM, ZEISS, Jena, Germany) under secondary electron mode at 15 kV. Three-dimensional surface topography and roughness before and after friction tests were measured using a white-light interferometer (ZYGO, Middlefield, CT, USA). The Scanning Probe Image Processor (SPIP) software (Version 6.7.9) was used to extract surface height data and estimate the area fraction of spallation. Optical observations of wear scars formed under different drilling fluids were performed using a metallurgical microscope (Olympus, Tokyo, Japan).
Elemental mapping of worn surfaces was conducted using an energy-dispersive spectroscopy (EDS) system (ZEISS, Germany). Raman spectroscopy (LabRAM HR Evolution, Horiba, Kyoto, Japan) with a 532 nm laser was employed to analyze structural transformations of carbon in the PCD during friction. X-ray photoelectron spectroscopy (XPS, Thermo Fisher Scientific, Waltham, MA, USA) was used to determine the chemical composition and bonding states of worn surfaces. The C1s peak at 284.8 eV was used for energy calibration. It should be noted that XPS is inherently surface-sensitive and susceptible to atmospheric adsorption of adventitious carbon and oxygen species. To minimize this effect, all worn samples were ultrasonically cleaned in ethanol, dried in a desiccator, and transferred for XPS analysis under identical handling conditions. Since all specimens underwent the same cleaning and exposure procedures, the influence of atmospheric contamination can be considered as a systematic background rather than a variable factor. Furthermore, the XPS analysis was conducted specifically on the wear track regions, and the observed variations in C-O and C-OH bond fractions exhibited clear temperature- and composition-dependent trends. These trends are consistent with Raman spectroscopy results and tribo-film coverage analysis, supporting that the detected oxygen-containing species primarily originate from tribo-chemical reactions rather than ambient contamination.
3. Results and Discussions
3.1. Friction and Wear Behavior of PCD Compacts
Figure 1 shows the friction coefficient curves of PCD compacts tested in drilling fluids with various oil–water ratios under working temperatures ranging from 25 °C to 125 °C. Based on the calculated average values and standard deviations, the results were further visualized in a three-dimensional bar chart (Figure 2) for comparative analysis. When the oil content was low (oil–water ratios of 0:100 and 20:80), the friction coefficient exhibited a non-monotonic trend with temperature, first increasing and then decreasing, reaching the lowest values at 100 °C—0.139 and 0.089, respectively. Notably, the friction coefficient of the 20:80 oil–water ratio was nearly half that of the pure water-based drilling fluid across all tested temperatures. In contrast, at higher oil contents (oil–water ratios of 50:50, 80:20, and 100:0), the friction coefficient of PCD compacts generally increased with elevated temperature. The 80:20 oil–water ratio consistently corresponds to a regime in which friction evolution shifts from water-dominated passivation control to oil-dominated film lubrication control, indicating a compositional threshold rather than a simple optimum. A slight deviation is observed at 100 °C, where the friction coefficient for the 20:80 oil–water ratio (0.089) is marginally lower than that for the 80:20 ratio (0.092). This crossover behavior can be attributed to the critical transition temperature near the boiling point of the aqueous phase. At 100 °C, partial evaporation enhances the mobility and reactivity of hydroxyl species while not yet completely suppressing interfacial passivation. In the 20:80 system, the relatively higher water content still enables effective dangling-bond passivation, leading to temporarily reduced interfacial shear resistance. In contrast, the 80:20 system contains insufficient water to sustain strong passivation, while the oil film has not yet fully compensated through stable hydrodynamic lubrication. As temperature further increases, evaporation dominates and the lubrication mechanism shifts toward oxidation-driven and fatigue-controlled wear.
Figure 1.
Friction coefficient curves of PCD compacts in drilling fluids with different oil–water ratios at 25–125 °C: (a) 0:100; (b) 20:80; (c) 50:50; (d) 80:20; (e) 100:0.
Figure 2.
Three-dimensional bar chart of the average friction coefficients of PCD compacts under different oil–water ratios and temperatures (25–125 °C).
After the friction and wear tests, the wear rate of the PCD compacts is calculated based on the mass loss, in order to evaluate the wear behavior of the PCD material under elevated temperature conditions. The wear rate is determined using the following equation [30,31]:
where is the specific wear rate (mg/N·m), is mass loss after friction test (mg), is the applied normal load (N), and is the total sliding distance during the tribological test (m). Although both upper and lower specimens were weighed after testing, the mass losses were found to be comparable under identical conditions. Therefore, only the mass loss of the lower specimen was used to calculate the wear rate for consistency and clarity. Therefore, only the mass loss of the lower PCD compact was used for subsequent analysis, as presented in Table 2.
Table 2.
Mass loss of lower PCD compacts tested in a different drilling fluid environment (unit: mg).
Based on these data, the wear rates of the lower PCD compacts under various oil–water ratios are calculated, as shown in Figure 3. As the working temperature increased from 25 °C to 125 °C, the wear rates of the PCD compacts increased across all oil–water ratios. This indicates that elevated temperatures promote the formation of fatigue cracks, thereby accelerating fatigue wear [32,33]. For each drilling fluid formulation, the wear rate exhibits a trend of initially decreasing and then increasing with rising temperature. This behavior may be attributed to the following mechanism: at low oil content, the oil phase gradually replaces water as the dominant lubricant, enhancing the stability of the lubrication film and reducing friction. However, as the oil content continues to increase, the reduced proportion of water in the system may weaken the cooling capacity, resulting in higher thermal damage and accelerated wear [20,34,35,36]. Specifically, the drilling fluid with an oil–water volume ratio of 80:20 exhibits the most favorable tribological performance, with the wear rate of the lower PCD compact increasing only from 7.41 × 10−4 mg/N·m to 1.05 × 10−3 mg/N·m, representing the lowest wear among all tested fluids.
Figure 3.
The wear rate of the lower PCD compact in oil-based drilling fluids.
3.2. Microscopic Characterization of Wear Scar Morphology
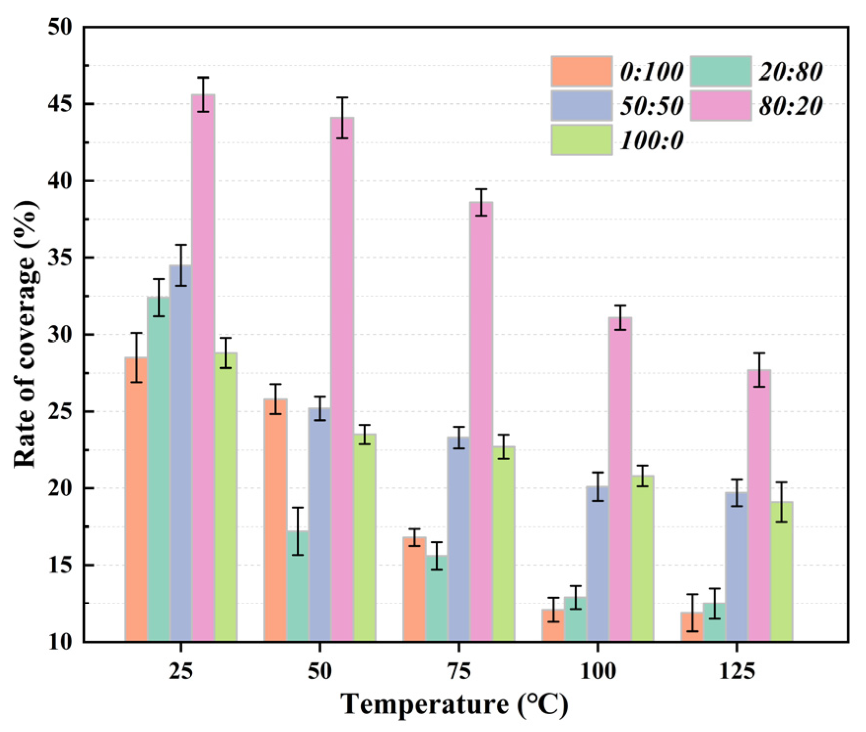
To evaluate the wear degree and surface damage characteristics of PCD compacts under various working conditions, three-dimensional white light interferometry was conducted on the worn surfaces after tribological testing, as shown in Figure 4. Using SPIP software (Version 6.7.9), the unworn area was defined as the reference plane, and the ratio of the spalling area to the total analyzed area was calculated to obtain the percentage of spalling pit area. The quantified results of surface roughness and spalling pit area percentage are presented in Figure 5a and Figure 5b, respectively. The results indicate that for all drilling fluid formulations, both the surface roughness and the spalling pit area percentage of PCD increased with rising working temperature after frictional testing. This behavior is associated with the combined effects of fatigue wear and high-temperature-enhanced mechanisms, including thermal fatigue and adhesive wear [37]. Among all tested drilling fluids, the oil-based formulation with an oil-to-water volume ratio of 80:20 exhibits the lowest surface roughness and spalling pit area percentage. Specifically, as the temperature increased from 25 °C to 125 °C, the spalling pit area percentage increased from 17.21% to 22.78%, while the surface roughness increased from 0.023 μm to 0.029 μm. These results indicate that the 80:20 oil-based drilling fluid provides a smoother worn surface and reduced spalling damage on the PCD compacts.
Figure 4.
3D surface morphology of PCD compacts tested in drilling fluids with different oil-water ratios at working temperatures ranging from 25 to 125 °C.
Figure 5.
(a) Surface roughness and (b) spalling pit area percentage of PCD compacts tested in drilling fluids with different oil–water ratios at working temperatures ranging from 25 to 125 °C.
Figure 6 presents SEM images of the wear tracks on PCD compacts under various drilling fluid formulations and working temperatures ranging from 25 °C to 125 °C. At relatively low temperatures, the worn surfaces of PCD compacts exhibit a relatively smooth morphology with small spalling areas. However, as the working temperature increases, both fatigue cracks and the percentage of spalling pit area become more pronounced. The elevated temperature induces greater thermal stress at the self-mated sliding interface of PCD, which promotes the propagation of fatigue cracks and accelerates the detachment of diamond grains. Additionally, with increasing temperature, the structural integrity of the lubricant film at the sliding interface deteriorates due to decomposition or rupture, leading to a decline in the lubrication performance of the drilling fluids. The combined effects of increased thermal stress and reduced lubrication efficiency under high-temperature conditions result in more severe spalling and rougher wear surfaces on the PCD compacts [38]. Among all tested drilling fluid formulations, the drilling fluid with an oil-to-water ratio of 80:20 yields relatively smoother wear surfaces on the PCD compact.
Figure 6.
SEM images of PCD compacts tested in drilling fluids with different oil–water ratios at working temperatures ranging from 25 to 125 °C.
To further characterize the elemental distribution at the friction interface, EDS analyses were conducted on the wear tracks of PCD compacts tested in drilling fluids with varying oil-to-water ratios under working temperatures ranging from 25 °C to 125 °C, as shown in Figure 7. The results reveal an absence of carbon signals within the spalling pits, while a significant amount of oxygen is detected in these regions. The oxygen appears to be associated with cobalt, suggesting the formation of Co3O4 oxides. Although diamond grains are extremely hard and wear-resistant, the cobalt binder phase is relatively soft. Under the combined effects of cyclic stress, frictional heating, and the drilling fluid environment, cobalt is susceptible to electrochemical corrosion in the presence of moisture, leading to the formation of Co3O4 [37]. Once the cobalt surrounding a grain is excessively worn, corroded, or dissolved, the bonding strength between that grain and the surrounding matrix significantly deteriorates. Consequently, diamond grains that lose adequate support or adhesion can be pulled out or detached together with surrounding regions under continuous frictional shear, forming spalling pits.
Figure 7.
EDS spectra of the worn surfaces of PCD compacts under different oil–water ratios drilling fluids environments: (a) 0:100; (b) 20:80; (c) 50:50; (d) 80:20; (e) 100:0.
At lower oil-to-water ratios, the drilling fluid provides sufficient moisture to promote the oxidation of Co. However, its relatively poor lubricity results in a higher friction coefficient, which accelerates mechanical fatigue wear of the cobalt phase. In contrast, higher oil-to-water ratios offer improved lubrication via oil film formation, which lowers the friction coefficient and contact stress, thereby mitigating mechanical wear of the cobalt. Moreover, the oil phase acts as a barrier, isolating cobalt from water and dissolved oxygen, and significantly suppressing corrosion and oxidation. Therefore, the co-occurrence of Co and O in the spalling pits serves as direct evidence of preferential failure of the cobalt binder due to combined mechanical and corrosive wear, whereas the carbon signals in unworn areas represent the diamond matrix, which remains more resistant to wear [39,40].
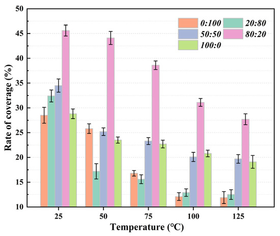
After tribological testing, the worn surfaces of PCD compacts are found to be uniformly covered with colored tribo-chemical films, as shown in Figure 8. The coverage of these films on typical wear tracks under oil-based drilling fluid conditions is quantified using a grid-based method, and the results are presented in Figure 9. The formation of these colored films can be attributed to the softening of the cobalt binder in the PCD matrix under frictional heating. Under applied shear forces, the softened cobalt adheres to the sliding interface and subsequently oxidizes, forming a metal oxide film [37]. Additionally, during the friction process, some diamond grains may be detached from the PCD matrix. Under elevated temperatures, localized graphitization may occur, producing nanocrystalline graphite or amorphous carbon. The uneven thicknesses of the resulting metal oxide and carbonaceous films cause light interference effects, giving rise to the observed coloration under optical microscopy [41,42,43]. Both cobalt oxides (such as CoO and Co3O4) and nanocrystalline graphite possess lamellar structures, which allow them to act as solid lubricants that reduce adhesive wear. These transfer films also cover the surface asperities and fill the gaps between microscopic contact points, leading to smoother contact and reduced friction coefficients. As shown in Figure 9, the coverage of the colored transfer films gradually decreases with increasing temperature. This is likely due to the thermal expansion mismatch between the diamond grains and cobalt binder in the PCD structure, which induces microcracks. These cracks promote grain pull-out and facilitate the mechanical removal of pre-formed transfer films. Among the various oil-to-water volume ratios examined, the highest film coverage is observed for the 80:20 ratio. In systems with a higher water content, the generated transfer films may not adhere stably to the surface. Conversely, when the oil content is too high, the oil phase acts as a complete barrier to oxygen and moisture, preventing the oxidation of cobalt and thus inhibiting tribo-chemical film formation [44,45,46].
Figure 8.
Friction-induced tribo-chemical films on the worn surfaces of PCD compacts under drilling fluid environments at 25–125 °C.
Figure 9.
Percentage coverage of tribo-chemical films on the worn surfaces.
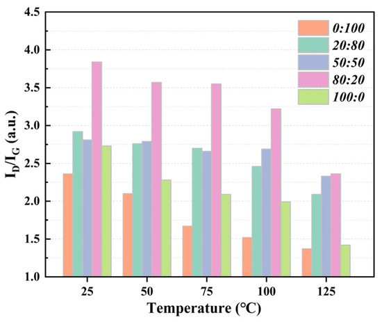
Raman spectroscopy is further conducted on the PCD compacts, and both the D peak (approximately 1360 cm−1) and G peak (approximately 1580 cm−1) are observed in all sample groups, as shown in Figure 10. The G peak corresponds to the characteristic vibrational mode of sp2-hybridized carbon in graphite and indicates the presence of an ordered graphitic structure. The D peak is generally attributed to structural defects, disorder, and grain boundaries within the graphite lattice. The presence of both D and G peaks in PCD, which is originally composed of pure sp3-bonded diamond, clearly reveals the formation of sp2-bonded carbon such as graphite or graphite-like phases in the frictional contact regions [41,47]. To quantitatively assess this structural evolution, the intensity ratio of the D to G peaks (ID/IG) is calculated to evaluate the degree of graphitization after the friction tests, as presented in Figure 11. The green curve represents the fitted peak of D. While the orange curve represents the fitted peak of G. With increasing temperature, a gradual decrease in the ID/IG ratio is observed for all drilling fluid compositions. This trend reflects a temperature-accelerated competition between tribo-induced graphitization and oxidative removal of sp2 carbon species. The decrease in ID/IG at elevated temperatures indicates instability of the carbonaceous tribo-film due to enhanced oxidation kinetics rather than reduced graphitization alone.
Figure 10.
Raman spectroscopic analysis of typical wear scar surfaces of PCD compacts in drilling fluid environments under working temperatures ranging from 25 to 125 °C: (a) 0:100; (b) 80:20; (c) 50:50; (d) 20:80; (e) 100:0.
Figure 11.
The intensity ratio of the D peak to the G peak in the Raman spectrum.
Consequently, direct abrasive wear occurs between the PCD self-mated wear pairs, resulting in increased friction coefficients and wear rates. In addition, among the various oil-to-water volume ratios, the drilling fluid with a ratio of 80:20 exhibits the highest ID/IG values of 3.84, 3.57, 3.55, 3.22, and 2.36, which are significantly higher than those corresponding to other fluid compositions. This observation is consistent with the previously noted higher coverage of colored tribo-films under optical microscopy.
To further investigate how tribo-chemical reactions influence the friction coefficient and wear rate of PCD compacts, XPS analysis is performed on the wear scar surfaces. It should be clarified that the XPS analysis was primarily performed on the diamond-rich wear track regions to investigate the evolution of carbon bonding states. Although cobalt oxides were detected by EDS within spalling pits, cobalt in PCD functions as a binder phase and is inherently present in the composite structure. The EDS-detected Co and O signals mainly originate from localized binder exposure and oxidation within spalling areas. In contrast, the XPS measurements were focused on relatively flat wear regions dominated by diamond grains, where carbon bonding evolution (C-C, C-O, and C-OH) plays the primary role in interfacial tribo-chemical reactions. Since the binder phase occupies a limited volume fraction and is not uniformly exposed across the wear track, quantitative analysis of Co-related peaks was not emphasized in this study.
As shown in Figure 12, the formation of C–O and C–O–H bonds are detected on the wear surfaces of the PCD compacts under drilling fluid environments with varying oil–water ratios at working temperatures ranging from 25 to 125 °C. This observation indicates that oxidative wear and dangling bond passivation occurred at the sliding interface. PCD compacts contain a large number of grain boundaries and non-ideal bonding sites at the interface, commonly referred to as dangling bonds. Under frictional contact and thermal activation, these highly reactive dangling bonds tend to interact with water or oxygen molecules in the drilling fluid, leading to the formation of stable functional groups such as C–OH and C–H. The effectiveness of dangling-bond passivation is strongly temperature-dependent. Below ~100 °C, hydroxyl-mediated passivation dominates interfacial stabilization. However, above this threshold, evaporation reduces hydroxyl availability, weakening passivation and allowing oxidation reactions to prevail [28,29].
Figure 12.
XPS fine spectra of C element of PCD compacts in drilling fluids environment under working temperatures ranging from 25 to 125 °C: (a) 0:100; (b) 80:20; (c) 50:50; (d) 20:80; (e) 100:0.
To compare the extent of dangling bond passivation under different drilling fluid compositions and temperatures, the peak areas of C–O, C–OH, and C–C bonds in the XPS spectra are quantified and plotted, as shown in Figure 13. The proportion of C–O bonds on the wear scar surfaces of PCD compacts exhibit a continuous increase with rising temperature, indicating a gradual intensification of oxidative wear under higher working temperatures. The severe oxidation observed at 125 °C is attributed to the increased reactivity of oxygen molecules at elevated temperatures, which accelerates the oxidation of diamond grains. At temperatures below 100 °C, the dangling bond passivation effect at the self-mated sliding interface of PCD under drilling fluids with oil–water ratios of 0:100 and 20:80 show a rising trend with increasing temperature. However, when the working temperature exceeds 100 °C, the passivation effect under these same drilling fluid conditions begin to decline with further temperature increase. This reversal may be due to thermal instability of the passivating species or enhanced desorption and oxidation at elevated temperatures [48,49].
Figure 13.
The ratio of C-O, C-O-H and C-C bond content in drilling fluids environment under working temperatures ranging from 25 to 125 °C: (a) 0:100; (b) 80:20; (c) 50:50; (d) 20:80; (e) 100:0.
3.3. Friction and Wear Mechanism
Based on the analyses of the friction coefficient and XPS results, it is found that the tribological behavior of the drilling fluid with a low oil–water ratio of 20:80 is similar to that of the pure water-based fluid (0:100). The tribological behavior can be described by a two-regime transition model. At lower temperatures and higher water content, hydroxyl-mediated dangling-bond passivation governs friction reduction. As temperature increases beyond ~100 °C, evaporation-induced suppression of passivation shifts the interface toward oxidation-dominated and fatigue-driven wear.
When the working temperature is below 100 °C, the friction coefficient of the PCD compacts in both the 0:100 and 20:80 drilling fluids decrease with increasing temperature. This reduction is attributed to the enhanced passivation effect of the surface dangling bonds. However, when the temperature exceeds 100 °C, water evaporation and vaporization suppress the passivation effect, resulting in an increase in friction coefficient [50,51].
Consequently, under conditions below 100 °C, the average friction coefficient of PCD compacts in the 0:100 and 20:80 drilling fluids decrease with increasing temperature. In contrast, for drilling fluids with higher oil content (ratios of 50:50 and 80:20), the tribological behavior resembles that of the pure oil-based fluid (100:0), where the dominant influencing factors are the surface roughness of the wear scar and the coverage of the carbon-based tribo-chemical film. Surface morphology and Raman spectroscopy reveal that with increasing temperature, the wear scar surface became progressively rougher, and the coverage of the carbon-based tribo-film decreases, leading to a rise in the average friction coefficient of the PCD compacts.
Figure 14 illustrates the wear mechanisms of PCD compacts in drilling fluid environments at 25–125 °C. At 25 °C, the wear scars exhibit minimal spalling pits and high coverage of the carbon-based tribo-chemical film, indicating mild wear. However, as the temperature increases, the thermal stress at the self-mated PCD interface also rise. Elevated thermal stress promotes the propagation of fatigue cracks and the spalling of diamond grains, ultimately resulting in a higher fraction of spalling pit area and a rougher wear surface at 125 °C in oil-based drilling fluid environments. According to the wear scar morphology and Raman spectroscopy, the coverage of carbon-based tribo-chemical films on the wear surfaces of PCD compacts decrease progressively with increasing temperature. Previous studies have shown that oxidation and graphitization of diamond occur simultaneously during friction. Under cyclic frictional heating, detached diamond grains and the surface carbon atoms of tribo-films react with oxygen to form CO and CO2, which then escape from the surface. Therefore, the decline in carbon-based tribo-film coverage with increasing temperature can be attributed to two primary factors: (1) elevated temperature enhances the reactivity of oxygen molecules, accelerating the oxidation of carbon atoms, and (2) increased thermal stress intensifies the spalling of diamond grains, resulting in greater surface roughness [7,52,53]. The reduced coverage of protective tribo-films further accelerates both the spalling and oxidation of diamond grains, thereby intensifying fatigue and oxidative wear of the PCD compacts. In addition, as the temperature increases, the lubricating oil film at the PCD sliding interface may degrade or rupture, reducing the fluidity and lubrication performance of the oil-based drilling fluid. This degradation increases interfacial wear and contributes to the higher wear rates of the PCD compacts. In summary, the wear rate of PCD compacts under drilling fluid environments from 25 to 125 °C shows a continuous increase with temperature, primarily due to the combined effects of increased spalling pit area, decreased carbon-based tribo-film coverage, and diminished lubricating film stability.
Figure 14.
Schematic diagram of the friction and wear mechanisms of PCD compacts under drilling fluid conditions at 25–125 °C.
4. Conclusions
This study systematically investigated the high-temperature tribological behavior of PCD compacts under drilling fluid environments with varying oil–water volume ratios (0:100 to 100:0) and working temperatures ranging from 25 °C to 125 °C. By integrating friction coefficient evolution, wear rate analysis, surface morphology characterization, and spalling pit quantification, the coupling effects of fluid composition and temperature on the interfacial tribological mechanisms of PCD were clarified. The main conclusions are summarized as follows:
(1) The tribological performance of PCD compacts is governed by a temperature–fluid composition coupling mechanism rather than by oil or water dominance alone. At low oil–water ratios (0:100 and 20:80), increasing temperature (25–100 °C) enhances the passivation of dangling bonds at the sliding interface, resulting in a reduction in friction coefficient. However, when the temperature exceeds 100 °C, the passivation effect weakens, leading to increased interfacial adhesion and friction instability.
(2) At high oil–water ratios (50:50, 80:20, and 100:0), the tribological response is controlled by the combined stability of carbon-based tribo-chemical films and the integrity of the lubricating oil film. With increasing temperature, the deterioration of oil film lubrication and the reduction in tribo-film coverage collectively promote adhesive interaction and micro-spalling, resulting in a monotonic increase in friction coefficient.
(3) The wear behavior of PCD under oil-dominated environments is strongly associated with thermally activated surface damage evolution. The increase in temperature accelerates spalling pit propagation, reduces the protective tribo-chemical film coverage, and weakens lubrication film stability, leading to a progressive increase in wear rate.
(4) From an engineering perspective, the results demonstrate that the tribological performance of PCD drilling tools cannot be evaluated solely based on oil or water content. Instead, the high-temperature stability of interfacial passivation and tribo-film formation plays a decisive role in determining tool durability. Optimizing the oil–water ratio to balance chemical passivation and lubrication film stability is therefore critical for improving the service life of PCD cutters under high-temperature drilling conditions.
Author Contributions
Conceptualization, D.X., D.S., Y.G., R.W., H.L. and Y.P.; Methodology, D.X., D.S. and Y.G.; Validation, Y.G.; Formal analysis, Y.G.; Investigation, D.X. and Y.G.; Resources, Y.G.; Data curation, S.B. and Y.G.; Writing—original draft, S.B.; Writing—review & editing, D.X. and S.B.; Visualization, D.X., D.S. and S.B.; Supervision, D.S.; Project administration, D.X.; Funding acquisition, D.S. All authors have read and agreed to the published version of the manuscript.
Funding
This research was funded by the National Key Research and Development Project (Grant no. 2023YFF0611102), the Natural Science Foundation of Henan Province (Grant no. 232300421104) and the National Key Research and Development Enterprise Supporting Projects (Grant no. 2024DQ0537).
Data Availability Statement
The original contributions presented in this study are included in the article. Further inquiries can be directed to the corresponding author.
Conflicts of Interest
Authors Di Xu and Ren Wang were employed by the company CNPC China Petroleum Finance Co., Ltd. and CNPC Engineering Technology Research Institute Co., Ltd. The remaining authors declare that the research was conducted in the absence of any commercial or financial relationships that could be construed as a potential conflict of interest.
References
- Yun, J.; Liu, B. Tribological behavior of textured polycrystalline diamond compact for thrust bearings using the surface morphology of dung beetles as an inspiration. Tribol. Int. 2024, 199, 109936. [Google Scholar] [CrossRef]
- Knuteson, C.; Sexton, T.; Cooley, C. Wear-in behaviour of polycrystalline diamond thrust bearings. Wear 2011, 271, 2106–2110. [Google Scholar] [CrossRef]
- Wu, C.; Yang, K.; Ni, J.; Lu, S.; Yao, L.; Li, X. Investigations for vibration and friction torque behaviors of thrust ball bearing with self-driven textured guiding surface. Friction 2023, 11, 894–910. [Google Scholar] [CrossRef]
- Liang, X.; Zhang, S.; Cui, L.; Han, M.; Yan, X. Friction and wear behaviors of polycrystalline diamond self-mated pairs in air and water lubrication conditions. Wear 2023, 530, 205006. [Google Scholar] [CrossRef]
- Rostamsowlat, I.; Evans, B.; Sarout, J.; Rostami, J.; Kwon, H.-J. Determination of Internal Friction Angle of Rocks Using Scratch Test with a Blunt PDC Cutter. Rock Mech. Rock Eng. 2022, 55, 7859–7880. [Google Scholar] [CrossRef]
- Rostamsowlat, I.; Evans, B.; Kwon, H.J. A review of the frictional contact in rock cutting with a PDC bit. J. Pet. Sci. Eng. 2022, 208, 109665. [Google Scholar] [CrossRef]
- Dai, W.; Zhang, S.; Tu, J.; Wang, X.; Zhao, C.; Liu, B. Grain size dependence of wear resistance of polycrystalline diamond compact. Ceram. Int. 2023, 49, 37396–37406. [Google Scholar] [CrossRef]
- Li, F.; Liu, W.; Gao, D.; Li, Y. Study on super impact resistant polycrystalline diamond compacts with homogeneous PCD/WC-Co interlayer. Int. J. Refract. Met. Hard Mater. 2024, 119, 106558. [Google Scholar] [CrossRef]
- Wang, J.; Xue, Q.; Liu, B.; Li, L.; Li, F.; Zhang, K.; Zang, Y. Experimental measurement on friction performance of PDC bearings for oil drilling under different working conditions. Measurement 2020, 163, 107988. [Google Scholar] [CrossRef]
- Górny, K.; Madej, M.; Stachowiak, A. Evaluation of Wear Resistance in Tungsten-Doped Diamond-like Carbon Coatings (WC/C) on Coated and Uncoated Surfaces Under Starved Oil Lubrication with R452A Refrigerant. Materials 2024, 17, 5504. [Google Scholar] [CrossRef]
- Li, Y.; Sha, X.; Yue, W.; Qin, W.; Wang, C. Effects of tribochemical reaction on tribological behaviors of Si3N4/polycrystalline diamond in hydrochloric acid. Int. J. Refract. Met. Hard Mater. 2019, 79, 197–203. [Google Scholar] [CrossRef]
- Arshad, M.S.; Čoga, L.; Kovač, J.; Geue, T.; Cruz, S.M.; Kalin, M. Understanding the role of tungsten species in diamond-like carbon coatings for enhanced interaction with ionic liquids. Tribol. Int. 2025, 201, 110220. [Google Scholar] [CrossRef]
- Bie, S.-R.; Guo, Y.-J.; She, D.-S.; Wang, R.; Liang, H.-B.; Pan, Y. Effects of oil -water ratio in oil-based drilling fluid on high-temperature tribological performance of polycrystalline diamond. Diam. Relat. Mater. 2026, 162, 113243. [Google Scholar] [CrossRef]
- Gou, R.; Chen, J.; Luo, X.; Zhao, J.; Lei, Z. Tribological behavior of the friction film of polycrystalline diamond compact and different matching materials in drilling fluid. J. Alloys Compd. 2023, 967, 171703. [Google Scholar] [CrossRef]
- Qin, W.; Yue, W.; Wang, C. Controllable wear behaviors of silicon nitride sliding against sintered polycrystalline diamond via altering humidity. J. Am. Ceram. Soc. 2018, 101, 2506–2515. [Google Scholar] [CrossRef]
- Yue, T.; Yue, W.; Qin, W.; Liu, P.; Wang, C. Effects of environmental atmospheres on tribological behaviors of sintered polycrystalline diamond sliding against silicon nitride. Int. J. Refract. Met. Hard Mater. 2019, 81, 85–93. [Google Scholar] [CrossRef]
- Li, C.; Zhang, X.; Oliveira, E.F.; Puthirath, A.B.; Neupane, M.R.; Weil, J.D.; Birdwell, A.G.; Ivanov, T.G.; Kong, S.; Gray, T.; et al. Systematic comparison of various oxidation treatments on diamond surface. Carbon 2021, 182, 725–734. [Google Scholar] [CrossRef]
- Bouchet, M.-I.D.B.; Zilibotti, G.; Matta, C.; Righi, M.C.; Vandenbulcke, L.; Vacher, B.; Martin, J.-M. Friction of Diamond in the Presence of Water Vapor and Hydrogen Gas. Coupling Gas-Phase Lubrication and First-Principles Studies. J. Phys. Chem. C 2012, 116, 6966–6972. [Google Scholar] [CrossRef]
- Sha, X.; Li, Y.; Yue, W.; Qin, W.; Wang, C. pH Dependence of Tribochemical Wear of Silicon Nitride Sliding against Polycrystalline Diamond in Alkaline Solutions. Tribol. Trans. 2020, 63, 820–828. [Google Scholar] [CrossRef]
- Bhamra, J.S.; Everhard, E.M.; Bomidi, J.A.R.; Dini, D.; Ewen, J.P. Comparing the Tribological Performance of Water-Based and Oil-Based Drilling Fluids in Diamond–Rock Contacts. Tribol. Lett. 2024, 72, 19. [Google Scholar] [CrossRef]
- Xue, T.; Zhang, K.; Wang, Y.; Kong, L. Tribological behavior of polycrystalline diamond compact in high temperature drilling fluid: Revealing the wear-oxidation/corrosion synergistic effect. Diam. Relat. Mater. 2026, 163, 113331. [Google Scholar] [CrossRef]
- Gou, R.; Chen, J.; Luo, X. Nanomolybdenum disulfide additive improves the tribological behavior of cobalt removal polycrystalline diamond compact. Tribol. Int. 2022, 176, 107896. [Google Scholar] [CrossRef]
- Okhlupin, D.N.; Korolev, A.V.; Sinev, I.V. Discrete Friction Mechanisms of a Metal Tool with Polycrystalline Diamond-Coated Detail. J. Frict. Wear 2020, 41, 538–542. [Google Scholar] [CrossRef]
- Laurindo, Q.M.G.; Rosa, J.M.B.; Guimarães, R.d.S.; Teixeira, S.R.; Lima, L.S.; Xing, Y.; Filgueira, M. Polycrystalline diamond obtained in the diamond-Mo system with enhanced thermal stability sintered by HPHT. Int. J. Refract. Met. Hard Mater. 2024, 118, 106464. [Google Scholar] [CrossRef]
- Cai, W.; Lu, J.; Xiong, Q.; Luo, Z.; Yan, Q. Tribological behavior of polycrystalline diamond based on photo-Fenton reaction. Diam. Relat. Mater. 2023, 140, 110430. [Google Scholar] [CrossRef]
- Konicek, A.R.; Grierson, D.S.; Sumant, A.V.; Friedmann, T.A.; Sullivan, J.P.; Gilbert, P.U.P.A.; Sawyer, W.G.; Carpick, R.W. Influence of surface passivation on the friction and wear behavior of ultrananocrystalline diamond and tetrahedral amorphous carbon thin films. Phys. Rev. B 2012, 85, 155448. [Google Scholar] [CrossRef]
- Kong, L.; Li, W.; Huang, K.; Luo, H.; Cao, X.; Zhang, G. Unraveling the effects of boron incorporated on tribological properties of amorphous carbon film under water lubrication. Surf. Coatings Technol. 2022, 446, 128755. [Google Scholar] [CrossRef]
- Guo, Y.-J.; She, D.-S.; Yue, W.; Wang, R.; Liang, H.-B.; Pan, Y. Temperature-dependent tribological mechanism of polycrystalline diamond under water-based drilling fluid environments. Int. J. Refract. Met. Hard Mater. 2025, 132, 107248. [Google Scholar] [CrossRef]
- Guo, Y.-J.; She, D.-S.; Yue, W.; Wang, J.-H.; Liang, H.-B.; Wang, R.; Cui, L. High-temperature tribological behaviors of polycrystalline diamond under water-based drilling fluid environments. Diam. Relat. Mater. 2025, 151, 111785. [Google Scholar] [CrossRef]
- Hossain, K.R.; Lyu, Y.; Yao, X.; Yang, Y.; Jiang, P.; Wang, X. Tribological and mechanical properties of fabricated soft materials with a podium mesostructured. Tribol. Int. 2023, 187, 108673. [Google Scholar] [CrossRef]
- Shang, X.; Yu, K.; Zuo, X.; Yang, H. Low wear braking material with high friction coefficient. Tribol. Int. 2022, 173, 107608. [Google Scholar] [CrossRef]
- Li, X.; Luo, Y.; Li, J.; Cao, X.; Wang, L.; Zhang, G.; Luo, Z. Predominant role of fatigue crack evolution and tribo-chemistry on tribological behavior of Si-DLC film under different relative humidity. Tribol. Int. 2023, 181, 108326. [Google Scholar] [CrossRef]
- Wang, J.; Li, Y.; Zeng, Z.; Wang, H.; Shi, C.; Yang, B.; Li, Y. Microstructure, mechanical properties, and tribological behavior of diamond-reinforced CuSnTi matrix composites by hot press sintering. J. Alloys Compd. 2025, 1024, 180203. [Google Scholar] [CrossRef]
- Liu, Y.; Wang, L.; Liu, T.; Zhang, H.; Zhu, X. Probing the tribological behaviors of diamond-like carbon film in water-based drilling fluid environment by varying normal loads. Diam. Relat. Mater. 2022, 130, 109552. [Google Scholar] [CrossRef]
- Yun, J.; Liu, B. Cobalt-removed PDC as the diamond thrust bearing friction pair material: Tribological behavior in water-based drilling fluids. Tribol. Int. 2023, 189, 109004. [Google Scholar] [CrossRef]
- Zhang, K.; Wang, Z.; Wang, D.; Zhao, B.; Zhou, Q.; Liu, B. Tribological behavior of TSP reinforced WC matrix composites sliding against N80 casing steel lubricated by water-based drilling fluid. Int. J. Refract. Met. Hard Mater. 2019, 79, 171–176. [Google Scholar] [CrossRef]
- Li, J.; Yue, W.; Wang, C. Microstructures and thermal damage mechanisms of sintered polycrystalline diamond compact annealing under ambient air and vacuum conditions. Int. J. Refract. Met. Hard Mater. 2016, 54, 138–147. [Google Scholar] [CrossRef]
- Meng, D.; Yan, G.; Yue, W.; Lin, F.; Wang, C. Thermal damage mechanisms of Si-coated diamond powder based polycrystalline diamond. J. Eur. Ceram. Soc. 2018, 38, 4338–4345. [Google Scholar] [CrossRef]
- Liu, C.; Zhou, F. Effect of soaking time on the friction properties of polycrystalline diamonds. Int. J. Refract. Met. Hard Mater. 2015, 48, 82–88. [Google Scholar] [CrossRef]
- Gou, R.; Luo, X. Friction behavior and wear mechanism of the PDC-CR in comparison with different friction pairs at high temperatures. Ceram. Int. 2024, 50, 8132–8140. [Google Scholar] [CrossRef]
- Gou, R.; Luo, X.; Li, K.; Kang, C.; Chen, J. PCD after cobalt leaching reinforced by high temperature annealing: Tribological properties and graphitization evolution. Diam. Relat. Mater. 2022, 125, 108988. [Google Scholar] [CrossRef]
- Chen, L.; Liu, Y.; Shi, D.; Zhang, X.; Bai, C.; Zhang, J. Controllable phase transition process of polycrystalline diamond surface for low friction via suppressing oxygen involved tribochemical reactions. Carbon 2024, 230, 119629. [Google Scholar] [CrossRef]
- Zhao, Y.; Yue, W.; Lin, F.; Wang, C.; Wu, Z. Friction and wear behaviors of polycrystalline diamond under vacuum conditions. Int. J. Refract. Met. Hard Mater. 2015, 50, 43–52. [Google Scholar] [CrossRef]
- Jaworska, L.; Klimczyk, P.; Szutkowska, M.; Putyra, P.; Sitarz, M.; Cygan, S.; Rutkowski, P. Thermal resistance of PCD materials with borides bonding phase. J. Superhard Mater. 2015, 37, 155–165. [Google Scholar] [CrossRef]
- Wei, C.; Chen, C.-H. The effect of thermal and plastic mismatch on stress distribution in diamond like carbon film under different interlayer/substrate system. Diam. Relat. Mater. 2008, 17, 1534–1540. [Google Scholar] [CrossRef]
- Sha, X.; Feng, B.; Yue, W.; Wang, C. Grain size dependent tribological behaviors of 700 °C annealed polycrystalline diamond. Int. J. Refract. Met. Hard Mater. 2021, 94, 105406. [Google Scholar] [CrossRef]
- Chen, Y.; Li, H.; Su, F.; Ma, G.; Li, Q.; Sun, J.; Lin, S. Friction and wear behavior of molybdenum-disulfide doped hydrogen-free diamond-like carbon films sliding against Al2O3 balls at elevated temperature. Wear 2024, 544, 205296. [Google Scholar] [CrossRef]
- Chen, T.; Wu, X.; Ge, Z.; Ruan, J.; Lv, B.; Zhang, J. Achieving low friction and wear under various humidity conditions by co-doping nitrogen and silicon into diamond-like carbon films. Thin Solid Films 2017, 638, 375–382. [Google Scholar] [CrossRef]
- Gou, R.; Chen, J.; Luo, X. Effect of different base oils on the friction behaviour of polycrystalline diamond compact. Lubr. Sci. 2024, 36, 286–297. [Google Scholar] [CrossRef]
- Zhou, Y.; Guo, P.; Sun, L.; Liu, L.; Xu, X.; Li, W.; Li, X.; Lee, K.-R.; Wang, A. Microstructure and property evolution of diamond-like carbon films co-doped by Al and Ti with different ratios. Surf. Coatings Technol. 2019, 361, 83–90. [Google Scholar] [CrossRef]
- Pei, L.; Zhang, J.; Ji, L.; Ma, T.; Li, H.; Liu, X.; Zhou, H.; Chen, J. A novel strategy for improving tribological properties of a-C films in vacuum by Au doping and self-migration. Tribol. Int. 2024, 193, 109345. [Google Scholar] [CrossRef]
- Zeng, Q.; Ning, Z. High-temperature tribological properties of diamond-like carbon films: A review. Rev. Adv. Mater. Sci. 2021, 60, 276–292. [Google Scholar] [CrossRef]
- Luo, H.; Ajmal, K.M.; Liu, W.; Yamamura, K.; Deng, H. Polishing and planarization of single crystal diamonds: State-of-the-art and perspectives. Int. J. Extreme Manuf. 2021, 3, 022003. [Google Scholar] [CrossRef]
Disclaimer/Publisher’s Note: The statements, opinions and data contained in all publications are solely those of the individual author(s) and contributor(s) and not of MDPI and/or the editor(s). MDPI and/or the editor(s) disclaim responsibility for any injury to people or property resulting from any ideas, methods, instructions or products referred to in the content. |
© 2026 by the authors. Licensee MDPI, Basel, Switzerland. This article is an open access article distributed under the terms and conditions of the Creative Commons Attribution (CC BY) license.













