Characterization of High-Temperature, Low-Temperature and Fatigue Performance of Phosphogypsum Warm-Mix Asphalt
Abstract
1. Introduction
2. Objective and Scope
3. Materials and Methods
3.1. Raw Materials
3.2. Preparation of Warm-Mix Asphalt
3.3. Dynamic Shear Oscillatory Test
3.4. MSCR Test
3.5. LAS Test
3.6. Low-Temperature Bending Rheological Properties
3.6.1. Creep Behavior Analysis
3.6.2. Burgers Model
4. Results and Discussion
4.1. Complex Modulus and Phase Angle of PGWA-Added Asphalt
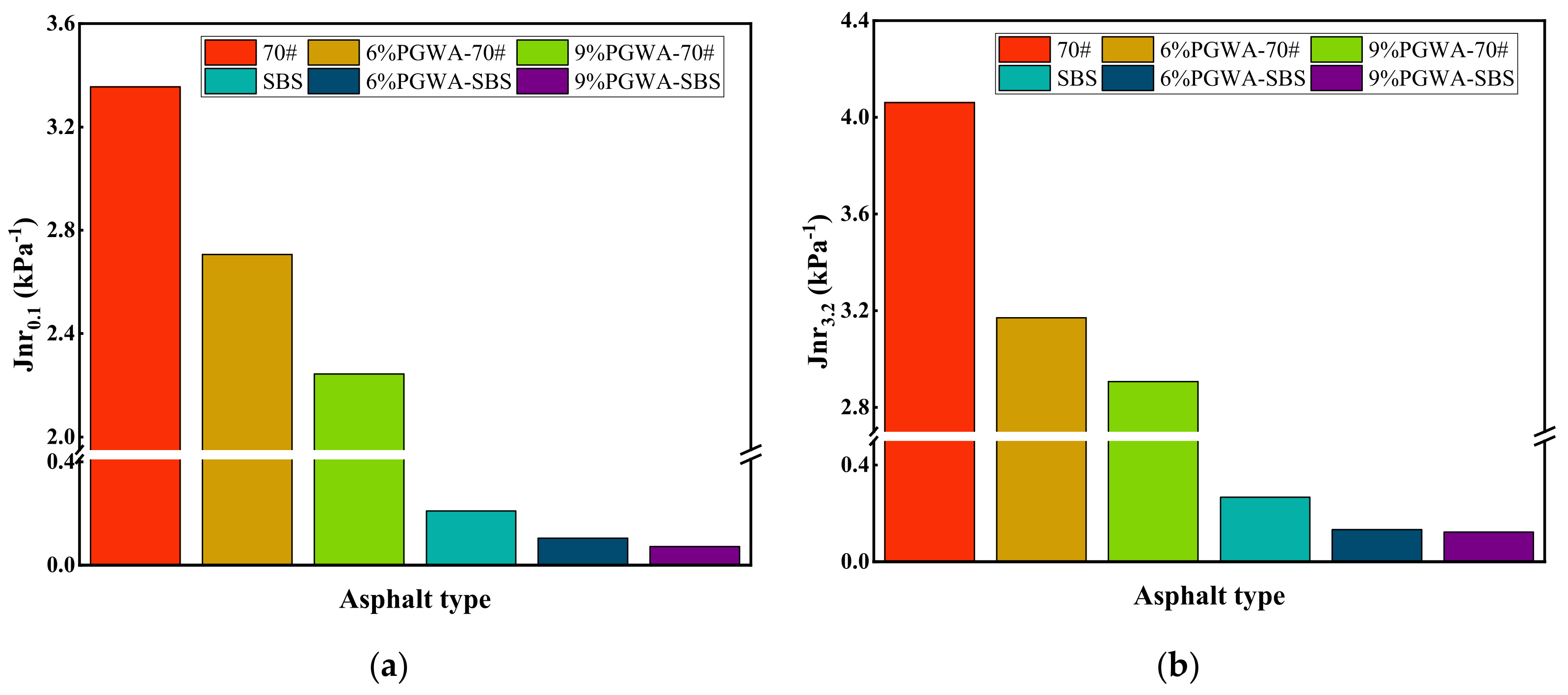
4.2. High-Temperature Performance of PGWA-Added Asphalt
4.3. Fatigue Performance of PGWA-Added Asphalt
4.4. Low-Temperature Bending Rheological Property
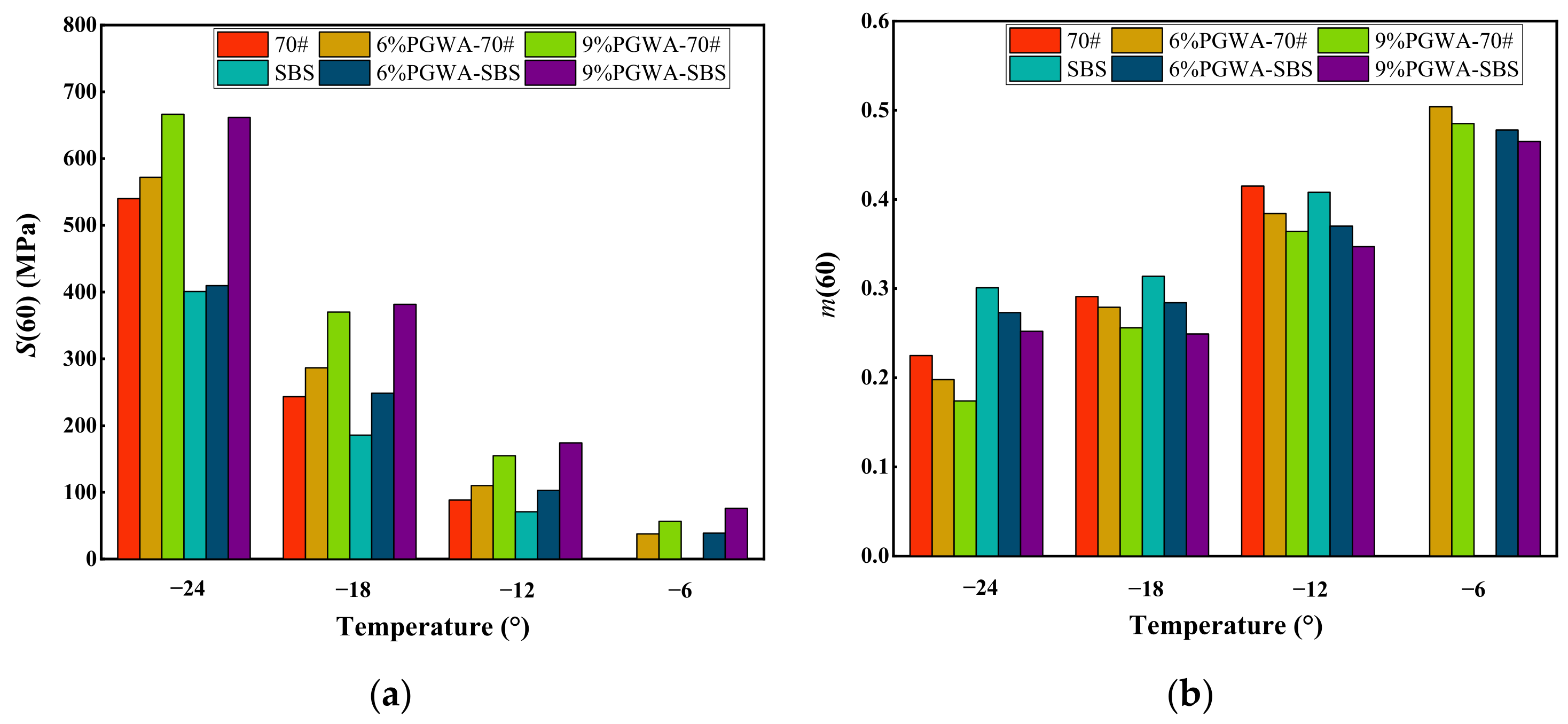
4.4.1. Creep Stiffness and Creep Rate
4.4.2. Low-Temperature Performance Analysis Based on Burgers Model
5. Conclusions
- (1)
- The complex modulus of PGWA-added base asphalt is consistently higher than that of base asphalt, while the difference in phase angle remains small. The SBS modifier provides a more pronounced improvement in high-temperature performance than the PGWA, leading to a substantial increase in complex modulus. Meanwhile, the PGWA maintains a relatively stable proportion between the viscous and elastic components of the asphalt.
- (2)
- Under the same stress conditions, the creep strain and accumulated strain of PGWA-added asphalt are lower than those of HMA. The creep recovery rate of PGWA-added asphalt increases, while the non-recoverable compliance decreases, indicating that the PGWA contributes to improving the rutting resistance of asphalt.
- (3)
- With the addition of the PGWA, the yield stress of the asphalt gradually increases, while the variation in yield strain remains relatively small. Among the evaluated cumulative damage parameters, the base asphalt exhibits the lowest level of accumulated damage. Incorporating the PGWA enhances the ability of asphalt to withstand cumulative damage and improves the fatigue life.
- (4)
- The creep stiffness of PGWA-added asphalt increases with higher additive content, while the creep rate decreases, indicating that the PGWA reduces the low-temperature cracking resistance of asphalt. The relaxation time calculated based on the Burgers model shows a variation trend consistent with that of the compliance parameters, confirming the applicability of the model for evaluating the low-temperature behavior of PGWA-added asphalt.
Author Contributions
Funding
Data Availability Statement
Conflicts of Interest
Abbreviations
| WMA | Warm-mix asphalt |
| HMA | Hot-mix asphalt |
| PGWA | Phosphogypsum warm-mix additive |
| SBS | Styrene–butadiene–styrene |
| MSCR | Multiple stress creep and recovery |
| LAS | Linear amplitude sweep |
| DSR | Dynamic shear rheometer |
| BBR | Bending beam rheometer |
| R | Creep recovery rate |
| Jnr | Non-recoverable compliance |
| C | Integrity index |
| S | Creep stiffness modulus |
| m | Stiffness rate |
| E1 | Instantaneous elastic modulus |
| E2 | Delayed elastic modulus |
| η1 | Instantaneous viscosity coefficient |
| η2 | Delayed viscosity coefficient |
| λ | Relaxation coefficient |
| JC | Flexibility coefficient |
| JE | Instantaneous elastic compliance |
| JV | Viscous flow compliance |
| JDE | Delayed elastic compliance |
References
- Martins, Z. Warm Mix Asphalt Investigation. Master’s Thesis, Riga Technical University, Riga, Latvia, 2010. [Google Scholar]
- Al-Khateeb, G.; Sukkari, A.; Ezzat, H.; Nasr, E.; Zeiada, W. Rheology of crumb rubber-modified warm mix asphalt (WMA). Polymers 2024, 16, 906. [Google Scholar] [CrossRef]
- Caputo, P.; Abe, A.A.; Loise, V.; Loise, M.; Loise, P.; Angelico, R.; Oliviero Rossi, C. The role of additives in warm mix asphalt technology: An insight into their mechanisms of improving an emerging technology. Nanomaterials 2020, 10, 1202. [Google Scholar] [CrossRef]
- Kheradmand, B.; Muniandy, R.; Hua, L.T.; Yunus, R.B.; Solouki, A. An overview of the emerging warm mix asphalt technology. Int. J. Pavement Eng. 2014, 15, 79–94. [Google Scholar] [CrossRef]
- Kakar, M.R.; Hamzah, M.O.; Akhtar, M.N.; Woodward, D. Surface free energy and moisture susceptibility evaluation of asphalt binders modified with surfactant-based chemical additive. J. Clean. Prod. 2016, 112, 2342–2353. [Google Scholar] [CrossRef]
- Cheng, H.Y.; Wu, W.X.; Li, N.X.; Wang, X.B.; Danilov, R.G. Construction and validation of a model for asphalt foaming behavior. Phys. Fluids 2025, 37, 013335. [Google Scholar] [CrossRef]
- Cuadri, A.A.; Pérez-Moreno, S.; Altamar, C.L.; Navarro, F.J.; Bolívar, J.P. Phosphogypsum as additive for foamed bitumen manufacturing used in asphalt paving. J. Clean. Prod. 2021, 283, 124661. [Google Scholar] [CrossRef]
- Tang, N.; Deng, Z.X.; Dai, J.G.; Yang, K.K.; Chen, C.Y.; Wang, Q. Geopolymer as an additive of warm mix asphalt: Preparation and properties. J. Clean. Prod. 2018, 192, 906–915. [Google Scholar] [CrossRef]
- Tang, N.; Nie, N.; Du, W.J.; Sun, Y.H.; Li, R.X.; Zhang, R.F. Coal gangue based geopolymer as an additive of warm mix asphalt: Preparation and properties. Mater. Res. Express 2024, 11, 115503. [Google Scholar] [CrossRef]
- Zou, F.; Xu, X.; Chen, R.; Lan, J.; Li, G.; Tan, Z.; Leng, Z. A novel foaming additive derived from waste polyethylene terephthalate (PET) for low-carbon warm mix asphalt. Resour. Conserv. Recycl. 2024, 202, 107377. [Google Scholar] [CrossRef]
- Duan, P.; Han, Y.; Cao, W.; Lei, T.; Liu, Z.; Min, Z.; Zeng, S. Catalytic cracking of waste polyethylene into wax-based warm-mix agent for optimizing rheological and mechanical properties of asphalt composites. Constr. Build. Mater. 2023, 370, 130732. [Google Scholar] [CrossRef]
- Hu, J.; Jiang, X.; Chu, Y.; Xu, S.; Xu, X. Mechanochemical Upcycling of Waste Polypropylene into Warm-Mix Modifier for Asphalt Pavement Incorporating Recycled Concrete Aggregates. Polymers 2024, 16, 2494. [Google Scholar] [CrossRef]
- Köse, H.; Çelik, O.N.; Arslan, D. A novel approach to warm mix asphalt additive production from polypropylene waste plastic via pyrolysis. Constr. Build. Mater. 2024, 411, 134151. [Google Scholar] [CrossRef]
- Zou, F.; Leng, Z.; Cao, R.; Li, G.; Zhang, Y.; Sreeram, A. Performance of zeolite synthesized from sewage sludge ash as a warm mix asphalt additive. Resour. Conserv. Recycl. 2022, 181, 106254. [Google Scholar] [CrossRef]
- Zhao, Y.; Chen, M.; Wu, S.; Zhu, Y.; Zhou, X.; Yang, C.; Chen, D. Feasibility assessment of palmitamide derived from waste edible oil as a warm mix asphalt additive. Constr. Build. Mater. 2023, 401, 132972. [Google Scholar] [CrossRef]
- Razali, R.; Hainin, M.R.; Hassan, N.A.; Satar, M.K.I.M.; Abdulrahman, S.; Kamarudin, S.N.N. Sustainable asphalt innovation: Harnessing treated waste cooking oil for enhanced warm mix rubberized pavement. Innov. Infrastruct. Solut. 2025, 10, 445. [Google Scholar] [CrossRef]
- Li, C.; Liu, Q.; Fu, C.; Wang, H.; Wang, T.; Cheng, Y.; Zhou, D. Laboratory investigation on the properties of warm mixing-recycled asphalt containing waste oil and plastics. Int. J. Pavement Eng. 2024, 25, 2301455. [Google Scholar] [CrossRef]
- Cánovas, C.R.; Macías, F.; Pérez-López, R.; Basallote, M.D.; Millán-Becerro, R. Valorization of wastes from the fertilizer industry: Current status and future trends. J. Clean. Prod. 2018, 174, 678–690. [Google Scholar] [CrossRef]
- Carbonell-Barrachina, A.; DeLaune, R.D.; Jugsujinda, A. Phosphogypsum chemistry under highly anoxic conditions. Waste Manag. 2002, 22, 657–665. [Google Scholar] [CrossRef] [PubMed]
- Rashad, A.M. Potential use of phosphogypsum in alkali-activated fly ash under the effects of elevated temperatures and thermal shock cycles. J. Clean. Prod. 2015, 87, 717–725. [Google Scholar] [CrossRef]
- Guan, Q.J.; Wang, Z.; Zhou, F.J.; Yu, W.J.; Yin, Z.G.; Zhang, Z.Y.; Chi, R.A.; Zhou, J.C. The impurity removal and comprehensive utilization of phosphogypsum: A review. Materials 2024, 17, 27. [Google Scholar] [CrossRef] [PubMed]
- Gaudry, A.; Zeroual, S.; Gaie-Levrel, F.; Moskura, M.; Boujrhal, F.Z.; Moursli, R.C.; Guessous, A.; Mouradi, A.; Givernaud, T.; Delmas, R. Heavy metals pollution of the Atlantic marine environment by the Moroccan phosphate industry, as observed through their bioaccumulation in Ulva lactuca. Water Air. Soil Pollut. 2007, 178, 267–285. [Google Scholar] [CrossRef]
- Ou, L.; Zhang, X.; Zhu, H.; Shan, B.; Chen, R.; Yang, S.; Yang, X. Phosphogypsum as a warm mix asphalt additive: Preparation and performance. Constr. Build. Mater. 2025, 490, 142326. [Google Scholar] [CrossRef]
- JTG 3410-2025; Standard Test Methods of Asphalt and Asphalt Mixture for Highway Engineering. China Communication Press: Beijing, China, 2025.
- Morshed, M.T. Laboratory Evaluation of Nanoclay Modified Asphalt Binders. Master’s Thesis, Arkansas State University, Jonesboro, AR, USA, 2019. [Google Scholar]
- Navarrete, C.; Coelho, L.M.; dos Santos, W.W.; Monteiro, S.N.; Guimaraes, A.C.R. Mechanical evaluation of the fine aggregate matrix in complete asphalt mixtures incorporating boiler ash. J. Mater. Res. Technol. 2025, 37, 1850–1861. [Google Scholar] [CrossRef]
- AASHTO TP 101-2014; Standard Method of Test for Estimating Damage Tolerance of Asphalt Binders Using the Linear Amplitude Sweep. AASHTO: Washington, DC, USA, 2014.
- Johansson, L.S.; Isacsson, U. Effect of filler on low temperature physical hardening of bitumen. Constr. Build. Mater. 1998, 12, 463–470. [Google Scholar] [CrossRef]
- Sheikhmotevali, A.H.; Ameri, M. Application of bitumen rheological parameters to predict thermal cracking behavior of polymer modified asphalt mixture. Constr. Build. Mater. 2014, 66, 259–267. [Google Scholar] [CrossRef]
- Pszczola, M.; Jaczewski, M.; Rys, D.; Jaskula, P.; Szydlowski, C. Evaluation of asphalt mixture low-temperature performance in bending beam creep test. Materials 2018, 11, 100. [Google Scholar] [CrossRef] [PubMed]
- Tsantilis, L.; Baglieri, O.; Santagata, E. Low-temperature properties of bituminous nanocomposites for road applications. Constr. Build. Mater. 2018, 171, 397–403. [Google Scholar] [CrossRef]
- Xu, L.; Cao, Z.; Alae, M.; Li, X.; Xiao, F. Chemical component and low-temperature characteristics of modified asphalt composite with styrene–butadiene rubber and liquid nitrile rubber. Int. J. Pavement Eng. 2024, 25, 2362874. [Google Scholar] [CrossRef]
- Ou, L.; Zhu, H.; Xu, Y.; Chen, R.; Yang, X. Gray correlation entropy analysis of zero shear viscosity and high-temperature rheological parameters of phosphogypsum-modified asphalt. Case. Stud. Constr. Mat. 2022, 17, 17. [Google Scholar] [CrossRef]
- Bi, Y.; Wei, R.; Li, R.; Zhang, J.; Pei, J. Evaluation of rheological master curves of asphalt mastics and asphalt-filler interaction indices. Constr. Build. Mater. 2020, 265, 12. [Google Scholar] [CrossRef]
- Singh, A.; Gupta, A. Revisiting MSCR test parameters for LDPE-modified asphalt binders. Constr. Build. Mater. 2025, 494, 143353. [Google Scholar] [CrossRef]
- Ashish, P.K.; Singh, D.; Bohm, S. Evaluation of rutting, fatigue and moisture damage performance of nanoclay modified asphalt binder. Constr. Build. Mater. 2016, 113, 341–350. [Google Scholar] [CrossRef]
- Xue, L.; Xie, W.; Wang, Y.; Wang, C. Characterizing fatigue failure behavior of modified asphalt binders from linear amplitude sweep test. In Proceedings of the 2017 International Conference on Transportation Infrastructure and Materials (ICTIM 2017), Qingdao, China, 9–12 June 2017. [Google Scholar]
- Du, Y.; Dai, M.; Deng, H.; Deng, D.; Cheng, P.; Ma, C. Incorporating hollow glass microsphere to cool asphalt pavement: Preliminary evaluation of asphalt mastic. Constr. Build. Mater. 2020, 244, 118380. [Google Scholar] [CrossRef]
- Xu, S.; Wu, H.; Song, W.; Zhan, Y. Investigation of the aging behaviors of reclaimed asphalt. J. Clean. Prod. 2022, 356, 131837. [Google Scholar] [CrossRef]
- Oner, J.; Sengoz, B. Utilization of recycled asphalt concrete with warm mix asphalt and cost-benefit analysis. PLoS ONE 2015, 10, e116180. [Google Scholar] [CrossRef] [PubMed]
- Xu, J.; Zhang, S.; Fan, Z.; Chen, Z.; Leng, Z.; Wang, D. Interfacial interaction behavior between asphalt and solid waste fillers: Atomic-scale debonding mechanism and experimental investigation. Constr. Build. Mater. 2026, 510, 17. [Google Scholar] [CrossRef]











| Properties | Penetration /0.1 mm | Softening Point /°C | Ductility/cm | RTFO (163 °C, 85 min) | ||||
|---|---|---|---|---|---|---|---|---|
| 5 °C | 15 °C | Quality Change /% | Residual Penetration Ration /% | Residual Ductility /cm | ||||
| 5 °C | 10 °C | |||||||
| Base asphalt (70#) | 68.1 | 48.8 | >100 | −0.06 | 64.5 | 8.4 | ||
| SBS-modified asphalt | 55 | 68 | 26 | 0.5 | 71 | 16 | ||
| Types of Asphalt | Test Temperature (℃) | E1 (MPa) | η1 (MPa·s) | E2 (MPa) | η2 (MPa·s) | λ | R2 |
|---|---|---|---|---|---|---|---|
| 6%PGWA-SBS | −6 | 193.39 | 8731.96 | 95.88 | 3750.51 | 45.15 | 0.9991 |
| 9%PGWA-SBS | −6 | 343.22 | 16,117.86 | 173.50 | 5992.19 | 46.96 | 0.9993 |
| 6%PGWA-70# | −6 | 251.19 | 12,549.61 | 122.11 | 4449.90 | 49.96 | 0.9992 |
| 9%PGWA-70# | −6 | 329.32 | 18,232.28 | 163.33 | 6174.83 | 55.36 | 0.9991 |
| SBS | −12 | 233.41 | 17,053.89 | 131.05 | 4295.41 | 73.06 | 0.9987 |
| 6%PGWA-SBS | −12 | 318.21 | 28,329.24 | 211.24 | 7185.31 | 89.03 | 0.9984 |
| 9%PGWA-SBS | −12 | 730.25 | 70,419.39 | 523.41 | 15,918.83 | 96.43 | 0.9982 |
| 70# | −12 | 284.55 | 21,227.99 | 160.75 | 5782.04 | 74.60 | 0.9988 |
| 6%PGWA-70# | −12 | 311.83 | 28,285.42 | 189.45 | 5834.55 | 90.71 | 0.9981 |
| 9%PGWA-70# | −12 | 564.05 | 61,644.59 | 441.57 | 13,371.32 | 109.29 | 0.9982 |
| SBS | −18 | 460.33 | 62,151.80 | 381.32 | 10,669.07 | 135.02 | 0.9974 |
| 6%PGWA-SBS | −18 | 665.39 | 94,484.06 | 526.01 | 12,157.23 | 142.00 | 0.9902 |
| 9%PGWA-SBS | −18 | 804.87 | 153,674.40 | 820.83 | 20,295.53 | 190.93 | 0.9941 |
| 70# | −18 | 527.73 | 86,945.83 | 563.21 | 16,721.70 | 164.76 | 0.9905 |
| 6%PGWA-70# | −18 | 592.53 | 109,262.90 | 662.93 | 20,918.30 | 184.40 | 0.9963 |
| 9%PGWA-70# | −18 | 1048.08 | 210,187.10 | 1220.75 | 30,325.67 | 200.54 | 0.9928 |
| SBS | −24 | 1131.68 | 126,398.00 | 919.03 | 12,582.69 | 111.69 | 0.9765 |
| 6%PGWA-SBS | −24 | 855.03 | 122,892.20 | 914.14 | 40,672.49 | 143.73 | 0.9911 |
| 9%PGWA-SBS | −24 | 1134.47 | 298,436.20 | 1642.76 | 82,232.24 | 263.06 | 0.9921 |
| 70# | −24 | 1010.08 | 300,577.40 | 1560.10 | 37,132.83 | 297.58 | 0.9958 |
| 6%PGWA-70# | −24 | 928.60 | 332,167.50 | 1674.30 | 54,062.67 | 357.71 | 0.9968 |
| 9%PGWA-70# | −24 | 1046.01 | 436,384.50 | 2159.79 | 54,407.05 | 417.19 | 0.9948 |
| Types of Asphalt | Test Temperature (℃) | JE | JV | JDE | JC |
|---|---|---|---|---|---|
| 6%PGWA-SBS | −6 | 5.17 × 10−3 | 2.75 × 10−2 | 1.04 × 10−2 | 5.70 × 101 |
| 9%PGWA-SBS | −6 | 2.91 × 10−3 | 1.49 × 10−2 | 5.76 × 10−3 | 1.06 × 102 |
| 6%PGWA-70# | −6 | 3.98 × 10−3 | 1.91 × 10−2 | 8.18 × 10−3 | 8.55 × 101 |
| 9%PGWA-70# | −6 | 3.04 × 10−3 | 1.32 × 10−2 | 6.11 × 10−3 | 1.29 × 102 |
| SBS | −12 | 4.28 × 10−3 | 1.41 × 10−2 | 7.63 × 10−3 | 1.31 × 102 |
| 6%PGWA-SBS | −12 | 3.14 × 10−3 | 8.47 × 10−3 | 4.73 × 10−3 | 2.28 × 102 |
| 9%PGWA-SBS | −12 | 1.37 × 10−3 | 3.41 × 10−3 | 1.91 × 10−3 | 5.76 × 102 |
| 70# | −12 | 3.51 × 10−3 | 1.13 × 10−2 | 6.21 × 10−3 | 1.65 × 102 |
| 6%PGWA-70# | −12 | 3.21 × 10−3 | 8.48 × 10−3 | 5.28 × 10−3 | 2.36 × 102 |
| 9%PGWA-70# | −12 | 1.77 × 10−3 | 3.89 × 10−3 | 2.26 × 10−3 | 5.23 × 102 |
| SBS | −18 | 2.17 × 10−3 | 3.86 × 10−3 | 2.62 × 10−3 | 5.80 × 102 |
| 6%PGWA-SBS | −18 | 1.50 × 10−3 | 2.54 × 10−3 | 1.90 × 10−3 | 9.21 × 102 |
| 9%PGWA-SBS | −18 | 1.24 × 10−3 | 1.56 × 10−3 | 1.22 × 10−3 | 1.65 × 103 |
| 70# | −18 | 1.89 × 10−3 | 2.76 × 10−3 | 1.77 × 10−3 | 8.44 × 102 |
| 6%PGWA-70# | −18 | 1.69 × 10−3 | 2.20 × 10−3 | 1.51 × 10−3 | 1.12 × 103 |
| 9%PGWA-70# | −18 | 9.54 × 10−4 | 1.14 × 10−3 | 8.19 × 10−4 | 2.24 × 103 |
| SBS | −24 | 8.84 × 10−4 | 1.90 × 10−3 | 1.09 × 10−3 | 1.07 × 103 |
| 6%PGWA-SBS | −24 | 1.17 × 10−3 | 1.95 × 10−3 | 1.09 × 10−3 | 1.10 × 103 |
| 9%PGWA-SBS | −24 | 8.81 × 10−4 | 8.04 × 10−4 | 6.04 × 10−4 | 3.54 × 103 |
| 70# | −24 | 9.90 × 10−4 | 7.98 × 10−4 | 6.41 × 10−4 | 3.81 × 103 |
| 6%PGWA-70# | −24 | 1.08 × 10−3 | 7.23 × 10−4 | 5.97 × 10−4 | 4.59 × 103 |
| 9%PGWA-70# | −24 | 9.56 × 10−4 | 5.50 × 10−4 | 4.63 × 10−4 | 6.51 × 103 |
Disclaimer/Publisher’s Note: The statements, opinions and data contained in all publications are solely those of the individual author(s) and contributor(s) and not of MDPI and/or the editor(s). MDPI and/or the editor(s) disclaim responsibility for any injury to people or property resulting from any ideas, methods, instructions or products referred to in the content. |
© 2026 by the authors. Licensee MDPI, Basel, Switzerland. This article is an open access article distributed under the terms and conditions of the Creative Commons Attribution (CC BY) license.
Share and Cite
Jia, X.; Ou, L.; Zhu, H. Characterization of High-Temperature, Low-Temperature and Fatigue Performance of Phosphogypsum Warm-Mix Asphalt. Materials 2026, 19, 713. https://doi.org/10.3390/ma19040713
Jia X, Ou L, Zhu H. Characterization of High-Temperature, Low-Temperature and Fatigue Performance of Phosphogypsum Warm-Mix Asphalt. Materials. 2026; 19(4):713. https://doi.org/10.3390/ma19040713
Chicago/Turabian StyleJia, Xiaodong, Li Ou, and Hongzhou Zhu. 2026. "Characterization of High-Temperature, Low-Temperature and Fatigue Performance of Phosphogypsum Warm-Mix Asphalt" Materials 19, no. 4: 713. https://doi.org/10.3390/ma19040713
APA StyleJia, X., Ou, L., & Zhu, H. (2026). Characterization of High-Temperature, Low-Temperature and Fatigue Performance of Phosphogypsum Warm-Mix Asphalt. Materials, 19(4), 713. https://doi.org/10.3390/ma19040713
