Compressive Stress–Strain Relationship of Recycled Coarse Aggregate Concrete After Sulfate Corrosion and High Temperature
Abstract
1. Introduction
2. Experimental Program
2.1. Experimental Materials
2.2. Specimen Design
3. Test Program
3.1. Sulfate Corrosion
3.2. High Temperature
3.3. Quasi-Static Compression Test
4. Test Results
4.1. Failure Mode
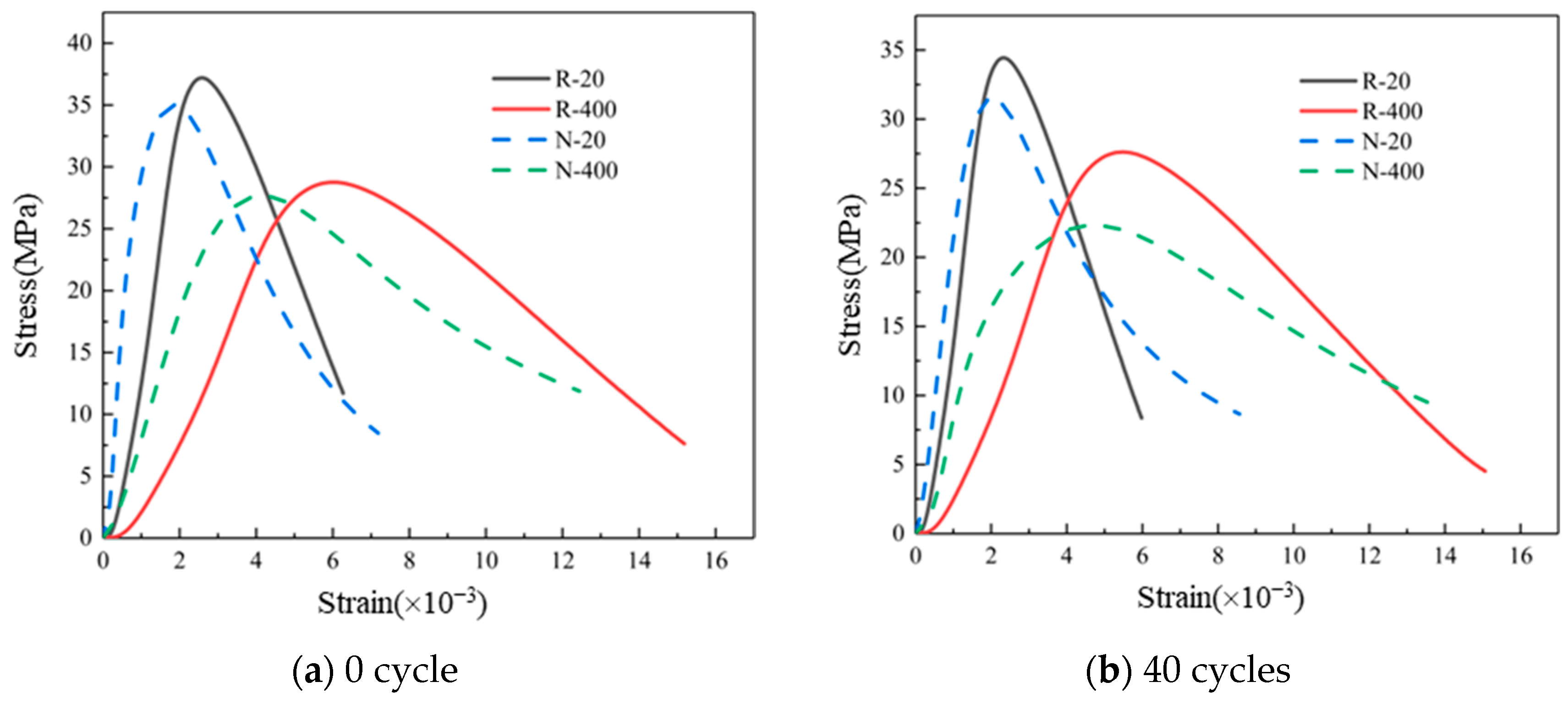
4.2. Stress–Strain Curves of RAC and NAC Under Uniaxial Compression
4.3. Peak Stress
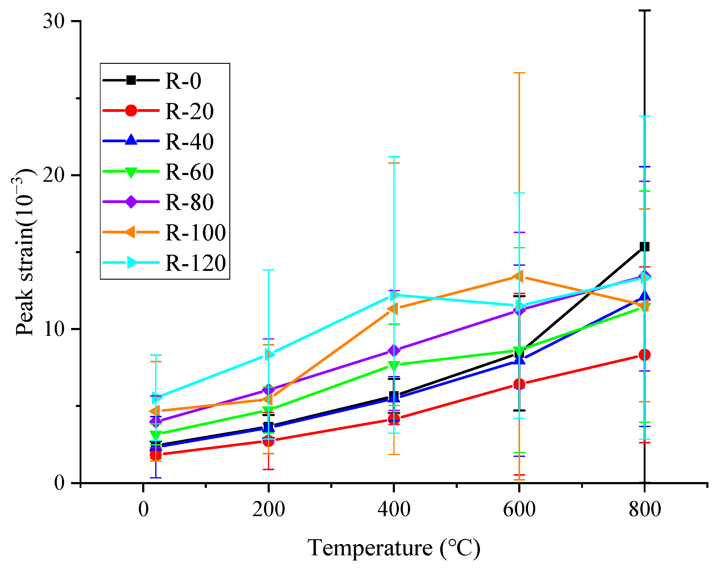
4.4. Peak Strain
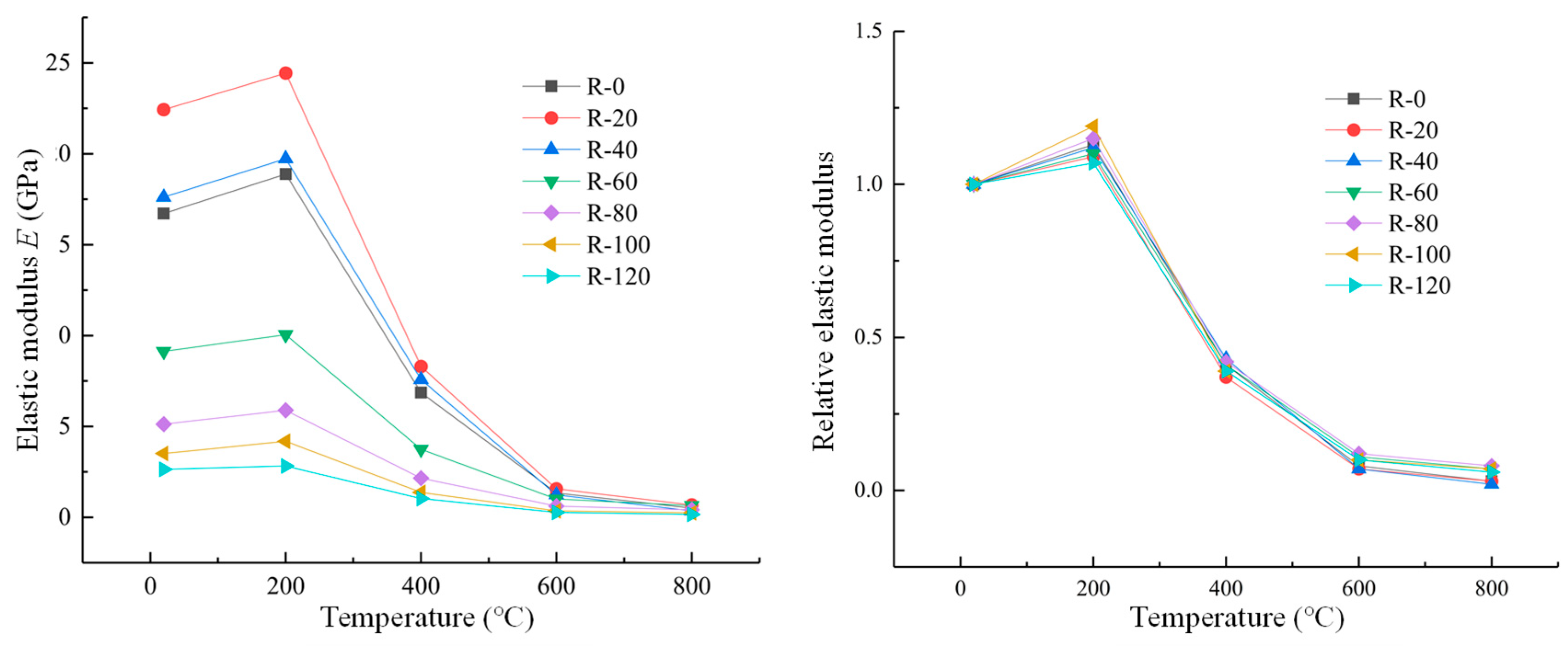
4.5. Modulus of Elasticity
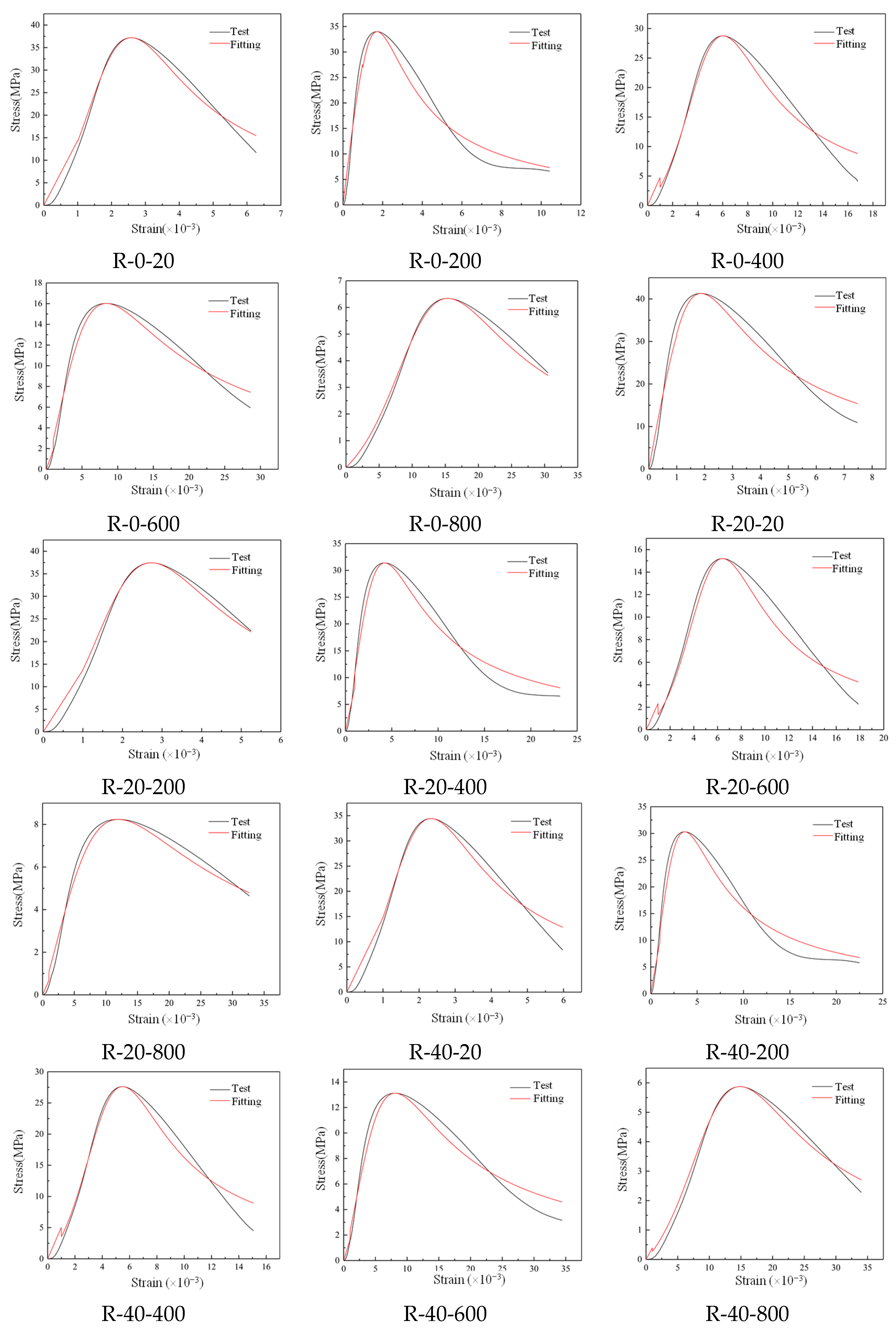
4.6. RAC Stress–Strain Curve Fitting
5. Conclusions
Author Contributions
Funding
Data Availability Statement
Conflicts of Interest
References
- Wu, J.; Jing, X.H.; Wang, Z. Uni-axial compressive stress-strain relation of recycled coarse aggregate concrete after freezing and thawing cycles. Constr. Build. Mater. 2017, 134, 210–219. [Google Scholar] [CrossRef]
- Xiao, J.Z.; Li, W.G.; Fan, Y.H.; Huang, X. An overview of study on recycled aggregate concrete in China (1996–2011). Constr. Build. Mater. 2012, 31, 364–383. [Google Scholar] [CrossRef]
- Pacheco, J.; De Brito, J. Recycled Aggregates Produced from Construction and Demolition Waste for Structural Concrete: Constituents, Properties and Production. Materials 2021, 14, 5748. [Google Scholar] [CrossRef]
- Kou, S.C.; Poon, C.S. Properties of concrete prepared with PVA-impregnated recycled concrete aggregates. Cem. Concr. Compos. 2010, 32, 649–654. [Google Scholar] [CrossRef]
- Huang, B.; Wang, X.; Kua, H.; Geng, Y.; Bleischwitz, R.; Ren, J. Construction and demolition waste management in China through the 3R principle. Resour. Conserv. Recycl. 2018, 129, 36–44. [Google Scholar] [CrossRef]
- Zheng, Y.X.; Xi, X.Y.; Zhang, Y.; Zhang, P.; Du, C. Review of mechanical properties and strengthening mechanism of fully recycled aggregate concrete under high temperature. Constr. Build. Mater. 2023, 394, 132221. [Google Scholar] [CrossRef]
- Zhao, X.; Wu, J.; Zhang, L.F.; Yang, X. Bond properties between corroded steel bars and recycled aggregate concrete after high-temperature exposure. J. Build. Eng. 2024, 93, 109835. [Google Scholar] [CrossRef]
- Zhang, M.M.; Zhu, L.H.; Gao, S.; Dong, Y.; Yuan, H. Mechanical properties of recycled aggregate concrete prepared from waste concrete treated at high temperature. J. Build. Eng. 2023, 76, 107045. [Google Scholar] [CrossRef]
- Li, X.D.; Lu, C.D.; Sun, H.J.; Cui, Y. Evaluation of residual bond behaviour between rebar and recycled aggregate concrete after high-temperature exposure followed by water spray cooling. Eng. Struct. 2024, 306, 117837. [Google Scholar] [CrossRef]
- Chen, Z.P.; Xu, R.T.; Liang, H.R. Residual mechanical properties and numerical analysis of recycled pebble aggregate concrete after high temperature exposure and cooled by fire hydrant. Constr. Build. Mater. 2022, 319, 126137. [Google Scholar] [CrossRef]
- Yang, H.; Zhao, H.; Liu, F. Compressive Stress–Strain Relationship of Concrete Containing Coarse Recycled Concrete Aggregate at Elevated Temperatures. J. Mater. Civ. Eng. 2019, 31, 04019194. [Google Scholar] [CrossRef]
- Jiang, Y.M.; Tam, V.W.Y.; Jiang, C.; Le, K.N. A review on mechanical properties and durability of recycled coarse aggregate concrete exposed to elevated temperatures. Renew. Sustain. Energy Rev. 2025, 217, 115730. [Google Scholar] [CrossRef]
- Varona, F.B.; Baeza-Brotons, F.; Tenza-Abril, A.J.; Baeza, F.J.; Bañón, L. Residual Compressive Strength of Recycled Aggregate Concretes after High Temperature Exposure. Materials 2020, 13, 1981. [Google Scholar] [CrossRef] [PubMed]
- Abed, M.; Mehryaar, E. A Machine Learning Approach to Predict Relative Residual Strengths of Recycled Aggregate Concrete after Exposure to High Temperatures. Sustainability 2024, 16, 1891. [Google Scholar] [CrossRef]
- Cai, Z.L.; Wu, J.; Zhao, X.; Zhang, L.; Zhao, J.; Luan, H. Uni-axial compressive stress-strain model of mixed recycled coarse aggregate concrete after elevated temperature. Constr. Build. Mater. 2025, 492, 142883. [Google Scholar] [CrossRef]
- Alizadeh, S.M.M.; Rezaeian, A.; Rasoolan, I.; Tahmouresi, B. Compressive stress-strain model and residual strength of self-compacting concrete containing recycled ceramic aggregate after exposure to fire. J. Build. Eng. 2021, 38, 102206. [Google Scholar] [CrossRef]
- Zheng, S.; He, R.; Chen, H.; Wang, Z.; Huang, X.; Liu, S. Three-dimensional reconstruction and sulfate ions transportation of interfacial transition zone in concrete under dry-wet cycles. Constr. Build. Mater. 2021, 291, 123370. [Google Scholar] [CrossRef]
- Hu, Y.; Duan, F.; Zheng, M.; Dong, Y.; Zhu, Y.; Cai Ya Zhu, D. Deterioration and damage mechanisms of concrete under high-temperature and sulfate-rich environments. J. Build. Eng. 2025, 114, 114221. [Google Scholar]
- Li, L.; Shi, J.; Kou, J. Experimental Study on Mechanical Properties of High-Ductility Concrete against Combined Sulfate Attack and Dry–Wet Cycles. Materials 2021, 14, 4035. [Google Scholar] [CrossRef]
- Mostofinejad, D.; Hosseini, S.M.; Nosouhian, F.; Ozbakkaloglu, T.; Tehrani, B.N. Durability of concrete containing recycled concrete coarse and fine aggregates and milled waste glass in magnesium sulfate environment. J. Build. Eng. 2020, 29, 101182. [Google Scholar] [CrossRef]
- Lang, W.; Chen, W.; Xie, Q.; Wang, P.; Zhang, G. Flexural performance of basalt fiber reinforced recycled aggregate concrete subjected to sulfate corrosion. Case Stud. Constr. Mater. 2025, 23, e05156. [Google Scholar] [CrossRef]
- Wang, J.; Niu, D.; Song, Z. Damage layer thickness and formation mechanism of shotcrete with and without steel fiber under sulfate corrosion of dry–wet cycles by ultrasound plane testing method. Constr. Build. Mater. 2016, 123, 346–356. [Google Scholar] [CrossRef]
- Liu, F.; Zhang, T.; Luo, T.; Zhou, M.; Zhang, K.; Ma, W. Study on the Deterioration of Concrete under Dry–Wet Cycle and Sulfate Attack. Materials 2020, 13, 4095. [Google Scholar] [CrossRef]
- Xie, F.; Li, J.P.; Zhao, G.W.; Zhou, P.; Zheng, H. Experimental study on performance of cast-in-situ recycled aggregate concrete under different sulfate attack exposures. Constr. Build. Mater. 2020, 253, 119144. [Google Scholar] [CrossRef]
- Ji, Z.; Wu, J.; Zhao, J.; Wang, L. Impact resistance of recycled coarse aggregate concrete after sulfate dry wet cycles. Structures 2025, 71, 108060. [Google Scholar] [CrossRef]
- JGJ 52-2006; Quality Standard and Inspection Method of Sand and Stone for Ordinary Concrete. China Construction Industry Press: Beijing, China, 2006. (In Chinese)
- Kim, K.; Lee, S.; Cho, J. Effect of maximum coarse aggregate size on dynamic compressive strength of high-strength concrete. Int. J. Impact Eng. 2019, 125, 107–116. [Google Scholar] [CrossRef]
- GB/T 50081-2016; Standard for Test Methods of Mechanical Properties of Ordinary Concrete. China Construction Industry Press: Beijing, China, 2016. (In Chinese)
- JGJ 55-2011; Specification for Mix Design of Ordinary Concrete. China Construction Industry Press: Beijing, China, 2011. (In Chinese)
- GB/T 50082-2009; Standard for Test Methods for Long Term Performance and Durability of Ordinary Concrete. China Construction Industry Press: Beijing, China, 2009. (In Chinese)
- Han, B.; Xiang, T.Y. Axial compressive stress-strain relation and Poisson effect of structural lightweight aggregate concrete. Constr. Build. Mater. 2017, 146, 338–343. [Google Scholar] [CrossRef]
- Li, W.G.; Luo, Z.Y.; Wu, C.Q. Impact performances of steel tube-confined recycled aggregate concrete (STCRAC) after exposure to elevated temperatures. Cem. Concr. Compos. 2018, 86, 87–97. [Google Scholar] [CrossRef]
- Li, L.; Poon, C.S.; Xiao, J.Z.; Xuan, D. Effect of carbonated recycled coarse aggregate on the dynamic compressive behavior of recycled aggregate concrete. Constr. Build. Mater. 2017, 151, 52–62. [Google Scholar] [CrossRef]
- Guo, Z.; Shi, X. Principle and Analysis of Reinforced Concrete; Tsinghua University Press: Beijing, China, 2003. (In Chinese) [Google Scholar]
















| Loss on Ignition (%) | Specific Surface Area (m2/kg) | Initial Setting Time (min) | Final Setting Time (min) | 3d Strength (MPa) | 28d Strength (MPa) | |||
|---|---|---|---|---|---|---|---|---|
| Flexural | Compressive | Flexural | Compressive | |||||
| Measured | 1.5 ± 0.1 | 332 ± 2 | 214 ± 1 | 258 ± 4 | 5.4 ± 0.2 | 27.4 ± 0.6 | 8.6 ± 0.3 | 51.2 ± 0.8 |
| Required | ≤5.0 | ≥300 | ≥45 | ≤600 | ≥3.5 | ≥17.0 | ≥6.5 | ≥42.5 |
| Type | Bulk Density (kg/m3) | Apparent Density (kg/m3) | Crushing Index (%) | Water Absorption (%) | Dust Content (%) | Clay Lump (%) |
|---|---|---|---|---|---|---|
| NCA | 1350 ± 107 | 2774 ± 76 | 13.2 ± 2.8 | 1.1 ± 0.1 | 0.30 ± 0.03 | 0.11 ± 0.08 |
| RCA | 1295 ± 6 | 2542 ± 71 | 14.2 ± 0.7 | 5.1 ± 0.8 | 2.5 ± 0.5 | 0.9 ± 0.3 |
| Replacement of Recycled Aggregate | Water (kg/m3) | Cement (kg/m3) | Water-Cement Ratio | Sand (kg/m3) | NCA (kg/m3) | RCA (kg/m3) |
|---|---|---|---|---|---|---|
| 0% | 185 | 336.4 | 0.55 | 638.7 | 1239.9 | 0 |
| 100% | 195 | 433.3 | 0.45 | 602.3 | 0 | 1169.4 |
| Specimens | Sulfate Corrosion | High-Temperature Test | Quasi-Static Test | |||
|---|---|---|---|---|---|---|
| Test Group | Total Specimen | Test Group | Total Specimens | Test Group | Total Specimens | |
| R-0-20 | 1 | 3 | 1 | 3 | 1 | 3 |
| R-0-200 | 1 | 3 | 1 | 3 | 1 | 3 |
| R-0-400 | 1 | 3 | 1 | 3 | 1 | 3 |
| R-0-600 | 1 | 3 | 1 | 3 | 1 | 3 |
| R-0-800 | 1 | 3 | 1 | 3 | 1 | 3 |
| R-20-20 | 1 | 3 | 1 | 3 | 1 | 3 |
| R-20-200 | 1 | 3 | 1 | 3 | 1 | 3 |
| R-20-400 | 1 | 3 | 1 | 3 | 1 | 3 |
| R-20-600 | 1 | 3 | 1 | 3 | 1 | 3 |
| R-20-800 | 1 | 3 | 1 | 3 | 1 | 3 |
| R-40-20 | 1 | 3 | 1 | 3 | 1 | 3 |
| R-40-200 | 1 | 3 | 1 | 3 | 1 | 3 |
| R-40-400 | 1 | 3 | 1 | 3 | 1 | 3 |
| R-40-600 | 1 | 3 | 1 | 3 | 1 | 3 |
| R-40-800 | 1 | 3 | 1 | 3 | 1 | 3 |
| R-60-20 | 1 | 3 | 1 | 3 | 1 | 3 |
| R-60-200 | 1 | 3 | 1 | 3 | 1 | 3 |
| R-60-400 | 1 | 3 | 1 | 3 | 1 | 3 |
| R-60-600 | 1 | 3 | 1 | 3 | 1 | 3 |
| R-60-800 | 1 | 3 | 1 | 3 | 1 | 3 |
| R-80-20 | 1 | 3 | 1 | 3 | 1 | 3 |
| R-80-200 | 1 | 3 | 1 | 3 | 1 | 3 |
| R-80-400 | 1 | 3 | 1 | 3 | 1 | 3 |
| R-80-600 | 1 | 3 | 1 | 3 | 1 | 3 |
| R-80-800 | 1 | 3 | 1 | 3 | 1 | 3 |
| R-100-20 | 1 | 3 | 1 | 3 | 1 | 3 |
| R-100-200 | 1 | 3 | 1 | 3 | 1 | 3 |
| R-100-400 | 1 | 3 | 1 | 3 | 1 | 3 |
| R-100-600 | 1 | 3 | 1 | 3 | 1 | 3 |
| R-100-800 | 1 | 3 | 1 | 3 | 1 | 3 |
| R-120-20 | 1 | 3 | 1 | 3 | 1 | 3 |
| R-120-200 | 1 | 3 | 1 | 3 | 1 | 3 |
| R-120-400 | 1 | 3 | 1 | 3 | 1 | 3 |
| R-120-600 | 1 | 3 | 1 | 3 | 1 | 3 |
| R-120-800 | 1 | 3 | 1 | 3 | 1 | 3 |
| N-0-20 | 1 | 3 | 1 | 3 | 1 | 3 |
| N-0-200 | 1 | 3 | 1 | 3 | 1 | 3 |
| N-0-400 | 1 | 3 | 1 | 3 | 1 | 3 |
| N-40-20 | 1 | 3 | 1 | 3 | 1 | 3 |
| N-40-200 | 1 | 3 | 1 | 3 | 1 | 3 |
| N-40-400 | 1 | 3 | 1 | 3 | 1 | 3 |
| N-80-20 | 1 | 3 | 1 | 3 | 1 | 3 |
| N-80-200 | 1 | 3 | 1 | 3 | 1 | 3 |
| N-80-400 | 1 | 3 | 1 | 3 | 1 | 3 |
| Specimen | a | R2 | b | R2 |
|---|---|---|---|---|
| R-0-20 | 1.189 | 0.963 | 1.672 | 0.954 |
| R-0-200 | 1.039 | 0.978 | 0.571 | 0.986 |
| R-0-400 | 1.175 | 0.979 | 1.978 | 0.959 |
| R-0-600 | 1.430 | 0.971 | 0.683 | 0.986 |
| R-0-800 | 0.869 | 0.960 | 1.714 | 0.940 |
| R-20-20 | 1.028 | 0.992 | 0.747 | 0.993 |
| R-20-200 | 1.507 | 0.982 | 1.568 | 0.984 |
| R-20-400 | 0.464 | 0.954 | 0.788 | 0.964 |
| R-20-600 | 1.116 | 0.984 | 2.256 | 0.992 |
| R-20-800 | 1.208 | 0.993 | 0.656 | 0.990 |
| R-40-20 | 1.301 | 0.996 | 1.752 | 0.936 |
| R-40-200 | 0.657 | 0.990 | 0.807 | 0.975 |
| R-40-400 | 1.179 | 0.944 | 1.879 | 0.965 |
| R-40-600 | 1.376 | 0.958 | 0.749 | 0.983 |
| R-40-800 | 0.735 | 0.979 | 1.609 | 0.947 |
Disclaimer/Publisher’s Note: The statements, opinions and data contained in all publications are solely those of the individual author(s) and contributor(s) and not of MDPI and/or the editor(s). MDPI and/or the editor(s) disclaim responsibility for any injury to people or property resulting from any ideas, methods, instructions or products referred to in the content. |
© 2026 by the authors. Licensee MDPI, Basel, Switzerland. This article is an open access article distributed under the terms and conditions of the Creative Commons Attribution (CC BY) license.
Share and Cite
Cai, Z.; Wu, J.; Zhao, X.; Lu, X.; Zhang, L.; Wang, Y.; Luan, H. Compressive Stress–Strain Relationship of Recycled Coarse Aggregate Concrete After Sulfate Corrosion and High Temperature. Materials 2026, 19, 477. https://doi.org/10.3390/ma19030477
Cai Z, Wu J, Zhao X, Lu X, Zhang L, Wang Y, Luan H. Compressive Stress–Strain Relationship of Recycled Coarse Aggregate Concrete After Sulfate Corrosion and High Temperature. Materials. 2026; 19(3):477. https://doi.org/10.3390/ma19030477
Chicago/Turabian StyleCai, Ziliang, Jin Wu, Xing Zhao, Xiaoxia Lu, Lifang Zhang, Yiyuan Wang, and Haoxiang Luan. 2026. "Compressive Stress–Strain Relationship of Recycled Coarse Aggregate Concrete After Sulfate Corrosion and High Temperature" Materials 19, no. 3: 477. https://doi.org/10.3390/ma19030477
APA StyleCai, Z., Wu, J., Zhao, X., Lu, X., Zhang, L., Wang, Y., & Luan, H. (2026). Compressive Stress–Strain Relationship of Recycled Coarse Aggregate Concrete After Sulfate Corrosion and High Temperature. Materials, 19(3), 477. https://doi.org/10.3390/ma19030477

