Characterization of Heat Conduction Performance in Sodium Polyacrylate Hydrogels with Varying Water Content
Abstract
1. Introduction
2. Thermal Conductivity Model
2.1. Experimental Setup
2.2. Experimental Results
2.3. Prediction Model
3. Specific Heat Capacity Model
3.1. Experimental Setup
3.2. Experimental Results
3.3. Prediction Model
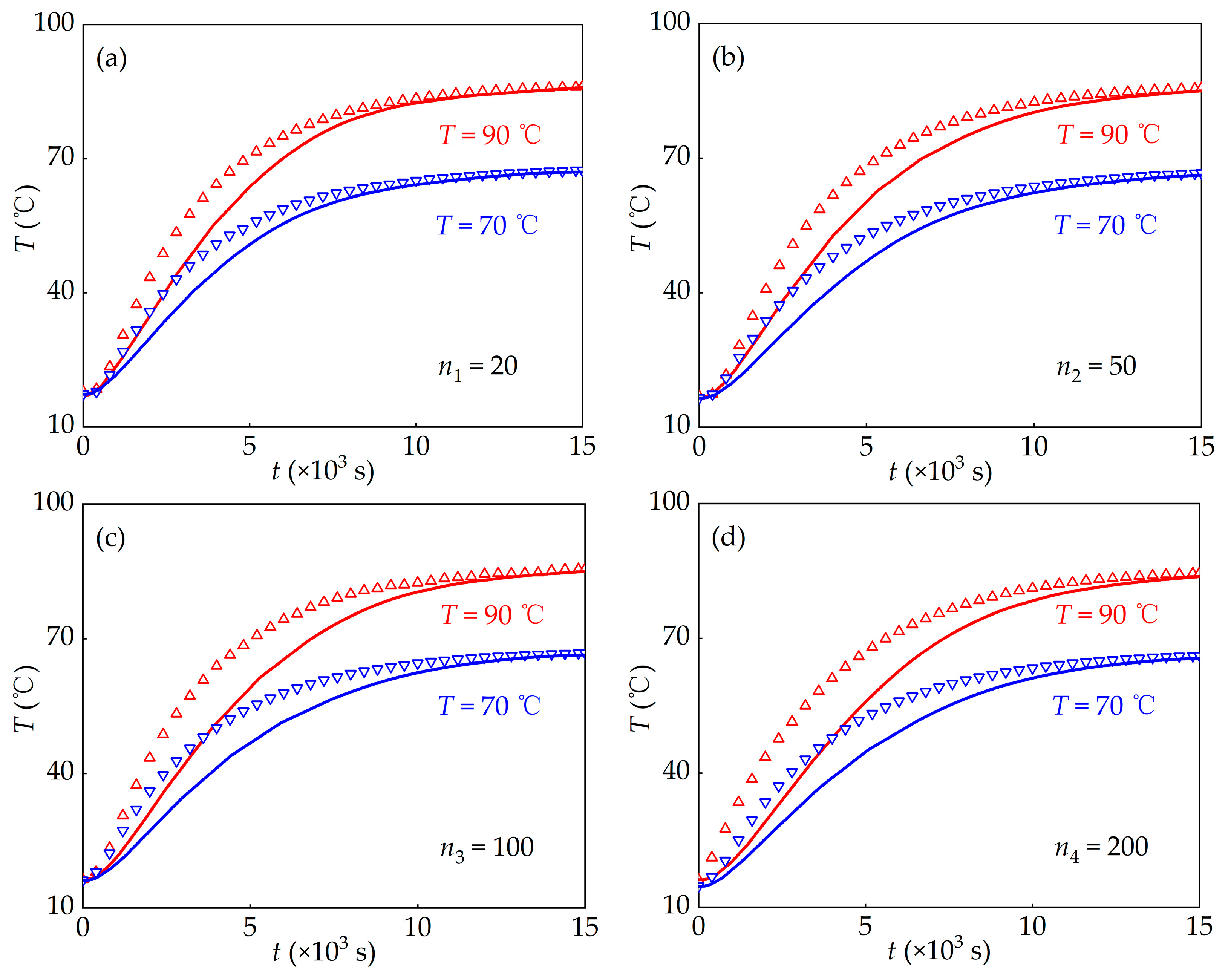
4. Thermal Relaxation
5. Conclusions
- (1)
- The experimental setups successfully measured the thermal conductivity and specific heat capacity of hydrogels with varying water contents, without the need to separately consider liquid, powder, and fluid-solid coupling forms.
- (2)
- Predictive models for thermal conductivity and specific heat capacity were established for PAAS hydrogels within the saturation state under 90 °C. Thermal conductivity increases initially with water content and then decreases, whereas specific heat capacity follows an exponential growth trend.
- (3)
- Thermal diffusivity shows a nonlinear dependence on water content. By adjusting water content, the thermal conductivity can be enhanced by up to ~66% at water content n = 30 compared with PAAS powder.
Author Contributions
Funding
Institutional Review Board Statement
Informed Consent Statement
Data Availability Statement
Conflicts of Interest
References
- Wichterle, O.; Lím, D. Hydrophilic Gels for Biological Use. Nature 1960, 185, 117–118. [Google Scholar] [CrossRef]
- Lv, J.; Xu, P.; Hou, D.; Sun, Y.; Hu, J.; Yang, J.; Yan, J.; Li, C. Facile Preparation of Highly Adhesive yet Ultra-Strong Poly (Vinyl Alcohol)/Cellulose Nanocrystals Composite Hydrogel Enabled by Multiple Networks Structure. Int. J. Biol. Macromol. 2024, 272, 132919. [Google Scholar] [CrossRef]
- Narimani, A.; Kordnejad, F.; Kaur, P.; Bazgir, S.; Hemmati, M.; Duong, A. Rheological and Thermal Stability of Interpenetrating Polymer Network Hydrogel Based on Polyacrylamide/Hydroxypropyl Guar Reinforced with Graphene Oxide for Application in Oil Recovery. J. Polym. Eng. 2021, 41, 788–798. [Google Scholar] [CrossRef]
- Brown, H.R. A Model of the Fracture of Double Network Gels. Macromolecules 2007, 40, 3815–3818. [Google Scholar] [CrossRef]
- Raymundi, V.C.; Aguiar, L.G.; Souza, E.F.; Sato, A.C.; Giudici, R. Controlled Release of Insulin through Hydrogels of (Acrylic Acid)/Trimethylolpropane Triacrylate. Heat Mass Transf. 2016, 52, 2193–2201. [Google Scholar] [CrossRef]
- Yan, Y.; He, Z.; Wu, G.; Zhang, L.; Yang, Z.; Li, L. Influence of Hydrogels Embedding Positions on Automatic Adaptive Cooling of Hot Spot in Fractal Microchannel Heat Sink. Int. J. Therm. Sci. 2020, 155, 106428. [Google Scholar] [CrossRef]
- Li, X.; Xuan, Y.; Li, Q. Self-Adaptive Chip Cooling with Template-Fabricated Nanocomposite P(MEO2MA-Co-OEGMA) Hydrogel. Int. J. Heat Mass Transf. 2021, 166, 120790. [Google Scholar] [CrossRef]
- Luo, C.; He, Z.; Hu, X.; Zhang, Q.; Liang, Y.; Tang, H.; Wang, W.; Xue, D. Preparation of Superabsorbent Lignin-Based Composite Inhibitor and Research on Its Prevention and Control Characteristics of Coal Spontaneous Combustion. Combust. Sci. Technol. 2024, 196, 608–628. [Google Scholar] [CrossRef]
- Lee, G.-W.; Park, M.; Kim, J.; Lee, J.I.; Yoon, H.G. Enhanced Thermal Conductivity of Polymer Composites Filled with Hybrid Filler. Compos. Part A 2006, 37, 727–734. [Google Scholar] [CrossRef]
- Mamunya, Y.; Davydenko, V.V.; Pissis, P.; Lebedev, E.V. Electrical and Thermal Conductivity of Polymers Filled with Metal Powders. Eur. Polym. J. 2002, 38, 1887–1897. [Google Scholar] [CrossRef]
- Kim, H.; Abdala, A.A.; Macosko, C.W. Graphene/Polymer Nanocomposites. Macromolecules 2010, 43, 6515–6530. [Google Scholar] [CrossRef]
- Yazdan, A.; Wang, J.; Hu, B.; Xie, W.; Zhao, L.; Nan, C.; Li, L. Boron Nitride/Agarose Hydrogel Composites with High Thermal Conductivities. Rare Met. 2020, 39, 375–382. [Google Scholar] [CrossRef]
- Dehkordi, N.K.; Shojaei, S.; Asefnejad, A.; Hassani, K.; Benisi, S.Z. The Effect of Three Types of Cross-Linked Hydrogels and Volume Fraction of Polyacrylamide on the Swelling and Thermal Behavior Using Molecular Dynamics Simulation. J. Mater. Res. Technol. 2023, 24, 4627–4638. [Google Scholar] [CrossRef]
- Tang, N.; Peng, Z.; Guo, R.; An, M.; Chen, X.; Li, X.; Yang, N.; Zang, J. Thermal Transport in Soft PAAm Hydrogels. Polymers 2017, 9, 688. [Google Scholar] [CrossRef] [PubMed]
- Radue, M.S.; Varshney, V.; Baur, J.W.; Roy, A.K.; Odegard, G.M. Molecular Modeling of Cross-Linked Polymers with Complex Cure Pathways: A Case Study of Bismaleimide Resins. Macromolecules 2018, 51, 1830–1840. [Google Scholar] [CrossRef]
- Liu, X.; Rao, Z. A Molecular Dynamics Study on Heat Conduction of Crosslinked Epoxy Resin Based Thermal Interface Materials for Thermal Management. Comput. Mater. Sci. 2020, 172, 109298. [Google Scholar] [CrossRef]
- Wei, X.; Luo, T. Effect of Side-Chain π–π Stacking on the Thermal Conductivity Switching in Azobenzene Polymers: A Molecular Dynamics Simulation Study. Phys. Chem. Chem. Phys. 2022, 24, 10272–10279. [Google Scholar] [CrossRef] [PubMed]
- Luo, T.; Esfarjani, K.; Shiomi, J.; Henry, A.; Chen, G. Molecular Dynamics Simulation of Thermal Energy Transport in Polydimethylsiloxane. J. Appl. Phys. 2011, 109, 074321. [Google Scholar] [CrossRef]
- Basem, A.; Jasim, D.J.; Alizadeh, A.; Salahshour, S.; Hashemian, M. Investigation of the Effect of Cefazolin Drug on Swelling and Mechanical and Thermal Properties of Polyacrylamide-Hydrogels Using Molecular Dynamics Approach. Results Eng. 2024, 24, 102871. [Google Scholar] [CrossRef]
- Xiao, J.; Fang, G.; Qin, X.; Wang, B.; Hong, C.; Meng, S. Investigation of Thermal Transport Mechanism of Silicone-Modified Phenolic Matrix Nanocomposites with Different Pyrolysis Degrees. J. Anal. Appl. Pyrolysis 2024, 183, 106793. [Google Scholar] [CrossRef]
- Xu, S.; Cai, S.; Liu, Z. Thermal Conductivity of Polyacrylamide Hydrogels at the Nanoscale. ACS Appl. Mater. Interfaces 2018, 10, 36352–36360. [Google Scholar] [CrossRef]
- Tél, A.; Bauer, R.A.; Varga, Z.; Zrínyi, M. Heat Conduction in Poly(N-Isopropylacrylamide) Hydrogels. Int. J. Therm. Sci. 2014, 85, 47–53. [Google Scholar] [CrossRef]
- Wu, T.; Yin, T.; Hu, X.; Nian, G.; Qu, S.; Yang, W. A Thermochromic Hydrogel for Camouflage and Soft Display. Adv. Opt. Mater. 2020, 8, 2000031. [Google Scholar] [CrossRef]
- Wu, T.; Zhu, J.; Yu, H.; Qu, S.; Yang, W. Stretch Induced Thermal Conduction Anisotropy of Hydrogel. Int. J. Heat Mass Transf. 2022, 185, 122445. [Google Scholar] [CrossRef]
- Huang, S.; Feng, Z.; Li, B.; Yang, X.; Sun, X. Correction of Transient Plane Source Method Influenced by Variable Heating Power and Research on Thermal Conductivity of Ceramic Matrix Composites. Appl. Therm. Eng 2025, 267, 125795. [Google Scholar] [CrossRef]
- Asmatulu, R. Impacts of Nanoscale Inclusions on Fire Retardancy, Thermal Stability, and Mechanical Properties of Polymeric PVC Nanocomposites. J. Therm. Eng. 2017, 3, 1308–1318. [Google Scholar] [CrossRef]
- Kolarova Raskova, Z.; Hrabalikova, M.; Sedlarik, V. Effect of Sodium Salicylate on the Viscoelastic Properties and Stability of Polyacrylate-Based Hydrogels for Medical Applications. Int. J. Polym. Sci. 2016, 2016, 5614687. [Google Scholar] [CrossRef]
- Zou, W.; Ji, M.; Han, C.; Tian, E.; Mo, J. Enhancing the Internal Thermal Conductivity of Hydrogel for Efficient Passive Heat Dissipation: Experimental Study of a Surface Simulating a Cooled Photovoltaic Panel. Energy Convers. Manag. 2024, 306, 118328. [Google Scholar] [CrossRef]
- Surana, K.; Joy, A.; Quiros, L.; Reddy, J. Mathematical Models and Numerical Solutions of Liquid-Solid and Solid-Liquid Phase Change. J. Therm. Eng. 2015, 1, 61. [Google Scholar] [CrossRef]
- ISO 8302:1991; Thermal Insulation—Determination of Steady-State Thermal Resistance and Related Properties—Guarded Hot Plate Apparatus. International Organization of Standardization: Geneva, Switzerland, 1991.
- Tang, S.; Basem, A.; Graish, M.S.; Singh, N.S.S.; Al-Bahrani, M.; Peng, T.; Salahshour, S.; Baghaei, S. Effects of Initial Temperature Changes on Swelling Percentage, Mechanical and Thermal Attributes of Polyacrylamide-Based Hydrogels Using the Molecular Dynamics Simulation. Int. Commun. Heat Mass Transf. 2025, 164, 108739. [Google Scholar] [CrossRef]
- Berlow, Y.A.; Zandvakili, A.; Brennan, M.C.; Williams, L.M.; Price, L.H.; Philip, N.S. Modeling the Antidepressant Treatment Response to Transcranial Magnetic Stimulation Using an Exponential Decay Function. Sci. Rep. 2023, 13, 7138. [Google Scholar] [CrossRef] [PubMed]
- Chen, L.-Q.; Mauro, J.C. On the First Law of Thermodynamics for Open Systems. MRS Bull. 2025, 50, 215–226. [Google Scholar] [CrossRef]
- Luo, Y. Improved Voigt and Reuss Formulas with the Poisson Effect. Materials 2022, 15, 5656. [Google Scholar] [CrossRef] [PubMed]
- Carr, E.J. Rear-Surface Integral Method for Calculating Thermal Diffusivity from Laser Flash Experiments. Chem. Eng. Sci. 2019, 199, 546–551. [Google Scholar] [CrossRef]
- Zhang, Z.; Wang, Y.; Li, Z.; Fu, H.; Huang, J.; Xu, Z.; Lai, Y.; Qian, X.; Zhang, S. Sustainable Hierarchical-Pored PAAS–PNIPAAm Hydrogel with Core–Shell Structure Tailored for Highly Efficient Atmospheric Water Harvesting. ACS Appl. Mater. Interfaces 2022, 14, 55295–55306. [Google Scholar] [CrossRef]






| Test Materials | Test Methods | Deviation | |
|---|---|---|---|
| Guarded Hot Plate | Transient Plane Source [25] | ||
| PAAS powder kp | 0.56 | 0.54 | 3.70% |
| PAAS hydrogel k30 | 0.93 | 0.95 | 2.11% |
| Water kw | 0.61 | 0.59 | 3.39% |
| Test Materials | Test Methods | Deviation | |
|---|---|---|---|
| Calorimetry | Differential Scanning Calorimetry [26] | ||
| PAAS powder Cp | 690 | 670 | 2.99% |
| PAAS hydrogel C30 | 3570 | 3830 | 6.79% |
| Water Cw | 4080 | 4120 | 0.97% |
Disclaimer/Publisher’s Note: The statements, opinions and data contained in all publications are solely those of the individual author(s) and contributor(s) and not of MDPI and/or the editor(s). MDPI and/or the editor(s) disclaim responsibility for any injury to people or property resulting from any ideas, methods, instructions or products referred to in the content. |
© 2026 by the authors. Licensee MDPI, Basel, Switzerland. This article is an open access article distributed under the terms and conditions of the Creative Commons Attribution (CC BY) license.
Share and Cite
Wu, N.; Fan, C.; Qin, G.; Zhang, X.; Chen, Z.; Zhao, M.; Lu, C. Characterization of Heat Conduction Performance in Sodium Polyacrylate Hydrogels with Varying Water Content. Materials 2026, 19, 454. https://doi.org/10.3390/ma19030454
Wu N, Fan C, Qin G, Zhang X, Chen Z, Zhao M, Lu C. Characterization of Heat Conduction Performance in Sodium Polyacrylate Hydrogels with Varying Water Content. Materials. 2026; 19(3):454. https://doi.org/10.3390/ma19030454
Chicago/Turabian StyleWu, Nan, Cuiying Fan, Guoshuai Qin, Xu Zhang, Zengtao Chen, Minghao Zhao, and Chunsheng Lu. 2026. "Characterization of Heat Conduction Performance in Sodium Polyacrylate Hydrogels with Varying Water Content" Materials 19, no. 3: 454. https://doi.org/10.3390/ma19030454
APA StyleWu, N., Fan, C., Qin, G., Zhang, X., Chen, Z., Zhao, M., & Lu, C. (2026). Characterization of Heat Conduction Performance in Sodium Polyacrylate Hydrogels with Varying Water Content. Materials, 19(3), 454. https://doi.org/10.3390/ma19030454

