Advanced Numerical Modeling of Powder Bed Fusion: From Physics-Based Simulations to AI-Augmented Digital Twins
Abstract
1. Introduction
1.1. Novelty and Significance
1.2. Review Method
2. Powder Bed Fusion in Materials Processing
- Solid-state sintering: Mainly applied for consolidating ceramic powders;
- Chemically induced binding: Not commonly used in commercial equipment, but it can be a feasible consolidation mechanism for polymers, metals, and ceramics;
- Liquid phase sintering: Partial melting, the main mechanism in SLS for glasses, polymers, and ceramics;
- Full melting: The basic mechanism of the SLM.
- High precision and excellent surface finish: PBF processes produce parts with fine details and smoother surfaces compared to FDM or other methods without extensive post-processing, and are capable of achieving tight tolerances and intricate geometries;
- Complex geometries and internal structures: Processes are highly complex, organic, and has hollow internal features, supporting the creation of lightweight structures such as lattices and topology optimizations;
- Material diversity: Processes include high-performance alloys such as titanium, nickel-based superalloys, aluminum, and steels, enabling the production of functional, load-bearing, and wear-resistant parts in metals, as well as polymers, ceramics, glasses, and composites;
- Suitable for functional and end-use parts: The technology has high mechanical properties, enabling the rapid production of tooling, aerospace parts, medical implants, and customized components;
- Less support material required: Unlike FDM or SLA, PBF generally does not require extensive support structures because the powders themselves support overhangs and complex features during build;
- The process goes through layer-by-layer material consolidation, especially in metal PBF processes such as SLM and EBM;
- The process is capable of producing multiple parts simultaneously in a single build cycle;
- Reduced waste and material efficiency: Only the material in the powder bed is melted or sintered, so excess powder can often be recycled, reducing material waste.
3. Physics-Driven Simulation Throughout the PBF Workflow
3.1. Powder Spreading and Packing Dynamics
3.1.1. Spreading Strategy Comparisons
3.1.2. Environmental Effects: Gravity and Temperature
3.1.3. Non-Spherical Particles and Recoater Effects
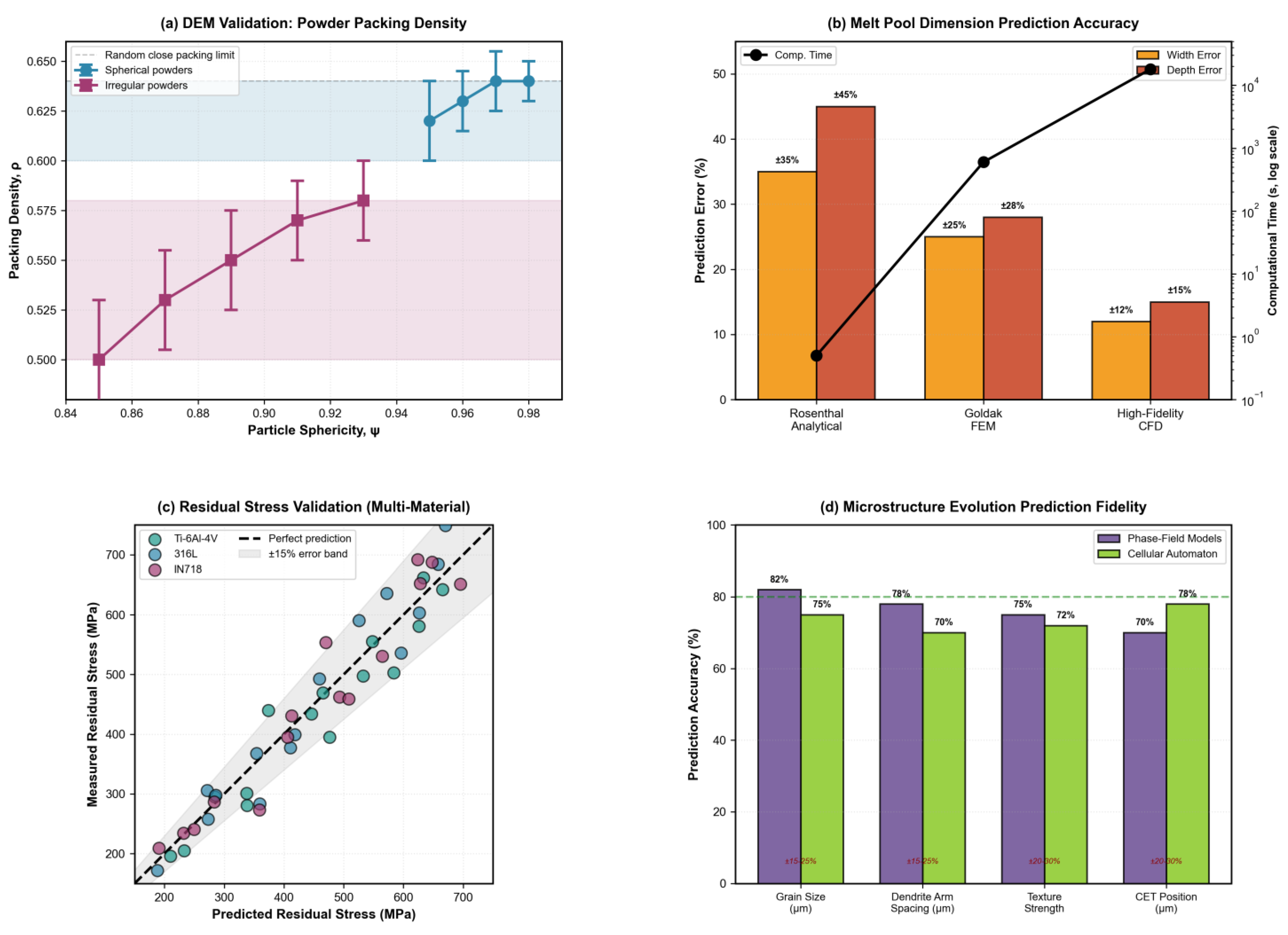
3.1.4. Packing Density Metrics and Dependencies
3.1.5. DEM Fundamentals
3.2. Laser–Powder Interaction and Energy Absorption
3.3. Melt Pool Formation and Dynamics
3.4. Solidification and Microstructure Evolution
3.5. Thermomechanical Response and Residual Stress
3.5.1. Influence of Preheating on Residual Stress
3.5.2. Role of Absorptivity Variation
3.5.3. Combined Process Parameter Interactions
3.5.4. Laser Operation Mode Effects
4. Evolution of Modeling Approaches
4.1. Physics-Based Modeling
4.2. Hybrid Physics–Data-Driven Approaches
4.3. Integration of In Situ Monitoring Data
5. Digital Twins and AI Integration for PBF
5.1. Digital Twin Concept and Architecture
5.2. Data Sources and Sensor Integration
5.3. AI and Machine Learning Methods
5.3.1. Supervised Learning for Defect Detection
5.3.2. Self-Supervised and Semi-Supervised Learning
5.3.3. Reinforcement Learning and Model Predictive Control
5.3.4. Physics-Informed Neural Networks
5.3.5. Integration with Digital Twin Frameworks
5.3.6. Validation and Scalability Considerations
5.4. Case Studies of PBF Digital Twin Implementation
6. Optimization Strategies in PBF Manufacturing
6.1. Topology Optimization with PBF Process Constraints
6.2. Machine Learning-Driven Process Parameter Optimization for PBF
6.3. Quality Assurance in PBF via Predictive Models
7. Software Platforms and Tools for PBF Modeling
7.1. Commercial (e.g., ANSYS, Simufact) and Open-Source Tools
7.2. Machine Learning Frameworks for PBF
7.3. Data Management and Visualization Tools
7.4. Integrated Platforms and Digital Twin Solutions
8. Current Challenges and Future Directions in PBF Modeling
9. Summary
Author Contributions
Funding
Institutional Review Board Statement
Informed Consent Statement
Data Availability Statement
Conflicts of Interest
Abbreviations
| 3D | Three-Dimensional |
| AI | Artificial Intelligence |
| AM | Additive Manufacturing |
| ANN | Artificial Neural Network |
| API | Application Programming Interface |
| AR | Augmented Reality |
| ASTM | American Society for Testing and Materials |
| CA | Cellular Automaton |
| CAD | Computer-Aided Design |
| CET | Columnar-to-Equiaxed Transition |
| CFD | Computational Fluid Dynamics |
| CNN | Convolutional Neural Network |
| CPFE | Crystal Plastivity Finite Element |
| CT | Computed Tomography |
| CW | Continuous Wave |
| DEM | Discrete Element Method |
| DfAM | Design for Additive Manufacturing |
| DMLS | Direct Metal Laser Sintering |
| DOE | Design of Experiments |
| DT | Digital Twin |
| EBSD | Electron Backscatter Diffraction |
| EBM | Electron Beam Melting |
| ERP | Enterprise Resource Planning |
| FAIR | Findable, Accessible, Interoperable, Reusable |
| FCC | Face-Centered Cubic |
| FDM | Fused Deposition Modeling |
| FEM | Finite Element Method |
| FGM | Functionally Graded Material |
| FVM | Finite Volume Method |
| GAN | Generative Adversarial Network |
| GNN | Graph Neural Network |
| GPU | Graphics Processing Unit |
| HCP | Hexagonal Close-Packed |
| HEA | High-Entropy Alloy |
| ICME | Integrated Computational Materials Engineering |
| IoT | Internet of Things |
| IPF | Inverse Pole Figure |
| IR | Infrared |
| ISO | International Organization for Standardization |
| LBM | Lattice Boltzmann Method |
| LPBF | Laser–Powder Bed Fusion |
| LSTM | Long Short-Term Memory |
| LWIR | Long-Wave Infrared |
| MAPE | Mean Absolute Percentage Error |
| MES | Manufacturing Execution System |
| MJF | Multi Jet Fusion |
| ML | Machine Learning |
| MPC | Model Predictive Control |
| MQTT | Message Queuing Telemetry Transport |
| NDE | Non-Destructive Evaluation |
| NIR | Near-Infrared |
| OPC-UA | Open Platform Communications - Unified Architecture |
| PBF | Powder Bed Fusion |
| PDE | Partial Differential Equation |
| PID | Proportional–Integral–Derivative |
| PINN | Physics-Informed Neural Network |
| PLM | Product Lifecycle Management |
| POD | Proper Orthogonal Decomposition/Probability of Detection |
| PRISMA | Preferred Reporting Items for Systematic Reviews and Meta-Analyses |
| PSP | Process–Structure–Property |
| RBF | Radial Basis Function |
| RL | Reinforcement Learning |
| RNN | Recurrent Neural Network |
| RSM | Response Surface Methodology |
| SEM | Scanning Electron Microscopy |
| SLA | Stereolithography |
| SLM | Selective Laser Melting |
| SLS | Selective Laser Sintering |
| SPH | Smoothed Particle Hydrodynamics |
| SVM | Support Vector Machine |
| SWIR | Short-Wave Infrared |
| TES | Temperature–Emissivity Separation |
| TO | Topology Optimization |
| TRL | Technology Readiness Level |
| XAI | Explainable Artificial Intelligence |
| XCT | X-ray Computed Tomography |
References
- Soundararajan, B.; Sofia, D.; Barletta, D.; Poletto, M. Review on modeling techniques for powder bed fusion processes based on physical principles. Addit. Manuf. 2021, 47, 102336. [Google Scholar] [CrossRef]
- Sarkar, D.; Kapil, A.; Sharma, A. Advances in computational modeling for laser powder bed fusion additive manufacturing: A comprehensive review of finite element techniques and strategies. Addit. Manuf. 2024, 85, 104157. [Google Scholar] [CrossRef]
- Attariani, H.; Petitjean, S.R.; Dousti, M. A digital twin of synchronized circular laser array for powder bed fusion additive manufacturing. Int. J. Adv. Manuf. Technol. 2022, 123, 1433–1440. [Google Scholar] [CrossRef]
- Mostafaei, A.; Zhao, C.; He, Y.; Reza Ghiaasiaan, S.; Shi, B.; Shao, S.; Shamsaei, N.; Wu, Z.; Kouraytem, N.; Sun, T.; et al. Defects and anomalies in powder bed fusion metal additive manufacturing. Curr. Opin. Solid State Mater. Sci. 2022, 26, 100974. [Google Scholar] [CrossRef]
- Li, Y.; Mojumder, S.; Lu, Y.; Al Amin, A.; Guo, J.; Xie, X.; Chen, W.; Wagner, G.J.; Cao, J.; Liu, W.K. Statistical parameterized physics-based machine learning digital shadow models for laser powder bed fusion process. Addit. Manuf. 2024, 87, 104214. [Google Scholar] [CrossRef]
- Yeung, H.; Kim, F.; Donmez, A. Application of Digital Twins to Laser Powder Bed Fusion Additive Manufacturing Process Control. In Proceedings of the ASME 2023 18th International Manufacturing Science and Engineering Conference, MSEC 2023, New Brunswick, NJ, USA, 12–16 June 2023; Volume 1. [Google Scholar]
- Malik, A.W.; Mahmood, M.A.; Liou, F. Digital twin–driven optimization of laser powder bed fusion processes: A focus on lack-of-fusion defects. Rapid Prototyp. J. 2024, 30, 1977–1988. [Google Scholar] [CrossRef]
- Bayat, M.; Dong, W.; Thorborg, J.; To, A.C.; Hattel, J.H. A review of multi-scale and multi-physics simulations of metal additive manufacturing processes with focus on modeling strategies. Addit. Manuf. 2021, 47, 102278. [Google Scholar] [CrossRef]
- Zinovieva, O.; Romanova, V.; Dymnich, E.; Zinoviev, A.; Balokhonov, R. A Review of Computational Approaches to the Microstructure-Informed Mechanical Modelling of Metals Produced by Powder Bed Fusion Additive Manufacturing. Materials 2023, 16, 6459. [Google Scholar] [CrossRef]
- Chowdhury, S.; Yadaiah, N.; Prakash, C.; Ramakrishna, S.; Dixit, S.; Gupta, L.R.; Buddhi, D. Laser powder bed fusion: A state-of-the-art review of the technology, materials, properties & defects, and numerical modelling. J. Mater. Res. Technol. 2022, 20, 2109–2172. [Google Scholar] [CrossRef]
- Ahsan, M.M.; Liu, Y.; Raman, S.; Siddique, Z. Digital Twins in Additive Manufacturing: A Systematic Review. Internet Things 2024, 33, 101692. [Google Scholar] [CrossRef]
- Ben Amor, S.; Elloumi, N.; Eltaief, A.; Louhichi, B.; Alrasheedi, N.H.; Seibi, A. Digital Twin Implementation in Additive Manufacturing: A Comprehensive Review. Processes 2024, 12, 1062. [Google Scholar] [CrossRef]
- Crump, S.S. Apparatus and Method for Creating Three-Dimensional Objects. U.S. Patent 5,121,329, 30 October 1989. [Google Scholar]
- Gong, X.; Anderson, T.; Chou, K. Review on powder-based electron beam additive manufacturing technology. Manuf. Rev. 2014, 1, 2. [Google Scholar] [CrossRef]
- Kruth, J.P.; Levy, G.; Klocke, F.; Childs, T.H.C. Consolidation phenomena in laser and powder-bed based layered manufacturing. CIRP Ann. 2007, 56, 730–759. [Google Scholar] [CrossRef]
- Kruth, J.P.; Mercelis, P.; Van Vaerenbergh, J.; Froyen, L.; Rombouts, M. Binding mechanisms in selective laser sintering and selective laser melting. Rapid Prototyp. J. 2005, 11, 26–36. [Google Scholar] [CrossRef]
- Yap, C.Y.; Chua, C.K.; Dong, Z.L.; Liu, Z.H.; Zhang, D.Q.; Loh, L.E.; Sing, S.L. Review of selective laser melting: Materials and applications. Appl. Phys. Rev. 2015, 2, 041101. [Google Scholar] [CrossRef]
- Cao, S.; Zou, Y.; Lim, C.V.S.; Wu, X. Review of laser powder bed fusion (LPBF) fabricated Ti-6Al-4V: Process, post-process treatment, microstructure, and property. Light Adv. Manuf. 2021, 2, 20. [Google Scholar] [CrossRef]
- Martucci, A.; Aversa, A.; Lombardi, M. Ongoing Challenges of Laser-Based Powder Bed Fusion Processing of Al Alloys and Potential Solutions from the Literature—A Review. Materials 2023, 16, 1084. [Google Scholar] [CrossRef] [PubMed]
- Olakanmi, E.O.; Cochrane, R.F.; Dalgarno, K.W. A review on selective laser sintering/melting (SLS/SLM) of aluminium alloy powders: Processing, microstructure, and properties. Prog. Mater. Sci. 2015, 74, 401–477. [Google Scholar] [CrossRef]
- Aboulkhair, N.T.; Simonelli, M.; Parry, L.; Ashcroft, I.; Tuck, C.; Hague, R. 3D printing of Aluminium alloys: Additive Manufacturing of Aluminium alloys using selective laser melting. Prog. Mater. Sci. 2019, 106, 100578. [Google Scholar] [CrossRef]
- Zhou, Y.; Kong, D.; Li, R.; He, X.; Dong, C. Corrosion of Duplex Stainless Steel Manufactured by Laser Powder Bed Fusion: A Critical Review. Acta Metall. Sin. Engl. Lett. 2024, 37, 587–606. [Google Scholar] [CrossRef]
- Mansoura, A.; Omidi, N.; Barka, N.; Karganroudi, S.S.; Dehghan, S. Selective Laser Melting of Stainless Steels: A review of Process, Microstructure and Properties. Met. Mater. Int. 2024, 30, 2343–2371. [Google Scholar] [CrossRef]
- Narasimharaju, S.R.; Zeng, W.; See, T.L.; Zhu, Z.; Scott, P.; Jiang, X.; Lou, S. A comprehensive review on laser powder bed fusion of steels: Processing, microstructure, defects and control methods, mechanical properties, current challenges and future trends. J. Manuf. Process. 2022, 75, 375–414. [Google Scholar] [CrossRef]
- Haghdadi, N.; Laleh, M.; Moyle, M.; Primig, S. Additive manufacturing of steels: A review of achievements and challenges. J. Mater. Sci. 2021, 56, 64–107. [Google Scholar] [CrossRef]
- Ni, C.; Zhu, J.; Zhang, B.; An, K.; Wang, Y.; Liu, D.; Lu, W.; Zhu, L.; Liu, C. Recent advance in laser powder bed fusion of Ti–6Al–4V alloys: Microstructure, mechanical properties and machinability. Virtual Phys. Prototyp. 2025, 20, e2446952. [Google Scholar] [CrossRef]
- Dmytro, S.; Szymon, B.; Michal, K. An extended laser beam heating model for a numerical platform to simulate multi-material selective laser melting. Int. J. Adv. Manuf. Technol. 2023, 128, 3451–3470. [Google Scholar] [CrossRef]
- Aufa, A.N.; Hassan, M.Z.; Ismail, Z. Recent advances in Ti-6Al-4V additively manufactured by selective laser melting for biomedical implants: Prospect development. J. Alloys Compd. 2022, 896, 163072. [Google Scholar] [CrossRef]
- Raza, S.A.; Canyurt, O.E.; Sezer, H.K. A systematic review of Inconel 939 alloy parts development via additive manufacturing process. Heliyon 2024, 10, e25506. [Google Scholar] [CrossRef]
- Mostafaei, A.; Ghiaasiaan, R.; Ho, I.T.; Strayer, S.; Chang, K.C.; Shamsaei, N.; Shao, S.; Paul, S.; Yeh, A.C.; Tin, S.; et al. Additive manufacturing of nickel-based superalloys: A state-of-the-art review on process-structure-defect-property relationship. Prog. Mater. Sci. 2023, 136, 101108. [Google Scholar] [CrossRef]
- Sanchez, S.; Smith, P.; Xu, Z.; Gaspard, G.; Hyde, C.J.; Wits, W.W.; Ashcroft, I.A.; Chen, H.; Clare, A.T. Powder Bed Fusion of nickel-based superalloys: A review. Int. J. Mach. Tools Manuf. 2021, 165, 103729. [Google Scholar] [CrossRef]
- Tian, Z.; Zhang, C.; Wang, D.; Liu, W.; Fang, X.; Wellmann, D.; Zhao, Y.; Tian, Y. A Review on Laser Powder Bed Fusion of Inconel 625 Nickel-Based Alloy. Appl. Sci. 2019, 10, 81. [Google Scholar] [CrossRef]
- Svyetlichnyy, D. Model of the Selective Laser Melting Process-Powder Deposition Models in Multistage Multi-Material Simulations. Appl. Sci. 2023, 13, 6196. [Google Scholar] [CrossRef]
- Mehrpouya, M.; Tuma, D.; Vaneker, T.; Afrasiabi, M.; Bambach, M.; Gibson, I. Multimaterial powder bed fusion techniques. Rapid Prototyp. J. 2022, 28, 1–19. [Google Scholar] [CrossRef]
- Schneck, M.; Horn, M.; Schmitt, M.; Seidel, C.; Schlick, G.; Reinhart, G. Review on additive hybrid- and multi-material-manufacturing of metals by powder bed fusion: State of technology and development potential. Prog. Addit. Manuf. 2021, 6, 881–894. [Google Scholar] [CrossRef]
- Yadav, S.; Liu, S.; Singh, R.K.; Sharma, A.K.; Rawat, P. A state-of-art review on functionally graded materials (FGMs) manufactured by 3D printing techniques: Advantages, existing challenges, and future scope. J. Manuf. Process. 2024, 131, 2051–2072. [Google Scholar] [CrossRef]
- Li, Y.; Feng, Z.; Hao, L.; Huang, L.; Xin, C.; Wang, Y.; Bilotti, E.; Essa, K.; Zhang, H.; Li, Z.; et al. A Review on Functionally Graded Materials and Structures via Additive Manufacturing: From Multi-Scale Design to Versatile Functional Properties. Adv. Mater. Technol. 2020, 5, 1900981. [Google Scholar] [CrossRef]
- Svyetlichnyy, D. Lattice Boltzmann Modeling of Additive Manufacturing of Functionally Graded Materials. Entropy 2024, 27, 20. [Google Scholar] [CrossRef]
- Chen, B. Progress in Additive Manufacturing of High-Entropy Alloys. Materials 2024, 17, 5917. [Google Scholar] [CrossRef] [PubMed]
- Shi, Y.; Zheng, Y.; Huang, C.; Zhao, S.; Li, X.; Lu, Y.; Wu, Y.; Li, P.; Wang, L.; Li, Y. Influence of Processing Parameters on Additively Manufactured Architected Cellular Metals: Emphasis on Biomedical Applications. J. Funct. Biomater. 2025, 16, 53. [Google Scholar] [CrossRef]
- Svyetlichnyy, D. Simulation of the selective laser sintering/melting process of bioactive glass 45S5. Simul. Model. Pract. Theory 2024, 136, 103009. [Google Scholar] [CrossRef]
- Rahmani, R.; Lopes, S.I.; Prashanth, K.G. Selective Laser Melting and Spark Plasma Sintering: A Perspective on Functional Biomaterials. J. Funct. Biomater. 2023, 14, 521. [Google Scholar] [CrossRef]
- Al-Maharma, A.Y.; Patil, S.P.; Markert, B. Effects of porosity on the mechanical properties of additively manufactured components: A critical review. Mater. Res. Express 2020, 7, 122001. [Google Scholar] [CrossRef]
- du Plessis, A.; Yadroitsava, I.; Yadroitsev, I. Effects of defects on mechanical properties in metal additive manufacturing: A review focusing on X-ray tomography insights. Mater. Des. 2020, 187, 108385. [Google Scholar] [CrossRef]
- Singh, S.N.; Deoghare, A.B. Laser Shock Peening of Laser Based Directed Energy Deposition and Powder Bed Fusion Additively Manufactured Parts: A Review. Met. Mater. Int. 2022, 29, 1563–1585. [Google Scholar] [CrossRef]
- Bartlett, J.L.; Li, X. An overview of residual stresses in metal powder bed fusion. Addit. Manuf. 2019, 27, 131–149. [Google Scholar] [CrossRef]
- Malekipour, E.; El-Mounayri, H. Common defects and contributing parameters in powder bed fusion AM process and their classification for online monitoring and control: A review. Int. J. Adv. Manuf. Technol. 2017, 951, 527–550. [Google Scholar] [CrossRef]
- Ross, A.J.; Bitharas, I.; Perkins, K.G.; Moore, A.J. Volumetric heat source calibration for laser powder bed fusion. Addit. Manuf. 2022, 60, 103267. [Google Scholar] [CrossRef]
- Nastac, L. A 3D Multiscale Model for Prediction of the Microstructure Evolution in Ti6Al4V Components Produced by Laser Powder Bed Fusion. IOP Conf. Ser. Mater. Sci. Eng. 2023, 1281, 012002. [Google Scholar] [CrossRef]
- Malakizadi, A.; Mallipeddi, D.; Dadbakhsh, S.; M’Saoubi, R.; Krajnik, P. Post-processing of additively manufactured metallic alloys—A review. Int. J. Mach. Tools Manuf. 2022, 179, 103908. [Google Scholar] [CrossRef]
- Tepylo, N.; Huang, X.; Patnaik, P.C. Laser-Based Additive Manufacturing Technologies for Aerospace Applications. Adv. Eng. Mater. 2019, 21, 1900617. [Google Scholar] [CrossRef]
- Dubey, D.; Singh, S.P.; Behera, B.K. A review on recent advancements in additive manufacturing techniques. Proc. Inst. Mech. Eng. Part E J. Process Mech. Eng. 2024. [Google Scholar] [CrossRef]
- Chaudhary, S.; Avinashi, S.K.; Rao, J.; Gautam, C. Recent Advances in Additive Manufacturing, Applications and Challenges for Dentistry: A Review. ACS Biomater. Sci. Eng. 2023, 9, 3987–4019. [Google Scholar] [CrossRef]
- Salmi, M. Additive Manufacturing Processes in Medical Applications. Materials 2021, 14, 191. [Google Scholar] [CrossRef]
- Alinejadian, N.; Kollo, L.; Odnevall, I. Progress in additive manufacturing of MoS2-based structures for energy storage applications—A review. Mater. Sci. Semicond. Process. 2022, 139, 106331. [Google Scholar] [CrossRef]
- Srinivasan, D.; Ananth, K. Recent Advances in Alloy Development for Metal Additive Manufacturing in Gas Turbine/Aerospace Applications: A Review. J. Indian Inst. Sci. 2022, 102, 311–349. [Google Scholar] [CrossRef]
- Dorussen, B.J.A.; Geers, M.G.D.; Remmers, J.J.C. A discrete element framework for the numerical analysis of particle bed-based additive manufacturing processes. Eng. Comput. 2022, 38, 4753–4768. [Google Scholar] [CrossRef]
- Girnth, S.; Heitkamp, T.; Wacker, C.; Waldt, N.; Klawitter, G.; Dröder, K. Dimensionless quantities in discrete element method: Powder model parameterization for additive manufacturing. Prog. Addit. Manuf. 2024, 9, 1967–1983. [Google Scholar] [CrossRef]
- Chen, H.; Sun, Y.; Yuan, W.; Pang, S.; Yan, W.; Shi, Y. A Review on Discrete Element Method Simulation in Laser Powder Bed Fusion Additive Manufacturing. Chinese J. Mech. Eng. Addit. Manuf. Front. 2022, 1, 100017. [Google Scholar] [CrossRef]
- Cummins, S.; Cleary, P.W.; Delaney, G.; Phua, A.; Sinnott, M.; Gunasegaram, D.; Davies, C. A Coupled DEM/SPH Computational Model to Simulate Microstructure Evolution in Ti-6Al-4V Laser Powder Bed Fusion Processes. Metals 2021, 11, 858. [Google Scholar] [CrossRef]
- Aarab, M.; Dorussen, B.J.A.; Poelsma, S.S.; Remmers, J.J.C. Development of optimal L-PBF process parameters using an accelerated discrete element simulation framework. Granul. Matter 2024, 26, 69. [Google Scholar] [CrossRef]
- Penny, R.W.; Oropeza, D.; Praegla, P.M.; Weissbach, R.; Meier, C.; Wall, W.A.; John Hart, A. Quantitative analysis of thin metal powder layers via transmission X-ray imaging and discrete element simulation: Blade-based spreading approaches. Powder Technol. 2024, 432, 119106. [Google Scholar] [CrossRef]
- Fouda, Y.M.; Bayly, A.E. A DEM study of powder spreading in additive layer manufacturing. Granul. Matter 2020, 22, 10. [Google Scholar] [CrossRef]
- Yao, D.; An, X.; Fu, H.; Zhang, H.; Yang, X.; Zou, Q.; Dong, K. Dynamic investigation on the powder spreading during selective laser melting additive manufacturing. Addit. Manuf. 2021, 37, 101707. [Google Scholar] [CrossRef]
- Salim, M.A.; Tullis, S.; Elbestawi, M. Accelerating Laser Powder Bed Fusion: The Influence of Roller-Spreading Speed on Powder Spreading Performance. Metals 2024, 14, 1137. [Google Scholar] [CrossRef]
- Weissbach, R.; Praegla, P.M.; Wall, W.A.; Hart, A.J.; Meier, C. Exploration of improved, roller-based spreading strategies for cohesive powders in additive manufacturing via coupled DEM-FEM simulations. Powder Technol. 2024, 443, 119956. [Google Scholar] [CrossRef]
- Zhang, J.; Tan, Y.; Bao, T.; Xu, Y.; Xiao, X.; Jiang, S. Discrete Element Simulation of the Effect of Roller-Spreading Parameters on Powder-Bed Density in Additive Manufacturing. Materials 2020, 13, 2285. [Google Scholar] [CrossRef]
- Wu, Y.; Namilae, S. Parametric Analysis and Designing Maps for Powder Spreading in Metal Additive Manufacturing. Comput. Model. Eng. Sci. 2025, 142, 2067–2090. [Google Scholar] [CrossRef]
- Neveu, A.; Francqui, F.; Lumay, G.; Jenkins, B.; Valadian, R. Spreadability of Metal Powders: Combining Powder Characterization And DEM Simulations. In Proceedings of the Euro Powder Metallurgy 2025 Congress & Exhibition, Glasgow, UK, 14–17 September 2025. [Google Scholar]
- Zinatlou Ajabshir, S.; Hare, C.; Sofia, D.; Barletta, D.; Poletto, M. Investigating the effect of temperature on powder spreading behaviour in powder bed fusion additive manufacturing process by Discrete Element Method. Powder Technol. 2024, 436, 119468. [Google Scholar] [CrossRef]
- Roy, S.; Shaheen, M.Y.; Pöschel, T. Effect of cohesion on structure of powder layers in additive manufacturing. Granul. Matter 2023, 25, 68. [Google Scholar] [CrossRef]
- Zhang, T.; Chen, D.; Yang, H.; Zhao, W.; Wang, Y.; Zhou, H.; Zhang, T.; Chen, D.; Yang, H.; Zhao, W.; et al. Spreading Behavior of Non-Spherical Particles with Reconstructed Shapes Using Discrete Element Method in Additive Manufacturing. Polymers 2024, 16, 1179. [Google Scholar] [CrossRef]
- He, Y.; Hassanpour, A.; Bayly, A.E. Linking particle properties to layer characteristics: Discrete element modelling of cohesive fine powder spreading in additive manufacturing. Addit. Manuf. 2020, 36, 101685. [Google Scholar] [CrossRef]
- Yim, S.; Bian, H.; Aoyagi, K.; Yamanaka, K.; Chiba, A. Spreading behavior of Ti48Al2Cr2Nb powders in powder bed fusion additive manufacturing process: Experimental and discrete element method study. Addit. Manuf. 2022, 49, 102489. [Google Scholar] [CrossRef]
- Roy, S.; Pöschel, T. Shape effects in binary mixtures of PA12 powder in additive manufacturing. Powder Technol. 2024, 448, 120326. [Google Scholar] [CrossRef]
- Tang, C.M.; Zhao, J.B.; Zhao, Y.H.; Wang, Z.G. Discrete element analysis for effects of recoating blade and surface morphology of substrate on powder spreading quality. J. Phys. Conf. Ser. 2023, 2454, 012016. [Google Scholar] [CrossRef]
- Habiba, U.; Hebert, R.J. Powder Spreading Mechanism in Laser Powder Bed Fusion Additive Manufacturing: Experiments and Computational Approach Using Discrete Element Method. Materials 2023, 16, 2824. [Google Scholar] [CrossRef] [PubMed]
- Penny, R.W.; Praegla, P.M.; Ochsenius, M.; Oropeza, D.; Weissbach, R.; Meier, C.; Wall, W.A.; Hart, A.J. Spatial mapping of powder layer density for metal additive manufacturing via transmission X-ray imaging. Addit. Manuf. 2021, 46, 102197. [Google Scholar] [CrossRef]
- Chen, H.; Chen, Y.; Liu, Y.; Wei, Q.; Shi, Y.; Yan, W. Packing quality of powder layer during counter-rolling-type powder spreading process in additive manufacturing. Int. J. Mach. Tools Manuf. 2020, 153, 103553. [Google Scholar] [CrossRef]
- Avrampos, P.; Vosniakos, G.C. A Study on Powder Spreading Quality in Powder Bed Fusion Processes Using Discrete Element Method Simulation. J. Manuf. Mater. Process. 2024, 8, 101. [Google Scholar] [CrossRef]
- Cook, P.S.; Phua, A.; Davies, C.H.J.; Delaney, G.W. Modelling the influences of powder layer depth and particle morphology on powder bed fusion using a coupled DEM-CFD approach. Powder Technol. 2023, 429, 118927. [Google Scholar] [CrossRef]
- Xu, R.; Nan, W. Analysis of the metrics and mechanism of powder spreadability in powder-based additive manufacturing. Addit. Manuf. 2023, 71, 103596. [Google Scholar] [CrossRef]
- Stephan, M.; Roux, G.; Burr, A.; Ablitzer, C.; Garandet, J.P. Identification of the influential DEM contact law parameters on powder bed quality and flow in additive manufacturing configurations. Powder Technol. 2023, 429, 118937. [Google Scholar] [CrossRef]
- Bierwisch, C.; Dietemann, B.; Najuch, T. Particle-based modelling of laser powder bed fusion of metals with emphasis on the melting mode transition. Granul. Matter 2024, 26, 71. [Google Scholar] [CrossRef]
- Wang, R.; Garcia, D.; Kamath, R.R.; Dou, C.; Ma, X.; Shen, B.; Choo, H.; Fezzaa, K.; Yu, H.Z.; Kong, Z. In situ melt pool measurements for laser powder bed fusion using multi sensing and correlation analysis. Sci. Rep. 2022, 12, 13716. [Google Scholar] [CrossRef]
- Ren, Z.; Gao, L.; Clark, S.J.; Fezzaa, K.; Shevchenko, P.; Choi, A.; Everhart, W.; Rollett, A.D.; Chen, L.; Sun, T. Machine learning-aided real-time detection of keyhole pore generation in laser powder bed fusion. Science 2023, 379, 89–94. [Google Scholar] [CrossRef]
- Sanchez, S.; Rengasamy, D.; Hyde, C.J.; Figueredo, G.P.; Rothwell, B. Machine learning to determine the main factors affecting creep rates in laser powder bed fusion. J. Intell. Manuf. 2021, 32, 2353–2373. [Google Scholar] [CrossRef]
- Shen, T.; Li, B. An integrated computation framework for predicting mechanical performance of single-phase alloys manufactured using laser powder bed fusion: A case study of CoCrFeMnNi high-entropy alloy. Mater. Today Commun. 2024, 39, 109180. [Google Scholar] [CrossRef]
- Shen, T.; Li, B.; Zhang, J.; Xuan, F. Integrated computational materials engineering (ICME) for predicting tensile properties of additively manufactured defect-free single-phase high-entropy alloy. Virtual Phys. Prototyp. 2025, 20, e2441947. [Google Scholar] [CrossRef]
- Weirather, J.; Rozov, V.; Wille, M.; Schuler, P.; Seidel, C.; Adams, N.A.; Zaeh, M.F. A Smoothed Particle Hydrodynamics Model for Laser Beam Melting of Ni-based Alloy 718. Comput. Math. Appl. 2019, 78, 2377–2394. [Google Scholar] [CrossRef]
- Fuchs, S.L.; Praegla, P.M.; Cyron, C.J.; Wall, W.A.; Meier, C. A versatile SPH modeling framework for coupled microfluid-powder dynamics in additive manufacturing: Binder jetting, material jetting, directed energy deposition and powder bed fusion. Eng. Comput. 2022, 38, 4853–4877. [Google Scholar] [CrossRef]
- Baehr, S.; Fritz, F.; Adami, S.; Ammann, T.; Adams, N.A.; Zaeh, M.F. Investigations on the Heat Balance of the Melt Pool during PBF-LB/M under Various Process Gases. Metals 2024, 14, 1058. [Google Scholar] [CrossRef]
- Gu, D. Tailoring thermodynamics, fluid flow, and surface quality of laser powder bed fusion metallic powder through mass and momentum transfer modeling and monitoring. In Laser Additive Manufacturing of Metallic Materials and Components; Elsevier: Amsterdam, The Netherlands, 2023; pp. 429–482. ISBN 978-0-12-823783-0. [Google Scholar]
- Burkhardt, C.; Steinmann, P.; Mergheim, J. Thermo-mechanical simulations of powder bed fusion processes: Accuracy and efficiency. Adv. Model. Simul. Eng. Sci. 2022, 9, 18. [Google Scholar] [CrossRef]
- Vallabh, C.K.P.; Zhao, X. Single-camera Two-Wavelength Imaging Pyrometry for Melt Pool Temperature Measurement and Monitoring in Laser Powder Bed Fusion based Additive Manufacturing. J. Manuf. Process. 2021, 79, 486–500. [Google Scholar] [CrossRef]
- Flint, T.F.; Robson, J.D.; Esmati, P.; Grilli, N.; Parivendhan, G.; Cardiff, P. Version 2.0—LaserbeamFoam: Laser ray-tracing and thermally induced state transition simulation toolkit. SoftwareX 2024, 25, 101612. [Google Scholar] [CrossRef]
- Gusarov, A.V. Radiative transfer, absorption, and reflection by metal powder beds in laser powder-bed processing. J. Quant. Spectrosc. Radiat. Transf. 2020, 257, 107366. [Google Scholar] [CrossRef]
- Gu, D. Laser energy absorption and distribution behaviors of randomly packed powder bed using ray tracing method during laser powder bed fusion of metallic materials. In Laser Additive Manufacturing of Metallic Materials and Components; Elsevier: Amsterdam, The Netherlands, 2023; pp. 307–345. [Google Scholar]
- Liu, L.; Huang, M.; Ma, Y.H.; Qin, M.L.; Liu, T.T. Simulation of Powder Packing and Thermo-Fluid Dynamic of 316L Stainless Steel by Selective Laser Melting. J. Mater. Eng. Perform. 2020, 29, 7369–7381. [Google Scholar] [CrossRef]
- Katagiri, J.; Nomoto, S.; Kusano, M.; Watanabe, M. Particle Size Effect on Powder Packing Properties and Molten Pool Dimensions in Laser Powder Bed Fusion Simulation. J. Manuf. Mater. Process. 2024, 8, 71. [Google Scholar] [CrossRef]
- Yuan, W.; Chen, H.; Peng, C.; Lupoi, R.; Yin, S. Revealing melt-vapor-powder interaction towards laser powder bed fusion process via DEM-CFD coupled model. Surf. Sci. Technol. 2023, 1, 14. [Google Scholar] [CrossRef]
- Srivastava, S.; Garg, R.K.; Sharma, V.S.; Alba-Baena, N.G.; Sachdeva, A.; Chand, R.; Singh, S. Multi-physics continuum modelling approaches for metal powder additive manufacturing: A review. Rapid Prototyp. J. 2020, 26, 737–764. [Google Scholar] [CrossRef]
- Jia, Y.; Naceur, H.; Saadlaoui, Y.; Dubar, L.; Bergheau, J.M. A comprehensive comparison of modeling strategies and simulation techniques applied in powder-based metallic additive manufacturing processes. J. Manuf. Process. 2024, 110, 1–29. [Google Scholar] [CrossRef]
- Mayi, Y.A.; Dal, M.; Peyre, P.; Bellet, M.; Metton, C.; Moriconi, C.; Fabbro, R. Transient dynamics and stability of keyhole at threshold in laser powder bed fusion regime investigated by finite element modeling. J. Laser Appl. 2021, 33, 012024. [Google Scholar] [CrossRef]
- Tan, W.; Spear, A. Multiphysics Modeling Framework to Predict Process-Microstructure-Property Relationship in Fusion-Based Metal Additive Manufacturing. Acc. Mater. Res. 2024, 5, 10–21. [Google Scholar] [CrossRef]
- Afrasiabi, M.; Bambach, M. Modelling and simulation of metal additive manufacturing processes with particle methods: A review. Virtual Phys. Prototyp. 2023, 18, e2274494. [Google Scholar] [CrossRef]
- Korneev, B.; Zakirov, A.; Bogdanova, M.; Belousov, S.; Perepelkina, A.; Iskandarova, I.; Potapkin, B. A numerical study of powder wetting influence on the morphology of laser powder bed fusion manufactured thin walls. Addit. Manuf. 2023, 74, 103705. [Google Scholar] [CrossRef]
- Zöller, C.; Adams, N.A.; Adami, S. Beam-shaping in laser-based powder bed fusion of metals: A computational analysis of point-ring intensity profiles. Addit. Manuf. 2024, 93, 104402. [Google Scholar] [CrossRef]
- Gu, H.; Fu, Y.; Wei, C.; Li, L.; Qian, L.; Zhou, W.; Li, Y.; Ren, X. The impact of thermocapillary on equiaxed/columnar microstructure evolution in laser powder bed fusion: A high-fidelity ray-tracing based finite volume and cellular automaton study. J. Mater. Process. Technol. 2024, 326, 118335. [Google Scholar] [CrossRef]
- Lu, H.; Pan, J.; Gu, Y.; Hu, X.; Duan, Z.; Li, H. Effect of molten pool flow and recoil pressure on grain growth structures during laser powder bed fusion by an integrated model. Int. J. Heat Mass Transf. 2024, 223, 125219. [Google Scholar] [CrossRef]
- Laskowski, R.; Ahluwalia, R.; Hock, G.T.W.; Ying, C.S.; Sun, C.N.; Wang, P.; Cheh, D.T.C.; Sharon, N.M.L.; Vastola, G.; Zhang, Y.W. Concurrent modeling of porosity and microstructure in multilayer three-dimensional simulations of powder-bed fusion additive manufacturing of INCONEL 718. Addit. Manuf. 2022, 60, 103266. [Google Scholar] [CrossRef]
- Sharma, S.; Joshi, S.S.; Pantawane, M.V.; Radhakrishnan, M.; Mazumder, S.; Dahotre, N.B. Multiphysics multi-scale computational framework for linking process–structure–property relationships in metal additive manufacturing: A critical review. Int. Mater. Rev. 2023, 68, 943–1009. [Google Scholar] [CrossRef]
- Yan, J.; Zhu, Q.; Zhao, Z. Computational thermal multi-phase flow for metal additive manufacturing. In Modeling and Simulation in Science, Engineering and Technology; Birkhäuser: Cham, Switzerland, 2022; pp. 533–580. [Google Scholar] [CrossRef]
- Meier, C.; Penny, R.W.; Zou, Y.; Gibbs, J.S.; Hart, A.J. Thermophysical phenomena in metal additive manufacturing by selective laser melting: Fundamentals, modeling, simulation, and experimentation. Annu. Rev. Heat Transf. 2017, 20, 241–316. [Google Scholar] [CrossRef]
- Wang, J.; Zhu, R.; Liu, Y.; Zhang, L. Understanding melt pool characteristics in laser powder bed fusion: An overview of single- and multi-track melt pools for process optimization. Adv. Powder Mater. 2023, 2, 100137. [Google Scholar] [CrossRef]
- Shan, X.; Pan, Z.; Gao, M.; Han, L.; Choi, J.-P.; Zhang, H. Multi-Physics Modeling of Melting-Solidification Characteristics in Laser Powder Bed Fusion Process of 316L Stainless Steel. Materials 2024, 17, 946. [Google Scholar] [CrossRef] [PubMed]
- Dai, K.; He, X.; Kong, D.; Dong, C. Multi-physical field simulation to yield defect-free IN718 alloy fabricated by laser powder bed fusion. Mater. Lett. 2024, 355, 135437. [Google Scholar] [CrossRef]
- Promoppatum, P.; Yao, S.-C. Analytical evaluation of defect generation for selective laser melting of metals. Int. J. Adv. Manuf. Technol. 2019, 103, 1185–1198. [Google Scholar] [CrossRef]
- Agrawal, A.K.; Rankouhi, B.; Thoma, D.J. Predictive process mapping for laser powder bed fusion: A review of existing analytical solutions. Curr. Opin. Solid State Mater. Sci. 2022, 26, 101024. [Google Scholar] [CrossRef]
- Ökten, K.; Örnek, B.N.; Biyikoğlu, A. Development of an analytical model to investigate temperature distribution and melt geometry in the laser powder bed fusion process under different operating parameters. J. Laser Appl. 2025, 37, 012001. [Google Scholar] [CrossRef]
- Estupinan Donoso, A.A.; Peters, B. Exploring a Multiphysics Resolution Approach for Additive Manufacturing. JOM 2018, 70, 1604–1610. [Google Scholar] [CrossRef]
- Wang, L.; Guo, Q.; Chen, L.; Yan, W. In-situ experimental and high-fidelity modeling tools to advance understanding of metal additive manufacturing. Int. J. Mach. Tools Manuf. 2023, 193, 104077. [Google Scholar] [CrossRef]
- Krauss, H.; Zeugner, T.; Zaeh, M.F. Thermographic process monitoring in powderbed based additive manufacturing. AIP Conf. Proc. 2015, 1650, 177–183. [Google Scholar] [CrossRef]
- Moshiri, M.; Pedersen, D.B.; Tosello, G.; Nadimpalli, V.K. Performance evaluation of in-situ near-infrared melt pool monitoring during laser powder bed fusion. Virtual Phys. Prototyp. 2023, 18, e2205387. [Google Scholar] [CrossRef]
- Varma, A.; Ganesh, K.V.; Mahapatra, D.R. Multi-Scale Modeling of Selective Laser Melting Process; SAE Technical Paper; SAE International: Warrendale, PA, USA, 2024. [Google Scholar] [CrossRef]
- Caprio, L.; Demir, A.G.; Previtali, B. Understanding the effects of temporal waveform modulation of the laser emission power in laser powder bed fusion: Part I—Analytical modelling. J. Phys. D Appl. Phys. 2022, 55, 495101. [Google Scholar] [CrossRef]
- Parsazadeh, M.; Ebrahimi, H.; Sichani, M.S.; Dahotre, N. A Novel Physics-Based Model for Predicting Melt Pool Dimensions in Laser Powder Bed Fusion Process. J. Manuf. Sci. Eng. 2024, 146, 081001. [Google Scholar] [CrossRef]
- Wang, W.; Ning, J.; Garmestani, H.; Liang, S.Y. Analytical Prediction of Molten Pool Dimensions in Powder Bed Fusion Considering Process Conditions-Dependent Laser Absorptivity. Appl. Sci. 2022, 12, 11926. [Google Scholar] [CrossRef]
- Queva, A.; Guillemot, G.; Moriconi, C.; Bergeron, R.; Bellet, M. Mesoscale multilayer multitrack modeling of melt pool physics in laser powder bed fusion of lattice metal features. Addit. Manuf. 2024, 93, 104365. [Google Scholar] [CrossRef]
- Gu, D. Mesoscale understanding of particle melting behavior, thermodynamic mechanism, and porosity evolution of randomly packed powder-bed using finite volume method. In Laser Additive Manufacturing of Metallic Materials and Components; Elsevier: Amsterdam, The Netherlands, 2023; pp. 347–395. [Google Scholar]
- Queva, A.; Guillemot, G.; Moriconi, C.; Metton, C.; Bellet, M. Numerical study of the impact of vaporisation on melt pool dynamics in Laser Powder Bed Fusion—Application to IN718 and Ti–6Al–4V. Addit. Manuf. 2020, 35, 101249. [Google Scholar] [CrossRef]
- Trejos-Taborda, J.; Reyes-Osorio, L.; Garza, C.; del Carmen Zambrano-Robledo, P.; Lopez-Botello, O. Finite element modeling of melt pool dynamics in laser powder bed fusion of 316L stainless steel. Int. J. Adv. Manuf. Technol. 2022, 120, 3947–3961. [Google Scholar] [CrossRef]
- Abdelmoula, M.; Musinski, W. Predicting and correlating melt pool characteristics with processing parameters in IN625 powder bed fusion additive manufacturing. J. Manuf. Process. 2024, 121, 427–445. [Google Scholar] [CrossRef]
- Peng, J.; Jiang, W.G.; Qin, Q.H.; Xu, G.G.; Liu, F.C. High-fidelity numerical model of melt pool dynamics in selective multi-laser melting of Inconel 718 under different scanning strategies. Mater. Today Commun. 2023, 36, 106913. [Google Scholar] [CrossRef]
- Khorasani, M.; Ghasemi, A.H.; Leary, M.; Downing, D.; Gibson, I.; Sharabian, E.G.; Veetil, J.K.; Brandt, M.; Bateman, S.; Rolfe, B. Benchmark models for conduction and keyhole modes in laser-based powder bed fusion of Inconel 718. Opt. Laser Technol. 2023, 164, 109509. [Google Scholar] [CrossRef]
- Zöller, C.; Adams, N.A.; Adami, S. Numerical investigation of balling defects in laser-based powder bed fusion of metals with Inconel 718. Addit. Manuf. 2023, 73, 103658. [Google Scholar] [CrossRef]
- Krzyzanowski, M.; Svyetlichnyy, D. A multiphysics simulation approach to selective laser melting modelling based on cellular automata and lattice Boltzmann methods. Comput. Part. Mech. 2022, 9, 117–133. [Google Scholar] [CrossRef]
- Wei, M.; Ding, W.J.; Vastola, G.; Zhang, Y.W. Quantitative study on the dynamics of melt pool and keyhole and their controlling factors in metal laser melting. Addit. Manuf. 2022, 54, 102779. [Google Scholar] [CrossRef]
- Chouhan, A.; Mädler, L.; Ellendt, N. Modeling of rapid solidification in Laser Powder Bed Fusion processes. Comput. Mater. Sci. 2024, 238, 112918. [Google Scholar] [CrossRef]
- Manav, M.; Perraudin, N.; Lin, Y.; Afrasiabi, M.; Perez-Cruz, F.; Bambach, M.; De Lorenzis, L. MeltpoolINR: Predicting temperature field, melt pool geometry, and their rate of change in laser powder bed fusion. J. Intell. Manuf. 2025. [Google Scholar] [CrossRef]
- Hemmasian, A.; Ogoke, F.; Akbari, P.; Malen, J.; Beuth, J.; Farimani, A.B. Surrogate Modeling of Melt Pool Thermal Field using Deep Learning. Addit. Manuf. Lett. 2022, 5, 100123. [Google Scholar] [CrossRef]
- Lopez, E.D.; Fortney, J.J.; Kalourazi, S.F.; Wang, F.; Zhang, H.; Li, Z.; Greenwood, M.; Phillion, A. A phase field methodology for simulating the microstructure evolution during laser powder bed fusion in-situ alloying process. IOP Conf. Ser. Mater. Sci. Eng. 2023, 1281, 012017. [Google Scholar] [CrossRef]
- Yang, M.; Wang, L.; Yan, W. Phase-field modeling of grain evolutions in additive manufacturing from nucleation, growth, to coarsening. Npj Comput. Mater. 2021, 7, 56. [Google Scholar] [CrossRef]
- Elahi, S.M.; Tavakoli, R.; Romero, I.; Tourret, D. Grain growth competition during melt pool solidification—Comparing phase-field and cellular automaton models. Comput. Mater. Sci. 2022, 216, 56. [Google Scholar] [CrossRef]
- Yang, Y.; Kühn, P.; Yi, M.; Egger, H.; Xu, B.X. Non-isothermal Phase-Field Modeling of Heat–Melt–Microstructure-Coupled Processes During Powder Bed Fusion. JOM 2020, 72, 1719–1733. [Google Scholar] [CrossRef]
- Choi, J.Y.; Xue, T.; Liao, S.; Cao, J. Accelerating phase-field simulation of three-dimensional microstructure evolution in laser powder bed fusion with composable machine learning predictions. Addit. Manuf. 2024, 79, 103938. [Google Scholar] [CrossRef]
- Peivaste, I.; Siboni, N.H.; Alahyarizadeh, G.; Ghaderi, R.; Svendsen, B.; Raabe, D.; Mianroodi, J.R. Accelerating phase-field-based simulation via machine learning. arXiv 2022, arXiv:2205.02121. [Google Scholar]
- Xie, Q.; Yan, X.; Yin, S.; Li, X.; Liu, M.; Wang, Y.; Zhuang, L. An extended version of cellular automata model for powder bed fusion to unravel the dependence of microstructure on printing areas for Inconel 625. Addit. Manuf. 2023, 73, 103676. [Google Scholar] [CrossRef]
- Andersson, C.; Lundbäck, A. Modeling the Evolution of Grain Texture during Solidification of Laser-Based Powder Bed Fusion Manufactured Alloy 625 Using a Cellular Automata Finite Element Model. Metals 2023, 13, 1846. [Google Scholar] [CrossRef]
- Zheng, M.; Wang, G.; Zhou, W.; Wei, L.; Lin, X.; Huang, W. Understanding grain evolution in laser powder bed fusion process through a real-time coupled Lattice Boltzmann model-Cellular Automaton simulation. J. Mater. Process. Technol. 2023, 321, 118126. [Google Scholar] [CrossRef]
- Nastac, L. 3D Modeling of the Solidification Structure Evolution and of the Inter Layer/Track Voids Formation in Metallic Alloys Processed by Powder Bed Fusion Additive Manufacturing. Materials 2022, 15, 8885. [Google Scholar] [CrossRef] [PubMed]
- Nastac, L. 3D Modeling of the Solidification Structure Evolution of Superalloys in Powder Bed Fusion Additive Manufacturing Processes. Metals 2021, 11, 1995. [Google Scholar] [CrossRef]
- Yang, Z.Y.; Kuesters, Y.K.; Logvinov, R.L.; Markl, M.M.; Körner, C.K. SAMPLE3D: A Versatile Numerical Tool for Investigating Texture and Grain Structure of Materials Processed by PBF Processes. In Proceedings of the IVth International Conference on Simulation for Additive Manufacturing (Sim-AM 2023), Munich, Germany, 26–28 July 2023. [Google Scholar]
- Maji, S.; Amirthalingam, M. Multi-component and multi-phase-field modelling of solidification microstructural evolution in Inconel 625 alloy during laser powder bed fusion additive manufacturing. Weld. World 2025, 69, 1023–1043. [Google Scholar] [CrossRef]
- Okugawa, M.; Saito, K.; Yoshima, H.; Sawaizumi, K.; Nomoto, S.; Watanabe, M.; Nakano, T.; Koizumi, Y. Solute segregation in a rapidly solidified Hastelloy-X Ni-based superalloy during laser powder bed fusion investigated by phase-field and computational thermal-fluid dynamics simulations. Addit. Manuf. 2024, 84, 104079. [Google Scholar] [CrossRef]
- Mohammadkamal, H.; Caiazzo, F. Numerical Study to Analyze the Influence of Process Parameters on Temperature and Stress Field in Powder Bed Fusion of Ti-6Al-4V. Materials 2025, 18, 368. [Google Scholar] [CrossRef] [PubMed]
- Denlinger, E.R.; Gouge, M.; Irwin, J.; Michaleris, P. Thermomechanical model development and in situ experimental validation of the Laser Powder-Bed Fusion process. Addit. Manuf. 2017, 16, 73–80. [Google Scholar] [CrossRef]
- Cao, Y.; Lin, X.; Kang, N.; Ma, L.; Wei, L.; Zheng, M.; Yu, J.; Peng, D.; Huang, W. A novel high-efficient finite element analysis method of powder bed fusion additive manufacturing. Addit. Manuf. 2021, 46, 102187. [Google Scholar] [CrossRef]
- Olleak, A.; Xi, Z. A study of modeling assumptions and adaptive remeshing for thermomechanical finite element modeling of the LPBF process. Int. J. Adv. Manuf. Technol. 2021, 115, 3599–3615. [Google Scholar] [CrossRef]
- Chen, Q.; Liang, X.; Hayduke, D.; Liu, J.; Cheng, L.; Oskin, J.; Whitmore, R.; To, A.C. An inherent strain based multiscale modeling framework for simulating part-scale residual deformation for direct metal laser sintering. Addit. Manuf. 2019, 28, 406–418. [Google Scholar] [CrossRef]
- Bayraktar, C.; Demir, E. A thermomechanical finite element model and its comparison to inherent strain method for powder-bed fusion process. Addit. Manuf. 2022, 54, 102708. [Google Scholar] [CrossRef]
- Zhang, M.; Ji, C.; Hou, Y.; Jin, P.; He, J.; Wu, J.; Li, K. Modified inherent strain method coupled with shear strain and dynamic mechanical properties for predicting residual deformation of Inconel 738LC part fabricated by laser powder bed fusion. Int. J. Therm. Sci. 2024, 203, 109163. [Google Scholar] [CrossRef]
- Liang, X.; Dong, W.; Chen, Q.; To, A.C. On incorporating scanning strategy effects into the modified inherent strain modeling framework for laser powder bed fusion. Addit. Manuf. 2021, 37, 101648. [Google Scholar] [CrossRef]
- Dong, W.; Liang, X.; Chen, Q.; Hinnebusch, S.; Zhou, Z.; To, A.C. A new procedure for implementing the modified inherent strain method with improved accuracy in predicting both residual stress and deformation for laser powder bed fusion. Addit. Manuf. 2021, 47, 102345. [Google Scholar] [CrossRef]
- Bhat, A.; Elsen, R.S.; Abishai, D.; Narayan, M.J.; Sakthivel, A.R.; Chadha, U.; Hirpha, B.B. Prediction and Experimental Verification of Distortion due to Residual Stresses in a Ti-6Al-4V Control Arm Plate. Adv. Mater. Sci. Eng. 2022, 2022, 5211623. [Google Scholar] [CrossRef]
- Zhou, J.; Barrett, R.A.; Leen, S.B. Finite element modelling for mitigation of residual stress and distortion in macro-scale powder bed fusion components. Proc. Inst. Mech. Eng. Part L J. Mater. Des. Appl. 2023, 237, 1458–1474. [Google Scholar] [CrossRef]
- Hassila, C.J.; Malmelöv, A.; Andersson, C.; Hektor, J.; Fisk, M.; Lundbäck, A.; Wiklund, U. Influence of Scanning Strategy on Residual Stresses in Laser-Based Powder Bed Fusion Manufactured Alloy 718: Modeling and Experiments. Materials 2024, 17, 6265. [Google Scholar] [CrossRef] [PubMed]
- Palmeri, D.; Pollara, G.; Licari, R.; Micari, F. Finite Element Method in L-PBF of Ti-6Al-4V: Influence of Laser Power and Scan Speed on Residual Stress and Part Distortion. Metals 2023, 13, 1907. [Google Scholar] [CrossRef]
- Anand, N.; Chen, Y.-B.; Lee, M.-T. The Development of an Effective and Comprehensive Modeling Technique for Thermomechanical Analysis of Selective Laser Melting Process. In Proceedings of the Conference: International Conference of Asian Society for Precision Engineering and Nanotechnology, Hong Kong, China, 21–24 November 2023; pp. 123–126. [Google Scholar]
- Kumar, B.; Dandekar, T.R.; Birosca, S. Probing the temperature field and residual stress transformation in multi-track, multi-layered system. Mater. Today Commun. 2024, 38, 108056. [Google Scholar] [CrossRef]
- Tangestani, R.; Sabiston, T.; Chakraborty, A.; Muhammad, W.; Yuan, L.; Martin, É. An Efficient Track-Scale Model for Laser Powder Bed Fusion Additive Manufacturing: Part 1-Thermal Model. Front. Mater. 2021, 8, 753040. [Google Scholar] [CrossRef]
- Conti, P.; Cianetti, F.; Pilerci, P. Parametric Finite Elements Model of SLM Additive Manufacturing process. Procedia Struct. Integr. 2018, 8, 410–421. [Google Scholar] [CrossRef]
- Jonaet, A.M.; Park, H.S.; Myung, L.C. Prediction of residual stress and deformation based on the temperature distribution in 3D-printed parts. Int. J. Adv. Manuf. Technol. 2021, 113, 2227–2242. [Google Scholar] [CrossRef]
- Santos, M.O.; Maiolini, A.S.F.R.; Miranda, F.; Farias, A.; Seriacopi, V.; Bordinassi, E.C.; Batalha, G.F. Numerical and Experimental Analysis of the Influence of Manufacturing Parameters in Additive Manufacturing SLM-PBF on Residual Stress and Thermal Distortion in Parts of Titanium Alloy Ti6Al4V. In Proceedings of the Lecture Notes in Mechanical Engineering; Springer: Cham, Switzerland, 2024; pp. 195–207. [Google Scholar]
- Cheng, B.; Shrestha, S.; Chou, K. Stress and deformation evaluations of scanning strategy effect in selective laser melting. Addit. Manuf. 2016, 12, 240–251. [Google Scholar] [CrossRef]
- Jia, Y.; Zeng, C.; Xue, J. Scanning strategy optimization for the selective laser melting additive manufacturing of Ti6Al4V. Eng. Res. Express 2023, 5, 015041. [Google Scholar] [CrossRef]
- Chen, Q.; Taylor, H.; Takezawa, A.; Liang, X.; Jimenez, X.; Wicker, R.; To, A.C. Island scanning pattern optimization for residual deformation mitigation in laser powder bed fusion via sequential inherent strain method and sensitivity analysis. Addit. Manuf. 2021, 46, 102116. [Google Scholar] [CrossRef]
- Phan, M.A.L.; Dew, O.; Todd, I. Predictive process diagram for parameters selection in laser powder bed fusion to achieve high-density and low-cracking built parts. Addit. Manuf. 2024, 85, 104145. [Google Scholar] [CrossRef]
- Prasanth Kumar, R.K.; Boggarapu, N.R.; Narayana Murty, S.V.S. Multi-objective optimization to specify optimal selective laser melting process parameters for SS316 L powder. Multidiscip. Model. Mater. Struct. 2024, 20, 59–80. [Google Scholar] [CrossRef]
- Mani, M.; Feng, S.; Brandon, L.; Donmez, A.; Moylan, S.; Fesperman, R. Measurement science needs for real-time control of additive manufacturing powder-bed fusion processes. In Additive Manufacturing Handbook; CRC Press: Boca Raton, FL, USA, 2017; pp. 629–652. ISBN 9781315119106. [Google Scholar]
- Moges, T.; Ameta, G.; Witherell, P. A Review of Model Inaccuracy and Parameter Uncertainty in Laser Powder Bed Fusion Models and Simulations. J. Manuf. Sci. Eng. Trans. ASME 2019, 141, 040801. [Google Scholar] [CrossRef]
- Mwania, F.M.; Maringa, M.; van der Walt, J. Analytical and numerical modelling of laser powder bed fusion (L-PBF) of polymers—A review of the key areas of focus of the process. MATEC Web Conf. 2022, 370, 06001. [Google Scholar] [CrossRef]
- Puso, M.A.; Hodge, N.E. An assessment of the utility of multirate time integration for the modeling of laser powder bed fusion. Addit. Manuf. 2023, 73, 103657. [Google Scholar] [CrossRef]
- Tong, M. Review of Particle-Based Computational Methods and Their Application in the Computational Modelling of Welding, Casting and Additive Manufacturing. Metals 2023, 13, 1392. [Google Scholar] [CrossRef]
- Afrasiabi, M.; Lüthi, C.; Bambach, M.; Wegener, K. Multi-resolution SPH simulation of a laser powder bed fusion additive manufacturing process. Appl. Sci. 2021, 11, 2962. [Google Scholar] [CrossRef]
- Liu, W.; Wu, C.Y. Modelling Complex Particle–Fluid Flow with a Discrete Element Method Coupled with Lattice Boltzmann Methods (DEM-LBM). ChemEngineering 2020, 4, 55. [Google Scholar] [CrossRef]
- Le, T.N.; Lo, Y.L.; Hung, W. Coupled Computational Fluid Dynamics-Discrete Element Method Model for Investigation of Powder Effects in Nonconventional Laser Powder Bed Fusion Process. 3D Print. Addit. Manuf. 2024, 11, e1656–e1669. [Google Scholar] [CrossRef] [PubMed]
- Svyetlichnyy, D.; Krzyzanowski, M.; Straka, R.; Lach, L.; Rainforth, W.M. Application of cellular automata and Lattice Boltzmann methods for modelling of additive layer manufacturing. Int. J. Numer. Methods Heat Fluid Flow 2018, 28, 31–46. [Google Scholar] [CrossRef]
- Zhang, B.; Seede, R.; Whitt, A.; Shoukr, D.; Huang, X.; Karaman, I.; Arroyave, R.; Elwany, A. A printability assessment framework for fabricating low variability nickel-niobium parts using laser powder bed fusion additive manufacturing. Rapid Prototyp. J. 2021, 27, 1737–1748. [Google Scholar] [CrossRef]
- Holla, V.; Lane, B.; Redford, J.; Kopp, P.; Kollmannsberger, S.; Article, R. Quantifying Thermal Model Accuracy in PBF-LB/M using Statistical Similarity Tests Against Thermographic Measurements. Integr. Mater. Manuf. Innov. 2025. [Google Scholar] [CrossRef]
- Yan, W.; Lu, Y.; Jones, K.; Yang, Z.; Fox, J.; Witherell, P.; Wagner, G.; Liu, W.K. Data-driven characterization of thermal models for powder-bed-fusion additive manufacturing. Addit. Manuf. 2020, 36, 101503. [Google Scholar] [CrossRef]
- Imani Shahabad, S.; Karimi, G.; Toyserkani, E. An Extended Rosenthal’s Model for Laser Powder-Bed Fusion Additive Manufacturing: Energy Auditing of Thermal Boundary Conditions. Lasers Manuf. Mater. Process. 2021, 8, 288–311. [Google Scholar] [CrossRef]
- Zagade, P.R.; Gautham, B.P.; De, A.; DebRoy, T. Analytical modelling of scanning strategy effect on temperature field and melt track dimensions in laser powder bed fusion. Addit. Manuf. 2024, 82, 104046. [Google Scholar] [CrossRef]
- Cooke, S.R.; Sinclair, C.W.; Maijer, D.M. Incorporating non-linear effects in fast semi-analytical thermal modelling of powder bed fusion. arXiv 2024, arXiv:2404.03018. [Google Scholar] [CrossRef]
- Mahmood, M.A.; Ur Rehman, A.; Khan, T.; Seers, T.D.; Liou, F.; Khraisheh, M. Defects quantification of additively manufactured AISI 316L stainless steel parts via non-destructive analyses: Experiments and semi-FEM-analytical-based modeling. Opt. Laser Technol. 2024, 174, 110684. [Google Scholar] [CrossRef]
- Li, Z.J.; Dai, H.L.; Yao, Y.; Liu, J.L. A semi-analytical model for rapid prediction of residual stress and deformation in laser powder bed fusion. Appl. Math. Model. 2024, 125, 672–686. [Google Scholar] [CrossRef]
- Olleak, A.; Xi, Z. Efficient LPBF process simulation using finite element modeling with adaptive remeshing for distortions and residual stresses prediction. Manuf. Lett. 2020, 24, 140–144. [Google Scholar] [CrossRef]
- Ilani, M.A.; Banad, Y.M. Modeling Melt Pool Geometry in Metal Additive Manufacturing Using Goldak’s Semi-Ellipsoidal Heat Source: A Data-driven Computational Approach. arXiv 2024, arXiv:2404.08834. [Google Scholar]
- Wang, J.; Wang, Y.; Shi, J. On efficiency and effectiveness of finite volume method for thermal analysis of selective laser melting. Eng. Comput. 2020, 37, 2155–2175. [Google Scholar] [CrossRef]
- Leclerc, W.; Chams, A. Discrete Element Method framework to simulate metallic Laser Powder-Bed Fusion additive manufacturing process. In Proceedings of the Fourteenth International Conference on Computational Structures Technology; Civil-Comp Press: Edinburgh, UK, 2023; Volume 3, pp. 1–7. [Google Scholar] [CrossRef]
- Kouraytem, N.; Li, X.; Tan, W.; Kappes, B.; Spear, A.D. Modeling process–structure–property relationships in metal additive manufacturing: A review on physics-driven versus data-driven approaches. J. Phys. Mater. 2021, 4, 032002. [Google Scholar] [CrossRef]
- Sharma, R.; Guo, Y.B. Computational modeling and physics-informed machine learning of metal additive manufacturing: State-of-the-art and future perspective. Annu. Rev. Heat Transf. 2021, 24, 303–337. [Google Scholar] [CrossRef]
- Riensche, A.; Bevans, B.; King, G.; Krishnan, A.; Cole, K.; Rao, P. Predicting Microstructure Evolution in Laser Powder Bed Fusion Additive Manufacturing Using Physics-Based Machine Learning. In Proceedings of the ASME 2024 19th International Manufacturing Science and Engineering Conference, MSEC 2024, Knoxville, TN, USA, 17–21 June 2024; Volume 1. [Google Scholar]
- Moges, T.; Yang, Z.; Jones, K.; Feng, S.; Witherell, P.; Lu, Y. Hybrid Modeling Approach for Melt-Pool Prediction in Laser Powder Bed Fusion Additive Manufacturing. J. Comput. Inf. Sci. Eng. 2021, 21, 050902. [Google Scholar] [CrossRef]
- Liao, S.; Xue, T.; Jeong, J.; Webster, S.; Ehmann, K.; Cao, J. Hybrid thermal modeling of additive manufacturing processes using physics-informed neural networks for temperature prediction and parameter identification. Comput. Mech. 2023, 72, 499–512. [Google Scholar] [CrossRef]
- La Fé-Perdomo, I.; Ramos-Grez, J.A. An insight into adiabatic efficiency hybrid modeling in Laser-Based Powder Bed Fusion of 316L stainless steel. Opt. Laser Technol. 2023, 161, 109203. [Google Scholar] [CrossRef]
- ZainElabdeen, I.H.; Ismail, L.; Mohamed, O.F.; Khan, K.A.; Schiffer, A. Recent advancements in hybrid additive manufacturing of similar and dissimilar metals via laser powder bed fusion. Mater. Sci. Eng. A 2024, 909, 146833. [Google Scholar] [CrossRef]
- Gong, J.; Wei, K.; Liu, M.; Song, W.; Li, X.; Zeng, X. Microstructure and mechanical properties of AlSi10Mg alloy built by laser powder bed fusion/direct energy deposition hybrid laser additive manufacturing. Addit. Manuf. 2022, 59, 103160. [Google Scholar] [CrossRef]
- Rauch, M.; Hascoet, J.Y. Opening New Opportunities For Aeronautic, Naval And Train Large Components Realization With Hybrid And Twin Manufacturing. J. Mach. Eng. 2022, 22, 5–20. [Google Scholar] [CrossRef]
- Loyda, A.; Arizmendi, M.; Ruiz de Galarreta, S.; Rodriguez-Florez, N.; Jimenez, A. Meeting high precision requirements of additively manufactured components through hybrid manufacturing. CIRP J. Manuf. Sci. Technol. 2023, 40, 199–212. [Google Scholar] [CrossRef]
- Rabalo, M.A.; García-Domínguez, A.; Rubio, E.M.; Marín, M.M.; Agustina, B. Last Trends in the Application of the Hybrid Additive and Subtractive Manufacturing in the Aeronautic Industry. Adv. Sci. Technol. 2023, 132, 353–362. [Google Scholar] [CrossRef]
- Hafenecker, J.; Bartels, D.; Kuball, C.M.; Kreß, M.; Rothfelder, R.; Schmidt, M.; Merklein, M. Hybrid process chains combining metal additive manufacturing and forming—A review. CIRP J. Manuf. Sci. Technol. 2023, 46, 98–115. [Google Scholar] [CrossRef]
- Bidare, P.; Jiménez, A.; Abdelkhalek, S.M.; Khaled, I.; Hassan, A.; Abdallah, R.; Essa, K. Hybrid additive manufacturing of AISI H13 through interlayer machining and laser re-melting. Mater. Today Commun. 2023, 37, 107042. [Google Scholar] [CrossRef]
- Sommer, D.; Hornung, S.; Esen, C.; Hellmann, R. Optimization of mechanical properties of additive manufactured IN 718 parts combining LPBF and in-situ high-speed milling. In Proceedings of the Laser 3D Manufacturing XI, San Francisco, CA, USA, 27 January–1 February 2024; Volume 12876, pp. 117–125. [Google Scholar]
- Sommer, D.; Esen, C.; Hellmann, R. Static and Dynamic Mechanical Behaviour of Hybrid-PBF-LB/M-Built and Hot Isostatic Pressed Lattice Structures. Materials 2023, 16, 3556. [Google Scholar] [CrossRef]
- Letenneur, M.; Kreitcberg, A.; Brailovski, V. Optimization of Laser Powder Bed Fusion Processing Using a Combination of Melt Pool Modeling and Design of Experiment Approaches: Density Control. J. Manuf. Mater. Process. 2019, 3, 21. [Google Scholar] [CrossRef]
- Tabassum, R.; Uz Zaman, U.K.; Ahmed Baqai, A.; Rehman Mazhar, A.; Ullah Butt, S. Hybrid Additive Manufacturing: A Review from a Process Planning Perspective. J. Adv. Manuf. Syst. 2023, 23, 227–262. [Google Scholar] [CrossRef]
- Sajadi, P.; Rahmani Dehaghani, M.; Tang, Y.; Wang, G.G. Physics-Informed Online Learning for Temperature Prediction in Metal AM. Materials 2024, 17, 3306. [Google Scholar] [CrossRef]
- Sharma, R.; Guo, Y.B.; Raissi, M.; Guo, W.G. Physics-Informed Machine Learning of Argon Gas-Driven Melt Pool Dynamics. J. Manuf. Sci. Eng. 2024, 146, 081008. [Google Scholar] [CrossRef]
- Ghungrad, S.; Faegh, M.; Gould, B.; Wolff, S.J.; Haghighi, A. Architecture-Driven Physics-Informed Deep Learning for Temperature Prediction in Laser Powder Bed Fusion Additive Manufacturing with Limited Data. J. Manuf. Sci. Eng. 2023, 145, 081007. [Google Scholar] [CrossRef]
- Jiang, F.; Xia, M.; Hu, Y. Physics-Informed Machine Learning for Accurate Prediction of Temperature and Melt Pool Dimension in Metal Additive Manufacturing. 3D Print. Addit. Manuf. 2024, 11, e1679–e1689. [Google Scholar] [CrossRef] [PubMed]
- Zhu, Q.; Liu, Z.; Yan, J. Machine learning for metal additive manufacturing: Predicting temperature and melt pool fluid dynamics using physics-informed neural networks. Comput. Mech. 2021, 67, 619–635. [Google Scholar] [CrossRef]
- Nath, P.; Mahadevan, S. Probabilistic predictive control of porosity in laser powder bed fusion. J. Intell. Manuf. 2023, 34, 1085–1103. [Google Scholar] [CrossRef]
- Liu, N.; Li, X.; Rajanna, M.R.; Reutzel, E.W.; Sawyer, B.; Rao, P.; Lua, J.; Phan, N.; Yu, Y. Deep Neural Operator Enabled Digital Twin Modeling for Additive Manufacturing. Adv. Comput. Sci. Eng. 2024, 2, 174–201. [Google Scholar] [CrossRef]
- Mahmood, M.A.; Khraisheh, M.; Popescu, A.C.; Liou, F. Processing windows for Al-357 by LPBF process: A novel framework integrating FEM simulation and machine learning with empirical testing. Rapid Prototyp. J. 2024, 30, 1846–1858. [Google Scholar] [CrossRef]
- Gaikwad, A.; Giera, B.; Guss, G.M.; Forien, J.B.; Matthews, M.J.; Rao, P. Heterogeneous sensing and scientific machine learning for quality assurance in laser powder bed fusion—A single-track study. Addit. Manuf. 2020, 36, 101659. [Google Scholar] [CrossRef]
- Liu, S.; Li, R.; Zhou, J.; Dai, C.; Yu, J.; Zhang, Q. Physics-Based Data Augmentation Enables Accurate Machine Learning Prediction of Melt Pool Geometry. Appl. Sci. 2025, 15, 8587. [Google Scholar] [CrossRef]
- Guo, L.; Liu, H.; Wang, H.; Cristino, V.A.M.; Kwok, C.T.; Wei, Q.; Tang, Z.; Wu, Y.; Wang, H. Deepening the scientific understanding of different phenomenology in laser powder bed fusion by an integrated framework. Int. J. Heat Mass Transf. 2023, 216, 124596. [Google Scholar] [CrossRef]
- Lim, R.E.; Mukherjee, T.; Chuang, C.; Phan, T.Q.; Debroy, T.; Pagan, D.C.; Keckes, J. Combining synchrotron X-ray diffraction, mechanistic modeling and machine learning for in situ subsurface temperature quantification during laser melting. J. Appl. Crystallogr. 2023, 56, 1131–1143. [Google Scholar] [CrossRef] [PubMed]
- Kim, J.; Yang, Z.; Lu, Y. A physics-guided deep generative model for predicting melt pool behavior in laser powder bed fusion additive manufacturing. J. Intell. Manuf. 2024, 36, 5715–5735. [Google Scholar] [CrossRef]
- Yang, W.; Qiu, Y.; Liu, W.; Qiu, X.; Bai, Q. Defect prediction in laser powder bed fusion with the combination of simulated melt pool images and thermal images. J. Manuf. Process. 2023, 106, 214–222. [Google Scholar] [CrossRef]
- Twumasi, A.; Roy, P.C.; Choi, J.Y.; Gan, Z. Brief Paper: Physics-Guided Scan Paths Optimization for Controlled Microstructure in Laser Powder Bed Fusion. In Proceedings of the ASME 2024 19th International Manufacturing Science and Engineering Conference, MSEC 2024, Knoxville, TN, USA, 17–21 June 2024; Volume 1. [Google Scholar]
- Riensche, A.R.; Bevans, B.D.; King, G.; Krishnan, A.; Cole, K.D.; Rao, P. Predicting meltpool depth and primary dendritic arm spacing in laser powder bed fusion additive manufacturing using physics-based machine learning. Mater. Des. 2024, 237, 112540. [Google Scholar] [CrossRef]
- Penny, R.W.; John Hart, A. Radiometric Temperature Measurement for Metal Additive Manufacturing via Temperature Emissivity Separation. Addit. Manuf. 2025, 110, 104904. [Google Scholar] [CrossRef]
- Surana, A.; Lynch, M.E.; Nassar, A.R.; Ojard, G.C.; Fisher, B.A.; Corbin, D.; Overdorff, R. Flaw Detection in Multi-Laser Powder Bed Fusion Using in Situ Coaxial Multi-Spectral Sensing and Deep Learning. J. Manuf. Sci. Eng. 2023, 145, 051005. [Google Scholar] [CrossRef]
- Croset, G.; Martin, G.; Josserond, C.; Lhuissier, P.; Blandin, J.J.; Dendievel, R. In-situ layerwise monitoring of electron beam powder bed fusion using near-infrared imaging. Addit. Manuf. 2021, 38, 101767. [Google Scholar] [CrossRef]
- Oster, S.; Fritsch, T.; Ulbricht, A.; Mohr, G.; Bruno, G.; Maierhofer, C.; Altenburg, S.J. On the Registration of Thermographic In Situ Monitoring Data and Computed Tomography Reference Data in the Scope of Defect Prediction in Laser Powder Bed Fusion. Metals 2022, 12, 947. [Google Scholar] [CrossRef]
- Terrazas-Nájera, C.A.; Fernández, A.; Felice, R.; Wicker, R. On the thermal emissive behavior of four common alloys processed via powder bed fusion additive manufacturing. Addit. Manuf. 2024, 82, 104023. [Google Scholar] [CrossRef]
- Diehl, B.; Castro, A.; Jaquemetton, L.; Beckett, D. Thermal calibration of ratiometric, on-axis melt pool monitoring photodetector system using tungsten strip lamp. Mater. Eval. 2022, 80, 64–73. [Google Scholar] [CrossRef]
- Lane, B.; Jacquemetton, L.; Piltch, M.; Beckett, D. Thermal Calibration of Commercial Melt Pool Monitoring Sensors on a Laser Powder Bed Fusion System; US Department of Commerce, National Institute of Standards and Technology: Gaithersburg, MD, USA, 2020. [Google Scholar]
- Mohr, G.; Altenburg, S.J.; Ulbricht, A.; Heinrich, P.; Baum, D.; Maierhofer, C.; Hilgenberg, K. In-Situ Defect Detection in Laser Powder Bed Fusion by Using Thermography and Optical Tomography—Comparison to Computed Tomography. Metals 2020, 10, 103. [Google Scholar] [CrossRef]
- Petrich, J.; Snow, Z.; Corbin, D.; Reutzel, E.W. Multi-modal sensor fusion with machine learning for data-driven process monitoring for additive manufacturing. Addit. Manuf. 2021, 48, 102364. [Google Scholar] [CrossRef]
- Snow, Z.; Amir, L.S.; Ziabari, K.; Fisher, B.; Paquit, V. Machine Learning Enabled Sensor Fusion for In Situ Defect Detection in Laser Powder Bed Fusion CRADA Final Report; Oak Ridge National Laboratory (ORNL): Oak Ridge, TN, USA; RTX Technology Research Center: East Hartford, CT, USA, 2024. [Google Scholar]
- Snow, Z.; Scime, L.; Ziabari, A.; Fisher, B.; Paquit, V. Scalable in situ non-destructive evaluation of additively manufactured components using process monitoring, sensor fusion, and machine learning. Addit. Manuf. 2023, 78, 103817. [Google Scholar] [CrossRef]
- Ero, O.; Taherkhani, K.; Hemmati, Y.; Toyserkani, E. An integrated fuzzy logic and machine learning platform for porosity detection using optical tomography imaging during laser powder bed fusion. Int. J. Extrem. Manuf. 2024, 6, 065601. [Google Scholar] [CrossRef]
- Xie, G.; Walker, J.; Middendorf, J.; Spears, T.; Maass, D.; Dunne, B. Deep-learning-based multisensor fusion for in situ defect prediction in additive manufacturing. In Proceedings of the Applications of Machine Learning 2025, Kuala Lumpur, Malaysia, 14–16 February 2025; Volume 13606, pp. 105–119. [Google Scholar]
- Bonato, N.; Zanini, F.; Carmignato, S. Deformations modelling of metal additively manufactured parts and improved comparison of in-process monitoring and post-process X-ray computed tomography. Addit. Manuf. 2023, 75, 103736. [Google Scholar] [CrossRef]
- Fernandez, A.; Felice, R.; Terrazas-Nájera, C.A.; Wicker, R. Implications for accurate surface temperature monitoring in powder bed fusion: Using multi-wavelength pyrometry to characterize spectral emissivity during processing. Addit. Manuf. 2021, 46, 102138. [Google Scholar] [CrossRef]
- Höfflin, D.; Sauer, C.; Schiffler, A.; Manara, J.; Hartmann, J. Pixelwise high-temperature calibration for in-situ temperature measuring in powder bed fusion of metal with laser beam. Heliyon 2024, 10, e28989. [Google Scholar] [CrossRef] [PubMed]
- Wang, R.; Standfield, B.; Dou, C.; Law, A.C.; Kong, Z.J. Real-time process monitoring and closed-loop control on laser power via a customized laser powder bed fusion platform. Addit. Manuf. 2023, 66, 103449. [Google Scholar] [CrossRef]
- Tao, F.; Zhang, M.; Nee, A.Y.C. Digital Twin Driven Smart Manufacturing; Elsevier: Amsterdam, The Netherlands, 2019; ISBN 9780128176306. [Google Scholar]
- Zhu, Z.; Li, W.; Nguyen, Q.B.; An, X.; Lu, W.; Li, Z.; Ng, F.L.; Ling Nai, S.M.; Wei, J. Enhanced strength–ductility synergy and transformation-induced plasticity of the selective laser melting fabricated 304L stainless steel. Addit. Manuf. 2020, 35, 101300. [Google Scholar] [CrossRef]
- Colosimo, B.M.; Grasso, M. In-situ monitoring in L-PBF: Opportunities and challenges. Procedia CIRP 2020, 94, 388–391. [Google Scholar] [CrossRef]
- McCann, R.; Obeidi, M.A.; Hughes, C.; McCarthy, É.; Egan, D.S.; Vijayaraghavan, R.K.; Joshi, A.M.; Garzon, V.A.; Dowling, D.P.; McNally, P.J.; et al. In-situ sensing, process monitoring and machine control in Laser Powder Bed Fusion: A review. Addit. Manuf. 2021, 45, 102058. [Google Scholar] [CrossRef]
- Lu, Y.; Liu, C.; Wang, K.I.K.; Huang, H.; Xu, X. Digital Twin-driven smart manufacturing: Connotation, reference model, applications and research issues. Robot. Comput. Integr. Manuf. 2020, 61, 101837. [Google Scholar] [CrossRef]
- Nath, P.; Mahadevan, S. Probabilistic Digital Twin for Additive Manufacturing Process Design and Control. J. Mech. Des. 2022, 144, 091704. [Google Scholar] [CrossRef]
- Tapia, G.; Elwany, A. A Review on Process Monitoring and Control in Metal-Based Additive Manufacturing. J. Manuf. Sci. Eng. Trans. ASME 2014, 136, 060801. [Google Scholar] [CrossRef]
- Everton, S.K.; Hirsch, M.; Stavroulakis, P.I.; Leach, R.K.; Clare, A.T. Review of in-situ process monitoring and in-situ metrology for metal additive manufacturing. Mater. Des. 2016, 95, 431–445. [Google Scholar] [CrossRef]
- Asad, U.; Khan, M.; Khalid, A.; Lughmani, W.A. Human-Centric Digital Twins in Industry: A Comprehensive Review of Enabling Technologies and Implementation Strategies. Sensors 2023, 23, 3938. [Google Scholar] [CrossRef]
- Zhu, Z.; Liu, C.; Xu, X. Visualisation of the Digital Twin data in manufacturing by using Augmented Reality. Procedia CIRP 2019, 81, 898–903. [Google Scholar] [CrossRef]
- Kritzinger, W.; Karner, M.; Traar, G.; Henjes, J.; Sihn, W. Digital Twin in manufacturing: A categorical literature review and classification. IFAC-PapersOnLine 2018, 51, 1016–1022. [Google Scholar] [CrossRef]
- Tao, F.; Zhang, H.; Liu, A.; Nee, A.Y.C. Digital Twin in Industry: State-of-the-Art. IEEE Trans. Ind. Inform. 2019, 15, 2405–2415. [Google Scholar] [CrossRef]
- Gaikwad, A.; Yavari, R.; Montazeri, M.; Cole, K.; Bian, L.; Rao, P. Toward the digital twin of additive manufacturing: Integrating thermal simulations, sensing, and analytics to detect process faults. IISE Trans. 2020, 52, 1204–1217. [Google Scholar] [CrossRef]
- Li, J.; Zhou, Q.; Cao, L.; Wang, Y.; Hu, J. A convolutional neural network-based multi-sensor fusion approach for in-situ quality monitoring of selective laser melting. J. Manuf. Syst. 2022, 64, 429–442. [Google Scholar] [CrossRef]
- Zhang, H.; Vallabh, C.K.P.; Zhao, X. Registration and fusion of large-scale melt pool temperature and morphology monitoring data demonstrated for surface topography prediction in LPBF. Addit. Manuf. 2022, 58, 103075. [Google Scholar] [CrossRef]
- Hernandez, K.J.; Ciardi, T.G.; Yamamoto, R.; Lu, M.; Nihar, A.; Jimenez, J.C.; Tripathi, P.K.; Giera, B.; Forien, J.B.; Lewandowski, J.J.; et al. L-PBF High-Throughput Data Pipeline Approach for Multi-modal Integration. Integr. Mater. Manuf. Innov. 2024, 13, 758–772. [Google Scholar] [CrossRef]
- Chen, L.; Bi, G.; Yao, X.; Su, J.; Tan, C.; Feng, W.; Benakis, M.; Chew, Y.; Moon, S.K. In-situ process monitoring and adaptive quality enhancement in laser additive manufacturing: A critical review. J. Manuf. Syst. 2024, 74, 527–574. [Google Scholar] [CrossRef]
- Gorgannejad, S.; Martin, A.A.; Nicolino, J.W.; Strantza, M.; Guss, G.M.; Khairallah, S.; Forien, J.B.; Thampy, V.; Liu, S.; Quan, P.; et al. Localized keyhole pore prediction during laser powder bed fusion via multimodal process monitoring and X-ray radiography. Addit. Manuf. 2023, 78, 103810. [Google Scholar] [CrossRef]
- Liu, H.; Gobert, C.; Ferguson, K.; Abranovic, B.; Chen, H.; Beuth, J.L.; Rollett, A.D.; Kara, L.B. Inference of highly time-resolved melt pool visual characteristics and spatially-dependent lack-of-fusion defects in laser powder bed fusion using acoustic and thermal emission data. Addit. Manuf. 2023, 83, 104057. [Google Scholar] [CrossRef]
- Vandecasteele, M.; Searle, S.; Iuso, D.; Nourazar, M.; Ahar, A.; Hamidi Nasab, M.; Vrancken, B.; Booth, B. A High-speed Multimodal In-situ Monitoring System For Detecting Porosity And Deformation Defects In The Powder Bed Fusion Of Metallic Parts. In Proceedings of the Euro Powder Metallurgy 2025 Congress & Exhibition, Glasgow, UK, 14–17 September 2025. [Google Scholar]
- Wu, Q.; Yang, F.; Lv, C.; Liu, C.; Tang, W.; Yang, J. In-Situ Quality Intelligent Classification of Additively Manufactured Parts Using a Multi-Sensor Fusion Based Melt Pool Monitoring System. Addit. Manuf. Front. 2024, 3, 200153. [Google Scholar] [CrossRef]
- Scime, L.; Joslin, C.; Collins, D.A.; Sprayberry, M.; Singh, A.; Halsey, W.; Duncan, R.; Snow, Z.; Dehoff, R.; Paquit, V. A Data-Driven Framework for Direct Local Tensile Property Prediction of Laser Powder Bed Fusion Parts. Materials 2023, 16, 7293. [Google Scholar] [CrossRef]
- Chen, L.; Yao, X.; Liu, K.; Tan, C.; Moon, S.K. Multisensor fusion-based digital twin in additive manufacturing for in-situ quality monitoring and defect correction. Proc. Des. Soc. 2023, 3, 2755–2764. [Google Scholar] [CrossRef]
- Hong, G.; Kim, J.; Yang, Z.; Lu, Y.; Lane, B.; Yeung, H. Multi-Scale Model Predictive Control for Laser Powder Bed Fusion Additive Manufacturing. In Proceedings of the ASME 2024 International Design Engineering Technical Conferences and Computers and Information in Engineering Conference, Washington, DC, USA, 25–28 August 2024; Volume 2B-2024. [Google Scholar] [CrossRef]
- Estalaki, S.M.; Lough, C.S.; Landers, R.G.; Kinzel, E.C.; Luo, T. Predicting defects in laser powder bed fusion using in-situ thermal imaging data and machine learning. Addit. Manuf. 2022, 58, 103008. [Google Scholar] [CrossRef]
- Dubrov, A.V.; Mirzade, F.K.; Dubrov, V.D. On modeling of heat transfer and molten pool behavior in multi-layer and multi-track laser additive manufacturing process. In Proceedings of the SPIE 11057, Modeling Aspects in Optical Metrology VII; SPIE: Bellingham, WA, USA, 2019; Volume 11057, pp. 374–382. [Google Scholar] [CrossRef]
- Santi, A.; Bayat, M.; Hattel, J. Multiphysics modeling of metal based additive manufacturing processes with focus on thermomechanical conditions. J. Therm. Stress. 2023, 46, 445–463. [Google Scholar] [CrossRef]
- Bevans, B.D.; Riensche, A.; Carrington, A.; Deshmukh, K.; Darji, M.; Plotnikov, Y.; Sions, J.; Snyder, K.; Hass, D.; Rao, P. In-Process Monitoring of Part Quality in Laser Powder Bed Fusion Additive Manufacturing Process Using Acoustic Emission Sensors. J. Manuf. Sci. Eng. 2025, 147, 061010. [Google Scholar] [CrossRef]
- Yuan, B.; Guss, G.M.; Wilson, A.C.; Hau-Riege, S.P.; DePond, P.J.; McMains, S.; Matthews, M.J.; Giera, B. Machine-Learning-Based Monitoring of Laser Powder Bed Fusion. Adv. Mater. Technol. 2018, 3, 1800136. [Google Scholar] [CrossRef]
- Jin, L.; Zhai, X.; Wang, K.; Zhang, K.; Wu, D.; Nazir, A.; Jiang, J.; Liao, W.H. Big data, machine learning, and digital twin assisted additive manufacturing: A review. Mater. Des. 2024, 244, 113086. [Google Scholar] [CrossRef]
- Oster, S.; Breese, P.P.; Ulbricht, A.; Mohr, G.; Altenburg, S.J. A deep learning framework for defect prediction based on thermographic in-situ monitoring in laser powder bed fusion. J. Intell. Manuf. 2024, 35, 1687–1706. [Google Scholar] [CrossRef]
- Liu, R.; Liu, S.; Zhang, X. A physics-informed machine learning model for porosity analysis in laser powder bed fusion additive manufacturing. Int. J. Adv. Manuf. Technol. 2021, 113, 1943–1958. [Google Scholar] [CrossRef]
- Park, Y.; Love, A.; Behseresht, S.; Pastrana, O.V.; Sakai, J. Digital Twin Development for Additive Manufacturing. In Proceedings of the ASME 2024 Pressure Vessels & Piping Conference, Bellevue, WA, USA, 28 July–2 August 2024; Volume 1. [Google Scholar] [CrossRef]
- Horr, A.M. Real-time Modelling and ML Data Training for Digital Twinning of Additive Manufacturing Processesa? BHM Berg Hüttenmännische Monatshefte 2023, 169, 48–56. [Google Scholar] [CrossRef]
- Shehab, E.; Jumassultan, A.; Khoyashov, N.; Juziyeva, S.; Jyeniskhan, N.; Ali, H. Data-Driven Digital Twin Requirements for Additive Layer Manufacturing. MATEC Web Conf. 2024, 401, 02012. [Google Scholar] [CrossRef]
- Xu, R.; Huang, S.; Song, Z.; Gao, Y.; Wu, J. A deep mixed-effects modeling approach for real-time monitoring of metal additive manufacturing process. IISE Trans. 2024, 56, 945–959. [Google Scholar] [CrossRef]
- Papatheodorou, A.; Papadimitriou, N.; Stathatos, E.; Benardos, P.; Vosniakos, G.C. Recent Advances in Sensor Fusion Monitoring and Control Strategies in Laser Powder Bed Fusion: A Review. Machines 2025, 13, 820. [Google Scholar] [CrossRef]
- Li, J.; Hu, J.; Zhou, Q.; Zhang, Y. Transfer learning-based quality monitoring of laser powder bed fusion across materials. Expert Syst. Appl. 2024, 252, 124150. [Google Scholar] [CrossRef]
- Kim, J.; Yang, Z.; Lu, Y.; Hong, G.S. Self-Supervised Multilabel Melt Pool Anomaly Classification in Powder Bed Fusion Additive Manufacturing. J. Comput. Inf. Sci. Eng. 2025, 25, 071006. [Google Scholar] [CrossRef]
- Larsen, S.; Hooper, P.A. Deep semi-supervised learning of dynamics for anomaly detection in laser powder bed fusion. J. Intell. Manuf. 2022, 33, 457–471. [Google Scholar] [CrossRef]
- Dou, C.; Chung, J.; Gnanasambandam, R.; Wu, Y.; Li, J.; Kong, Z. Reinforced Scan: A Reinforcement Learning Enabled Optimal Laser Scan Path Planning in Powder Bed Fusion Additive Manufacturing. Res. Sq. 2025. [Google Scholar] [CrossRef]
- Xi, Z. Model Predictive Control of Melt Pool Size for the Laser Powder Bed Fusion Process Under Process Uncertainty. ASCE-ASME J. Risk Uncertain. Eng. Syst. Part B Mech. Eng. 2022, 8, 011103. [Google Scholar] [CrossRef]
- Tariq, U.; Joy, R.; Wu, S.H.; Mahmood, M.A.; Malik, A.W.; Liou, F. A state-of-the-art digital factory integrating digital twin for laser additive and subtractive manufacturing processes. Rapid Prototyp. J. 2023, 29, 2061–2097. [Google Scholar] [CrossRef]
- Tekoğlu, E.; O’Brien, A.D.; Liu, J.; Wang, B.; Kavak, S.; Zhang, Y.; Kim, S.Y.; Wang, S.; Ağaoğulları, D.; Chen, W.; et al. Strengthening additively manufactured Inconel 718 through in-situ formation of nanocarbides and silicides. Addit. Manuf. 2023, 67, 103478. [Google Scholar] [CrossRef]
- Zhang, J.; Yin, C.; Xu, Y.; Sing, S.L. Machine learning applications for quality improvement in laser powder bed fusion: A state-of-the-art review. Int. J. AI Mater. Des. 2024, 1, 26–43. [Google Scholar] [CrossRef]
- Khan, I.A.; Birkhofer, H.; Kunz, D.; Lukas, D.; Ploshikhin, V.; Wu, Q.; Khan, I.A.; Birkhofer, H.; Kunz, D.; Lukas, D.; et al. A Random Forest Classifier for Anomaly Detection in Laser-Powder Bed Fusion Using Optical Monitoring. Materials 2023, 16, 6470. [Google Scholar] [CrossRef]
- Vaghefi, E.; Hosseini, S.; Prorok, B.; Mirkoohi, E. Geometrically-informed predictive modeling of melt pool depth in laser powder bed fusion using deep MLP-CNN and metadata integration. J. Manuf. Process. 2024, 119, 952–963. [Google Scholar] [CrossRef]
- Kunkel, N.; Thölken, D.; Behler, K. Deep learning-based automated defect classification for powder bed fusion—Laser beam. Eur. J. Mater. 2024, 4, 2427401. [Google Scholar] [CrossRef]
- Bendaouia, A.; El Faqar, A.C.; Ramoni, M.; Abdelwahed, E.H.; Li, J. Deep Learning and Big Data Framework for Real-Time Porosity Monitoring in Laser Powder Bed Fusion. In Proceedings of the IEEE International Conference on Automation Science and Engineering, Auckland, New Zealand, 26–30 August 2025; pp. 1113–1119. [Google Scholar]
- Regal, E.; Gawade, V.; Guo, W. Physics-Informed Loss Functions With Explainable AI to Predict Emission in Powder Bed Fusion. In Proceedings of the ASME 2024 19th International Manufacturing Science and Engineering Conference, Knoxville, TN, USA, 17–21 June 2024; Volume 2. [Google Scholar] [CrossRef]
- Raut, R.; Ball, A.K.; Basak, A. Temperature Distribution Prediction in Laser Powder Bed Fusion using Transferable and Scalable Graph Neural Networks. arXiv 2024, arXiv:2407.13838. [Google Scholar] [CrossRef]
- Ghungrad, S.; Gould, B.; Wolff, S.; Haghighi, A. Physics-Informed Artificial Intelligence for Temperature Prediction in Metal Additive Manufacturing: A Comparative Study. In Proceedings of the ASME 2022 17th International Manufacturing Science and Engineering Conference, MSEC 2022, West Lafayette, IN, USA, 27 June–1 July 2022; Volume 1. [Google Scholar] [CrossRef]
- Rahman, M.S.; Sattar, N.S.; Ahmed, R.U.; Ciaccio, J.; Chakravarty, U.K. A Machine Learning Framework for Melt-Pool Geometry Prediction and Process Parameter Optimization in the Laser Powder-Bed Fusion Process. J. Eng. Mater. Technol. 2024, 146, 041006. [Google Scholar] [CrossRef]
- Pandita, P.; Ghosh, S.; Gupta, V.K.; Meshkov, A.; Wang, L. Application of Deep Transfer Learning and Uncertainty Quantification for Process Identification in Powder Bed Fusion. ASCE-ASME J. Risk Uncertain. Eng. Syst. Part B Mech. Eng. 2022, 8, 011106. [Google Scholar] [CrossRef]
- Mohd Rosli, M.; Rachini, A.; Karim Mahmood, M.; Alam, S. Data-Driven Melt Pool Monitoring and Defect Prediction in LPBF of Ti-6Al-4V Alloy. Babylon. J. Mech. Eng. 2025, 2025, 51–67. [Google Scholar] [CrossRef]
- Gor, M.; Dobriyal, A.; Wankhede, V.; Sahlot, P.; Grzelak, K.; Kluczyński, J.; Łuszczek, J. Density Prediction in Powder Bed Fusion Additive Manufacturing: Machine Learning-Based Techniques. Appl. Sci. 2022, 12, 7271. [Google Scholar] [CrossRef]
- Bai, F.; Attarzadeh, F.; Xu, J. An Alternative Machine Learning-Based Approach to Establish Stronger Correlations Between Laser Powder Bed Fusion (LPBF) Processing Parameters and Part Properties. In Proceedings of the ASME International Mechanical Engineering Congress and Exposition, Proceedings (IMECE), Hyderabad, India, 10–13 September 2025; Volume 2. [Google Scholar] [CrossRef]
- Zou, Z.; Zhang, K.; Liu, T.; Li, J.; Zhu, Z.; Wei, H.; Lu, Y.; Liao, W. In situ monitoring with melt pool data based on multi-signal fusion method in laser powder bed fusion. Measurement 2024, 234, 114877. [Google Scholar] [CrossRef]
- Pandiyan, V.; Baganis, A.; Axel Richter, R.; Wróbel, R.; Leinenbach, C. Qualify-as-you-go: Sensor fusion of optical and acoustic signatures with contrastive deep learning for multi-material composition monitoring in laser powder bed fusion process. Virtual Phys. Prototyp. 2024, 19, e2356080. [Google Scholar] [CrossRef]
- Debreceni, A.; Bodzás, S. Integration of Machine Learning in Additive Manufacturing for Material Extrusion and Powder Bed Fusion, a Brief Literature Review. Key Eng. Mater. 2025, 1018, 61–66. [Google Scholar] [CrossRef]
- Hu, C.C.; Yang, H.C.; Lu, Y.; Yang, C.W.; Kao, Y.C.; Cheng, F.T. A Distributed AM Architecture with Digital Twin for L-PBF Cluster. In Proceedings of the IEEE International Conference on Automation Science and Engineering, Bari, Italy, 28 August–1 September 2024; pp. 698–704. [Google Scholar]
- Chen, Y.-P.; Karkaria, V.; Tsai, Y.-K.; Rolark, F.; Quispe, D.; Gao, R.X.; Cao, J.; Chen, W. Real-Time Decision-Making for Digital Twin in Additive Manufacturing with Model Predictive Control using Time-Series Deep Neural Networks. J. Manuf. Syst. 2025, 80, 412–424. [Google Scholar] [CrossRef]
- Park, B.; Mishra, S. Geometry-agnostic Melt-pool Homogenization of Laser Powder Bed Fusion through Reinforcement Learning. In Proceedings of the IEEE/ASME International Conference on Advanced Intelligent Mechatronics, AIM, Seattle, DC, USA, 27 June–1 July 2023; Volume 2023, pp. 1014–1019. [Google Scholar]
- Riensche, A.; Bevans, B.; Sions, J.; Snyder, K.; Plotnikov, Y.; Hass, D.; Rao, P. Toward Rapid Process Qualification of Laser Powder Bed Fusion: Model Predictive Control of Part Thermal History. In Proceedings of the ASME 2024 19th International Manufacturing Science and Engineering Conference, MSEC 2024, Knoxville, TN, USA, 17–21 June 2024; Volume 1. [Google Scholar]
- Huang, R.Y.; Lu, J.Q.; Cheng, C.W.; Tsai, M.C.; Lee, A.C. Multi-data-driven model-based control to improve the accuracy of overhang structures in laser powder bed fusion. Opt. Laser Technol. 2024, 171, 110398. [Google Scholar] [CrossRef]
- Horr, A.M.; Drexler, H. Real-Time Models for Manufacturing Processes: How to Build Predictive Reduced Models. Processes 2025, 13, 252. [Google Scholar] [CrossRef]
- Horr, A.M. Real-Time Modeling for Design and Control of Material Additive Manufacturing Processes. Metals 2024, 14, 1273. [Google Scholar] [CrossRef]
- Chen, L.; Yao, X.; Chew, Y.; Weng, F.; Moon, S.K.; Bi, G. Data-Driven Adaptive Control for Laser-Based Additive Manufacturing with Automatic Controller Tuning. Appl. Sci. 2020, 10, 7967. [Google Scholar] [CrossRef]
- Akhavan, J.; Lyu, J.; Manoochehri, S. A deep learning solution for real-time quality assessment and control in additive manufacturing using point cloud data. J. Intell. Manuf. 2024, 35, 1389–1406. [Google Scholar] [CrossRef]
- Yeh, H.P.; Bayat, M.; Arzani, A.; Hattel, J.H. Accelerated process parameter selection of polymer-based selective laser sintering via hybrid physics-informed neural network and finite element surrogate modelling. Appl. Math. Model. 2024, 130, 693–712. [Google Scholar] [CrossRef]
- Champaney, V.; Chinesta, F.; Cueto, E. Engineering empowered by physics-based and data-driven hybrid models: A methodological overview. Int. J. Mater. Form. 2022, 15, 31. [Google Scholar] [CrossRef]
- San, O.; Rasheed, A.; Kvamsdal, T. Hybrid analysis and modeling, eclecticism, and multifidelity computing toward digital twin revolution. GAMM-Mitteilungen 2021, 44, e202100007. [Google Scholar] [CrossRef]
- Gunasegaram, D.R.; Murphy, A.B.; Barnard, A.; DebRoy, T.; Matthews, M.J.; Ladani, L.; Gu, D. Towards developing multiscale-multiphysics models and their surrogates for digital twins of metal additive manufacturing. Addit. Manuf. 2021, 46, 102089. [Google Scholar] [CrossRef]
- Mondal, S.; Gwynn, D.; Ray, A.; Basak, A. Investigation of Melt Pool Geometry Control in Additive Manufacturing Using Hybrid Modeling. Metals 2020, 10, 683. [Google Scholar] [CrossRef]
- Papacharalampopoulos, A.; Christopoulos, D.; Stavropoulos, P. Towards a surrogate spatiotemporal model of additive manufacturing for digital twin-based process control. Procedia CIRP 2024, 121, 73–78. [Google Scholar] [CrossRef]
- Marks, M.; Aswani, K.; Weaver, G.; Dababneh, F.; Taheri, H. Applying Digital Twin Methods for Process-Structure-Property Correlation Assessment in Metal Additive Manufacturing with Limited Experimental Data. Res. Nondestruct. Eval. 2025, 36, 74–90. [Google Scholar] [CrossRef]
- Lestandi, L.; Wong, J.C.; Dong, G.Y.; Kuehsamy, S.J.; Mikula, J.; Vastola, G.; Kizhakkinan, U.; Ford, C.S.; Rosen, D.W.; Dao, M.H.; et al. Data-driven surrogate modelling of residual stresses in Laser Powder-Bed Fusion. Int. J. Comput. Integr. Manuf. 2024, 37, 685–707. [Google Scholar] [CrossRef]
- Afazov, S.; Roberts, A.; Wright, L.; Jadhav, P.; Holloway, A.; Basoalto, H.; Milne, K.; Brierley, N. Metal powder bed fusion process chains: An overview of modelling techniques. Prog. Addit. Manuf. 2021, 72, 289–314. [Google Scholar] [CrossRef]
- Kasilingam, S.; Yang, R.; Singh, S.K.; Farahani, M.A.; Rai, R.; Wuest, T. Physics-based and data-driven hybrid modeling in manufacturing: A review. Prod. Manuf. Res. 2024, 12, 2305358. [Google Scholar] [CrossRef]
- Catti, P.; Nikolakis, N.; Sipsas, K.; Picco, N.; Alexopoulos, K. A hybrid digital twin approach for proactive quality control in manufacturing. Procedia Comput. Sci. 2024, 232, 3083–3091. [Google Scholar] [CrossRef]
- Xie, J.; Yang, Z.; Hu, C.-C.; Yang, H.-C.; Lu, Y.; Zhao, Y.F. Investigation on domain adaptation of additive manufacturing monitoring systems to enhance digital twin reusability. arXiv 2024, arXiv:2409.12785. [Google Scholar]
- Megahed, M. Integrated Modeling Tools: Overview. Encycl. Mater. Met. Alloy. 2022, 3, 95–106. [Google Scholar] [CrossRef]
- Kumar, P.; Fernández, E. Topology optimization for additive manufacturing with length scale, overhang, and building orientation constraints. arXiv 2022, arXiv:2204.07333. [Google Scholar] [CrossRef]
- van de Ven, E.; Maas, R.; Ayas, C.; Langelaar, M.; van Keulen, F. Overhang control in topology optimization: A comparison of continuous front propagation-based and discrete layer-by-layer overhang control. Struct. Multidiscip. Optim. 2021, 64, 761–778. [Google Scholar] [CrossRef]
- Thore, C.J.; Grundström, H.A.; Torstenfelt, B.; Klarbring, A. Penalty regulation of overhang in topology optimization for additive manufacturing. Struct. Multidiscip. Optim. 2019, 60, 59–67. [Google Scholar] [CrossRef]
- Wang, Y.; Xia, J.; Luo, Z.; Yan, H.; Sun, J.; Lü, E. Self-supporting topology optimization method for selective laser melting. Addit. Manuf. 2020, 36, 101506. [Google Scholar] [CrossRef]
- Miki, T. Reducing computational effort in topology optimization considering the deformation in additive manufacturing. arXiv 2024, arXiv:2403.02711. [Google Scholar] [CrossRef]
- Miki, T. Self-support topology optimization considering distortion for metal additive manufacturing. Comput. Methods Appl. Mech. Eng. 2022, 404, 115821. [Google Scholar] [CrossRef]
- Cheng, L.; Liang, X.; Bai, J.; Chen, Q.; Lemon, J.; To, A. On utilizing topology optimization to design support structure to prevent residual stress induced build failure in laser powder bed metal additive manufacturing. Addit. Manuf. 2019, 27, 290–304. [Google Scholar] [CrossRef]
- Zhang, Z.D.; Ibhadode, O.; Ali, U.; Dibia, C.F.; Rahnama, P.; Bonakdar, A.; Toyserkani, E. Topology optimization parallel-computing framework based on the inherent strain method for support structure design in laser powder-bed fusion additive manufacturing. Int. J. Mech. Mater. Des. 2020, 16, 897–923. [Google Scholar] [CrossRef]
- Haveroth, G.A.; Thore, C.J.; Ausas, R.F.; Jakobsson, S.; Cuminato, J.A.; Correa, M.R. A thermal model for topology optimization in additive manufacturing: Design of support structures and geometry orientation. Comput. Struct. 2024, 301, 107453. [Google Scholar] [CrossRef]
- Lee, K.H.; Yun, G.J. Design optimization of thermally conductive support structure for laser powder-bed fusion process with part-scale thermal history. Addit. Manuf. 2022, 51, 102627. [Google Scholar] [CrossRef]
- Lawton, B.; Gordon, K.D.; Qie, L.; Xing, J. Achieving local overheating and length scale control in density-based topology optimization. J. Phys. Conf. Ser. 2023, 2581, 012005. [Google Scholar] [CrossRef]
- Ranjan, R.; Ayas, C.; Langelaar, M.; van Keulen, F. Controlling local overheating in topology optimization for additive manufacturing. Struct. Multidiscip. Optim. 2022, 65, 162. [Google Scholar] [CrossRef]
- Lan, W.; Panetta, J. Efficient Layer-by-Layer Simulation for Topology Optimization. In Proceedings of the Proceedings—SCF 2022—7th Annual ACM Symposium on Computational Fabrication, Seattle, WA, USA, 26–28 October 2022; Volume 22. [Google Scholar]
- Zou, J.; Mou, H. Topology Optimization of Self-Supporting Structures for Additive Manufacturing with Adaptive Explicit Continuous Constraint. Comput. Model. Eng. Sci. 2022, 132, 451–469. [Google Scholar] [CrossRef]
- Tajima, M.; Yamada, T. Topology optimization with geometric constraints for additive manufacturing based on coupled fictitious physical model. Comput. Methods Appl. Mech. Eng. 2023, 417, 116415. [Google Scholar] [CrossRef]
- Pellens, J.; Lombaert, G.; Lazarov, B.; Schevenels, M. Combined length scale and overhang angle control in minimum compliance topology optimization for additive manufacturing. Struct. Multidiscip. Optim. 2019, 59, 2005–2022. [Google Scholar] [CrossRef]
- Xu, S.; Liu, J.; Sun, Y.; Li, X.; Ma, Y. Support structure topology optimization considering the residual distortion for laser powder bed fusion metal additive manufacturing. Struct. Multidiscip. Optim. 2024, 67, 182. [Google Scholar] [CrossRef]
- Langelaar, M. Combined optimization of part topology, support structure layout and build orientation for additive manufacturing. Struct. Multidiscip. Optim. 2018, 57, 1985–2004. [Google Scholar] [CrossRef]
- Wang, C.; Qian, X. Simultaneous optimization of build orientation and topology for additive manufacturing. Addit. Manuf. 2020, 34, 101246. [Google Scholar] [CrossRef]
- Amir, E.; Amir, O. Concurrent high-resolution topology optimization of structures and their supports for additive manufacturing. Struct. Multidiscip. Optim. 2021, 63, 2589–2612. [Google Scholar] [CrossRef]
- Liu, Y.; Huang, X.; Xiong, Y.; Zhou, M.; Lin, Z. Concurrent topology optimization of parts and their supports for additive manufacturing with thermal deformation constraint. Comput. Struct. 2023, 289, 107146. [Google Scholar] [CrossRef]
- Wu, C.; Luo, J.; Zhong, J.; Xu, Y.; Wan, B.; Huang, W.; Fang, J.; Steven, G.P.; Sun, G.; Li, Q. Topology optimisation for design and additive manufacturing of functionally graded lattice structures using derivative-aware machine learning algorithms. Addit. Manuf. 2023, 78, 103833. [Google Scholar] [CrossRef]
- Zhang, B.; Venugopal, V.; Tripathi, M.; Chandran, N.; Sanaei, N.; Ware, L.; Khare, P.; Anand, S. Design for Additive Manufacturing Constrained Topology Optimization of Liquid-to-Air Heat Exchangers With ML-Based Turbulent Flow Considerations. In Proceedings of the ASME 2024 19th International Manufacturing Science and Engineering Conference, MSEC 2024; American Society of Mechanical Engineers Digital Collection: Knoxville, TN, USA, 2024; Volume 1. [Google Scholar] [CrossRef]
- Ibhadode, O.; Zhang, Z.; Sixt, J.; Nsiempba, K.M.; Orakwe, J.; Martinez-Marchese, A.; Ero, O.; Shahabad, S.I.; Bonakdar, A.; Toyserkani, E. Topology optimization for metal additive manufacturing: Current trends, challenges, and future outlook. Virtual Phys. Prototyp. 2023, 18, e2181192. [Google Scholar] [CrossRef]
- Liu, H.; Wang, C.; Zhang, Y.; Liang, Y. Multi-material structural discrete variable topology optimization with minimum length scale control under mass constraint. Comput. Methods Appl. Mech. Eng. 2024, 420, 116701. [Google Scholar] [CrossRef]
- Czink, S.; Holoch, J.; Renz, R.; Schulze, V.; Albers, A.; Dietrich, S. Process-Specific Topology Optimization Method Based on Laser-Based Additive Manufacturing of AlSi10Mg Components: Material Characterization and Evaluation. Processes 2023, 11, 648. [Google Scholar] [CrossRef]
- Holoch, J.; Lenhardt, S.; Revfi, S.; Albers, A. Design of Selective Laser Melting (SLM) Structures: Consideration of Different Material Properties in Multiple Surface Layers Resulting from the Manufacturing in a Topology Optimization. Algorithms 2022, 15, 99. [Google Scholar] [CrossRef]
- Cao, S.; Wang, H.; Lu, X.; Tong, J.; Sheng, Z. Topology Optimization Considering Porosity Defects in Metal Additive Manufacturing. Appl. Sci. 2021, 11, 5578. [Google Scholar] [CrossRef]
- Boos, E.; Ihlenfeldt, S.; Milaev, N.; Thielsch, J.; Drossel, W.-G.; Bruns, M.; Elsner, B.A.M. Topology Optimized Unit Cells for Laser Powder Bed Fusion. BHM Berg-Hüttenmännische Monatshefte 2022, 167, 291–299. [Google Scholar] [CrossRef]
- Zhu, J.; Su, Z.; Wang, Q.; Hao, R.; Lan, Z.; Chan, F.S.; Li, J.; Wong, S.W. Process parameter effects estimation and surface quality prediction for selective laser melting empowered by Bayes optimized soft attention mechanism-enhanced transfer learning. Comput. Ind. 2024, 156, 104066. [Google Scholar] [CrossRef]
- Le-Hong, T.; Lin, P.C.; Chen, J.Z.; Pham, T.D.Q.; Van Tran, X. Data-driven models for predictions of geometric characteristics of bead fabricated by selective laser melting. J. Intell. Manuf. 2023, 34, 1241–1257. [Google Scholar] [CrossRef]
- Hassanin, H.; Zweiri, Y.; Finet, L.; Essa, K.; Qiu, C.; Attallah, M. Laser Powder Bed Fusion of Ti-6Al-2Sn-4Zr-6Mo Alloy and Properties Prediction Using Deep Learning Approaches. Materials 2021, 14, 2056. [Google Scholar] [CrossRef] [PubMed]
- Wang, J.; Jeong, S.G.; Kim, E.S.; Kim, H.S.; Lee, B.J. Material-agnostic machine learning approach enables high relative density in powder bed fusion products. Nat. Commun. 2023, 14, 6557. [Google Scholar] [CrossRef]
- Tiwari, J.; Cozzolino, E.; Devadula, S.; Astarita, A.; Krishnaswamy, H. Determination of process parameters for selective laser melting of inconel 718 alloy through evolutionary multi-objective optimization. Mater. Manuf. Process. 2024, 39, 1019–1028. [Google Scholar] [CrossRef]
- Rahman, M.S.; Ciaccio, J.; Chakravarty, U.K. A Machine Learning Approach for Predicting Melt-Pool Dynamics of Ti-6Al-4V Alloy in the Laser Powder-Bed Fusion Process. In Proceedings of the ASME International Mechanical Engineering Congress and Exposition, Proceedings (IMECE), Columbus, OH, USA, 30 October–3 November 2022; Volume 4. [Google Scholar]
- Maitra, V.; Shi, J.; Lu, C. Robust prediction and validation of as-built density of Ti-6Al-4V parts manufactured via selective laser melting using a machine learning approach. J. Manuf. Process. 2022, 78, 183–201. [Google Scholar] [CrossRef]
- Özel, T.; Altay, A.; Kaftanoglu, B.; Leach, R.; Senin, N.; Donmez, A. Focus variation measurement and prediction of surface texture parameters using machine learning in laser powder bed fusion. J. Manuf. Sci. Eng. Trans. ASME 2020, 142, 011008. [Google Scholar] [CrossRef]
- Funcke, F.; Forster, T.; Mayr, P. Advantages of Hybrid Neural Network Architectures to Enhance Prediction of Tensile Properties in Laser Powder Bed Fusion. Key Eng. Mater. 2023, 964, 65–71. [Google Scholar] [CrossRef]
- Wei, B.; Liu, J.; Li, J.; Zhao, Z.; Liu, Y.; Yang, G.; Liu, L.; Chang, H. Research on an Online Monitoring Device for the Powder Laying Process of Laser Powder Bed Fusion. Micromachines 2024, 15, 97. [Google Scholar] [CrossRef] [PubMed]
- Marrey, M.; Malekipour, E.; El-Mounayri, H.; Faierson, E.J. A Framework for Optimizing Process Parameters in Powder Bed Fusion (PBF) Process Using Artificial Neural Network (ANN). Procedia Manuf. 2019, 34, 505–515. [Google Scholar] [CrossRef]
- Wilkinson, T.; Casata, M.; Barba, D. An alloy-agnostic machine learning framework for process mapping in laser powder bed fusion. Rapid Prototyp. J. 2024, 30, 303–324. [Google Scholar] [CrossRef]
- Marrey, M.; Malekipour, E.; El-Mounayri, H.; Faierson, E.J.; Agarwal, M. A Novel Framework of Developing a Predictive Model for Powder Bed Fusion Process. 3D Print. Addit. Manuf. 2024, 11, 179–196. [Google Scholar] [CrossRef] [PubMed]
- Gui, Y.; Aoyagi, K.; Bian, H.; Chiba, A. Detection, classification and prediction of internal defects from surface morphology data of metal parts fabricated by powder bed fusion type additive manufacturing using an electron beam. Addit. Manuf. 2022, 54, 102736. [Google Scholar] [CrossRef]
- Li, J.; Hu, J.; Cao, L.; Wang, S.; Liu, H.; Zhou, Q. Multi-objective process parameters optimization of SLM using the ensemble of metamodels. J. Manuf. Process. 2021, 68, 198–209. [Google Scholar] [CrossRef]
- Fotovvati, B.; Rauniyar, S.; Arnold, J.A.; Chou, K. Experimental, computational, and data-driven study of the effects of selective laser melting (SLM) process parameters on single-layer surface characteristics. Int. J. Adv. Manuf. Technol. 2022, 123, 119–144. [Google Scholar] [CrossRef]
- Dong, H.; Liu, F.; Ye, L.; Ouyang, X.; Wang, Q.; Wang, L.; Huang, L.; Tan, L.; Jin, X.; Liu, Y. Process optimization and mechanical property investigation of Inconel 718 manufactured by selective electron beam melting. Mater. Sci. Addit. Manuf. 2022, 1, 23. [Google Scholar] [CrossRef]
- Tran, H.C.; Lo, Y.L. Systematic approach for determining optimal processing parameters to produce parts with high density in selective laser melting process. Int. J. Adv. Manuf. Technol. 2019, 105, 4443–4460. [Google Scholar] [CrossRef]
- Zhang, Y.; Yang, S.; Dong, G.; Zhao, Y.F. Predictive manufacturability assessment system for laser powder bed fusion based on a hybrid machine learning model. Addit. Manuf. 2021, 41, 101946. [Google Scholar] [CrossRef]
- Taherkhani, K.; Eischer, C.; Toyserkani, E. An unsupervised machine learning algorithm for in-situ defect-detection in laser powder-bed fusion. J. Manuf. Process. 2022, 81, 476–489. [Google Scholar] [CrossRef]
- Wang, H.; Zhang, S.; Li, B. Machine learning-assisted acoustic emission monitoring for track formability prediction of laser powder bed fusion. Mater. Today Commun. 2024, 38, 108522. [Google Scholar] [CrossRef]
- Pandiyan, V.; Wróbel, R.; Richter, R.A.; Leparoux, M.; Leinenbach, C.; Shevchik, S. Monitoring of Laser Powder Bed Fusion process by bridging dissimilar process maps using deep learning-based domain adaptation on acoustic emissions. Addit. Manuf. 2024, 80, 103974. [Google Scholar] [CrossRef]
- Vargas Pérez, M.J.; León, R.B.; Gegen, L.K.H. Optimization of simulation variables of powder bed fusion for 17-Ph steel. ARPN J. Eng. Appl. Sci. 2023, 18, 1135–1142. [Google Scholar] [CrossRef]
- Qadeer, A.; Akhtar, S.S.; Abubakar, A.A.; Arif, A.F.M.; Mekid, S.; Al-Athel, K.S. Accelerating Microstructure and Melt Pool Prediction in Laser Powder Bed Fusion Processes Using Data Driven Neural Network. In Proceedings of the ASME International Mechanical Engineering Congress and Exposition, Proceedings (IMECE), Hyderabad, India, 10–13 September 2025; Volume 2. [Google Scholar]
- Kaščák, Ľ.; Varga, J.; Bidulská, J.; Bidulský, R.; Manfredi, D. Weight Factor as a Parameter for Optimal Part Orientation in the L-PBF Printing Process Using Numerical Simulation. Materials 2024, 17, 3604. [Google Scholar] [CrossRef]
- Peter, N.; Pitts, Z.; Thompson, S.; Saharan, A. Benchmarking build simulation software for laser powder bed fusion of metals. Addit. Manuf. 2020, 36, 101531. [Google Scholar] [CrossRef]
- Wirth, F.; Tonn, T.; Schöberl, M.; Hermann, S.; Birkhofer, H.; Ploshikhin, V. Implementation of the Marangoni effect in an open-source software environment and the influence of surface tension modeling in the mushy region in laser powder bed fusion (LPBF). Model. Simul. Mater. Sci. Eng. 2022, 30, 034001. [Google Scholar] [CrossRef]
- Zirwes, T.; Sontheimer, M.; Zhang, F.; Abdelsamie, A.; Pérez, F.E.H.; Stein, O.T.; Im, H.G.; Kronenburg, A.; Bockhorn, H. Assessment of Numerical Accuracy and Parallel Performance of OpenFOAM and its Reacting Flow Extension EBIdnsFoam. Flow Turbul. Combust. 2023, 111, 567–602. [Google Scholar] [CrossRef]
- Goetz, D.; Panzer, H.; Wolf, D.; Bayerlein, F.; Spachtholz, J.; Zaeh, M.F. AscentAM: A Software Tool for the Thermo-Mechanical Process Simulation of Form Deviations and Residual Stresses in Powder Bed Fusion of Metals Using a Laser Beam. Modelling 2024, 5, 841–860. [Google Scholar] [CrossRef]
- Safari, H.; Wessels, H. Physics-Informed Surrogates for Temperature Prediction of Multi-Tracks in Laser Powder Bed Fusion. arXiv 2025, arXiv:2502.01820. [Google Scholar]
- Depaoli, F.; Felicioni, S.; Ponzio, F.; Aliberti, A.; MacIi, E.; Bondioli, F.; Padovano, E.; Di Cataldo, S. Physics-Informed Neural Networks: A Step Towards Data-Driven Optimization of Additive Manufacturing. In Proceedings of the IEEE International Conference on Emerging Technologies and Factory Automation, ETFA, Padova, Italy, 10–13 September 2024. [Google Scholar]
- Kuehne, M.; Bartsch, K.; Bossen, B.; Emmelmann, C. Predicting melt track geometry and part density in laser powder bed fusion of metals using machine learning. Prog. Addit. Manuf. 2023, 8, 47–54. [Google Scholar] [CrossRef]
- Bai, F.; Arikatla, S.S.P.R.; Zhang, N.; Gebre, F.L.; Xu, J. Comparison of Machine Learning Models and Analytical Scaling Law for Predicting Melt-Pool Depth in Laser Powder Bed Fusion (LPBF) Additive Manufacturing. In Proceedings of the ASME International Mechanical Engineering Congress and Exposition, Proceedings (IMECE), Portland, OR, USA, 17–21 November 2024; Volume 3. [Google Scholar]
- Lu, L.; Meng, X.; Mao, Z.; Karniadakis, G.E. DeepXDE: A Deep Learning Library for Solving Differential Equations. SIAM Rev. 2021, 63, 208–228. [Google Scholar] [CrossRef]
- Zhang, L.; Chen, X.; Zhou, W.; Cheng, T.; Chen, L.; Guo, Z.; Han, B.; Lu, L. Digital Twins for Additive Manufacturing: A State-of-the-Art Review. Appl. Sci. 2020, 10, 8350. [Google Scholar] [CrossRef]
- Hernandez, K.J.; Barcelos, E.I.; Jimenez, J.C.; Nihar, A.; Tripathi, P.K.; Giera, B.; French, R.H.; Bruckman, L.S. A data integration framework of additive manufacturing based on FAIR principles. MRS Adv. 2024, 9, 844–851. [Google Scholar] [CrossRef]
- Scime, L.; Siddel, D.; Baird, S.; Paquit, V. Layer-wise anomaly detection and classification for powder bed additive manufacturing processes: A machine-agnostic algorithm for real-time pixel-wise semantic segmentation. Addit. Manuf. 2020, 36, 101453. [Google Scholar] [CrossRef]
- Westman, S.; Poutiainen, I.; Hirvimäki, M. Process Monitoring in Metal Additive Manufacturing; LUT University: Lappeenranta, Finland, 2024. [Google Scholar]
- Scime, L.; Halsey, W.; Haley, J.; Singh, A.; Sprayberry, M.; Ziabari, A.; Paquit, V. Development of Monitoring Techniques for Laser Powder Bed Additive Manufacturing of Metal Structures (Progress Report); Oak Ridge National Laboratory (ORNL): Oak Ridge, TN, USA, 2020. [Google Scholar]
- Zhao, X.; Zhang, H.; Alam, M.J. Multi-Modality In-Situ Monitoring Big Data Mining for Enhanced Insight into the Laser Powder Bed Fusion Process, Structure, and Properties. In Proceedings of the The International Conference on Computational & Experimental Engineering and Sciences, Hanoi, Vietnam, 1–4 July 2024; Volume 31, pp. 1–2. [Google Scholar]
- Duboeuf, F.; Lemaire, E.; Remouchamps, A.; van Eekelen, T.; Chary, C.; François, M.; Vargalui, A.; Rodrigues, G. Integration of AM process in design cycle of metallic parts: Application to space components. In Proceedings of the 24th International Conference on Material Forming, Liège, Belgium, 14–16 April 2021. [Google Scholar]
- Poka, K.; Merz, B.; Epperlein, M.; Hilgenberg, K. Integration of the Whole Digital Chain in a Unique File for PBF-LB/M: Practical Implementation Within a Digital Thread and Its Advantages; Springer Tracts in Additive Manufacturing; Springer: Cham, Switzerland, 2024; Volume Part F3256, pp. 91–114. [Google Scholar] [CrossRef]
- Dalpadulo, E.; Pini, F.; Leali, F. Powder bed fusion integrated product and process design for additive manufacturing: A systematic approach driven by simulation. Int. J. Adv. Manuf. Technol. 2024, 130, 5425–5440. [Google Scholar] [CrossRef]
- Sedlacek, F.; Kalina, T.; Stepanek, M. Optimization of Components with Topology Optimization for Direct Additive Manufacturing by DLMS. Materials 2023, 16, 5422. [Google Scholar] [CrossRef]
- Nakai-Chapman, J.; Fietek, C.; Love, A.; Sakai, J.; Park, Y.H. Metal additive manufacturing simulation using sequentially coupled thermomechanical analysis with Johnson–Cook constitutive material model. Multiscale Multidiscip. Model. Exp. Des. 2024, 7, 801–810. [Google Scholar] [CrossRef]
- Dalpadulo, E.; Pini, F.; Leali, F. Concurrent Product and Process Design of an Additively Manufactured Engine Piston. In Design Tools and Methods in Industrial Engineering III. ADM 2023. Lecture Notes in Mechanical Engineering; Springer: Cham, Switzerland, 2024; pp. 93–100. [Google Scholar] [CrossRef]
- Savane, V.; Fu, R.; Gagorik, P.; Chin, C. Distortion prediction of ti6al4v parts in selective laser melting: An industrial case study. In Proceedings of the AIAA Scitech 2020 Forum, Orlando, FL, USA, 6–10 January 2020; p. 1475. [Google Scholar] [CrossRef]
- Celik, H.K.; Elham, A.; Cinar, R.; Erbil, M.A.; Entwistle, R.; Rennie, A.E.; Akinci, I. Development of a CAD–FEA Integrated Automation Add-In for DfAM-Aware Topology Optimization: A Case Study on an Additively Manufactured Pusher Duct Support Bracket for a Novel UAV Prototype. Appl. Sci. 2025, 15, 12341. [Google Scholar] [CrossRef]
- Scheel, P.; Hosseini, E. Pulse approach: A physics-guided machine learning model for thermal analysis in laser-based powder bed fusion of metals. Prog. Addit. Manuf. 2025, 10, 1405–1420. [Google Scholar] [CrossRef]
- Ogoke, F.; Farimani, A.B. Thermal control of laser powder bed fusion using deep reinforcement learning. Addit. Manuf. 2021, 46, 102033. [Google Scholar] [CrossRef]
- Mohammadkamal, H.; Caiazzo, F. Thermomechanical Simulation of Laser Powder Bed Fusion for Ti-6Al-4V: A Study on Residual Stress and Impact of Laser Process Parameters Using Volumetric Heat Source. In Proceedings of the 2024 IEEE International Workshop on Metrology for AeroSpace, MetroAeroSpace 2024—Proceeding, Lublin, Poland, 3–5 June 2024; pp. 260–265. [Google Scholar]
- Huang, S.; Huang, D. Deep Learning-Based Cooperative Modelling of Thermal Flow and Stress Fields in Laser Powder Bed Fusion. Int. J. Heat Technol. 2023, 41, 1217–1225. [Google Scholar] [CrossRef]
- Chen, J.; Pierce, J.; Williams, G.; Simpson, T.W.; Meisel, N.; Prabha Narra, S.; McComb, C. Artificial intelligence, deep learning, UUV, hull design, energy consumption, computer aided design, data-driven engineering, geometric reasoning, machine learning for engineering applications. J. Comput. Inf. Sci. Eng. 2024, 24, 011004. [Google Scholar] [CrossRef]
- Zhang, Y.; Guillemot, G.; Camus, T.; Senninger, O.; Bellet, M.; Gandin, C.A. Part-Scale Thermomechanical and Grain Structure Modeling for Additive Manufacturing: Status and Perspectives. Metals 2024, 14, 1173. [Google Scholar] [CrossRef]
- Papadakis, L. Modeling and simulation of additive manufacturing processes with metallic powders—Potentials and limitations demonstrated on application examples. In Additive Manufacturing; Elsevier: Amsterdam, The Netherlands, 2021; pp. 685–721. ISBN 9780128184110. [Google Scholar]
- Huang, W.; Wang, W.; Ning, J.; Garmestani, H.; Liang, S.Y. Analytical Model of Quantitative Texture Prediction Considering Heat Transfer Based on Single-Phase Material in Laser Powder Bed Fusion. J. Manuf. Mater. Process. 2024, 8, 70. [Google Scholar] [CrossRef]
- Promoppatum, P.; Rollett, A.D. Influence of material constitutive models on thermomechanical behaviors in the laser powder bed fusion of Ti-6Al-4V. Addit. Manuf. 2021, 37, 101680. [Google Scholar] [CrossRef]
- Hasanabadi, M.; Imani Shahabad, S.; Keshavarzkermani, A.; Eybel, R.; Gerlich, A.; Toyserkani, E. A numerical modelling for laser Powder-bed fusion of Ti-alloy with a hybrid heat Source: An investigation on solidification and microstructure formation. Opt. Laser Technol. 2024, 174, 110647. [Google Scholar] [CrossRef]
- Pérez-Ruiz, J.D.; Galbusera, F.; Caprio, L.; Previtali, B.; de Lacalle, L.N.L.; Lamikiz, A.; Demir, A.G. Laser beam shaping facilitates tailoring the mechanical properties of IN718 during powder bed fusion. J. Mater. Process. Technol. 2024, 328, 118393. [Google Scholar] [CrossRef]
- Qadeer, A.; Akhtar, S.S.; Abubakar, A.A.; Arif, A.F.M.; Mekid, S.; Al-Athel, K.S. Multi-Physics Modeling of Continuous and Pulsed Lasers: Impact on Thermal History and Surface Properties in Powder Bed Fusion Additive Manufacturing. In Proceedings of the ASME International Mechanical Engineering Congress and Exposition, Proceedings (IMECE), Hyderabad, India, 10–13 September 2025; Volume 9. [Google Scholar]
- Behrens, C.; Ostermann, N.; Sehrt, J.T.; Ploshikhin, V. Temperature control by simulated adaptive layer times in powder bed fusion processes. Prog. Addit. Manuf. 2024, 9, 705–713. [Google Scholar] [CrossRef]
- Papazoglou, E.L.; Karkalos, N.E.; Karmiris-Obratański, P.; Markopoulos, A.P. On the Modeling and Simulation of SLM and SLS for Metal and Polymer Powders: A Review. Arch. Comput. Methods Eng. 2021, 292, 941–973. [Google Scholar] [CrossRef]
- Tan, P.; Zhou, M.; Tang, C.; Su, Y.; Qi, H.J.; Zhou, K. Multiphysics modelling of powder bed fusion for polymers. Virtual Phys. Prototyp. 2023, 18, e2257191. [Google Scholar] [CrossRef]
- Told, R.; Kardos, K.; Paari-Molnar, E.; Szabo, G.; Ujfalusi, Z.; Sahai, N.; Szabo, P.; Maroti, P. Comparative Analysis of Mechanical and Thermal Characteristics of 3D-Printed Polyamide using Material Extrusion and Powder Bed Fusion Process with Industrial and Desktop Printers. Macromol. Mater. Eng. 2025, 310, 2400293. [Google Scholar] [CrossRef]












| Attribute | Distribution |
|---|---|
| Total Publications | 408 |
| Year Distribution | Pre-2020: 33 (8%)|2020: 31 (8%)|2021: 43 (11%)|2022: 62 (15%)|2023: 79 (19%)|2024: 111 (27%)|2025: 49 (12%) |
| Topics | Physics-based modeling (35%), ML/AI (28%), Digital twins (18%), Hybrid frameworks (12%), Monitoring/sensing (7%) |
| PBF Variants | LPBF: 87%|EB-PBF: 9%|Multi-laser/hybrid: 4% |
| Materials | Ti alloys: 32%|Ni superalloys: 24%|Stainless steels: 21%|Al alloys: 12%|Others: 11% |
| Methods | FEM: 38%|CFD: 18%|DEM: 14%|ML/NN: 22%|CA/Phase-field: 8% |
| Validation | Experimental: 68%|Benchmark: 22%|Sensitivity only: 10% |
| Aspect | Selective Laser Sintering (SLS) | Selective Laser Melting (SLM) | Electron Beam Melting (EBM) | Multi Jet Fusion (MJF) |
|---|---|---|---|---|
| Energy Source | CO2 or fiber laser | High-power fiber laser | Electron beam | Thermal inkjet + infrared heating |
| Processing Environment | Nitrogen atmosphere | Inert gas (Ar/N2) | High vacuum (~10−4 mbar) | Nitrogen atmosphere |
| Working Principle | Selective sintering below the melting point | Complete melting of powder particles | Electron beam melting under vacuum | Chemical agent application + thermal fusion |
| Temperature Range | 150–200 °C (powder bed) | Room temperature start | 700–850 °C (preheated bed) | 150–200 °C (powder bed) |
| Primary Materials | Polymers (PA12, PA11, TPU) | Metals (Ti, SS, Al, Co-Cr) | Metals (Ti alloys, Co-Cr, Inconel) | Polymers (PA12, PA11) |
| Typical Layer Thickness | 50–200 μm | 20–100 μm | 50–200 μm | 80–120 μm |
| Build Speed | Moderate (10–20 mm/h) | Slow (5–15 mm/h) | Fast (20–80 mm/h) | Fast (15–25 mm/h) |
| Part Density | 85–95% | >99% | >99% | 90–98% |
| Surface Finish | Ra 6–12 μm | Ra 5–15 μm | Ra 15–35 μm | Ra 3–8 μm |
| Dimensional Accuracy | ±0.1–0.3 mm | ±0.05–0.2 mm | ±0.2–0.5 mm | ±0.1–0.2 mm |
| Support Structures | Minimal (self-supporting) | Required for overhangs | Minimal (powder support) | Minimal (self-supporting) |
| Post-Processing | Powder removal, surface finishing | Support removal, heat treatment | Powder removal, machining | Powder removal, surface finishing |
| Alloy System | Thermal Conductivity (W/m·K) | Absorptivity | Solidification Range (°C) | Notable Microstructural Traits | Common Defects |
|---|---|---|---|---|---|
| Ti-6Al-4V | 6.7–22 (temperature-dependent) | 0.3–0.4 at laser wavelengths | 1604–1660 | Martensitic α’ phase, columnar β grains, epitaxial growth patterns | Porosity, lack of fusion, cracking, oxidation |
| AlSi10Mg | Low, anisotropic (5–15 typical) | 0.1–0.3 (enhanced with nanoparticles) | 577–660 (Al-Si eutectic) | Cellular dendritic structure, columnar-to-equiaxed transition | Lack of fusion, hot cracking, porosity |
| 316L Stainless Steel | 15–25 (varies with compaction) | 0.35–0.45 | 1400–1450 | Cellular austenitic structure, nanoscale oxide particles | Porosity, lack of fusion, residual stress |
| Inconel 625 | 10–15 (estimated) | 0.3–0.4 | 1290–1350 | Dendritic structure with Nb segregation, γ matrix | Solidification cracking, porosity, microsegregation |
| CoCrMo | 14–17 | 0.4–0.5 | 1350–1450 | HCP ε-martensite, FCC γ austenite | Porosity, phase transformation, and cracking |
| Maraging Steel (18Ni-300) | 17–20 | 0.3–0.4 | 1413–1460 | Martensitic laths, reverted austenite | Lack of fusion, thermal cracking |
| AlSi12 | 8–12 (anisotropic) | 0.1–0.25 | 575–660 | Fine cellular structure, Si precipitation | Hot cracking, porosity |
| Hastelloy X | 9–12 | 0.35–0.4 | 1260–1355 | Dendritic γ matrix with carbides | Solidification cracking, porosity |
| Spreader Type | Packing Density | Surface Roughness | Speed Capability | Damage Risk | References |
|---|---|---|---|---|---|
| Rigid blade | 0.58–0.62 | 4–7 μm | High (>300 mm/s) | Low | [59,64] |
| Flexible blade | 0.60–0.64 | 3–5 μm | Medium (150–250) | Very low | [62] |
| Roller | 0.60–0.63 | 3–6 μm | Medium (100–200) | Medium | [65,66] |
| Parameter | Condition | Density | CV (%) | References |
|---|---|---|---|---|
| Morphology | Spherical (ψ > 0.95) | 0.62–0.64 | 5–8 | [73,74] |
| Irregular (ψ < 0.85) | 0.50–0.58 | 12–18 | [72] | |
| Speed | Optimal (100–200 mm/s) | 0.60–0.63 | 6–10 | [64] |
| High (>300 mm/s) | 0.52–0.58 | 15–20 | [79] | |
| Recoater | Flexible blade | 0.60–0.64 | 5–8 | [62] |
| Roller (counter-rot.) | 0.60–0.63 | 6–10 | [66] | |
| Temperature | Ambient (20 °C) | 0.60–0.63 | 6–10 | [70] |
| Elevated (200 °C) | 0.56–0.60 | 10–15 | [70] | |
| Gravity | Earth (1 g) | 0.60–0.63 | 6–10 | [68] |
| Lunar (0.17 g) | 0.52–0.58 | 12–18 | [68] | |
| Cohesion | Free-flow (H < 1.2) | 0.62–0.64 | 5–8 | [82] |
| Cohesive (H > 1.3) | 0.54–0.60 | 12–20 | [71] |
| Model Type/Framework | Physics Captured | Resolution/Representation of Powder Geometry | Core Capabilities | Validation Strategy | Computational Cost/Efficiency | Key Limitations | Representative References |
|---|---|---|---|---|---|---|---|
| Analytical and Ray-Tracing Models | Multiple reflections, beam scattering, absorption, refraction, volume absorption within powder bed; laser energy distribution and attenuation; radiative transfer in particulate media | Accounts for particle size distribution, powder packing density, and layer thickness effects; can model random powder packing; some variants use idealized regular packing structures | High accuracy in predicting absorptivity variations due to powder bed structure; captures energy deposition patterns influenced by morphology; supports process parameter optimization for defect mitigation | Experimental absorptance data, profilometry, single-track experiments, thermal imaging, comparison with melt pool morphology | Medium: Monte Carlo and photon-particle tracking methods vary in efficiency; suitable for powder-scale simulations | Often assumes idealized powder bed structures, neglecting realistic morphology and surface roughness; limited representation of powder heterogeneity; requires coupling with thermal solvers for complete process modeling | [96,97,98] |
| Discrete Element Method (DEM) Coupled Optical–Thermal Models | Powder packing dynamics, particle-level morphology, surface roughness effects on absorptivity; laser–powder interaction, including multiple reflections; heat transfer through powder bed; powder degradation and recycled powder effects | Explicitly models realistic powder morphology, particle size distribution, shape effects (spherical, ellipsoids, irregular), packing density, and surface roughness; captures powder bed heterogeneity at the particle scale | Robust representation of absorptivity variations due to packing structure and morphology; validated against experimental powder bed characteristics and melt pool dimensions; strong capability for predicting powder bed quality effects on melt pool dynamics | Profilometry, microscopy, X-ray computed tomography (XCT) for powder bed validation, experimental melt pool metrics, single-track experiments, thermal profiles | Medium-to-high: GPU acceleration significantly reduces simulation time, enabling multi-layer and bulk-scale simulations; DEM frameworks computationally intensive for large domains | Computational expense limits scalability to full part simulations; multi-layer simulations remain challenging without GPU acceleration; requires extensive calibration for different materials; powder degradation effects underexplored | [61,81,99,100,101] |
| Continuum Models with Effective Medium Approximations (FEM/FVM) | Thermomechanical phenomena, heat conduction, phase change, residual stress, distortion; simplified representation of powder bed as homogeneous medium with effective properties; keyhole dynamics at threshold | Homogenizes powder bed characteristics using effective thermal conductivity and absorptivity; limited granularity on particle-level morphology; treats powder bed as a continuum | Moderate accuracy; effective medium approximations simplify powder-scale heterogeneity, potentially misrepresenting absorption and heat conduction; suitable for macro-scale thermal predictions; widely used for part-scale process control, distortion mitigation, and residual stress prediction | Experimental distortion data, residual stress measurements, melt pool metrics, thermal imaging, microstructure validation | Low to medium: highly efficient for part-scale simulations; enables multi-layer and full-part thermal–mechanical analysis | Oversimplifies powder bed characteristics; lacks resolution for local powder heterogeneities and melt pool instabilities; may overlook defect formation mechanisms dependent on powder morphology; limited representation of particle-scale physics | [102,103,104,105] |
| Particle-Based Methods (SPH, LBM) for Radiation–Heat Coupling | Detailed melt pool fluid dynamics, phase change, melting mode transitions, recoil pressure, Marangoni convection, evaporation, heat transfer and solidification, powder–melt interactions, powder wetting influence on morphology | Models powder thermal conductivity and particle-scale interactions; captures fluid flow around powder particles; SPH and LBM handle complex free surface dynamics and powder wetting | High fidelity in capturing melt pool dynamics and phase transitions; accurate representation of melting behavior and keyhole formation; validated against experimental melt pool geometry; effective for detailed process understanding of melt pool instabilities | X-ray analyses, high-speed imaging, melt pool geometry validation, experimental track morphology, thin wall morphology, in situ monitoring | High: computationally intensive, limiting scalability to particle or mesoscale domains; restricted to single-track or small domain simulations | Computationally prohibitive for multi-layer or full-part simulations; limited industrial deployment due to computational demands; often excludes full vapor dynamics; scalability challenges for industrial applications | [84,106,107,108] |
| Hybrid Multiphysics Models (Ray-Tracing + FEM/CFD + Microstructure) | Comprehensive multiphysics: optical absorption via ray-tracing combined with thermal–fluid dynamics (phase change, recoil pressure, Marangoni effects), solidification, microstructure evolution (cellular automata, phase-field); bubble generation and migration | Integrates detailed powder packing (via DEM or explicit morphology) with continuum thermal analysis; captures powder bed heterogeneity and its influence on energy absorption and heat transfer; spatial beam shaping effects | High accuracy combining detailed optical physics with thermal–fluid predictions; validated against melt pool dimensions, temperature fields, and microstructure; supports digital twin development; enables prediction of defects (porosity, keyholing) and microstructure | XCT, thermal imaging, pyrometry, in situ X-ray monitoring, melt pool metrics, experimental microstructure data, single-track and multi-track validation | Medium: balances fidelity and efficiency through modular coupling; GPU acceleration improves feasibility for multi-layer simulations | Coupling complexity increases model development effort; trade-offs between resolution and computational feasibility; requires extensive experimental validation; integration of vapor dynamics and spatter remains incomplete; standardized validation protocols lacking | [109,110,111,112] |
| Model Type/Category | Physics Captured | Core Capabilities | Validation Methods | Computational Cost/Efficiency | Limitations/Challenges | Representative References |
|---|---|---|---|---|---|---|
| Analytical and Semi-Analytical Models | Simplified heat conduction; process-dependent laser absorptivity; heat source modeling (Rosenthal, Goldak); temperature-dependent properties in extended versions; conduction-dominant heat transfer | Closed-form solutions for thermal field prediction; rapid melt pool geometry estimation (width, depth); process parameter mapping; printability window identification; suitable for rapid process parameter screening | Ex situ validation with experimental melt pool dimensions; thermal profile measurements; validated with ~7–8% discrepancy for melt pool dimensions | Very high efficiency: computationally inexpensive (<200 s in some cases); orders of magnitude faster than numerical simulations; suitable for real-time applications | Neglects fluid flow, Marangoni convection, recoil pressure, and keyhole dynamics; assumes conduction-dominant heat transfer; limited accuracy for transient phenomena and keyhole regimes; requires empirical calibration for quantitative precision; lacks detailed defect prediction capability | [126,127,128] |
| Continuum Numerical Models (FEM/FVM for Thermal–Fluid Coupling) | Comprehensive heat transfer (conduction, convection, radiation); fluid flow with Marangoni convection and recoil pressure; phase change and solidification; surface tension; vaporization effects; temperature-dependent material properties | Detailed thermal history prediction; melt pool morphology and dimensions; thermal gradients and cooling rates; solidification behavior; supports defect prediction including porosity and lack of fusion; multi-layer and multi-track simulations | Ex situ validation with experimental temperature profiles, melt pool geometry, thermal history; high-speed imaging correlation; validated with good agreement on temperature gradients and melt pool morphology | Moderate to high cost: computationally intensive for multi-layer or multi-track simulations; adaptive meshing and parallelization improve efficiency; ~4.4× faster than traditional FEM in optimized FVM implementations | Mesh-based methods face challenges with violent interface dynamics and complex free surface flows; require remeshing or interface tracking algorithms; high computational demands limit scalability to large-scale simulations; simplified powder bed morphology in some implementations | [104,129,130,131,132] |
| High-Fidelity CFD with Multiphysics Coupling | Comprehensive thermal–fluid dynamics; Marangoni convection; recoil pressure; surface tension; evaporation and vaporization; phase change and solidification; powder–laser interaction; keyhole formation, vapor depression, and oscillations; sulfur-induced flow transitions | High-accuracy prediction of melt pool size, shape, temperature distribution, and fluid flow patterns; captures conduction and keyhole modes; defect formation mechanisms including porosity (lack of fusion, keyhole pores), balling, spatter, inter-track voids, and bubble dynamics; fluid instabilities and melting-solidification characteristics | Ex situ validation with experimental melt pool dimensions, temperature measurements, high-speed imaging; in situ monitoring data correlation; X-ray imaging for keyhole dynamics; validated against synchrotron data | Moderate-to-high demand: multiphysics coupling increases complexity and computational cost; computationally intensive, limiting scalability for multi-layer and complex geometries | Computationally intensive; limited scalability for industrial-scale multi-layer simulations; sensitivity to numerical parameters; requires accurate boundary conditions and material properties; complex powder bed morphology often simplified; integration challenges across scales | [116,117,133,134,135] |
| Mesh-Free and Particle-Based Methods (SPH, LBM, DEM) | SPH: fluid flow with complex free surface dynamics, Marangoni convection, recoil pressure, surface tension, evaporation, thermo-capillary flow, phase transitions, melting mode transitions; LBM: fluid flow, heat transfer, phase change, keyhole oscillations, vapor capillary evolution; DEM: powder packing, spreading, granular dynamics, particle-level interactions | SPH: detailed melt pool dynamics, captures powder behavior and melting, fluid flow with complex interfaces, superior handling of violent interface dynamics, balling defects, keyhole formation; LBM: melt pool fluid dynamics, keyhole oscillation dynamics; DEM: powder bed characterization, powder spreading simulation, powder wetting effects on thin wall morphology | Ex situ validation with experimental melt pool shapes, surface temperatures, defect mechanisms (balling), thin wall morphology; high-speed imaging and synchrotron data correlation; validated qualitatively and quantitatively with experiments on melting mode transition, vapor depression geometry | Moderate-to-high cost: SPH moderate with incompressible schemes and optimized solvers; computationally expensive for large-scale simulations; DEM moderate for powder packing; LBM high for detailed fluid dynamics; both limit scalability | SPH: careful calibration of smoothing lengths and kernel functions required; less mature integration with solid mechanics; particle discretization simplifications; LBM: complexity in multi-phase flows; DEM: simplifications in particle interactions; limited integration with macro-scale models; scalability constraints for industrial applications | [84,91,107,136,137,138] |
| Multi-Scale Coupled Models (Phase-Field, CA, Physics-Informed ML) | Phase-Field/CA: coupled thermal–fluid dynamics with rapid solidification kinetics, grain growth mechanisms, solid/liquid phase transitions, Marangoni convection, recoil pressure, microstructure evolution; ML/PINN: implicitly models temperature fields, melt pool boundaries, thermal gradients, physics-guided architectures encode process parameter dependencies | Phase-Field/CA: links melt pool dynamics to microstructure outcomes (grain size, morphology), predicts porosity and grain structure, supports process–structure–property relationships; ML/PINN: rapid prediction of 3D thermal fields and melt pool geometry (2–3% error), strong generalization across process parameters, near-instantaneous inference after training | Phase-Field/CA: ex situ validation with microstructure characterization (grain size, morphology), porosity measurements, melt pool dimensions; ML/PINN: trained on high-fidelity CFD/FEM simulation data and experimental datasets; validated against experimental melt pool dimensions and thermal measurements | Phase-Field/CA: high cost due to multiphysics and multi-scale coupling; computationally intensive, limiting domain size; ML/PINN: very high efficiency for inference after training; orders of magnitude faster than physics-based simulations | Phase-Field/CA: computationally intensive; limited to small domains or simplified geometries; complex coupling strategies; requires extensive calibration; scalability challenges for industrial-scale simulations; ML/PINN: requires extensive high-quality training data; limited physical interpretability; extrapolation beyond trained parameter ranges unreliable; generalizability depends on training data diversity | [110,111,139,140,141] |
| Parameter | Condition | Effect on Peak Residual Stress | Effect on Distortion | Mechanism | References |
|---|---|---|---|---|---|
| Preheating Temperature | Ambient (20 °C) | Baseline (500–700 MPa for Ti-6Al-4V) | Baseline (0.3–0.5 mm for 50 mm parts) | High thermal gradients, limited stress relaxation | [156,157] |
| Elevated (200–300 °C) | Reduced by 40–60% | Reduced by 50–70% | Lower thermal gradients, enhanced plastic relaxation | [156,166,168] | |
| Laser Absorptivity | Low (A = 0.30–0.35) | Reduced by 15–25% | Reduced by 10–20%, risk of lack of fusion | Reduced energy coupling, smaller melt pool, lower thermal gradients | [171,172] |
| High (A = 0.55–0.70) | Increased by 15–25% | Increased by 10–20% | Enhanced energy deposition, larger melt pool, higher thermal gradients | [156,173] | |
| Laser Power | Low (150–180 W) | Moderate (300–450 MPa) | Moderate (0.2–0.3 mm), fusion quality risk | Reduced melt pool size, lower peak temperatures | [156,168] |
| High (230–280 W) | Elevated (550–750 MPa) | Elevated (0.4–0.6 mm) | Enlarged melt pool, increased thermal gradients and plastic strain | [156,174] | |
| Scan Speed | Low (600–800 mm/s) | Elevated (500–700 MPa) | Elevated (0.4–0.5 mm) | High energy density, extended melt pool, cumulative heating | [168,174] |
| High (1000–1400 mm/s) | Reduced (350–500 MPa) | Reduced (0.2–0.3 mm), fusion quality risk | Low energy density, reduced thermal interaction | [156,174] | |
| Hatch Spacing | Small (0.08–0.10 mm) | Moderate to elevated (450–600 MPa) | Moderate (0.3–0.4 mm) | High track overlap, re-melting, cumulative heating | [168,172] |
| Large (0.12–0.15 mm) | Reduced (350–500 MPa), lack-of-fusion risk | Reduced (0.2–0.3 mm) | Low track overlap, reduced thermal interaction | [172,174] | |
| Laser Operation Mode | Continuous Wave (CW) | Baseline (500–700 MPa) | Baseline (0.3–0.5 mm) | Steady-state thermal gradients, continuous melting | [156,171] |
| Pulsed (optimized) | Reduced by 20–40% (300–500 MPa) | Reduced by 25–45% (0.15–0.3 mm) | Intermittent heating, stress relaxation during pulse-off, reduced peak gradients | [169,171] | |
| Scanning Strategy | Unidirectional | Anisotropic stress (300–600 MPa range) | Anisotropic (0.2–0.5 mm directional) | Directional thermal gradients, accumulated strain along scan | [167,175] |
| Island/Checkerboard | Reduced, more isotropic (350–500 MPa) | Reduced by 30–50% (0.15–0.3 mm) | Localized heating, reduced global thermal gradients, stress compartmentalization | [176,177] |
| Modeling Approach | Physics Captured | Core Capabilities | Validation Strategies | Computational Efficiency | Scalability | Transferability | Industrial Applicability | Key Limitations | References |
|---|---|---|---|---|---|---|---|---|---|
| Empirical and Semi-Empirical Models (Regression-Based Correlations) | Effective thermal behavior captured through statistical correlations; limited explicit physics representation | Rapid prediction of melt pool dimensions, temperature histories, and thermal characteristics; process parameter mapping; printability window identification | Calibrated with experimental data; validated against melt pool geometry and thermal measurements | Very high computational efficiency; low computational cost, enabling rapid predictions suitable for process mapping and control | Limited scalability to complex geometries; primarily suited for part-scale and process-scale simulations | Limited transferability; heavily dependent on experimental calibration; constrained to tested materials and process conditions | Suitable for rapid process optimization, preliminary design space exploration, and printability assessments; enables quick process parameter studies | Lack mechanistic insight; oversimplify complex thermal phenomena; neglect fluid flow and phase changes; require extensive calibration; limited generalizability beyond specific experimental conditions | [127,189,190,191] |
| Analytical Models (Rosenthal-Type Heat Conduction, Moving Point Heat Source) | Dominant heat conduction with simplified boundary conditions; temperature-dependent properties in extended versions; conduction, convection, radiation, and melting losses in advanced formulations | Closed-form or semi-closed-form solutions for thermal field prediction; melt pool geometry estimation; rapid thermal history predictions; residual stress estimations; process window identification | Ex situ validation against experimental thermal profiles and melt pool dimensions; validated with thermographic measurements; sensitivity analyses on assumptions | Highly efficient; orders of magnitude faster than full numerical simulations; suitable for rapid predictions (<200 s in some cases) | Part-scale thermal modeling; applicable across various scanning strategies; limited to simplified geometries and boundary conditions | Moderate transferability; requires empirical calibration for quantitative precision; assumptions limit applicability to new materials without adjustment | Facilitates rapid process parameter mapping; supports printability assessments and process control strategies; useful for initial design and optimization | Rely on simplifying assumptions (steady-state, linear heat conduction, idealized heat sources); neglect fluid flow, keyhole effects, and complex melt pool dynamics; limited accuracy for transient and multiphysics phenomena; require empirical corrections for nonlinear effects | [119,128,192,193] |
| Semi-Analytical Models with Nonlinear Corrections | Heat conduction with temperature-dependent material properties; incorporates nonlinear effects and phase change; includes convection and radiation boundary conditions | Enhanced thermal field prediction with improved accuracy over linear analytical models; residual stress and deformation prediction; rapid part-scale thermal modeling | Ex situ validation with experimental data; ~90% accuracy validated in some implementations; sensitivity analyses on material properties | Very efficient compared to full numerical models; minimal computational overhead vs. linear analytical models; enables rapid iterative design | Part-scale thermal and thermomechanical modeling; applicable to various scanning patterns and geometries | Improved transferability over pure analytical models; still requires empirical calibration; better generalization with nonlinear corrections | Supports efficient process optimization and defect prediction; balances accuracy and speed for industrial applications; useful for process control | Linear base model assumptions with empirical calibration; still neglects detailed fluid flow and complex melt pool hydrodynamics; limited to conduction-dominant scenarios | [194,195,196] |
| Finite Element Method (FEM) for Thermomechanical Modeling | Comprehensive heat transfer (conduction, convection, radiation); thermomechanical coupling; residual stress and distortion; phase transformations; temperature-dependent material properties | Detailed thermal history prediction; residual stress and deformation analysis; part-scale distortion prediction; multi-layer simulations; microstructure evolution coupling | Ex situ validation with experimental measurements; validated against distortion, residual stress measurements; ~8% displacement and ~3.5% stress error in optimized implementations | Moderate-to-high computational cost; computationally intensive for multi-layer or part-scale simulations; adaptive remeshing and parallelization improve efficiency | Powder to part scale; scalable with adaptive strategies and model simplifications; suitable for multi-layer and complex geometries | Good transferability across materials with proper calibration; material property databases support cross-material application | Industry standard for detailed thermal and mechanical analysis; supports design optimization, distortion mitigation, and qualification; enables digital twin integration | High computational demands limit real-time applicability; requires extensive material property data; mesh generation complexity; simplified powder behavior in some implementations; linearized material models reduce accuracy | [2,94,197,198] |
| Finite Volume Method (FVM) for Thermal Analysis | Heat conduction dominant; includes convection and radiation; temperature-dependent properties; phase change effects | Thermal field prediction; temperature history calculation; melt pool thermal analysis; efficient heat transfer simulations | Ex situ validation; good accuracy vs. FEM benchmarks; validated against experimental thermal profiles | Higher computational efficiency than FEM (~4.4× faster reported); moderate computational cost with improved solver efficiency | Part-scale thermal analysis; applicable to large domains with efficient discretization | Good transferability with proper boundary condition specification; similar to FEM in cross-material applicability | Suitable for rapid thermal analysis in industrial settings; supports process optimization with reduced computational burden vs. FEM | Simplified fluid flow effects; less mature than FEM for multiphysics coupling; limited representation of complex melt pool dynamics; requires proper boundary condition specification | [103,199] |
| Smoothed Particle Hydrodynamics (SPH) and Particle-Based Methods | Comprehensive fluid flow and heat transfer; free surface tracking; phase change and solidification; powder–laser interaction; granular flow dynamics; melt pool hydrodynamics | Detailed melt pool dynamics modeling; captures powder behavior and melting; fluid flow with complex interfaces; powder spreading simulation; multi-phase interactions | Ex situ validation with experimental melt pool morphology; validated against synchrotron imaging; benchmarked with experiments on welding and AM | Computationally expensive; high computational cost limits large-scale applications; moderate-to-high cost depending on particle resolution | Powder-to-melt pool scale; mesoscale to macro-scale applicability; limited scalability to full part-scale due to computational demands | Moderate transferability; flexible for different materials and process conditions; assumptions in particle interactions affect transferability | Effective for detailed melt pool and powder dynamics research; supports fundamental process understanding; useful for phenomena not captured by continuum methods | Computationally intensive; complex boundary and interface assumptions; less mature than mesh-based methods; particle discretization simplifications; limited to small-scale or mesoscale simulations in practice | [91,106,184] |
| Lattice Boltzmann Method (LBM) and Discrete Element Method (DEM) | LBM: fluid flow, heat transfer, phase change at mesoscale; DEM: powder packing, spreading, granular dynamics, particle-level interactions | LBM: melt pool fluid dynamics and thermal modeling; DEM: powder bed characterization, powder spreading simulation, powder–laser interaction modeling | Ex situ validation; DEM validated against powder bed characteristics; LBM validated for fluid flow and thermal fields | Computationally expensive; DEM for powder packing moderate cost; LBM for fluid dynamics, high cost; both limit scalability | Powder scale to mesoscale; DEM effective for powder bed modeling; LBM for melt pool scale; limited to small domains | Transferable across powder materials for DEM; LBM requires calibration for different fluids and materials | DEM useful for powder bed quality assessment and spreading optimization; LBM for detailed melt pool physics research; supports process understanding | High computational cost limits practical application; DEM simplifications in particle interactions; LBM complexity in multi-phase flows; limited integration with macro-scale models; scalability constraints | [103,200] |
| Multi-Scale and Multiphysics Integrated Frameworks | Coupled thermal, fluid, mechanical, and microstructural physics; heat transfer, mass transfer, phase transformations; powder dynamics to part-scale phenomena | Comprehensive process simulation across scales; links powder behavior to melt pool dynamics to part-scale properties; microstructure evolution prediction; defect formation analysis | Multi-scale validation with experimental data at different scales; validated against thermal, mechanical, and microstructural measurements | Computationally intensive; high computational cost due to multiphysics coupling; efficiency improvements via adaptive strategies and scale separation | Multi-scale from powder to part scale; framework supports integration across scales but increases complexity | Enhanced transferability through physics-based foundations; multi-scale coupling improves generalization but requires extensive calibration | Supports comprehensive process understanding and optimization; enables process–structure–property linkage; useful for digital twin development and advanced process control | Complexity in coupling strategies; high computational demands limit practical deployment; simplifications in coupling physics; data requirements for validation; integration challenges across scales; model calibration complexity | [8,112,201,202,203] |
| Model Category | Application Domain | Physics Integration Strategy | Validation Method | Computational Efficiency | Transferability/Scalability | Key Limitations | References |
|---|---|---|---|---|---|---|---|
| Physics-Informed Neural Networks (PINNs) | Temperature field and melt pool geometry prediction; thermal history modeling; parameter identification; real-time process monitoring and adaptive control | Strong coupling: governing PDEs (heat equation, Navier–Stokes) embedded as physics-informed loss functions; conservation laws integrated into network training; dynamic weight updates with physics-informed constraints; ontology-integrated frameworks | Ex situ validation with FE simulations and experimental data; in situ validation with real-time anomaly prognosis; validated across scanning speeds, process parameters, and 3D benchmark problems; errors below 3% for 2D temperature fields | High efficiency: computational time significantly reduced vs. pure FEM/CFD (MAPE 2.8%, R2 0.936); efficient with limited and sparse data; enables real-time monitoring and adaptation | Generalizes to unseen laser scanning strategies and geometries; transferable to different builds without retraining; demonstrated on NIST benchmark parts; adapts to new materials and parameters | Requires partial experimental data; accuracy depends on physics model fidelity; most models focus on 2D or single-track simulations; integration of multi-sensor data streams and handling noisy data remain challenges; requires valid digital twin | [140,218,219,220,221,222] |
| Deep Neural Operators and Physics-Based Surrogate Models for Digital Twins | High-fidelity melt pool state prediction; closed-loop feedback control; temperature and defect prediction with online calibration; digital twin integration for adaptive manufacturing | Hybrid: physics-based surrogate models combined with deep neural operators (Fourier Neural Operators); offline fine-tuning with physics simulations; incorporates uncertainty quantification and Bayesian calibration | Closed-loop feedback control with online updates; ex situ validation on experimental datasets; supports adaptive calibration; validated with multi-fidelity FE and ML calibration | High efficiency: orders of magnitude faster than traditional FE simulations; supports near-real-time inference; fast surrogate enables efficient closed-loop control | Adaptable via offline fine-tuning and calibration; incorporates uncertainty quantification for evolving conditions; supports layer-by-layer parameter adjustment | High computational cost for initial high-fidelity simulations; complexity of model integration; dependence on synthetic or simulated data may not capture all experimental variability; calibration against limited experimental datasets remains bottleneck | [5,7,223,224] |
| Hybrid CFD/FEM–ML Surrogate Models | Melt pool width and geometry prediction; defect formation prediction; process parameter optimization; printability mapping and qualification acceleration | Modular coupling: CFD/FEM simulations provide training data for ML surrogates (SVM, U-Net, ensemble methods); integrates experimental and simulation data; data-driven methods augment physics-based predictions; scientific ML with physically intuitive features | Ex situ validation integrating experimental and simulation data; validated on Ti-6Al-4V, AlSi10Mg, and multiple alloys; combines simulation and empirical data; R2 > 0.98 for melt pool geometry | High efficiency: faster than high-fidelity CFD/FEM; accelerates qualification of LPBF parameters; reduces error norms by up to 75%; relative mean absolute error ~6.77% | Effective under sparse data with multiple chemistries; considers powder bed thickness and preheating effects; integrates simulation and experimental data; outperforms black-box models | Not explicitly real-time but supports process insight; limited to specific parameter sets or small geometries; dependence on simulation quality for training data; transferability across machines and materials requires further validation | [204,225,226,227] |
| Physics-Guided Generative Models and Hybrid Neural Networks | Melt pool behavior prediction; defect identification (lack of fusion, porosity, keyhole); built quality and defect type prediction; anomaly detection | Embedded physics: generative adversarial networks (GANs) guided by physics; hybrid neural networks fusing thermal images and simulated melt pool images; mechanistic model integration with synchrotron X-ray data | Ex situ validation with experimental data; 97.25% defect identification accuracy; multi-classification framework for quality prediction; experimentally validated across multiple regimes | High efficiency: accelerated prediction vs. traditional methods; reduced CFD computational cost; efficient multi-classification framework; temperature metrics with 5–15% uncertainty | Validated experimentally; combines physical and data features for robustness; explores parameter influence on quality; robust under sparse data; tested across regimes | Image prediction quality prioritized over exact quantitative agreement in some cases; limited validation on complex geometries; reliance on synthetic data for training; accuracy depends on quality of physics simulations | [228,229,230,231] |
| Physics-Based Thermal Models with ML for Microstructure Evolution | Microstructure evolution prediction (primary dendritic arm spacing, grain growth, melt pool depth); scan path optimization for microstructure control; process–structure–property linkage | Physics-based thermal model inputs to ML (SVM, U-Net surrogates); combines phase-field modeling with ML; mechanistic modeling integrated with ML; incorporates recoil pressure and fluid flow effects | Ex situ validation; validated on multi-layer and multi-track cases; experimentally validated microstructure predictions; RMSE ~0.012 mm for melt pool depth, 110 nm PDAS | High efficiency: rapid part-level thermal model with ML prediction; reduces computational time by ~1000× vs. phase-field simulations; enables intelligent process optimization | Transferable to different builds without retraining; demonstrated on NIST benchmark parts; geometry-agnostic capabilities; applied to Inconel 625 and molybdenum materials | Scalability to full parts or complex geometries limited; high computational cost when applied to full parts; most models focus on single-track or few-layer scenarios; limited validation on complex multi-layer builds | [203,232,233] |
| Monitoring Approach | Sensor Types and Data Characteristics | Validation Level | Computational Performance | Transferability | Industrial Readiness | Best Use Cases and Rationale |
|---|---|---|---|---|---|---|
| Thermal/IR Imaging for Melt Pool and Layer Monitoring | High-speed NIR/LWIR cameras, imaging spectrometers, mid-IR collectors; spatial resolution down to 50 µm (ADM optic); layer-wise thermal maps [234,235,236]. | Validated via registration to XCT and optical microscopy for pore morphology/distribution across multiple geometries [235,236,237]. | High frame rates (specific rates vary); temperature–emissivity separation (TES) achieves ±28 K accuracy over 1000 K range [234]; many systems require offline processing for mapping [4,11]. | Demonstrated on Ti, 316L, Ni superalloys, diverse geometries; cross-machine generalization limited to reported testbeds [235,236,238]. | TRL 5–6; ADM achieved micro-CT correlation to 4.3 µm pores on testbed; not yet turnkey industrial product [235]. | Best for layer-wise anomaly localization, thermal history tracking, correlating surface thermal signatures to XCT porosity maps, as spatial resolution enables precise defect localization when coupled with rigorous registration [234,235,236]. |
| Photodiode-Based Monitoring | On-axis photodetectors, ratiometric bichromatic sensors measuring integrated melt-pool emission; calibrated against tungsten lamp and blackbody [239,240]. | Calibration studies and repeatability checks on testbeds; signals correlated to density patterns and edge effects [239,240]. | High temporal bandwidth; sampling rates/inference latencies not comprehensively reported [239]. | Used across different machine optics with normalization strategies; broad cross-machine transfer claims limited [239,240]. | TRL 7–8; widely integrated on commercial systems; NIST calibration guidance exists [240]. | Best for fast melt-pool event detection, global trend monitoring, feedstock/optics health checks, as single-point high-bandwidth signals enable rapid anomaly detection without spatial imaging overhead [239,240]. |
| Multi-Sensor Fusion (Visible/NIR/SWIR/LWIR/Acoustic) | Fusion of visible, NIR, SWIR, LWIR, optical tomography, acoustic emission, back-reflection, scan metadata in voxelized footprints [241,242,243,244]. | Strong XCT validation; voxel-by-voxel binary classification: 98.5% accuracy; POD for 200–1000 µm flaws with a 90/95 metrics [242,243,244]. | Neural networks and variational autoencoders; low-latency designs targeted but detailed metrics sparse; human-in-the-loop annotation improves POD [243,244]. | Demonstrated on testbeds and industrial components; multi-laser cases explored; generalization often requires re-annotation/retraining [235,243,244]. | TRL 5–6; INDE framework shows production-scale engineering with POD reporting consistent with NDE practice [243,244]. | Best for detecting multiple defect types (lack-of-fusion, keyhole, subsurface porosity) and producing probabilistic POD curves for qualification, as multi-modal data captures complementary physics; 98.5% classification accuracy and POD metrics support certification workflows [242,243,244]. |
| Machine Learning for Defect Detection and Classification | Deep CNNs, U-Net variants, CNN + LSTM hybrids, variational autoencoders on single/fused sensor data [242,245,246]. | Ground truth: XCT; reported accuracies 97.86–98.5% for defect/regime classification; voxel classification via cross-validation [242,245,246]. | Rasterized layer images or voxelized footprints; 0.5–4 ms regime detection targeted; many pipelines trained offline [246]. | Demonstrated across geometries/materials within study scope; applied to industrial geometries with retraining [243,245]. | TRL 4–6; high-performance lab/testbed demonstrations; some integrated into analytics platforms; full factory closed-loop limited [243,244]. | Best for supervised in situ detection where extensive XCT ground truth is available; producing POD/PDFA metrics for qualification, as high classification metrics (≥97.86%) when trained on rigorous XCT-labeled data [242,245,246]. |
| Data Registration Techniques (In Situ to XCT) | Image-to-volume registration, adaptive volume adjustment, fiducials, deformation modeling to align thermography/optical tomography to XCT [237,247]. | Necessary and effective for correlating in situ signals to XCT; adaptive methods improve alignment accuracy and reduce false positives/negatives [237,247]. | Typically offline and computationally intensive; real-time registration latencies not reported for full volumes [237,247]. | Applied across multiple specimen shapes (cylinders, complex geometries); fiducials and deformation models improve cross-part mappings [237,247]. | TRL 3–5; critical enabling step for ML training and POD estimation; research-grade, not embedded in real-time factory systems [237,247]. | Best for producing trustworthy ground truth alignment between in situ signals and XCT for ML training and POD estimation, as registration accuracy directly impacts ML model reliability and defect localization precision [237,247]. |
| Temperature Calibration and Emissivity Measurement | Multi-wavelength pyrometry, temperature–emissivity separation (TES), pixelwise camera calibration, tungsten lamp reference [234,238,239,248,249]. | TES: ±28 K retrieval accuracy over 1000 K range; pixelwise calibration: 500–1500 K; multi-wavelength studies show 20–300% emissivity variation across alloys/phases [234,238,248,249]. | Requires spectrally resolved sensors and careful optics; computational cost of TES/pixelwise fitting reported; real-time absolute temperature mapping challenging [234,249]. | Emissivity varies by alloy and process stage; multi-wavelength methods demonstrate need for in situ measurement vs. fixed models [238,248]. | TRL 5–6; demonstrated in testbeds and EB-PBF platforms; adoption in production LPBF increasing but requires per-machine calibration [234,238,248,249]. | Best for obtaining quantitative process temperatures, improving physics-based models, enabling calibrated closed-loop control, as absolute temperature accuracy (±28 K) enables physics-model validation and thermal-based control [234,248,249]. |
| Real-Time Closed-Loop Control | Melt-pool thermal emission feedback to modulate laser power; customized LPBF platforms for on-the-fly control [250]. | Lab demonstrations of closed-loop power control based on melt-pool emission on custom platforms [250]. | Real-time control loops implemented in testbeds; explicit latency and industrial cycle-time scalability not comprehensively reported [250]. | Demonstrations limited to custom/test platforms; industrial scale-up evidence limited in reviewed corpus [250]. | TRL 4–5; prototype demonstrations with promising regulator designs; widespread factory integration remains active R&D [250]. | Best for dynamic compensation of melt pool instabilities (over melt, balling) in research or pilot production contexts on custom testbeds with specific materials, as closed-loop feedback demonstrated feasibility for real-time process adjustment in controlled laboratory settings [250]. |
| Technology/Approach | Specifications and Data Characteristics | Validation Level | Computational Performance | Transferability | Industrial Readiness | Best Use Cases and Rationale |
|---|---|---|---|---|---|---|
| Thermography and Pyrometry | Two-wavelength coaxial imaging pyrometry and off-axis thermal imaging for melt-pool temperature mapping; photodiode pyrometry sampling >100 kHz; datasets reach hundreds of thousands of frames and hundreds of GB [263,264,265]. | Correlated to μCT/XCT and operando X-ray radiography for pore/keyhole validation and surface topography prediction [263,264,265]. | High sampling (>100 kHz) enables sub-ms feature windows for ML; data volumes reach hundreds of GB per multi-build campaign [264,265,266]. | Demonstrated across lab printers and multiple builds; domain shift issues require domain alignment/augmentation [256,266]. | TRL 6–7; mature for monitoring; integration with data pipelines shown but FAIR standards incomplete [266,267]. | Best for temperature control, melt-pool energy tracking, surface topography inference, and as primary features for defect classification models. Why: High temporal resolution (>100 kHz) enables precise thermal event capture; direct correlation to temperature physics supports model validation [263,264,265]. |
| Acoustic Emission Monitoring | Structure-borne and airborne AE capture rapid mechanical/pressure transients from keyhole collapse and spatter; signals resolved at sub-ms time windows; contribute strongly to pore prediction [265,268,269]. | Validated with operando synchrotron X-ray for temporal registration of pore events and XCT comparison for predicted porosity [265,268]. | Low data volume relative to imaging; enables ML detection within 0.5–4 ms windows [265,268]. | Shown to transfer across experiments but sensitivity to machine acoustic environment and sensor placement reported [266,267]. | TRL 5–6; high promise for real-time detection; fewer commercial turnkey AE solutions for PBF than optical tools [267]. | Best for fast event detection (keyhole pore formation, spatter), early warning signals for closed-loop corrections. Why: Low data overhead with high temporal sensitivity to transient events; strong correlation to pore formation validated by operando X-ray [265,268,269]. |
| Melt Pool Imaging (Optical, Coaxial, Off-Axis) | High-speed visible/SWIR cameras and coaxial sensors capture morphology, intensity, area; dynamic ROI cameras operate up to 20 kHz [263,270,271]. | Co-registered to XCT/μCT and operando X-ray; spatial registration methods map melt pool signatures to part coordinates for topography and defect correlation [263,264,265]. | Highest data volumes (105–106 frames per build); GPU pipelines required for real-time processing; continuous capture demands ROI or compression [266,270,271]. | Imaging models show reduced performance under different instruments; domain adaptation improves cross-setting accuracy [256,266]. | TRL 6–7; widely used in research; scaling to full production requires high-throughput pipelines and ROI strategies [266,271]. | Best for morphology-based defect detection, surface topography prediction, training labels for other sensors. Why: Spatial resolution enables precise defect localization; registered imaging provides ground truth for ML training [263,264,265]. |
| Multi-Sensor Fusion Frameworks | Common fusions: thermal + optical + acoustic + photodiode; fusion at data/feature/decision levels using CNNs, LSTMs, ensemble classifiers [264,265,268,269]. | Validated against operando X-ray and XCT; multi-modal ML achieves pore F1 up to 0.95, recall 1.0, classification accuracies ≈ 98% [264,265,268]. | Fusion improves predictive power but raises synchronization and computational load; ML inference over 0.5–4 ms windows [265,268]. | Fusion improves robustness but requires per-machine calibration; domain adaptation pipelines increase reusability (+31% detection without labels) [256,266]. | TRL 5–6; research prototypes show closed-loop correction in L-DED and DT architectures; production adoption partial due to integration complexity [256,267,269]. | Best for comprehensive defect detection and localization where multiple physical signatures are available. Why: Complementary sensors capture different physics; fusion achieves highest reported defect detection metrics (F1 = 0.95, recall = 1.0) [264,265,268]. |
| Machine Learning for Multi-Sensor Processing | CNN + LSTM hybrids and feature-level fusion; training datasets range from thousands to millions of frames and hundreds of GB; reported 61% UTS prediction error reduction using fused in situ data [256,268,272]. | Ground truth: XCT/μCT/metallography/tensile testing; reported classification accuracies ≈ 98% (regime), F1 up to 0.95, defect size classification 98.8% (large pores) [264,265,268,272]. | Inference times suitable for ms-scale decision windows; full-build scaling needs GPU acceleration and optimized pipelines [266,268,271]. | Models trained on one setting degrade on others; domain adaptation and augmentation recover performance [256,266,272]. | TRL 5–6; ML essential for DT updates; publicly shared datasets and HDF5 pipelines improve reproducibility but broader FAIR adoption limited [266,267]. | Best for automated defect classification, local mechanical property prediction, inputs to closed-loop controllers. Why: ML extracts complex patterns from multi-modal data; validated 61% error reduction in tensile property prediction [268,272]. |
| Spatial–Temporal Data Registration | Methods combine galvanometer coordinates, laser ON/OFF, camera alignment, ML-based image registration to map sensor records to part coordinates; two-camera (coaxial + off-axis) registration recovers spatial melt pool maps [263,264,265]. | Registration validated by predicting layer surface topography and correlating melt pool signatures with XCT porosity maps [263,264,265]. | Registration incurs moderate compute but essential for co-registered datasets; synchronization precision down to 50 µs with synchrotron timing [263,265]. | Necessary for multi-sensor generalization; registration enables cross-sensor mapping across geometries when scanner coordinates available [256,264,266]. | TRL 4–5; critical enabling step for DTs and in situ qualification; implementations exist in research toolchains [263,266]. | Best for spatially resolved defect localization, part-level mapping for mechanical property inference. Why: Registration accuracy directly impacts ML model reliability; enables precise correlation between in situ signals and ex situ validation [263,264,265]. |
| FAIR Principles and Data Management | Public release examples: 230 GB HDF5 dataset linking in situ sensor footprints to tensile tests; pipelines process 700 k+ frames for feature extraction [266,272]. | Ground truth co-registration and labeling practices exist but no universal metadata/schema standard widely adopted [266,267]. | FAIR pipelines reduce retraining time and enable transfer but add overhead for metadata capture and storage [266]. | Domain adaptation and open datasets improve reuse and DT reusability across institutions [256,266,272]. | TRL 3–5; partial adoption: exemplar datasets released but community standards and wide FAIR compliance remain limited [266,267]. | Best for dataset sharing for ML model training, benchmarking DT models, regulatory qualification. Why: Standardized data formats enable reproducibility and cross-institution model validation; 230 GB public dataset demonstrates feasibility [266,272]. |
| Real-Time Processing and Closed-Loop Control | Real-time ML inference on 0.5–4 ms windows; system demonstrations of automated laser power control or defect correction in lab platforms [268,273]. | Closed-loop demonstrations in custom platforms and L-DED for defect correction; real-time decision support in digital twins [269,273]. | Achieved with GPU-accelerated pipelines and ROI imaging; full-build closed-loop across large parts challenging due to data throughput [266,271,273]. | Lab demonstrations transferable to production with engineering investment; standardization and safety qualification outstanding [267,273]. | TRL 4–5; early stage for full industrial deployment; specific closed-loop functions (power modulation, local repair) demonstrated [273]. | Best for on-the-fly power modulation, defect mitigation actions, probabilistic porosity control in DTs. Why: Demonstrated feasibility of ms-scale closed-loop control; probabilistic DT framework shown for online Bayesian calibration [273]. |
| AI Method/Framework | Application Domain | Physics Integration Level | Sensor Modalities | Validation Method | Computational Efficiency | Transferability | Key Limitations | References |
|---|---|---|---|---|---|---|---|---|
| Convolutional Neural Networks (CNNs) and Deep Learning for Defect Detection | Defect detection and classification (porosity, lack of fusion, surface defects, melt pool anomalies); quality assessment; in situ process monitoring; multi-label anomaly detection | Purely data-driven deep learning; transfer learning and self-supervised learning implementations reduce labeling requirements | Optical imagery (powder bed images, melt pool images); multi-modal fusion (visible and infrared cameras); layer-wise optical tomography | Ex situ and in situ validation; 82–99.79% accuracy in defect detection and classification; validated against XCT ground truth data | High: real-time processing with practical latency (under 18 s per layer); enables real-time multi-label anomaly detection and intra-layer closed-loop control | High: transfer learning enables quality monitoring across materials with >92% accuracy; self-supervised learning handles imbalanced datasets without extensive labeling | Requires extensive labeled datasets for supervised methods; limited interpretability in complex architectures; limited to single or specific sensor modalities in some implementations; data scarcity for rare defect types | [6,272,287,289,295,296,297,298,299] |
| Physics-Informed Neural Networks (PINNs) and Deep Neural Operators for Thermal Prediction | Temperature prediction; full-field thermal modeling; melt pool geometry prediction; parameter identification; high-fidelity melt pool state prediction; closed-loop feedback control; scalable temperature distribution | Hybrid physics-informed deep learning: custom loss functions enforcing physical behavior (PDEs embedded); Fourier neural operators combine physics-based simulations with data-driven learning; graph neural networks (GNNs) learn physics from FEA simulations | Infrared camera data; thermal imaging; physics-informed variables extracted from simulations; GNNs trained on FEA simulation data | Ex situ validation with less than 7% deviation; R2 > 0.98 for melt pool geometry; closed-loop feedback control with online calibration; GNN validation with 3.77% MAPE | High: computational time significantly reduced vs. pure FEM/CFD (up to 3900× speed-up); efficient with limited and sparse data; architecture-driven approaches effective with minimal data | High: transferable to different builds without retraining; demonstrated on NIST benchmark parts; geometry-agnostic capabilities; GNNs are multi-laser capable and transferable across geometries | Requires partial experimental data; accuracy depends on physics model fidelity; validation on limited geometries and materials; computational demands for high-fidelity simulations; surrogate accuracy depends on training data quality | [5,220,224,227,280,300,301,302] |
| Ensemble Methods and Hybrid ML-Physics Models for Process Optimization | Melt pool geometry prediction; defect classification (porosity, melt pool stability); density and hardness prediction; process parameter optimization; robust design optimization | Purely data-driven ML (random forest, XGBoost, extra trees) with physics-augmented data generation and CFD-informed training; Bayesian calibration with stochastic modeling and probabilistic frameworks | Trained on process parameters and simulation/experimental data; melt pool monitoring data; infrared thermal imaging with dimensionality reduction | Ex situ validation; 99.79% accuracy in melt pool stability classification; R2 up to 0.95 for density prediction; in situ layer-wise parameter adjustment; probabilistic approaches support robust optimization | High: fast inference enabling online monitoring (0.4 ms in some cases); runtime speed-up of 3900× compared to physics models; surrogate models reduce computation, enabling fast updates | High: transferable to different builds without retraining; demonstrated on Ti-6Al-4V, IN 625, SS316L, AlSi10Mg; model tailored for individual parts with model updating | Requires calibration with experimental data; potential for overfitting with complex models; requires high-quality continuous sensor data; computational demands for frequent updating; uncertainty quantification can increase computational burden | [5,256,296,303,304,305,306,307] |
| Multi-Modal Sensor Fusion with Deep Learning | Flaw detection; defect identification (subsurface porosity, cracking, keyhole pores); quality assessment; multi-material composition monitoring; comprehensive in situ process monitoring | Hybrid ML-assisted and physics-based sensor fusion; deep learning with multi-modal integration; contrastive loss functions and attention mechanisms | Multi-modal: optical, acoustic emission, thermal imaging (visible and infrared cameras), spectral data, X-ray radiography with spatial–temporal registration | In situ validation; 95–98.5% accuracy in flaw/defect detection; 0.95 F1-score for keyhole pore prediction; validated against XCT ground truth; high temporal resolution monitoring | Medium to High: feature-level fusion balances accuracy and computational cost; high-speed systems enable intra-layer control; computational overhead from sensor synchronization | Moderate: contrastive learning improves multi-material composition monitoring; limited cross-material validation in most studies | High complexity in sensor synchronization and data heterogeneity; challenges in data volume, standardization, and registration errors; limited validation on complex geometries; multi-modal datasets scarce; limited interpretability | [243,268,270,287,295,308,309] |
| Reinforcement Learning and Model Predictive Control for Adaptive Digital Twins | Laser scan path optimization; thermal uniformity; residual stress reduction; geometry-agnostic melt pool control; real-time parameter adjustment; multi-step temperature tracking; adaptive parameter control; block quality prediction | Hybrid: reinforcement learning with reduced-order simulation and physics-based models; ML surrogate models with MPC frameworks; hybrid RNN/LSTM + reinforcement learning; ML and Bayesian optimization integrated | Real-time sensor feedback for control; thermal sensors for layer-wise control; time-series deep neural networks for MPC; real-time sensor data for temperature prediction | In situ validation; demonstrated error reduction experimentally; MPC achieves precise melt pool temperature tracking and outperforms PID control; real-time parameter tuning via RL | High: framework supports dynamic process optimization; multi-step predictive models facilitate timely regulation; real-time temperature prediction and process optimization | Moderate: geometry-agnostic controller demonstrated; validated on Ti-6Al-4V and AISI 316L; some transferability limitations to different process types (e.g., DED to LPBF); limited cross-material validation | Requires extensive training data for RL; validation on specific processes may limit transferability; physics model accuracy critical for MPC; computational demands for frequent updating; model complexity requires extensive training data; limited interpretability | [7,291,292,310,311,312,313] |
| Digital Twin Type/Architecture | Core Functions | Model Composition | Sensor and Data Integration Strategy | Validation Approach | Computational Efficiency/Scalability | Industrial Readiness | Key Limitations | References |
|---|---|---|---|---|---|---|---|---|
| Hybrid Physics–ML Digital Twins with Adaptive Control and Bayesian Updating | Porosity prediction and control; process parameter optimization; layer-wise model updating; real-time parameter tuning; thermal history control; closed-loop feedback; melt pool consistency and geometric accuracy | Hybrid: physics-based models with Bayesian calibration and probabilistic frameworks; ML surrogates integrated with MPC and reinforcement learning; data-driven adaptive control with G-code manipulation | Infrared thermal imaging with dimensionality reduction; real-time sensor feedback (photodiode, melt pool size sensors, thermal sensors); layer-wise control inputs | Ex situ and in situ validation; layer-wise parameter adjustment; demonstrated process control with reduced defects and improved accuracy; MPC achieves precise temperature tracking | High: surrogate models enable fast updates (runtime speed-up of 3900×); real-time processing with practical latency (under 18 s per layer); efficient framework balancing physics and ML | High: layer-wise laser power adjustment, real-time parameter tuning, G-code manipulation, and closed-loop feedback control demonstrated; supports dynamic process optimization | Requires high-quality continuous sensor data; computational demands for frequent updating and MPC; physics model accuracy critical; limited to single sensor modalities in some implementations; validation on specific processes may limit transferability | [7,256,314,315,316,317,318,319] |
| Physics-Informed Neural Network (PINN) and Deep Neural Operator Digital Twins | Temperature prediction; full-field thermal modeling; melt pool geometry prediction; parameter identification with reduced data requirements; real-time anomaly prognosis and diagnosis; accelerated process parameter selection | Hybrid physics-informed deep learning: custom loss functions enforcing physical behavior (PDE embedded); physics-based data augmentation; ontology-driven interpretable learning; Fourier neural operators; multi-scale–multiphysics models with ML surrogates | Infrared camera data and thermal imaging; physics-informed variables extracted from simulations; emphasis on interpretable learning; no extensive sensor fusion focus | Ex situ validation with less than 7% deviation; R2 > 0.98 for melt pool geometry; in situ validation for real-time anomaly prognosis; modular validation frameworks | High: computational time significantly reduced vs. pure FEM/CFD (up to 3900× speed-up); efficient with limited and sparse data; surrogates enable rapid decision-making across scales | Moderate to High: enables faster simulation and potential for real-time process control; real-time monitoring with interpretable physics integration; surrogates enable rapid decision-making for digital twin applications | Requires partial experimental data; accuracy depends on physics model fidelity; synthetic data may not capture all real-world variability; validation of limited geometries; ontology development requires domain expertise; surrogate accuracy depends on training data quality | [205,220,227,320,321,322,323,324] |
| Multi-Modal Sensor Fusion and Hybrid CFD/FEM-ML Digital Twins | Flaw and defect detection; quality assessment; comprehensive process monitoring; melt pool width prediction; microstructure evolution; process–structure–property correlation; residual stress prediction | Hybrid: ML-assisted and physics-based sensor fusion with deep learning; combines physics-based simulations (CFD/FEM) with data-driven ML components; ROM with ML integration; combines simulated melt pool images with thermal images | Multi-modal: optical imagery, acoustic emission, spectral data, thermal imaging with spatial–temporal registration; combines simulation (CFD/FEM) and experimental data for non-fusion approaches | In situ monitoring validation with 97–98.5% accuracy in defect detection; ex situ and modular validation; accurate prediction of meltpool depth and dendritic spacing; validated against XCT ground truth | Medium to High: computational cost balanced by sensor fusion and ML; physical supervision network reduces CFD cost; hybrid models faster than pure CFD/FEM with 3900× speed-up for surrogates | Moderate to High: validated for in situ monitoring with real-time capability; enables rapid microstructure prediction; model transferable to different builds without retraining in some implementations | High complexity in sensor synchronization and data heterogeneity; computational overhead; not real-time control for CFD/FEM-ML variants; limited validation on complex geometries; surrogate accuracy depends on training data and FEM model fidelity | [5,203,204,231,242,287,325,326,327] |
| Comprehensive Industrial Digital Twin Frameworks with Knowledge Transfer and Multi-scale Integration | Comprehensive process monitoring, control, optimization, and cyber–physical system integration; knowledge transfer and domain adaptation for reusability; process chain modeling; predictive maintenance; rapid decision-making | Modular hybrid frameworks integrating physics-based and data-driven models; multi-scale–multiphysics models with ML surrogates; domain adaptation techniques for cross-machine/sensor transferability; methodological frameworks for hybrid model construction | Sensor integration emphasized for real-time feedback; multi-modal data in comprehensive frameworks; sensor data domain alignment across different machines and sensor configurations | Modular validation; framework designed for practical industrial deployment; improved anomaly detection accuracy by 31% via domain adaptation; review frameworks discuss implementation challenges and trustworthiness | Framework designed for practical industrial deployment with modular architecture enabling scalability and adaptability; surrogates enable rapid decision-making across scales; enhanced reusability via domain adaptation | High: real-time process monitoring, control components, data analysis, and predictive maintenance; surrogates enable rapid decision-making; enhanced deployment efficiency via domain adaptation; supports scalability and industrial deployment | Limited details on sensor modalities and specific validation in some frameworks; industrial validation needed; integration complexity requires comprehensive infrastructure development; domain shift challenges; methodological frameworks requiring implementation and validation; standardization challenges | [6,293,328,329,330,331,332] |
| Method Category | Physics and Validation | Geometry Complexity | Computational Cost | Transferability | Real-Time Readiness | Limitations | References |
|---|---|---|---|---|---|---|---|
| SIMP-Based Methods with Overhang Constraints | Geometric overhang angle constraints; penalty formulations; validated on 2D/simplified 3D examples | 2D and low-resolution 3D; limited to simplified geometries | Computationally inexpensive; simple penalty parameters | Not reported | Not suitable for real-time control | Trade-offs with structural performance; stress singularities; convergence issues; lacks of thermal/mechanical coupling | [333,334,335,336] |
| Inherent Strain Method with Residual Stress Modeling | Residual stress and distortion via the inherent strain method; ex situ validation in selected studies; simplified thermal–mechanical coupling | 2D and moderate 3D complexity; support structure and topology co-optimization | Fast simulation; reduced adjoint sensitivity cost; parallel computing frameworks accelerate optimization | Limited experimental validation across machines/materials | Not suitable for real-time control due to its iterative nature | Relies on simplified surrogate models; limited accuracy for complex transient effects; high computational cost for high-fidelity coupling | [337,338,339,340,341] |
| Layer-by-Layer Thermal Process Models | Local layer-wise thermal models; identifies heat concentration zones; thermal overheating constraints; limited in situ validation | High-resolution 2D and 3D; voxel-level simulations; complex geometries supported | High efficiency via parallelization; custom solvers enable fast layer-wise simulation | Not Reported | Potential for near-real-time feedback with further development | Local/layer assumptions may limit accuracy for transient global effects; experimental validation sparse | [342,343,344,345] |
| Coupled Fictitious Physics and Multi-Constraint Models | Couples geometric constraints (overhang, cavity) with fictitious physics; improved convergence; limited experimental validation | Addresses complex geometric constraints; 2D and 3D examples | Improved convergence; computationally manageable | Not reported | Not suitable for real-time control | User-defined parameters reduce generality; simultaneous multi-constraint control remains challenging | [346,347,348] |
| Concurrent Topology, Support, and Build Orientation Optimization | Integrates thermal deformation, residual stress, and geometric constraints; surrogate models and homogenization; ex situ validation in few studies | 2D and simplified 3D cases; limited applicability to complex industrial parts | High computational cost; surrogate models improve tractability; parallel computing used | Not reported | Not suitable for real-time control | Scalability limited; interaction between support and orientation not fully captured; high runtime | [341,349,350,351,352,353] |
| Machine Learning-Integrated Methods | ML for turbulent flow modeling and multi-scale lattice optimization; derivative-aware algorithms; limited validation | Applied to niche problems (heat exchangers, lattice scaffolds); not comprehensive | Accelerates specific subproblems; reduces computational burden in targeted applications | Problem-specific; lacks general frameworks and cross-material/machine validation | Early stage; not ready for real-time control | Nascent stage; data requirements; model generalization challenges; coupling with physics-based simulations underdeveloped | [354,355,356] |
| Multi-Material and Microstructure-Aware Methods | Incorporates material heterogeneity, porosity, graded properties; iterative property updates; limited experimental validation | Simplified material models; small-scale examples | Not reported | Not reported | Not suitable for real-time control | Emerging; complexity of capturing microstructural evolution; sparse experimental validation and process simulation integration | [357,358,359,360,361] |
| Process Parameters | Bayesian Optimization | Deep Neural Networks | Traditional ML | Most Effective Algorithm |
|---|---|---|---|---|
| Laser Power | - Surface quality optimization [362] - Hyperparameter tuning [363] | - Melt pool prediction [230] - Property prediction [364] | - Density optimization [365] - Multi-objective optimization [366] | Bayesian optimization—superior for continuous optimization |
| Scan Speed | - Process parameter effects [362] - Bead geometry prediction [363] | - Thermal field modeling [141] - Melt pool dynamics [367] | - Relative density prediction [368] - Surface roughness control [369] | Deep neural networks—better for complex relationships |
| Layer Thickness | - Multi-parameter optimization [362] | - Build quality prediction [370] - Defect detection [371] | - Mechanical properties [372] - Energy consumption [366] | Traditional ML—adequate for linear relationships |
| Hatch Spacing | - Integrated optimization [362] | - Track morphology [373] - Process monitoring [308] | - Density control [306] - Quality optimization [374] | Bayesian optimization—effective for spacing optimization |
| Energy Density | - Comprehensive optimization [362] | - Material property prediction [364] | - High-density achievement [365] - Process window determination [375] | Traditional ML—good for energy-based metrics |
| Multi-Parameter Sets | - BOAT framework [362] - Simultaneous optimization | - Hybrid approaches [370] - Multi-modal fusion [308] | - Ensemble methods [376] - Multi-objective optimization [366] | Bayesian optimization—best for complex multi-parameter spaces |
| Quality Metric | ML Approaches Used | Achieved Improvements | Performance Metrics | Key Findings |
|---|---|---|---|---|
| Surface Roughness | - Bayesian optimization with transfer learning [362] - Machine learning prediction models [369] - Multi-objective optimization [366] | - Optimized surface quality prediction - Reduced trial-and-error approaches - Real-time quality control | - R2 = 98.78% for surface roughness prediction [362] - Significant parameter contribution analysis [369] | Laser power most significant (48.3% contribution) for surface quality [377] |
| Porosity/Density | - Material-agnostic XGBoost [365] - Gaussian process regression [378,368] - Multiple ML algorithms [306] | - >98% relative density achievement [365] - >99.5% density in EBM [378] - 99.97% maximum density [379] | - Cross-material validation successful [365] - R2 = 0.95 (ANN), 0.923 (SVM) [306] - Mean error: 3% for porosity prediction [364] | Material-agnostic approaches show high transferability across alloy systems |
| Mechanical Properties | - Hybrid neural networks [370] - Deep learning prediction [364] - Evolutionary optimization [366] | - Enhanced tensile property prediction - Improved strength-to-weight ratios - Optimized mechanical performance | - Good accuracy with small training data [370] - Mean error: 0.2% for hardness [364] - 85% correlation coefficient [366] | Microstructure inclusion significantly improves prediction accuracy |
| Dimensional Accuracy | - Process parameter optimization [372] - Multi-objective approaches [374] - Predictive modeling frameworks [380] | - Reduced dimensional deviations - Improved geometric fidelity - Enhanced manufacturability | - 10% error in predictive models [374] - High accuracy in manufacturability prediction [380] | Systematic parameter optimization reduces dimensional errors significantly |
| Defect Detection | - Convolutional neural networks [371] - Unsupervised learning [381] - Multi-signal fusion [308] | - 98.63% defect detection accuracy [371] - Real-time monitoring capability - Automated quality assurance | - Minimum defect size: 0.54 mm [371] - 74–99% accuracy for different defect sizes [308] | Feature-level fusion outperforms individual signal-based models |
| Process Stability | - Real-time monitoring [382] - Acoustic emission analysis [382] - Domain adaptation [383] | - Enhanced process reliability - Reduced build failures - Improved consistency | - 74.39% detection accuracy with LSTM [382] - Successful domain transfer [383] | Multi-modal sensing improves process stability monitoring |
| Area of Limitation | Limitation | Papers |
|---|---|---|
| Computational Cost and Efficiency | Many thermal and mechanical models for PBF are computationally intensive, limiting their applicability for real-time control or large-scale simulations. This constraint reduces external validity for industrial-scale applications and hinders iterative process optimization. | [2,8,10,314,410,411,412,413,414] |
| Limited Multi-scale and Multiphysics Integration | Existing models often focus on isolated scales or physics, lacking comprehensive coupling of thermal, mechanical, and microstructural phenomena. This methodological constraint weakens the predictive accuracy of process–structure–property relationships. | [8,9,103,105,415] |
| Insufficient Experimental Validation | Several modeling approaches rely heavily on simulations with limited experimental calibration or validation, undermining the reliability and generalizability of those findings across different materials and process conditions. | [9,111,122,412,416] |
| Simplifying Assumptions in Thermal Modeling | Many thermal models assume linearity, flat molten surfaces, or neglect temperature-dependent material properties, which restricts their quantitative accuracy and external validity in capturing real PBF thermal dynamics. | [194,417] |
| Narrow Focus on Specific Materials or Geometries | Research often concentrates on particular alloys (e.g., Ti-6Al-4V, IN718) or simple geometries, limiting the applicability of models to diverse materials and complex part designs, thus affecting external validity. | [412,417,418,419,420] |
| Data Limitations for Machine Learning Models | Data-driven and physics-informed neural network models depend on the availability and quality of training data, which is often scarce or expensive to generate, constraining model generalizability and robustness. | [141,301,410,413,414] |
| Process Parameter Variability and Control Challenges | Variability in process parameters and lack of adaptive control strategies in models limit their ability to predict and mitigate defects dynamically, reducing practical applicability for quality assurance. | [314,411,421,422] |
| Limited Comparative Studies Across AM Techniques | Few studies comprehensively compare PBF modeling approaches with those of other AM techniques, such as SLA and FDM, restricting broader contextual understanding and cross-technology insights. | [103,423,424,425] |
Disclaimer/Publisher’s Note: The statements, opinions and data contained in all publications are solely those of the individual author(s) and contributor(s) and not of MDPI and/or the editor(s). MDPI and/or the editor(s) disclaim responsibility for any injury to people or property resulting from any ideas, methods, instructions or products referred to in the content. |
© 2026 by the authors. Licensee MDPI, Basel, Switzerland. This article is an open access article distributed under the terms and conditions of the Creative Commons Attribution (CC BY) license.
Share and Cite
Łach, Ł.; Svyetlichnyy, D. Advanced Numerical Modeling of Powder Bed Fusion: From Physics-Based Simulations to AI-Augmented Digital Twins. Materials 2026, 19, 426. https://doi.org/10.3390/ma19020426
Łach Ł, Svyetlichnyy D. Advanced Numerical Modeling of Powder Bed Fusion: From Physics-Based Simulations to AI-Augmented Digital Twins. Materials. 2026; 19(2):426. https://doi.org/10.3390/ma19020426
Chicago/Turabian StyleŁach, Łukasz, and Dmytro Svyetlichnyy. 2026. "Advanced Numerical Modeling of Powder Bed Fusion: From Physics-Based Simulations to AI-Augmented Digital Twins" Materials 19, no. 2: 426. https://doi.org/10.3390/ma19020426
APA StyleŁach, Ł., & Svyetlichnyy, D. (2026). Advanced Numerical Modeling of Powder Bed Fusion: From Physics-Based Simulations to AI-Augmented Digital Twins. Materials, 19(2), 426. https://doi.org/10.3390/ma19020426

