Ballistic Performance of 7A52/7A62 Aluminum Alloy Laminates: A Numerical Investigation of Configuration Effect
Abstract
1. Introduction
2. Materials and Methods
2.1. Materials
2.2. Configuration Design
2.3. Experimental Methods
3. Material Model and Parameter Calibration
3.1. Johnson-Cook Constitutive Model
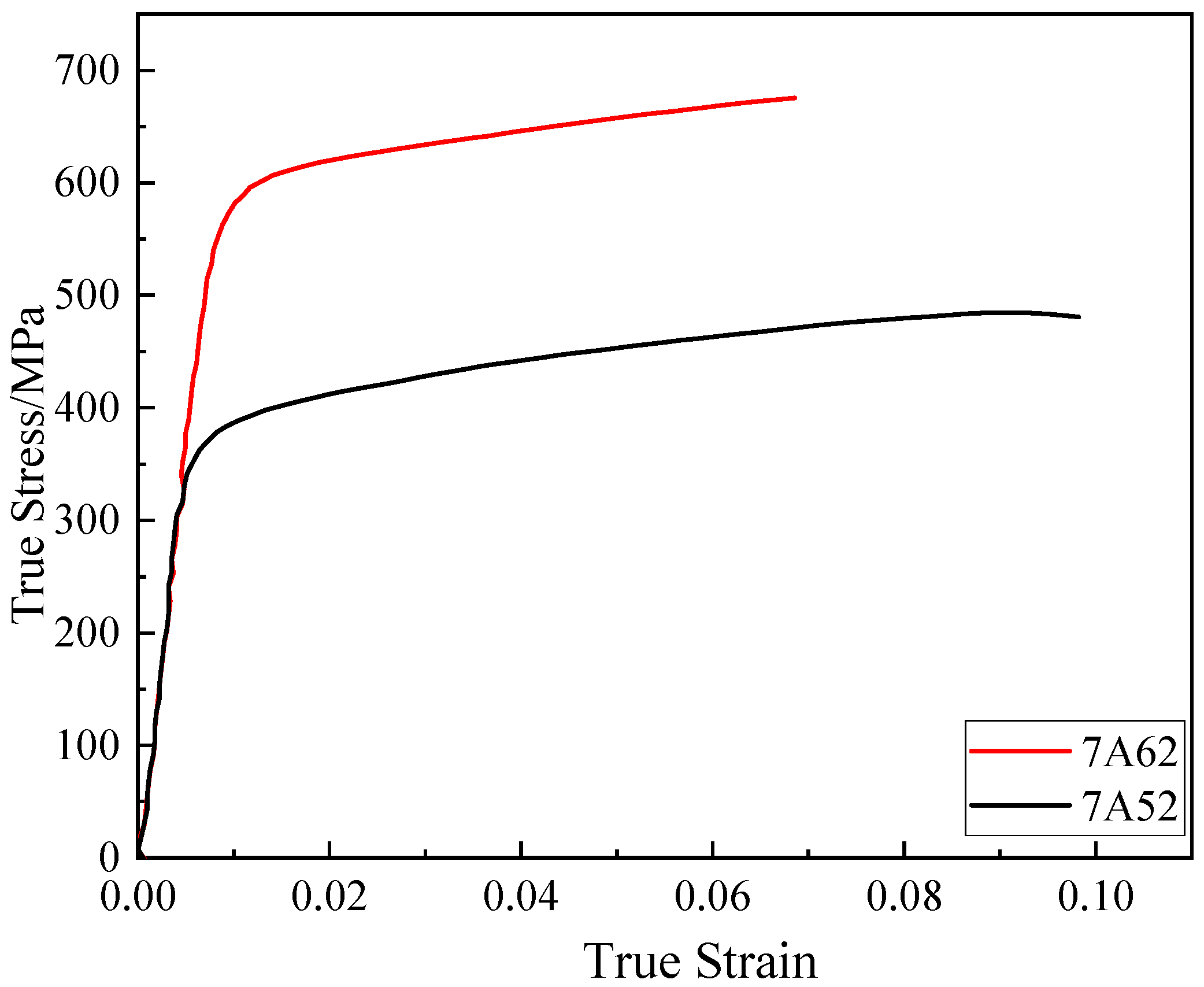
3.1.1. Constitutive Model Strain Parameter Calibration
3.1.2. Constitutive Model Strain Rate Parameter Calibration
3.1.3. Calibration of the Temperature Term Parameters in the Constitutive Model
3.2. J-C Fracture Criterion
3.2.1. Calibration of Stress State Parameters in the Fracture Criterion
3.2.2. Calibration of the Strain Rate Parameter in the Fracture Criterion
3.2.3. Calibration of Temperature Parameter in the Fracture Criterion
3.3. Validation of Parameter Effectiveness
4. Results
4.1. Simulation Modeling
4.2. Simulation Results
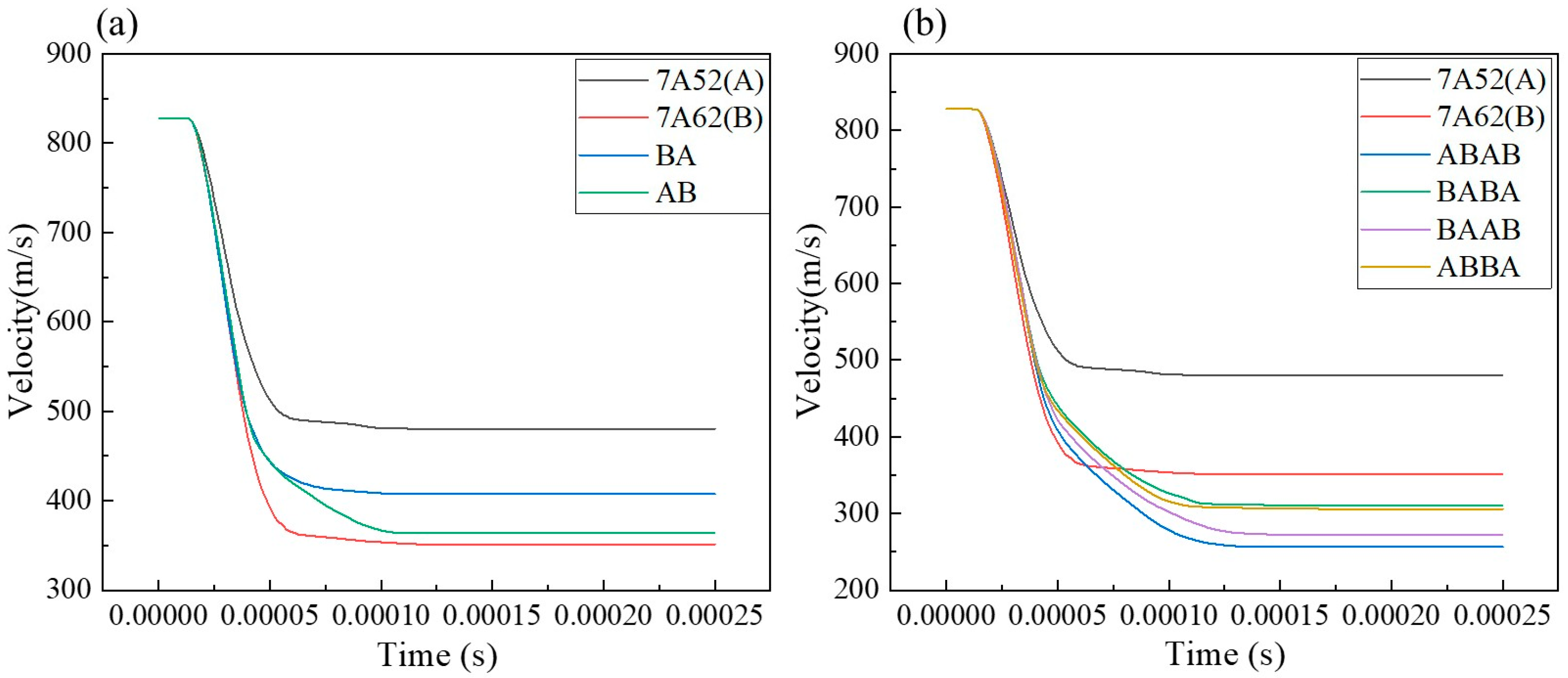
4.2.1. Ballistic Performance
4.2.2. Deformation Evolution and Fracture Mechanism
4.3. Energy Dissipation
5. Conclusions and Prospects
5.1. Conclusions
- The mechanical behavior of 7A52 and 7A62 aluminum alloys was thoroughly characterized under varying stress states, strain rates, and temperatures. These results provided a reliable basis for calibrating the parameters of the Johnson-Cook flow stress and fracture models.
- The four-layer configurations overall exhibit superior ballistic performance compared to monolithic and double-layer plates, with their performance ranked as follows: ABAB (256 m/s) > BAAB (272 m/s) > ABBA (305 m/s) > BABA (310 m/s). Among these, the optimal ABAB configuration achieves approximately a 27% reduction in residual velocity compared with the monolithic high-strength 7A62 plate (351 m/s). Energy analysis further reveals that the plastic energy dissipation of this configuration reaches 335.2 J, which is about 24% higher than that of the monolithic 7A62 plate (270.4 J).
- The stacking sequence is a key factor influencing the ballistic performance of laminated plates. A rationally designed alternating sequence (ABAB) can significantly enhance overall performance. Energy analysis indicates that this advantage stems from the synergistic effect of multi-interface delamination on coordinated plastic energy consumption and damage dissipation.
5.2. Research Limitations and Model Description
- The conclusions are derived entirely from numerical simulations. Although the material constitutive parameters and the dynamic response of the laminates under SHPB loading were validated through experimental-simulation comparisons, the performance ranking of the laminated configurations, particularly the superiority of the ABAB sequence, requires direct experimental validation through ballistic limit (V50) tests, which is planned as the immediate next step (see Section 5.3).
- The research focuses on the influence of the stacking sequence (configuration effect) on ballistic performance. The thickness ratio (1:5) was predefined as a fixed parameter; its optimal value and its interaction with the stacking sequence were not explored.
- Although the key parameters for the interfacial cohesive zone model were referenced from the literature, a parameter sensitivity analysis for these values was not conducted in this study.
5.3. Future Research Prospects
- Completing Closed-Loop Experimental Validation: Conduct ballistic limit (V50) tests on the baseline material (7A62) and representative optimized configurations (e.g., ABAB). Systematically compare the experimental results with simulation predictions to achieve a complete verification from material parameters to structural performance.
- Performing Multi-Parameter Collaborative Optimization: Systematically investigate the influence of key design parameters such as the thickness ratio and interface properties (strength, toughness). Conduct multi-variable collaborative optimization in conjunction with the stacking sequence to explore globally optimal designs.
- Extending to Complex Service Conditions: Expand the research to scenarios closer to real protective requirements, such as different projectile shapes, oblique penetration, and multiple impacts. Evaluate the universality and robustness of the configuration effects under these conditions.
5.4. Engineering Application Value
Author Contributions
Funding
Data Availability Statement
Conflicts of Interest
References
- Deng, Y.; Wu, H.; Zhang, Y.; Huang, X.; Xiao, X.; Lv, Y. Experimental and numerical study on the ballistic resistance of 6061-T651 aluminum alloy thin plates struck by different nose shapes of projectiles. Int. J. Impact Eng. 2022, 160, 104083. [Google Scholar] [CrossRef]
- Jung, J.; Cho, Y.J.; Kim, S.H.; Lee, Y.S.; Kim, H.J.; Lim, C.Y.; Park, Y.H. Microstructural and mechanical responses of various aluminum alloys to ballistic impacts by armor piercing projectile. Mater. Charact. 2020, 159, 110033. [Google Scholar] [CrossRef]
- Imran, M.; Khan, A.R.A. Characterization of Al-7075 metal matrix composites: A review. J. Mater. Res. Technol. 2019, 8, 3347–3356. [Google Scholar] [CrossRef]
- Senthil, K.; Iqbal, M.A.; Chandel, P.S.; Gupta, N. Study of the constitutive behavior of 7075-T651 aluminum alloy. Int. J. Impact Eng. 2017, 108, 171–190. [Google Scholar] [CrossRef]
- Perez-Bergquist, S.J.; Gray, I.I.I.G.T.R.; Cerreta, E.K.; Trujillo, C.P.; Perez-Bergquist, A. The dynamic and quasi-static mechanical response of three aluminum armor alloys: 5059, 5083 and 7039. Mater. Sci. Eng. A 2011, 528, 8733–8741. [Google Scholar] [CrossRef]
- Mondal, C.; Mishra, B.; Jena, P.K.; Kumar, K.S.; Bhat, T. Effect of heat treatment on the behavior of an AA7055 aluminum alloy during ballistic impact. Int. J. Impact Eng. 2011, 38, 745–754. [Google Scholar] [CrossRef]
- Dursun, T.; Soutis, C. Recent developments in advanced aircraft aluminium alloys. Mater. Des. (1980–2015) 2014, 56, 862–871. [Google Scholar] [CrossRef]
- Kamp, N.; Sinclair, I.; Starink, M.J. Toughness-strength relations in the overaged 7449 Al-based alloy. Metall. Mater. Trans. A 2002, 33, 1125–1136. [Google Scholar] [CrossRef]
- Alarcon, O.E.; Nazar, A.M.M.; Monteiro, W.A. The effect of microstructure on the mechanical behavior and fracture mechanism in a 7050-T76 aluminum alloy. Mater. Sci. Eng. A 1991, 138, 275–285. [Google Scholar] [CrossRef]
- Nakai, M.; Eto, T. New aspect of development of high strength aluminum alloys for aerospace applications. Mater. Sci. Eng. A 2000, 285, 62–68. [Google Scholar] [CrossRef]
- Min, F.; Gao, K.; Wei, W.; Wu, X.; Wen, S.; Huang, H.; Nie, Z.; Xiong, X.; Zhou, D.; Gao, X. Ballistic resistance of 7XXX laminate aluminum alloy plates and base alloys subjected to different projectiles. Int. J. Impact Eng. 2024, 191, 104998. [Google Scholar] [CrossRef]
- Ben-Dor, G.; Dubinsky, A.; Elperin, T. On the order of plates providing the maximum ballistic limit velocity of a layered armor. Int. J. Impact Eng. 1999, 22, 741–755. [Google Scholar] [CrossRef]
- Yunfei, D.; Wei, Z.; Yonggang, Y.; Lizhong, S.; Gang, W. Experimental investigation on the ballistic performance of double-layered plates subjected to impact by projectile of high strength. Int. J. Impact Eng. 2014, 70, 38–49. [Google Scholar] [CrossRef]
- Elek, P.; Jaramaz, S.; Micković, D. Modeling of perforation of plates and multi-layered metallic targets. Int. J. Solids Struct. 2005, 42, 1209–1224. [Google Scholar] [CrossRef]
- Liu, H.S.; Zhang, B.; Zhang, G.P. Enhanced toughness and fatigue strength of cold roll bonded Cu/Cu laminated composites with mechanical contrast. Scr. Mater. 2011, 65, 891–894. [Google Scholar] [CrossRef]
- Alic, J.A.; Danesh, A. Fracture of laminates combining 2024-T3 and 7075-T6 aluminum alloys. Eng. Fract. Mech. 1978, 10, 177–186. [Google Scholar] [CrossRef]
- Hassan, H.A.; Lewandowski, J.J. Laminated nanostructure composites with improved bend ductility and toughness. Scr. Mater. 2009, 61, 1072–1074. [Google Scholar] [CrossRef]
- Pozuelo, M.; Carreño, F.; Ruano, O.A. Delamination effect on the impact toughness of an ultrahigh carbon–mild steel laminate composite. Compos. Sci. Technol. 2006, 66, 2671–2676. [Google Scholar] [CrossRef]
- Pozuelo, M.; Carreño, F.; Cepeda-Jimenez, C.M.; Ruano, O. Effect of hot rolling on bonding characteristics and impact behavior of a laminated composite material based on UHCS-1.35 Pct C. Metall. Mater. Trans. A 2008, 39, 666–671. [Google Scholar] [CrossRef]
- Cepeda-Jiménez, C.M.; Pozuelo, M.; Garcia-Infanta, J.M.; Ruano, O.; Carreño, F. Influence of the alumina thickness at the interfaces on the fracture mechanisms of aluminium multilayer composites. Mater. Sci. Eng. A 2008, 496, 133–142. [Google Scholar] [CrossRef]
- Hassan, H.A.; Lewandowski, J.J.; Abd El-Latif, M.H. Effects of lamination and changes in layer thickness on fatigue-crack propagation of lightweight laminated metal composites. Metall. Mater. Trans. A 2004, 35, 45–52. [Google Scholar] [CrossRef]
- Tekyeh-Marouf, B.; Bagheri, R. Fracture behavior of multi-layered composites under impact loading. Mater. Sci. Eng. A 2007, 448, 20–24. [Google Scholar] [CrossRef]
- Cepeda-Jiménez, C.M.; Alderliesten, R.C.; Ruano, O.A.; Carreño, F. Damage tolerance assessment by bend and shear tests of two multilayer composites: Glass fibre reinforced metal laminate and aluminium roll-bonded laminate. Compos. Sci. Technol. 2009, 69, 343–348. [Google Scholar] [CrossRef]
- Cepeda-Jiménez, C.M.; Hidalgo, P.; Pozuelo, M.; Ruano, O.; Carreño, F. Influence of constituent materials on the impact toughness and fracture mechanisms of hot-roll-bonded aluminum multilayer laminates. Metall. Mater. Trans. A 2010, 41, 61–72. [Google Scholar] [CrossRef]
- Tekyeh-Marouf, B.; Bagheri, R.; Mahmudi, R. Effects of number of layers and adhesive ductility on impact behavior of laminates. Mater. Lett. 2004, 58, 2721–2724. [Google Scholar] [CrossRef]
- Cepeda-Jiménez, C.M.; Pozuelo, M.; Ruano, O.A.; Carreño, F. Influence of the thermomechanical processing on the fracture mechanisms of high strength aluminium/pure aluminium multilayer laminate materials. Mater. Sci. Eng. A 2008, 490, 319–327. [Google Scholar] [CrossRef]
- Børvik, T.; Hopperstad, O.S.; Berstad, T.; Langseth, M. A computational model of viscoplasticity and ductile damage for impact and penetration. Eur. J. Mech.-A/Solids 2001, 20, 685–712. [Google Scholar] [CrossRef]
- Iqbal, M.A.; Senthil, K.; Bhargava, P.; Gupta, N. The characterization and ballistic evaluation of mild steel. Int. J. Impact Eng. 2015, 78, 98–113. [Google Scholar] [CrossRef]
- Johnson, G.R. A constitutive model and data for metals subjected to large strains, high strain rates and high temperatures. In Proceedings of the 7th International Symposium on Ballistics, The Hague, The Netherlands, 19–21 April 1983. [Google Scholar]
- Choudhary, S.; Singh, P.K.; Khare, S.; Kumar, K.; Mahajan, P.; Verma, R.K. Ballistic impact behaviour of newly developed armour grade steel: An experimental and numerical study. Int. J. Impact Eng. 2020, 140, 103557. [Google Scholar] [CrossRef]
- Iqbal, M.A.; Chakrabarti, A.; Beniwal, S.; Gupta, N. 3D numerical simulations of sharp nosed projectile impact on ductile targets. Int. J. Impact Eng. 2010, 37, 185–195. [Google Scholar] [CrossRef]
- Kılıç, N.; Ekici, B. Ballistic resistance of high hardness armor steels against 7.62 mm armor piercing ammunition. Mater. Des. 2013, 44, 35–48. [Google Scholar] [CrossRef]
- Clausen, A.H.; Børvik, T.; Hopperstad, O.S.; Benallal, A. Flow and fracture characteristics of aluminium alloy AA5083–H116 as function of strain rate, temperature and triaxiality. Mater. Sci. Eng. A 2004, 364, 260–272. [Google Scholar] [CrossRef]
- Børvik, T.; Langseth, M.; Hopperstad, O.S.; Malo, K. Ballistic penetration of steel plates. Int. J. Impact Eng. 1999, 22, 855–886. [Google Scholar] [CrossRef]
- Khare, S.; Kumar, K.; Choudhary, S.; Singh, P.K.; Verma, R.K.; Mahajan, P. Determination of Johnson–Cook material parameters for armour plate using DIC and FEM. Met. Mater. Int. 2021, 27, 4984–4995. [Google Scholar] [CrossRef]
- McClintock, F.A. A criterion for ductile fracture by the growth of holes. J. Appl. Mech. 1968, 35, 363–371. [Google Scholar] [CrossRef]
- Hancock, J.W.; Mackenzie, A.C. On the mechanisms of ductile failure in high-strength steels subjected to multi-axial stress-states. J. Mech. Phys. Solids 1976, 24, 147–160. [Google Scholar] [CrossRef]
- Johnson, G.R.; Cook, W.H. Fracture characteristics of three metals subjected to various strains, strain rates, temperatures and pressures. Eng. Fract. Mech. 1985, 21, 31–48. [Google Scholar] [CrossRef]
- Wang, J.; Guo, W.; Guo, J.; Wang, Z.; Lu, S. The effects of stress triaxiality, temperature and strain rate on the fracture characteristics of a nickel-base superalloy. J. Mater. Eng. Perform. 2016, 25, 2043–2052. [Google Scholar] [CrossRef]
- Wan, R.; Long, Z.; Cui, Y. Strain-hardening and failure mechanisms of metallic glasses under triaxial stress. Intermetallics 2024, 167, 108210. [Google Scholar] [CrossRef]























| Alloys | Si | Fe | Cu | Mn | Mg | Cr | Zn | Ti | Zr | Al |
|---|---|---|---|---|---|---|---|---|---|---|
| 7A52 | 0.05 | 0.14 | 0.11 | 0.31 | 2.42 | 0.19 | 4.39 | 0.08 | 0.11 | Bal. |
| 7A62 | 0.05 | 0.11 | 0.30 | 0.43 | 2.86 | 0.15 | 6.98 | 0.06 | 0.10 | Bal. |
| 7A01 | 0.05 | 0.14 | <0.01 | <0.01 | <0.01 | <0.01 | 1.02 | 0.01 | — | Bal. |
| Notched Bar Specimens | ||
|---|---|---|
| 7A52 () | 0.33 | 0.71 |
| 7A52 () | 0.44 | 0.45 |
| 7A52 () | 0.62 | 0.18 |
| 7A52 () | 0.74 | 0.13 |
| 7A62 () | 0.33 | 0.14 |
| 7A62 () | 0.61 | 0.14 |
| 7A62 () | 0.74 | 0.12 |
| 7A62 () | 0.89 | 0.11 |
| Materials | A | B | n | C | m | |||||
|---|---|---|---|---|---|---|---|---|---|---|
| 7A52 | 368 | 735 | 0.72 | 0.023 | 0.91 | 0.02 | 1.67 | 2.65 | 0.036 | 0.65 |
| 7A62 | 583 | 812 | 0.79 | 0.025 | 0.63 | 0.09 | 0.18 | 6.87 | 0.016 | 12.95 |
| Category | Parameter | Symbol | Value | Note/Source |
|---|---|---|---|---|
| Linear Elastic | Young’s Modulus | E | 70 GPa | |
| Poisson’s Ratio | ν | 0.33 | Dimensionless | |
| Cohesive Zone Model | Normal/Shear Strength | 94 MPa | [11] | |
| Critical Failure Displacement | 0.1 mm | [11] | ||
| Mode-I Fracture Energy | 4.7 N/mm | |||
| Mode-II Fracture Energy | 4.7 N/mm | Assumed | ||
| Normal Initial Stiffness | 1 × 105 N/mm3 | Engineering value for explicit analysis stability | ||
| Shear Initial Stiffness | 1 × 105 N/mm3 | Same as above |
| Configurations | Initial Velocity (m/s) | Residual Velocity (m/s) |
|---|---|---|
| A(7A52) | 828 | 480 |
| B(7A62) | 351 | |
| AB | 363 | |
| BA | 407 | |
| ABAB | 256 | |
| BABA | 310 | |
| BAAB | 272 | |
| ABBA | 305 |
| Configurations | Plastic Dissipation Energy (J) | Damage Dissipation Energy (J) | Sum of Plastic and Damage Dissipation Energy (J) |
|---|---|---|---|
| A(7A52) | 401.0 | 0.9 | 401.9 |
| B(7A62) | 270.4 | 149.2 | 419.2 |
| AB | 324.2 | 133.2 | 457.4 |
| BA | 275.8 | 152.1 | 427.9 |
| ABAB | 335.2 | 144.9 | 480.1 |
| BABA | 310.6 | 145.7 | 456.3 |
| BAAB | 336.4 | 136.0 | 472.4 |
| ABBA | 301.6 | 164.1 | 465.7 |
Disclaimer/Publisher’s Note: The statements, opinions and data contained in all publications are solely those of the individual author(s) and contributor(s) and not of MDPI and/or the editor(s). MDPI and/or the editor(s) disclaim responsibility for any injury to people or property resulting from any ideas, methods, instructions or products referred to in the content. |
© 2026 by the authors. Licensee MDPI, Basel, Switzerland. This article is an open access article distributed under the terms and conditions of the Creative Commons Attribution (CC BY) license.
Share and Cite
Wang, Q.; Yin, M.; Zhou, J.; Liu, X.; Zhang, H.; Mei, R.; Chen, Z.; Cao, Y.; Wang, Q.; Cong, F.; et al. Ballistic Performance of 7A52/7A62 Aluminum Alloy Laminates: A Numerical Investigation of Configuration Effect. Materials 2026, 19, 179. https://doi.org/10.3390/ma19010179
Wang Q, Yin M, Zhou J, Liu X, Zhang H, Mei R, Chen Z, Cao Y, Wang Q, Cong F, et al. Ballistic Performance of 7A52/7A62 Aluminum Alloy Laminates: A Numerical Investigation of Configuration Effect. Materials. 2026; 19(1):179. https://doi.org/10.3390/ma19010179
Chicago/Turabian StyleWang, Qunjiao, Meilin Yin, Jiangong Zhou, Xinyu Liu, Hui Zhang, Ruibin Mei, Zejun Chen, Yu Cao, Qiang Wang, Fuguan Cong, and et al. 2026. "Ballistic Performance of 7A52/7A62 Aluminum Alloy Laminates: A Numerical Investigation of Configuration Effect" Materials 19, no. 1: 179. https://doi.org/10.3390/ma19010179
APA StyleWang, Q., Yin, M., Zhou, J., Liu, X., Zhang, H., Mei, R., Chen, Z., Cao, Y., Wang, Q., Cong, F., & Zhang, Y. (2026). Ballistic Performance of 7A52/7A62 Aluminum Alloy Laminates: A Numerical Investigation of Configuration Effect. Materials, 19(1), 179. https://doi.org/10.3390/ma19010179

