Effect of Air-Polishing on 3D Surface Integrity of Composite Dental Restorations—Comparison of Three Different Powders with Reduced Abrasiveness
Abstract
1. Introduction
2. Materials and Methods
3. Results
4. Discussion
5. Conclusions
- This research presents novel quantitative data based on the high-precision volumetric measurement of the abrasive effect of the commonly used low-abrasive air-polishing materials on composite restorative materials. The results showed that the powder that had the most conservative effect was the one that resulted in the greatest preservation of the composite’s integrity. This powder was found to be glycine.
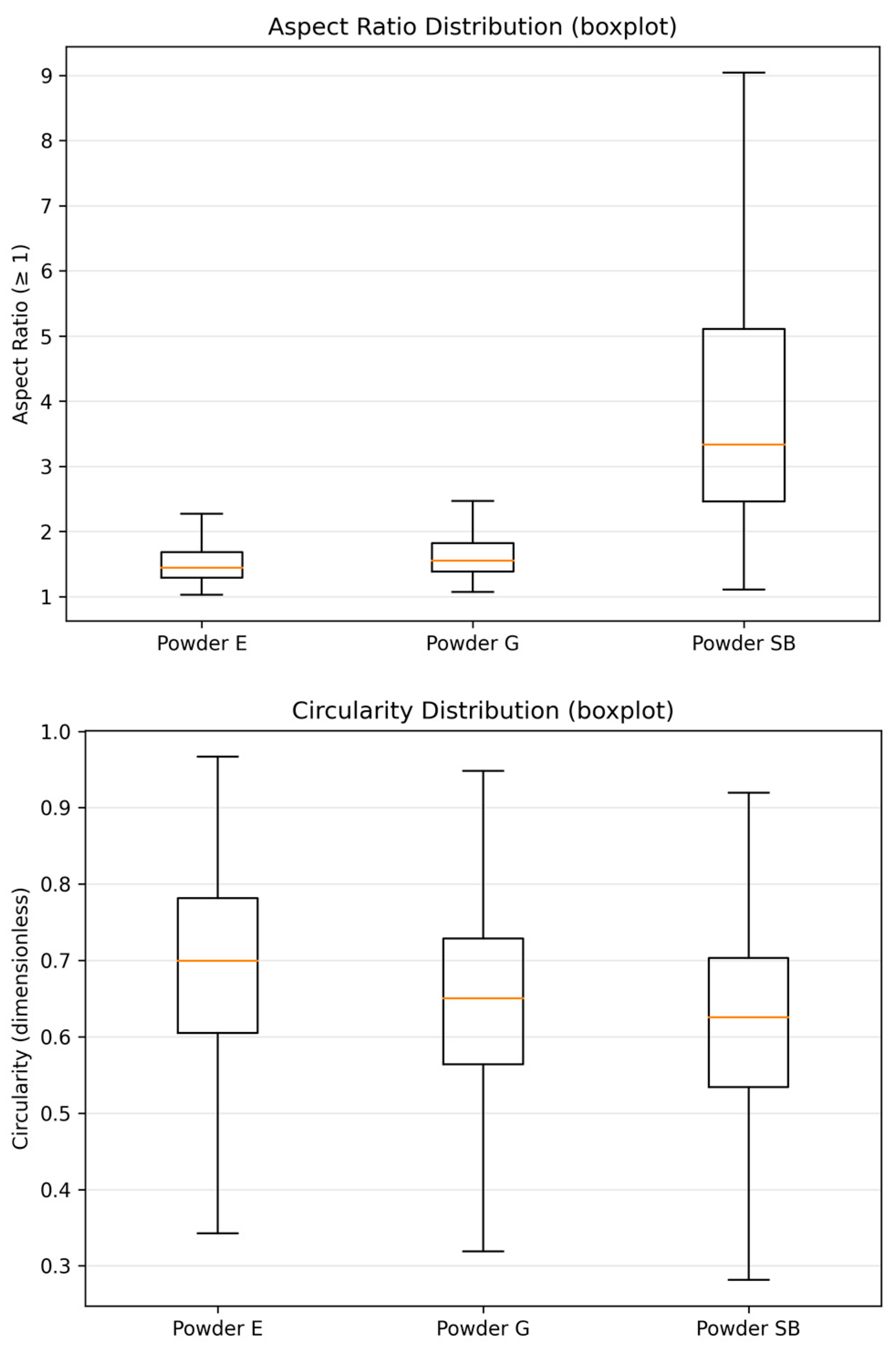
- The amounts of abrasion caused by erythritol and sodium bicarbonate were found to be equivalent, which suggests that, for the powders tested under the present conditions, particle size alone does not necessarily predict their abrasive characteristics. Scanning electron microscopy (SEM) particle characterization analysis (N = 1600 for each powder) showed variation in particle size, distribution width and shape between each of the powders. Sodium bicarbonate was seen to have a higher aspect ratio and a lower circularity than both erythritol and glycine. The observations reported above emphasize the importance of selecting the powder carefully during the prophylactic procedure when there are composite restorations in the vicinity.
- The results must be seen in the context of the limitations of the study: it was an in vitro experiment involving only one type of composite restorative material. Future studies must consider the role of various restorative materials, cyclic challenges involving prophylaxis methods, the effect of biofilm formation and the realities of clinical practices. This will be crucial for the development of advanced clinical practices involving the coexistence of efficient biofilm removal methods and the prolonged longevity of restorative materials.
Author Contributions
Funding
Institutional Review Board Statement
Informed Consent Statement
Data Availability Statement
Conflicts of Interest
References
- Pihlstrom, B.L.; Michalowicz, B.S.; Johnson, N.W. Periodontal diseases. Lancet 2005, 366, 1809–1820. [Google Scholar] [CrossRef]
- Arweiler, N.B.; Netuschil, L. The oral microbiota. Adv. Exp. Med. Biol. 2016, 902, 45–60. [Google Scholar]
- Kinane, D.F.; Stathopoulou, P.G.; Papapanou, P.N. Periodontal diseases. Nat. Rev. Dis. Primers 2017, 3, 17038. [Google Scholar] [CrossRef]
- Sculean, A.; Bastendorf, K.D.; Becker, C.; Bush, B.; Einwag, J.; Lanoway, C.; Platzer, U.; Schmage, P.; Schoeneich, B.; Walter, C.; et al. A paradigm shift in mechanical biofilm management? Subgingival air polishing: A new way to improve mechanical biofilm management in the dental practice. Quintessence Int. 2013, 44, 475–477. [Google Scholar]
- Graumann, S.J.; Sensat, M.L.; Stoltenberg, J.L. Air polishing: A review of current literature. J. Dent. Hyg. 2013, 87, 173–180. [Google Scholar]
- Gartenmann, S.J.; Thurnheer, T.; Attin, T.; Schmidlin, P.R. Influence of ultrasonic tip distance and orientation on biofilm removal. Clin. Oral Investig. 2017, 21, 1029–1036. [Google Scholar] [CrossRef]
- Kruse, A.B.; Fortmeier, S.; Vach, K.; Hellwig, E.; Ratka-Krüger, P.; Schlueter, N. Impact of air-polishing using erythritol on surface roughness and substance loss in dental hard tissue: An ex vivo study. PLoS ONE 2024, 19, e0286672. [Google Scholar] [CrossRef]
- Petersilka, G.J.; Bell, M.; Mehl, A.; Hickel, R.; Flemmig, T.F. Root defects following air polishing. Clin. Periodontol. 2003, 30, 165–170. [Google Scholar] [CrossRef]
- Pelka, M.; Trautmann, S.; Petschelt, A.; Lohbauer, U. Influence of air-polishing devices and abrasives on root dentin: An in vitro confocal laser scanning microscope study. Quintessence Int. 2010, 41, e141–e148. [Google Scholar]
- Petersilka, G.J.; Bell, M.; Häberlein, I.; Mehl, A.; Hickel, R.; Flemmig, T.F. In vitro evaluation of novel low abrasive air polishing powders. J. Clin. Periodontol. 2003, 30, 9–13. [Google Scholar] [CrossRef]
- Pelka, M.A.; Altmaier, K.; Petschelt, A.; Lohbauer, U. The effect of air-polishing abrasives on wear of direct restoration materials and sealants. J. Am. Dent. Assoc. 2010, 141, 63–70. [Google Scholar] [CrossRef]
- Giacomelli, L.; Salerno, M.; Derchi, G.; Genovesi, A.; Paolo Paganin, P.; Covani, U. Effect of air polishing with glycine and bicarbonate powders on a nanocomposite used in dental restorations: An in vitro study. Int. J. Periodontics Restorative Dent. 2011, 31, e51–e56. [Google Scholar]
- Salerno, M.; Giacomelli, L.; Derchi, G.; Patra, N.; Diaspro, A. Atomic force microscopy in vitro study of surface roughness and fractal character of a dental restoration composite after air-polishing. Biomed. Eng. Online 2010, 9, 59. [Google Scholar] [CrossRef]
- Müller, N.; Moëne, R.; Cancela, J.A.; Mombelli, A. Subgingival air-polishing with erythritol during periodontal maintenance: Randomized clinical trial of twelve months. J. Clin. Periodontol. 2014, 41, 883–889. [Google Scholar] [CrossRef]
- Flemmig, T.F.; Hetzel, M.; Topoll, H.; Gerss, J.; Haeberlein, I.; Petersilka, G. Subgingival debridement efficacy of glycine powder air polishing. J. Clin. Periodontol. 2007, 78, 1002–1010. [Google Scholar] [CrossRef]
- Hägi, T.T.; Hofmänner, P.; Salvi, G.E.; Ramseier, C.A.; Sculean, A. Clinical outcomes following subgingival application of a novel erythritol powder by means of air polishing in supportive periodontal therapy: A randomized, controlled clinical study. Quintessence Int. 2013, 44, 753–758. [Google Scholar]
- Cobb, C.M.; Daubert, D.M.; Davis, K.; Deming, J.; Flemmig, T.F.; Pattison, A.; Roulet, J.F.; Stambaugh, R.V. Consensus conference findings on supragingival and subgingival air polishing. Compend. Contin. Educ. Dent. 2017, 38, e1–e4. [Google Scholar]
- Camboni, S.; Donnet, M. Tooth surface comparison after air polishing and rubber cup: A scanning electron microscopy study. J. Clin. Dent. 2016, 27, 13–18. [Google Scholar]
- Janiszewska-Olszowska, J.; Drozdzik, A.; Tandecka, K.; Grocholewicz, K. Effect of air-polishing on surface roughness of composite dental restorative material: Comparison of three different air-polishing powders. BMC Oral Health 2020, 20, 30. [Google Scholar] [CrossRef]
- Reinhart, D.; Singh-Hüsgen, P.; Zimmer, S.; Bizhang, M. In-vitro influence of the use of an erythritol powder through air polishing on the surface roughness and abrasiveness of various restorative materials. PLoS ONE 2022, 17, e0270938. [Google Scholar] [CrossRef]
- Teughels, W.; Van Assche, N.; Sliepen, I.; Quirynen, M. Effect of material characteristics and/or surface topography on biofilm development. Clin. Oral Implants Res. 2006, 17, 68–81. [Google Scholar] [CrossRef]
- Nedeljkovic, I.; De Munck, J.; Ungureanu, A.A.; Slomka, V.; Bartic, C.; Vananroye, A.; Clasen, C.; Teughels, W.; Van Meerbeek, B.; Van Landuyt, K.L. Biofilm-induced changes to the composite surface. J. Dent. 2017, 63, 36–43. [Google Scholar] [CrossRef]
- Güler, A.U.; Duran, I.; Yücel, A.Ç.; Özkan, P. Effects of air-polishing powders on color stability of composite resins. J. Appl. Oral Sci. 2011, 19, 505–510. [Google Scholar] [CrossRef]
- Shimizu, Y.; Tada, K.; Seki, H.; Kakuta, K.; Miyagawa, Y.; Shen, J.F.; Morozumi, Y.; Kamoi, H.; Sato, S. Effects of air polishing on the resin composite-dentin interface. Odontology 2014, 102, 279–283. [Google Scholar] [CrossRef]
- Németh, K.D.; Haluszka, D.; Seress, L.; Lovász, B.V.; Szalma, J.; Lempel, E. Effect of air-polishing and different post-polishing methods on surface roughness of nanofill and microhybrid resin composites. Polymers 2022, 14, 1643. [Google Scholar] [CrossRef] [PubMed]
- Lennemann, T. Air polishing: Overview. Can. J. Dent. Hyg. 2011, 45, 145–148. [Google Scholar]
- Neme, A.L.; Frazier, K.B.; Roeder, L.B.; Debner, T.L. Effect of prophylactic polishing protocols on the surface roughness of esthetic restorative materials. Oper. Dent. 2002, 27, 50–58. [Google Scholar]
- Sahrmann, P.; Ronay, V.; Schmidlin, P.R.; Attin, T.; Paqué, F. Three-dimensional defect evaluation of air polishing on extracted human roots. J. Periodontol. 2014, 85, 1107–1114. [Google Scholar] [CrossRef]
- Bühler, J.; Amato, M.; Weiger, R.; Walter, C. A systematic review on the effects of air polishing devices on oral tissues. Int. J. Dent. Hyg. 2016, 14, 15–28. [Google Scholar] [CrossRef]
- Guma, E.; Kiliaridis, S.; Scherrer, S.S.; Antonarakis, G.S. An in vitro evaluation of the effects of air-polishing powders on sound and demineralized enamel. Materials 2023, 16, 4811. [Google Scholar] [CrossRef]
- Barnes, C.M.; Covey, D.; Watanabe, H.; Simetich, B.; Schulte, J.R.; Chen, H. An in vitro comparison of the effects of various air polishing powders on enamel and selected esthetic restorative materials. J. Clin. Dent. 2014, 25, 76–87. [Google Scholar] [PubMed]
- Johnson, W.W.; Barnes, C.M.; Covey, D.A.; Walker, M.P.; Ross, J.A. The effects of a commercial aluminum air polishing powder on dental restorative materials. J. Prosthodont. 2004, 13, 166–172. [Google Scholar] [CrossRef] [PubMed][Green Version]
- Hägi, T.T.; Hofmänner, P.; Eick, S.; Donnet, M.; Salvi, G.E.; Sculean, A.; Ramseier, C.A. The effects of erythritol air-polishing powder on microbiologic and clinical outcomes during supportive periodontal therapy: Six-month results of a randomized controlled clinical trial. Quintessence Int. 2015, 46, 31–41. [Google Scholar]
- Erdemir, U.; Sancakli, H.S.; Yildiz, E. The effect of one-step and multi-step polishing systems on the surface roughness and microhardness of novel resin composites. Eur. J. Dent. 2012, 6, 198–205. [Google Scholar] [CrossRef] [PubMed]
- Pala, K.; Tekçe, N.; Tuncer, S.; Demirci, M. Evaluation of the surface hardness, roughness, gloss and color of composites after different finishing/polishing treatments and thermocycling using a multitechnique approach. Dent. Mater. J. 2016, 35, 278–289. [Google Scholar] [CrossRef]
- Eliades, G.C.; Tzoutzas, J.G.; Vougiouklakis, G.J. Surface alterations on dental restorative materials subjected to an air-powder abrasive instrument. J. Prosthet. Dent. 1991, 65, 27–33. [Google Scholar] [CrossRef]





| Group | SB | G | E | Legend of Depths |
|---|---|---|---|---|
![]() | ![]() | ![]() | ![]() |
| Group SB Specimen Number | Composite Loss | ||||||
|---|---|---|---|---|---|---|---|
| Depth [µm] | Volume [mm3] | Area [mm2] | Volume Per Unit Area [mm3/mm2] | ||||
| Mean | SD | Max | Min | ||||
| 1 | 4.216 | 0.5962 | 19.392 | 1.355 | 0.191585577 | 46.56 | 0.004114811 |
| 2 | 4.017 | 0.5992 | 10.127 | 0.7858 | 0.180036058 | 43.15 | 0.00417233 |
| 3 | 3.316 | 0.5218 | 22.69 | 1.086 | 0.031945778 | 9.35 | 0.003416661 |
| 4 | 3.17 | 0.5983 | 16.25 | 1.505 | 0.034642474 | 8.73 | 0.00396821 |
| 5 | 3.935 | 0.5583 | 8.577 | 0.5964 | 0.070196152 | 17.21 | 0.0040788 |
| 6 | 1.884 | 0.2305 | 8.518 | 1.013 | 0.032735149 | 17.81 | 0.001838021 |
| 7 | 3.62 | 0.384 | 13.65 | 1.794 | 0.108098293 | 40.98 | 0.00263783 |
| 8 | 3.1335 | 0.497 | 6.132 | 1.7314 | 0.103669555 | 29.84 | 0.003474181 |
| 9 | 5.46 | 0.7357 | 16.91 | 1.085 | 0.12695771 | 24.23 | 0.005239691 |
| 10 | 7.19 | 1.022 | 18.86 | 2.99 | 0.109392243 | 13.98 | 0.00782491 |
| 11 | 3.8 | 0.4264 | 5.979 | 1.773 | 0.070751168 | 22.81 | 0.003101761 |
| 12 | 3.53 | 0.4605 | 8.199 | 0.4288 | 0.093971175 | 28.68 | 0.00327654 |
| 13 | 4.056 | 0.5588 | 7.326 | 0.8056 | 0.072387522 | 18.43 | 0.003927701 |
| 14 | 1.715 | 0.2496 | 10.17 | 1.207 | 0.05365771 | 31.06 | 0.00172755 |
| 15 | 6.362 | 1.148 | 29.48 | 3.916 | 0.139662028 | 21.91 | 0.006374351 |
| 16 | 2.328 | 0.36 | 6.213 | 0.6522 | 0.092185967 | 37.18 | 0.00247945 |
| Mean | 0.09449 | 25.74437 | 0.00385 | ||||
| SD | 0.04827 | 11.73131 | 0.00158 | ||||
| Max | 0.19159 | 46.56000 | 0.00782 | ||||
| Min | 0.031946 | 8.730000 | 0.001728 | ||||
| Group G Specimen number | Composite loss | ||||||
| Depth [µm] | Volume [mm3] | Area [mm2] | Volume per unit area [mm3/mm2] | ||||
| Mean | SD | Max | Min | ||||
| 1 | 2.575 | 0.298 | 4.8226 | 1.249 | 0.045144014 | 22.00 | 0.002052001 |
| 2 | 2.325 | 0.3433 | 8.196 | 1.29 | 0.03315761 | 14.01 | 0.00236671 |
| 3 | 2.146 | 0.2832 | 4.76 | 0.4185 | 0.053253381 | 27.75 | 0.001919041 |
| 4 | 1.884 | 0.2613 | 3.839 | 0.2613 | 0.04388874 | 22.96 | 0.00191153 |
| 5 | 2.681 | 0.3036 | 4.068 | 0.5681 | 0.025935801 | 9.80 | 0.00264651 |
| 6 | 1.97 | 0.3357 | 9.207 | 0.9491 | 0.015797062 | 8.90 | 0.001774951 |
| 7 | 1.943 | 0.2679 | 5.361 | 1.078 | 0.023269405 | 11.76 | 0.001978691 |
| 8 | 2.709 | 0.3009 | 8.885 | 0.2098 | 0.036195177 | 17.71 | 0.002043771 |
| 9 | 3.813 | 0.5549 | 9.554 | 0.3415 | 0.100635979 | 30.14 | 0.003338951 |
| 10 | 3.247 | 0.3629 | 5.991 | 0.3078 | 0.087529138 | 34.95 | 0.00250441 |
| 11 | 3.06 | 0.3121 | 6.46 | 0.9424 | 0.08525218 | 37.83 | 0.00225356 |
| 12 | 2.925 | 0.2991 | 4.448 | 0.9631 | 0.042171231 | 20.51 | 0.00205613 |
| 13 | 2.182 | 0.3154 | 3.895 | 0.5586 | 0.033405925 | 15.56 | 0.00214691 |
| 14 | 2.856 | 0.4103 | 6.786 | 0.9961 | 0.09698348 | 32.04 | 0.00302695 |
| 15 | 3.98 | 0.4766 | 10.6 | 0.5471 | 0.129584068 | 41.55 | 0.00311875 |
| 16 | 2.405 | 0.3513 | 5.962 | 0.2826 | 0.02601571 | 10.40 | 0.002501511 |
| Mean | 0.0548886813 | 22.366875 | 0.00235252356 | ||||
| SD | 0.0339557958 | 10.5993432 | 0.000471039575 | ||||
| Max | 0.129584068 | 41.55 | 0.003338951 | ||||
| Min | 0.015797062 | 8.9 | 0.001774951 | ||||
| Group E Specimen number | Composite loss | ||||||
| Depth [µm] | Volume [mm3] | Area [mm2] | Volume per unit area [mm3/mm2] | ||||
| Mean | SD | Max | Min | ||||
| 1 | 4.49 | 1.008 | 17.61 | 2.502 | 0.183729179 | 26.58 | 0.006912309 |
| 2 | 3.975 | 0.4342 | 7.928 | 0.5168 | 0.118947668 | 16.33 | 0.007283997 |
| 3 | 3.137 | 0.3791 | 5.629 | 0.4735 | 0.366920822 | 36.76 | 0.009981524 |
| 4 | 3.307 | 0.3297 | 5.103 | 0.1818 | 0.040681361 | 16.74 | 0.002430189 |
| 5 | 5.077 | 0.452 | 7.751 | 0.5167 | 0.130081497 | 38.53 | 0.003376109 |
| 6 | 2.355 | 0.335 | 4.358 | 0.8473 | 0.064215606 | 25.91 | 0.00247841 |
| 7 | 2.698 | 0.3937 | 8.217 | 0.5867 | 0.12644239 | 49.93 | 0.002532393 |
| 8 | 4.481 | 0.5303 | 7.77 | 0.525 | 0.073163292 | 14.69 | 0.004980483 |
| 9 | 5.852 | 0.5809 | 8.611 | 0.5323 | 0.055368108 | 13.17 | 0.004204108 |
| 10 | 2.971 | 0.3511 | 8.654 | 1.091 | 0.046374874 | 19.21 | 0.002414101 |
| 11 | 3.414 | 0.2328 | 7.354 | 0.9759 | 0.034845036 | 22.88 | 0.001522947 |
| 12 | 5.254 | 0.8124 | 13.97 | 0.4758 | 0.185893895 | 34.98 | 0.005314291 |
| 13 | 4.205 | 0.321 | 8.662 | 0.4935 | 0.045134566 | 20.30 | 0.002223378 |
| 14 | 2.652 | 0.3602 | 8.455 | 0.44 | 0.06287836 | 22.29 | 0.002820922 |
| 15 | 6.992 | 0.3176 | 13.88 | 0.908 | 0.067380058 | 28.41 | 0.002371702 |
| 16 | 3.133 | 0.4168 | 15.46 | 0.5236 | 0.036143699 | 13.54 | 0.002669402 |
| Mean | 0.102387526 | 25.015625 | 0.00396976656 | ||||
| SD | 0.0862821533 | 10.474853 | 0.00234808473 | ||||
| Max | 0.366920822 | 49.93 | 0.009981524 | ||||
| Min | 0.034845036 | 13.17 | 0.001522947 | ||||
| Estimated Marginal Mean and Confidence Intervals of Mean Defect Depth (µm) | ||
|---|---|---|
| Air powder | EMM | CI 95% |
| Sodium bicarbonate | 3.68 | 3.13–4.22 |
| Glycine | 2.66 | 2.11–3.20 |
| Erythritol | 3.81 | 3.26–4.35 |
| Estimated marginal mean and confidence intervals of maximum defect depth (µm) | ||
| Air powder | EMM | CI 95% |
| Sodium bicarbonate | 11.63 | 9.49–13.77 |
| Glycine | 6.43 | 4.29–8.56 |
| Erythritol | 9.04 | 6.90–11.18 |
| Estimated marginal mean and confidence intervals of volume lost (mm3) | ||
| Air powder | EMM | CI 95% |
| Sodium bicarbonate | 0.09 | 0.07–0.11 |
| Glycine | 0.05 | 0.03–0.08 |
| Erythritol | 0.08 | 0.06–0.11 |
| Estimated marginal mean and confidence intervals of area affected (mm2) | ||
| Air powder | EMM | CI 95% |
| Sodium bicarbonate | 25.36 | 19.76–30.96 |
| Glycine | 22.17 | 16.57–27.77 |
| Erythritol | 24.43 | 18.83–30.04 |
| Estimated marginal mean and confidence intervals for the volume lost per unit of area affected (mm3/mm2) × 10−3 | ||
| Air powder | EMM | CI 95% |
| Sodium bicarbonate | 3.62 | 3.11–4.13 |
| Glycine | 2.35 | 1.84–2.86 |
| Erythritol | 3.20 | 2.69–3.71 |
| Mean Depth | |||||
|---|---|---|---|---|---|
| Contrast | Estimate, µm | SE, µm | z | p | d |
| Sodium bicarbonate—Glycine | 1.02 | 0.39 | 2.60 | 0.028 | 0.85 |
| Sodium bicarbonate—Erythritol | −0.13 | 0.39 | −0.33 | 0.983 | −0.11 |
| Glycine—Erythritol | −1.15 | 0.39 | −2.93 | 0.010 | −0.96 |
| Maximum Depth | |||||
| Contrast | Estimate, µm | SE, µm | z | p | d |
| Sodium bicarbonate—Glycine | 5.20 | 1.54 | 3.37 | 0.002 | 1.07 |
| Sodium bicarbonate—Erythritol | 2.59 | 1.54 | 1.68 | 0.254 | 0.54 |
| Glycine—Erythritol | −2.61 | 1.54 | −1.69 | 0.247 | −0.54 |
| Volume | |||||
| Contrast | Estimate, mm3 | SE, mm3 | z | p | d |
| Sodium bicarbonate—Glycine | 0.04 | 0.02 | 2.26 | 0.069 | 0.59 |
| Sodium bicarbonate—Erythritol | 0.01 | 0.02 | 0.40 | 0.970 | 0.10 |
| Glycine—Erythritol | −0.03 | 0.02 | −1.86 | 0.175 | −0.49 |
| Area Affected | |||||
| Contrast | Estimate, mm2 | SE, mm2 | z | p | d |
| Sodium bicarbonate—Glycine | 3.19 | 4.04 | 0.79 | 0.814 | 0.29 |
| Sodium bicarbonate—Erythritol | 0.92 | 4.04 | 0.23 | 0.994 | 0.08 |
| Glycine—Erythritol | −2.27 | 4.04 | −0.56 | 0.923 | −0.21 |
| Volume Lost Per Unit of Area Affected | |||||
| Contrast | Estimate, [(mm3/mm2) × 10−3] | SE, [(mm3/mm2) × 10−3] | z | p | d |
| Sodium bicarbonate—Glycine | 1.26 | 0.37 | 3.43 | 0.001 | 0.73 |
| Sodium bicarbonate—Erythritol | 0.41 | 0.37 | 1.12 | 0.598 | 0.24 |
| Glycine—Erythritol | −0.85 | 0.37 | −2.31 | 0.061 | −0.49 |
| Powder | N | ECD Mean ± SD (µm) | ECD Min–Max (µm) | ECD D10/D50/D90 (µm) | Aspect Ratio Median [Q1–Q3] | Circularity Median [Q1–Q3] | Circularity Min–Max |
|---|---|---|---|---|---|---|---|
| E | 1600 | 16.86 ± 7.23 | 0.64–51.31 | 8.98/15.64/26.73 | 1.439 [1.290–1.683] | 0.699 [0.605–0.782] | 0.129–0.967 |
| G | 1600 | 25.22 ± 11.60 | 0.64–79.90 | 11.39/24.55/39.64 | 1.551 [1.384–1.818] | 0.650 [0.564–0.729] | 0.050–0.948 |
| SB | 1600 | 23.65 ± 12.42 | 0.64–95.79 | 10.87/22.15/37.51 | 3.333 [2.458–5.104] | 0.625 [0.534–0.703] | 0.038–0.920 |
| Author, Year, [Ref. No] | Air Powders Used | Composite Material Analyzed | Methods | Main Findings |
|---|---|---|---|---|
| Pelka et al., 2010 [11] | Two sodium bicarbonate powders (no particle size provided) and glycine powder | Nanofilled hybrid composite (Tetric Evo Ceram), two nanofilled flowable composites (Tetric Flow, Grandio Flow) | Profilometric scanning to assess depths and volumes | Air-polishing resulted in substance loss. Defect depth and volume loss were material-dependent, with flowable composites experiencing the greatest damage. Glycine powder caused the least damage to all materials tested. |
| Salerno et al., 2010 [13] | Sodium bicarbonate and glycine | Light-curing, universal hybrid composite Venus Diamond (Kulzer) | Atomic force microscopy, fractal analysis | Glycine was producing the least surface roughening, correlated with the disappearance of the surface fractal character. |
| Güler et al., 2011 [23] | Sodium bicarbonate versus prophylaxis powder of calcium phosphate and colloidal anhydrous silica in addition to sodium bicarbonate | Reinforced nanofill composite (Aelite Esthetic Enamel), Silorane resin (Filtek Silorane), microhybrid/hybrid (Filtek Z250), microhybrid/hybrid (Quixfil), nanohybrid (CeramX mono), nanohybrid (Grandio), microhybrid/hybrid (IntenS) | Contact profilometry, SEM | Air-polishing increased the surface roughness of all of the composite resin restorative materials tested. Surface roughening is material-dependent in respect to the composite and powder. Sodium bicarbonate was associated with lower Ra values than the latter powder. |
| Giacomelli et al., 2011 [12] | Glycine powder sodium bicarbonate powder | Nanohybrid composite resin (Venus Diamond, Heraeus Kulzer) | Atomic force microscopy | Air-polishing caused surface damage. Glycine causes less surface damage than sodium bicarbonate |
| Barnes et al., 2014 [31] | Sodium bicarbonate 74 µm, Aluminum trihydroxide 80–325 µm calcium carbonate 55 µm, glycine 20–25 µm, calcium sodium phosphosilicate (novamin) 25–120 µm | Light cure hybrid composite (Point 4, Kerr) | Contact profilometry, analysis of epoxy replicas in SEM | No statistically significant difference between the change in surface characterization produced by glycine and sodium bicarbonate. Calcium carbonate, aluminum trihydroxide and sodium bicarbonate powders produced significantly statistically greater changes in surface abrasion of the hybrid composite than glycine or sodium bicarbonate. Calcium sodium phosphosilicate produced the greatest amount of abrasion. Glycine produced the smoothest surfaces. |
| Janiszewska-Olszowska et al., 2020 [19] | Bicarbonate 40 µm, glicyne 25 µm and erythritol 14 µm | Hybrid composite (Charisma) | 3D surface Roughness assessment under confocal microscopy | Sodium bicarbonate had a stronger detrimental effect on composite surface than glycine or erythritol. No advantage of erythritol compared to glycine could be found. |
| Reinhart et al., 2022 [20] | Erythritol compared with perlite prophy paste in simulated use for 10 years | Nanocomposite (Ceram X Spectra TM ST, Dentsply) | 3D surface roughness and abrasion assessment under confocal microscopy following a simulated 10-year interval of prophylactic maintenance | The use of erythritol powder resulted in lower abrasion and roughness compared to Cleanic Prophy Paste (Kerr, Kloten, Switzerland) applied for 200 s with a force of 1.5 N, set with a spring balance. |
| Németh et al., 2022 [25] | calcium carbonate 54 μm prophylactic powder (Mohs Hardness Index: 3 | Nanofill (Filtek Ultimate) and microhybrid (Enamel Plus HRi) | SEM analysis, surface topography analysis in atomic force microscopy synchronized with an Olympus epifluorescence microscope | Air-polishing resulted in increased surface roughness. Disintegrated matrix and free filler particles were visible. |
Disclaimer/Publisher’s Note: The statements, opinions and data contained in all publications are solely those of the individual author(s) and contributor(s) and not of MDPI and/or the editor(s). MDPI and/or the editor(s) disclaim responsibility for any injury to people or property resulting from any ideas, methods, instructions or products referred to in the content. |
© 2025 by the authors. Licensee MDPI, Basel, Switzerland. This article is an open access article distributed under the terms and conditions of the Creative Commons Attribution (CC BY) license.
Share and Cite
Janiszewska-Olszowska, J.; Droździk, A.; Tandecka, K.; Grocholewicz, K. Effect of Air-Polishing on 3D Surface Integrity of Composite Dental Restorations—Comparison of Three Different Powders with Reduced Abrasiveness. Materials 2026, 19, 140. https://doi.org/10.3390/ma19010140
Janiszewska-Olszowska J, Droździk A, Tandecka K, Grocholewicz K. Effect of Air-Polishing on 3D Surface Integrity of Composite Dental Restorations—Comparison of Three Different Powders with Reduced Abrasiveness. Materials. 2026; 19(1):140. https://doi.org/10.3390/ma19010140
Chicago/Turabian StyleJaniszewska-Olszowska, Joanna, Agnieszka Droździk, Katarzyna Tandecka, and Katarzyna Grocholewicz. 2026. "Effect of Air-Polishing on 3D Surface Integrity of Composite Dental Restorations—Comparison of Three Different Powders with Reduced Abrasiveness" Materials 19, no. 1: 140. https://doi.org/10.3390/ma19010140
APA StyleJaniszewska-Olszowska, J., Droździk, A., Tandecka, K., & Grocholewicz, K. (2026). Effect of Air-Polishing on 3D Surface Integrity of Composite Dental Restorations—Comparison of Three Different Powders with Reduced Abrasiveness. Materials, 19(1), 140. https://doi.org/10.3390/ma19010140





