Effect of Fe and Si Content on Microstructure, Mechanical Properties, and Corrosion Resistance of 7050 Alloy
Abstract
1. Introduction
2. Materials and Methods
3. Results and Discussion
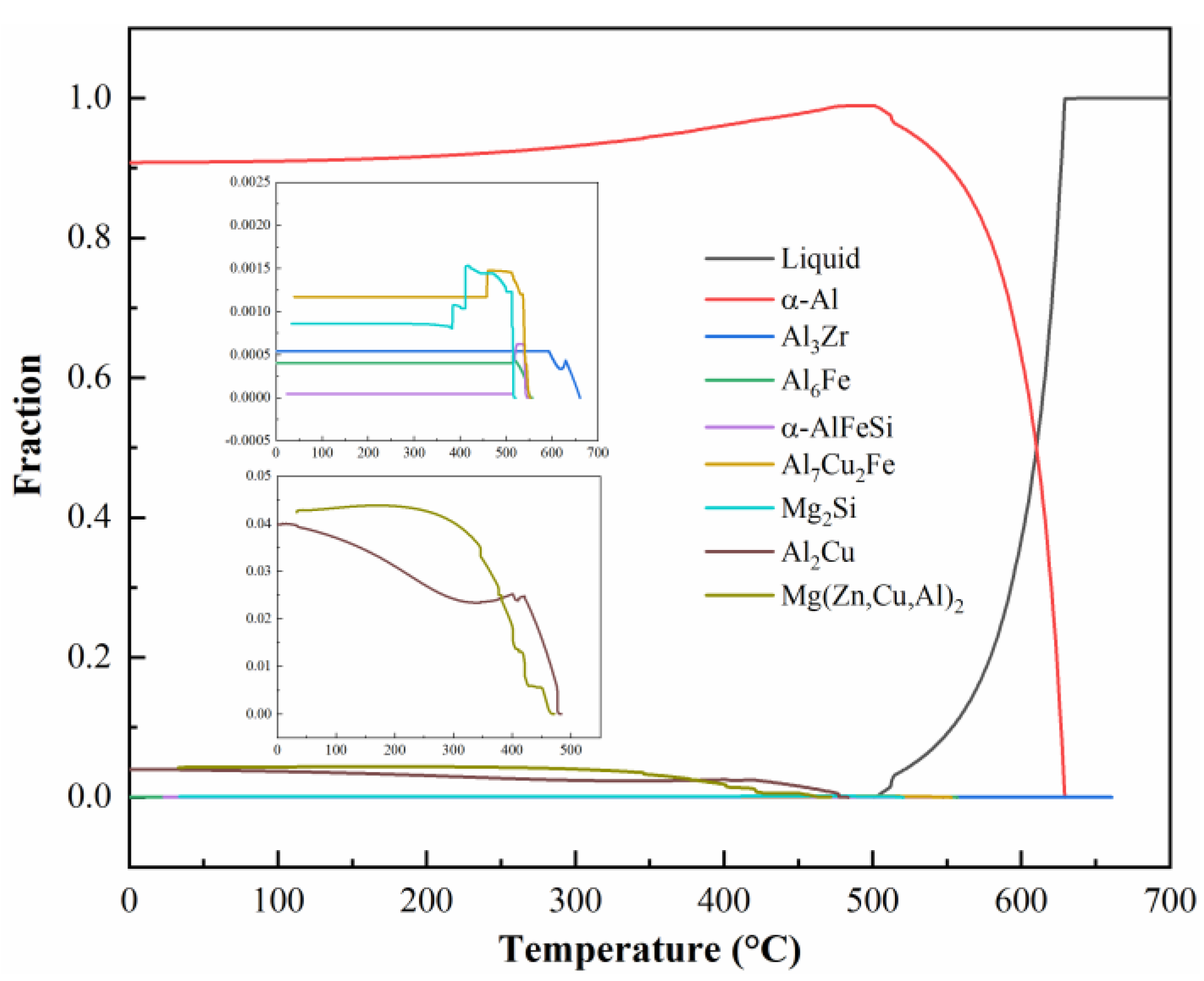
3.1. Microstructure Characteristics of As-Cast Alloys
3.2. Evolution of the Second Phase During Homogenization and Solid Solution Processes
3.3. Mechanical Properties
3.4. Exfoliation Corrosion Performance
4. Conclusions
- (1)
- Impurity elements Fe and Si induce the formation of insoluble Fe-rich phases (e.g., Al7Cu2Fe, Al6Fe, and α-AlFeSi) and Mg2Si phases in the alloy, respectively. These phases persist extensively along grain boundaries after homogenization and solution heat treatments, with their area fractions increasing notably with higher Fe and Si contents.
- (2)
- The concurrent addition of Fe and Si results in a severe synergistic deterioration of mechanical properties. The most pronounced degradation occurs at 0.15 wt.% Fe and 0.12 wt.% Si, where the alloy exhibits a tensile strength reduction of 52 MPa, a loss of 2.4% in elongation, and a drastic decrease of 13.9 MPa·m1/2 in fracture toughness relative to the base alloy.
- (3)
- Si has a more profound negative impact on mechanical properties than Fe. Fe primarily reduces ductility and fracture toughness through Fe-rich phases that initiate microcracks, with minimal effect on strength. Si not only forms brittle Mg2Si phases that impair toughness but also significantly reduces the quantity of strengthened phases (GPII zone, η’ phase) by consuming Mg elements in the matrix, leading to a comprehensive and severe decline in strength, plasticity, and toughness.
- (4)
- Fe and Si impurities markedly degrade the exfoliation corrosion resistance of the alloy. The Fe-rich and Mg2Si phases, serving as active cathodes, establish micro-galvanic couples with the aluminum matrix. This accelerates the dissolution of the anodic zone around grain boundaries, thereby strongly inducing and accelerating exfoliation corrosion.
Supplementary Materials
Author Contributions
Funding
Data Availability Statement
Conflicts of Interest
References
- Starke, E.A., Jr.; Staley, J.T. Application of modern aluminum alloys to aircraft. Prog. Aerosp. Sci. 1996, 32, 131–172. [Google Scholar] [CrossRef]
- Liu, H.Q.; Wang, L.; He, W.W.; Cheng, L.Q. Effect of Cold Pressing Deformation on Microstructure and Residual Stress of 7050 Aluminum Alloy Die Forgings. Materials 2023, 16, 5129. [Google Scholar] [CrossRef] [PubMed]
- Polmear, I.J. A Trace Element Effect in Alloys Based on the Aluminium-Zinc-Magnesium System. Nature 1960, 186, 303–304. [Google Scholar] [CrossRef]
- Dursun, T.; Soutis, C. Recent Developments in Advanced Aircraft Aluminium Alloys. Mater. Des. 2014, 56, 862–871. [Google Scholar] [CrossRef]
- Gupta, A.; Basu, B. Sustainable Primary Aluminium Production: Technology Status and Future Opportunities. Trans. Indian Inst. Met. 2019, 72, 2135–2150. [Google Scholar] [CrossRef]
- Gaustad, G.; Olivetti, E.; Kirchain, R. Improving Aluminum Recycling: A Survey of Sorting and Impurity Removal Technologies. Resour. Conserv. Recycl. 2012, 58, 79–87. [Google Scholar] [CrossRef]
- Raabe, D.; Ponge, D.; Uggowitzer, P.J. Making Sustainable Aluminum by Recycling Scrap: The Science of “Dirty” Alloys. Prog. Mater. Sci. 2022, 128, 100947. [Google Scholar] [CrossRef]
- Kotadia, H.R.; Barekar, N.; Khan, M.H. Aluminium Recycling: A Critical Review of Iron-Bearing Intermetallics in Aluminium Alloys. Mater. Today Sustain. 2025, 30, 101119. [Google Scholar] [CrossRef]
- Taylor, J.A. Iron-Containing Intermetallic Phases in Al-Si Based Casting Alloys. Procedia Mater. Sci. 2012, 1, 19–33. [Google Scholar] [CrossRef]
- Zhang, L.; Gao, J.; Damoah, L.N.W. Removal of Iron from Aluminum: A Review. Miner. Process. Extr. Metall. Rev. 2012, 33, 99–157. [Google Scholar] [CrossRef]
- Prabav, K.J.; Sibi, S.P.; Jana, P. Evolution of Fe-Rich Intermetallic Phases in Cast and Wrought Aluminium Alloys: Microstructural Insights and Property Correlations. J. Alloys Compd. 2025, 1042, 184101. [Google Scholar] [CrossRef]
- Skjerpe, P. Intermetallic Phases Formed During DC-Casting of an Al-0.25 Wt Pct Fe-0.13 Wt Pct Si Alloy. Metall. Mater. Trans. A 1987, 18, 189–200. [Google Scholar] [CrossRef]
- Andreatta, F.; Lohrengel, M.M.; Terryn, H. Electrochemical Characterisation of Aluminium AA7075-T6 and Solution Heat Treated AA7075 Using a Micro-Capillary Cell. Electrochim. Acta 2003, 48, 3239–3247. [Google Scholar] [CrossRef]
- Liu, K.; Cao, X.; Chen, X.G. Solidification of Iron-Rich Intermetallic Phases in Al-4.5Cu-0.3Fe Cast Alloy. Metall. Mater. Trans. A 2011, 42, 2004–2016. [Google Scholar] [CrossRef]
- Liu, K.; Chen, X.G. Evolution of Intermetallics, Dispersoids, and Elevated Temperature Properties at Various Fe Contents in Al-Mn-Mg 3004 Alloys. Metall. Mater. Trans. B 2016, 47, 3291–3300. [Google Scholar] [CrossRef]
- Lu, L.; Dahle, A.K. Iron-Rich Intermetallic Phases and Their Role in Casting Defect Formation in Hypoeutectic Al-Si Alloys. Metall. Mater. Trans. A 2005, 36, 819–835. [Google Scholar] [CrossRef]
- Que, Z.; Mendis, C.L. Formation of θ-Al13Fe4 and the Multi-step Phase Transformations to α-Al8Fe2Si, β-Al5FeSi and δ-Al4FeSi2 in Al-20Si-0.7Fe Alloy. Intermetallics 2020, 127, 106960. [Google Scholar] [CrossRef]
- Khalifa, W.; Samuel, F.H.; Gruzleski, J.E. Iron Intermetallic Phases in the Al Corner of the Al-Si-Fe System. Metall. Mater. Trans. A 2003, 34, 807–825. [Google Scholar] [CrossRef]
- Khalifa, W.; Samuel, F.H.; Gruzleski, J.E. Nucleation of Fe-Intermetallic Phases in the Al-Si-Fe Alloys. Metall. Mater. Trans. A 2005, 36, 1017–1032. [Google Scholar] [CrossRef]
- Liu, K.; Cao, X.; Chen, X.G. Precipitation of Iron-Rich Intermetallic Phases in Al-4.6Cu-0.5Fe-0.5Mn Cast Alloy. J. Mater. Sci. 2012, 47, 4290–4298. [Google Scholar] [CrossRef]
- Brotzu, A.; De Lellis, G.; Felli, F. Study of Defect Formation in Al 7050 Alloys. Procedia Struct. Integr. 2017, 3, 246–252. [Google Scholar] [CrossRef]
- Rao, A.C.U.; Vasu, V.; Govindaraju, M. Stress Corrosion Cracking Behaviour of 7xxx Aluminum Alloys: A Literature Review. Trans. Nonferrous Met. Soc. China 2016, 26, 1447–1471. [Google Scholar] [CrossRef]
- Becker, H.; Bulut, N.; Kortus, J. β-Al4.5FeSi: Hierarchical Crystal and Defect Structure: Reconciling Experimental and Theoretical Evidence Including the Influence of Al vs. Si Ordering on the Crystal Structure. J. Alloys Compd. 2022, 911, 165015. [Google Scholar] [CrossRef]
- Kral, M.V. A Crystallographic Identification of Intermetallic Phases in Al-Si Alloys. Mater. Lett. 2005, 59, 2271–2276. [Google Scholar] [CrossRef]
- Zheng, J.G.; Vincent, R.; Steeds, J.W. Crystal Structure of an Orthorhombic Phase in β-(Al-Fe-Si) Precipitates Determined by Convergent-Beam Electron Diffraction. Philos. Mag. A 2000, 80, 493–500. [Google Scholar] [CrossRef]
- Stefanescu, D.M.; Ruxanda, R. Fundamentals of Solidification. ASM Handb. 2004, 9, 71–92. [Google Scholar] [CrossRef]
- Wang, J.; Lee, P.D.; Hamilton, R.W. The Kinetics of Fe-Rich Intermetallic Formation in Aluminium Alloys: In Situ Observation. Scr. Mater. 2009, 60, 516–519. [Google Scholar] [CrossRef]
- Reck, B.K.; Graedel, T.E. Challenges in Metal Recycling. Science 2012, 337, 690–695. [Google Scholar] [CrossRef]
- Sun, W.; Liang, W.C.; Deng, Y.C.; Lin, G.Y.; Tang, J.G.; Zhang, Y.; Xian, J.W.; Zeng, G. Microstructural evolution and solidification behaviour of multi-phase eutectics in recycled AA3104 aluminium alloy. Mater. Charact. 2025, 229, 115619. [Google Scholar] [CrossRef]
- Daehn, K.; Basuhi, R.; Gregory, J. Innovations to Decarbonize Materials Industries. Nat. Rev. Mater. 2022, 7, 275–294. [Google Scholar] [CrossRef]
- Yin, H.; Wen, K.; Li, Z. Investigation on Precipitate Behavior and Mechanical Properties of Al-Zn-Mg-Cu Alloys with Various Zn/Mg Ratios. J. Mater. Res. Technol. 2024, 33, 5769–5783. [Google Scholar] [CrossRef]
- Yin, H.; Wen, K.; Li, Z. Effect of Zn/Mg Ratio on the Microstructure and Mechanical Properties of As-Cast Al-Zn-Mg-Cu Alloys and the Phase Transformation During Homogenization. J. Mater. Res. Technol. 2023, 26, 3646–3660. [Google Scholar] [CrossRef]
- ASTM E399-24; Standard Test Method for Linear-Elastic Plane-Strain Fracture Toughness of Metallic Materials. ASTM International: West Conshohocken, PA, USA, 2024.
- GB/T 22639-2022; Test Method of Exfoliation Corrosion for Aluminium Alloy Products. National Standard of the People’s Republic of China: Beijing, China, 2022.
- Tang, Y.; Tomita, Y.; Horita, Z. Mechanical Properties and Microstructures of Highly Fe-Containing Al-Mg-Si Alloys Processed by Severe Plastic Deformation Under High Pressure. Mater. Trans. 2023, 64, 448–457. [Google Scholar] [CrossRef]
- Shen, H.; Yang, W.D.; Liang, H. Research Advance in Harmful Effects and Removal of Impurity Fe from Al and Al Alloys. Adv. Mater. Res. 2011, 295, 751–759. [Google Scholar] [CrossRef]
- Zhao, Y.; Zhang, W.; Yang, C. Effect of Si on Fe-Rich Intermetallic Formation and Mechanical Properties of Heat-Treated Al-Cu-Mn-Fe Alloys. J. Mater. Res. 2018, 33, 898–911. [Google Scholar] [CrossRef]
- Song, D.; Zhao, Y.; Wang, Z. Effect of Mn/Fe Ratio on Fe Removal Efficiency and Tensile Ductility of an Al-7.0Si-2.4Fe Alloy. J. Mater. Res. 2021, 36, 1357–1366. [Google Scholar] [CrossRef]
- Zhao, Y.L.; He, W.X.; Zhao, F.Y.; Song, C.H.; Zhang, W.W.; Song, D.F. Insight into the Fe-rich phases strengthening mechanisms of non-heat-treatable Al-Mg-Mn-Fe-Cu alloys. J. Mater. Sci. Technol. 2025, 205, 232–246. [Google Scholar] [CrossRef]
- Berlanga-Labari, C.; Biezma-Moraleda, M.V.; Rivero, P.J. Corrosion of Cast Aluminum Alloys: A Review. Metals 2020, 10, 1384. [Google Scholar] [CrossRef]
- Ambat, R.; Davenport, A.J.; Scamans, G.M. Effect of Iron-Containing Intermetallic Particles on the Corrosion Behaviour of Aluminium. Corros. Sci. 2006, 48, 3455–3471. [Google Scholar] [CrossRef]
- Li, M.; Seyeux, A.; Wiame, F. Insights on the Al-Cu-Fe-Mn Intermetallic Particles Induced Pitting Corrosion of Al-Cu-Li Alloy. Corros. Sci. 2020, 176, 109040. [Google Scholar] [CrossRef]
















| Alloys | Cu | Mg | Zn | Zr | Fe | Si | Al |
|---|---|---|---|---|---|---|---|
| Base | 2.28 | 2.26 | 6.21 | 0.10 | 0.0034 | 0.0057 | Bal. |
| 0.03Fe 0.02Si | 2.22 | 2.34 | 6.15 | 0.11 | 0.035 | 0.022 | Bal. |
| 0.15Fe 0.02Si | 2.32 | 2.35 | 6.24 | 0.12 | 0.16 | 0.027 | Bal. |
| 0.12Fe 0.08Si | 2.26 | 2.33 | 6.14 | 0.12 | 0.13 | 0.076 | Bal. |
| 0.15Fe 0.12Si | 2.25 | 2.31 | 6.25 | 0.12 | 0.16 | 0.12 | Bal. |
| 0.03Fe 0.12Si | 2.24 | 2.24 | 6.14 | 0.12 | 0.038 | 0.12 | Bal. |
| Alloys | Al | Zn | Mg | Cu | Fe | Si | O | Phase | |
|---|---|---|---|---|---|---|---|---|---|
| Base | A | 64.55 | 9.85 | 16.38 | 9.11 | 0.11 | AlZnMgCu | ||
| 0.03Fe 0.02Si | B | 71.14 | 2.47 | 1.94 | 24.36 | 0.09 | Al2Cu | ||
| C | 43.19 | 15.37 | 26.33 | 14.82 | 0.07 | 0.21 | AlZnMgCu | ||
| 0.15Fe 0.02Si | D | 84.05 | 1.38 | 0.56 | 1.68 | 13.49 | 0.22 | Fe-rich | |
| 0.12Fe 0.08Si | E | 78.34 | 2.07 | 0.71 | 5.89 | 10.72 | 2.27 | Fe-rich | |
| 0.15Fe 0.12Si | F | 81.90 | 2.91 | 1.18 | 1.57 | 12.02 | 0.43 | Fe-rich | |
| 0.03Fe 0.12Si | G | 19.10 | 0.38 | 34.14 | 0.14 | 0.08 | 21.78 | 24.38 | Mg2Si |
| Alloys | Al | Zn | Mg | Cu | Fe | Si | O | Phase | |
|---|---|---|---|---|---|---|---|---|---|
| Base | A | 83.55 | 1.41 | 8.80 | 5.66 | 0.13 | 0.46 | Fe/Si-rich | |
| 0.03Fe 0.02Si | B | 74.16 | 0.69 | 1.92 | 15.07 | 7.59 | 0.57 | Fe-rich | |
| 0.15Fe 0.02Si | C | 75.62 | 0.42 | 2.14 | 14.04 | 7.28 | 0.49 | Fe-rich | |
| 0.12Fe 0.08Si | D | 32.65 | 0.65 | 14.92 | 0.21 | 0.07 | 19.73 | 31.77 | Mg2Si |
| E | 73.23 | 0.49 | 2.66 | 15.15 | 7.84 | 0.65 | Fe-rich | ||
| 0.15Fe 0.12Si | F | 34.24 | 0.50 | 37.05 | 0.15 | 0.06 | 16.55 | 11.45 | Mg2Si |
| G | 74.31 | 0.62 | 2.40 | 14.48 | 7.51 | 0.67 | Fe-rich | ||
| 0.03Fe 0.12Si | H | 18.70 | 0.43 | 29.07 | 0.24 | 0.10 | 18.86 | 32.6 | Mg2Si |
| I | 74.16 | 0.62 | 1.95 | 15.05 | 7.62 | 0.60 | Fe-rich | ||
Disclaimer/Publisher’s Note: The statements, opinions and data contained in all publications are solely those of the individual author(s) and contributor(s) and not of MDPI and/or the editor(s). MDPI and/or the editor(s) disclaim responsibility for any injury to people or property resulting from any ideas, methods, instructions or products referred to in the content. |
© 2025 by the authors. Licensee MDPI, Basel, Switzerland. This article is an open access article distributed under the terms and conditions of the Creative Commons Attribution (CC BY) license.
Share and Cite
Li, C.; Zhao, W.; Zhang, T.; Li, X.; Liu, Z.; Li, Y.; Yan, L.; Xu, P.; Wen, K.; Zhang, Y.; et al. Effect of Fe and Si Content on Microstructure, Mechanical Properties, and Corrosion Resistance of 7050 Alloy. Materials 2026, 19, 135. https://doi.org/10.3390/ma19010135
Li C, Zhao W, Zhang T, Li X, Liu Z, Li Y, Yan L, Xu P, Wen K, Zhang Y, et al. Effect of Fe and Si Content on Microstructure, Mechanical Properties, and Corrosion Resistance of 7050 Alloy. Materials. 2026; 19(1):135. https://doi.org/10.3390/ma19010135
Chicago/Turabian StyleLi, Changlin, Wei Zhao, Tingrui Zhang, Xiwu Li, Zhicheng Liu, Ying Li, Lizhen Yan, Pengfei Xu, Kai Wen, Yongan Zhang, and et al. 2026. "Effect of Fe and Si Content on Microstructure, Mechanical Properties, and Corrosion Resistance of 7050 Alloy" Materials 19, no. 1: 135. https://doi.org/10.3390/ma19010135
APA StyleLi, C., Zhao, W., Zhang, T., Li, X., Liu, Z., Li, Y., Yan, L., Xu, P., Wen, K., Zhang, Y., Li, Z., & Xiong, B. (2026). Effect of Fe and Si Content on Microstructure, Mechanical Properties, and Corrosion Resistance of 7050 Alloy. Materials, 19(1), 135. https://doi.org/10.3390/ma19010135

