Changes in Fluorescence of Aquatic Dissolved Organic Matter Induced by Plastic Debris
Abstract
1. Introduction
2. Materials and Methods
2.1. Sample Preparation
2.2. Standard Water Quality Parameters
2.3. Dynamic Light Scattering
2.4. Flow Citometry
2.5. Fluorescence Spectroscopy
2.6. Statistical Analysis
3. Results and Discussions
3.1. Dynamic Light Scattering Data
3.2. Impact of Plastic on Bacterial Cells Abundance and Behaviour
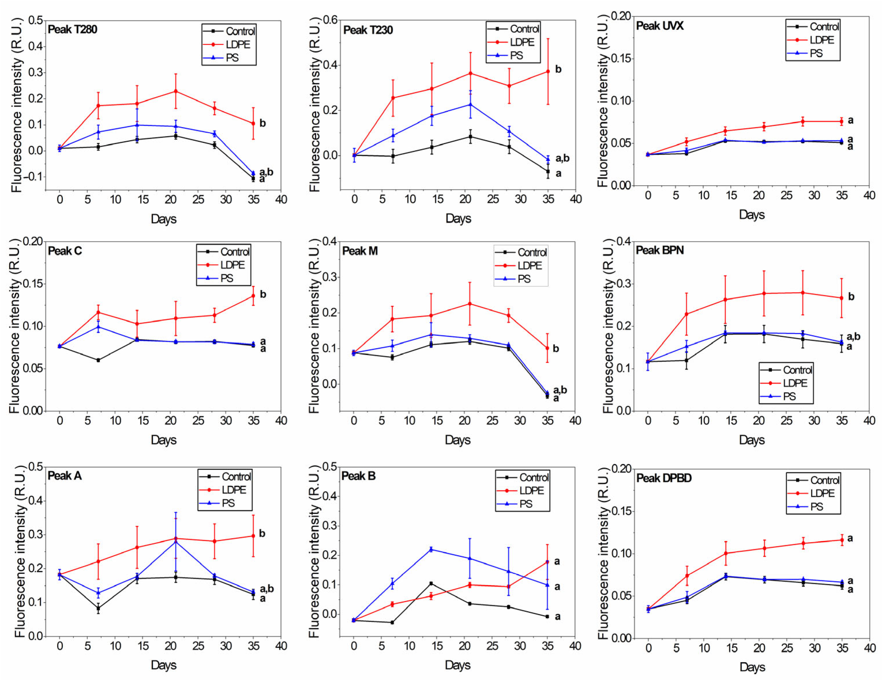
3.3. Plastic-Derived Fluorescent Dissolved Organic Matter
4. Conclusions
Supplementary Materials
Author Contributions
Funding
Institutional Review Board Statement
Informed Consent Statement
Data Availability Statement
Conflicts of Interest
References
- Hahladakis, J.N.; Velis, C.A.; Weber, R.; Iacovidou, E.; Purnell, P. An Overview of Chemical Additives Present in Plastics: Migration, Release, Fate and Environmental Impact during Their Use, Disposal and Recycling. J. Hazard. Mater. 2018, 344, 179–199. [Google Scholar] [CrossRef] [PubMed]
- Borrelle, S.B.; Ringma, J.; Law, K.L.; Monnahan, C.C.; Lebreton, L.; Mcgivern, A.; Murphy, E.; Jambeck, J.; Leonard, G.H.; Hilleary, M.A.; et al. Predicted Growth in Plastic Waste Exceeds Efforts to Mitigate Plastic Pollution. Science 2020, 369, 1515–1518. [Google Scholar] [CrossRef] [PubMed]
- van Emmerik, T.; Schwartz, A. Plastic Debris in Rivers. WIREs Water 2020, 7, e1398. [Google Scholar] [CrossRef]
- Schmidt, N.; Castro-Jiménez, J.; Fauvelle, V.; Ourgaud, M.; Sempéré, R. Occurrence of Organic Plastic Additives in Surface Waters of the Rhône River (France). Environ. Pollut. 2020, 257, 113637. [Google Scholar] [CrossRef]
- Agostino, A.; Rao, N.R.H.; Paul, S.; Zhang, Z.; Leslie, G.; Le-Clech, P.; Henderson, R. Polymer Leachates Emulate Naturally Derived Fluorescent Dissolved Organic Matter: Understanding and Managing Sample Container Interferences. Water Res. 2021, 204, 117614. [Google Scholar] [CrossRef]
- Chen, C.; Du, R.; Tang, J.; Wang, B.; Li, F.; Zhang, Z.; Yu, G. Characterization of Microplastic-Derived Dissolved Organic Matter in Freshwater: Effects of Light Irradiation and Polymer Types. Environ. Int. 2024, 185, 108536. [Google Scholar] [CrossRef]
- Lee, Y.K.; Hong, S.; Hur, J. A Fluorescence Indicator for Source Discrimination between Microplastic-Derived Dissolved Organic Matter and Aquatic Natural Organic Matter. Water Res. 2021, 207, 117833. [Google Scholar] [CrossRef]
- Lee, Y.K.; Romera-Castillo, C.; Hong, S.; Hur, J. Characteristics of Microplastic Polymer-Derived Dissolved Organic Matter and Its Potential as a Disinfection Byproduct Precursor. Water Res. 2020, 175, 115678. [Google Scholar] [CrossRef]
- Luo, H.; Xiang, Y.; He, D.; Li, Y.; Zhao, Y.; Wang, S.; Pan, X. Leaching Behavior of Fluorescent Additives from Microplastics and the Toxicity of Leachate to Chlorella Vulgaris. Sci. Total Environ. 2019, 678, 1–9. [Google Scholar] [CrossRef]
- Romera-Castillo, C.; Pinto, M.; Langer, T.M.; Álvarez-Salgado, X.A.; Herndl, G.J. Dissolved Organic Carbon Leaching from Plastics Stimulates Microbial Activity in the Ocean. Nat. Commun. 2018, 9, 1430. [Google Scholar] [CrossRef]
- Wang, Q.; Gu, W.; Chen, H.; Wang, S.; Hao, Z. Molecular Properties of Dissolved Organic Matter Leached from Microplastics during Photoaging Process. J. Hazard. Mater. 2024, 480, 136154. [Google Scholar] [CrossRef] [PubMed]
- Wasswa, J.; Mladenov, N.; Pearce, W. Assessing the Potential of Fluorescence Spectroscopy to Monitor Contaminants in Source Waters and Water Reuse Systems. Environ. Sci. Water Res. Technol. 2019, 5, 370–382. [Google Scholar] [CrossRef]
- Zhang, J.; Huo, X.; Zhang, K.; Deng, Y.; Xiao, Q.; Gao, Y.; Zhou, X.; Yan, B. Deciphering Fluorescent and Molecular Fingerprint of Dissolved Organic Matter Leached from Microplastics in Water. Water Res. 2024, 250, 121047. [Google Scholar] [CrossRef]
- Aiken, G.R. Fluorescence and Dissolved Organic Matter: A Chemist’s Perspective. In Aquatic Organic Matter Fluorescence; Coble, P.G., Lead, J.R., Baker, A., Reynolds, D.M., Spencer, R.G.M., Eds.; Cambridge University Press: New York, NY, USA, 2014; pp. 35–75. ISBN 978-0-521-76461-2. [Google Scholar]
- Hudson, N.; Baker, A.; Reynolds, D. Fluorescence Analysis of Dissolved Organic Matter in Natural, Waste and Polluted Waters—A Review. River Res. Appl. 2007, 23, 631–649. [Google Scholar] [CrossRef]
- Chen, J.; Wan, N.; Wang, D.; Zhang, W. Molecular Properties and Biotoxicity of Dissolved Organic Matter Leached from Microplastic (MP-DOM) during Typical Hydrothermal Treatment of Sewage Sludge. Sci. Total Environ. 2023, 892, 164548. [Google Scholar] [CrossRef]
- Romera-Castillo, C.; Mallenco-Fornies, R.; Saá-Yánez, M.; Álvarez-Salgado, X.A. Leaching and Bioavailability of Dissolved Organic Matter from Petrol-Based and Biodegradable Plastics. Mar. Environ. Res. 2022, 176, 105607. [Google Scholar] [CrossRef]
- Yang, X.; Zhou, Y.; Xia, R.; Liao, J.; Liu, J.; Yu, P. Microplastics and Chemical Leachates from Plastic Pipes Are Associated with Increased Virulence and Antimicrobial Resistance Potential of Drinking Water Microbial Communities. J. Hazard. Mater. 2024, 463, 132900. [Google Scholar] [CrossRef]
- Jin, Z.; Zhang, W.; Wang, X.; Liu, A.; Li, Z.; Bai, Y.; Wu, F. Leaching Behaviors of Dissolved Organic Matter from Face Masks Revealed by Fluorescence EEM Combined with FRI and PARAFAC. Water Res. 2024, 254, 121399. [Google Scholar] [CrossRef]
- Lee, Y.K.; He, W.; Guo, H.; Karanfil, T.; Hur, J. Effects of Organic Additives on Spectroscopic and Molecular-Level Features of Photo-Induced Dissolved Organic Matter from Microplastics. Water Res. 2023, 242, 120272. [Google Scholar] [CrossRef]
- Gatza, E.; Hammes, F.; Prest, E. Assessing Water Quality with the BD AccuriTM C6 Flow Cytometer. BD Biosciences White Paper 2013. Available online: https://www.bdbiosciences.com/content/dam/bdb/marketing-documents/Accuri-C6-DS-Eawag-Water-Quality-Template.pdf (accessed on 1 September 2022).
- Hudson, N.; Baker, A.; Ward, D.; Reynolds, D.M.; Brunsdon, C.; Carliell-Marquet, C.; Browning, S. Can Fluorescence Spectrometry Be Used as a Surrogate for the Biochemical Oxygen Demand (BOD) Test in Water Quality Assessment? An Example from South West England. Sci. Total Environ. 2008, 391, 149–158. [Google Scholar] [CrossRef]
- Lawaetz, A.J.; Stedmon, C.A. Fluorescence Intensity Calibration Using the Raman Scatter Peak of Water. Appl. Spectrosc. 2009, 63, 936–940. [Google Scholar] [CrossRef] [PubMed]
- Coble, P.G.; Spencer, R.G.M.; Baker, A.; Reynolds, D.M. Aquatic Organic Matter Fluorescence. In Aquatic Organic Matter Fluorescence; Coble, P.G., Lead, J., Baker, A., Reynolds, D.M., Spencer, R.G.M., Eds.; Cambridge University Press: New York, NY, USA, 2014; pp. 75–122. ISBN 978-0-521-76461. [Google Scholar]
- Gandhimathi, M.; Murugavel, K.; Ravi, T. Migration Study of Optical Brighteners from Polymer Packing Materials to Jam Squeeze and Fruit Drink by Spectrofluorimetry and RP-HPLC Methods. J. Food Sci. Technol. 2014, 51, 1133–1139. [Google Scholar] [CrossRef] [PubMed]
- Huguet, A.; Vacher, L.; Relexans, S.; Saubusse, S.; Froidefond, J.M.; Parlanti, E. Properties of Fluorescent Dissolved Organic Matter in the Gironde Estuary. Org. Geochem. 2009, 40, 706–719. [Google Scholar] [CrossRef]
- Zsolnay, A.; Baigar, E.; Jimenez, M.; Steinweg, B.; Saccomandi, F. Differentiating with Fluorescence Spectroscopy the Sources of Dissolved Organic Matter in Soils Subjected to Drying. Chemosphere 1999, 38, 45–50. [Google Scholar] [CrossRef]
- McKnight, D.M.; Boyer, E.W.; Westerhoff, P.K.; Doran, P.T.; Kulbe, T.; Andersen, D.T. Spectrofluorometric Characterization of Dissolved Organic Matter for Indication of Precursor Organic Material and Aromaticity. Limnol. Oceanogr. 2001, 46, 38–48. [Google Scholar] [CrossRef]
- Zaiontz, C. Real Statistics Resource Pack 2023. Available online: https://real-statistics.com/free-download/real-statistics-resource-pack/ (accessed on 21 March 2024).
- Shiu, R.F.; Vazquez, C.I.; Tsai, Y.Y.; Torres, G.V.; Chen, C.S.; Santschi, P.H.; Quigg, A.; Chin, W.C. Nano-Plastics Induce Aquatic Particulate Organic Matter (Microgels) Formation. Sci. Total Environ. 2020, 706, 135681. [Google Scholar] [CrossRef]
- Mohamed, D.F.M.S.; Tarafdar, A.; Lee, S.Y.; Oh, H.B.; Kwon, J.-H. Assessment of Biodegradation and Toxicity of Alternative Plasticizer Di(2-Ethylhexyl) Terephthalate: Impacts on Microbial Biofilms, Metabolism, and Reactive Oxygen Species-Mediated Stress Response. Environ. Pollut. 2024, 355, 124217. [Google Scholar] [CrossRef]
- Sharuddin, S.S.; Ramli, N.; Mohd-Nor, D.; Hassan, M.A.; Maeda, T.; Shirai, Y.; Sakai, K.; Tashiro, Y. Shift of Low to High Nucleic Acid Bacteria as a Potential Bioindicator for the Screening of Anthropogenic Effects in a Receiving River Due to Palm Oil Mill Effluent Final Discharge. Ecol. Indic. 2018, 85, 79–84. [Google Scholar] [CrossRef]
- Santos, M.; Oliveira, H.; Pereira, J.L.; Pereira, M.J.; Gonçalves, F.J.M.; Vidal, T. Flow Cytometry Analysis of Low/High DNA Content (LNA/HNA) Bacteria as Bioindicator of Water Quality Evaluation. Ecol. Indic. 2019, 103, 774–781. [Google Scholar] [CrossRef]
- Burkowska-But, A.; Kalwasińska, A.; Swiontek Brzezinska, M. Bacterial Growth and Biofilm Formation in Household-Stored Groundwater Collected from Public Wells. J. Water Health 2015, 13, 353–361. [Google Scholar] [CrossRef]
- Harshvardhan, K.; Jha, B. Biodegradation of Low-Density Polyethylene by Marine Bacteria from Pelagic Waters, Arabian Sea, India. Mar. Pollut. Bull. 2013, 77, 100–106. [Google Scholar] [CrossRef] [PubMed]
- Zimmermann, L.; Bartosova, Z.; Braun, K.; Oehlmann, J.; Völker, C.; Wagner, M. Plastic Products Leach Chemicals That Induce In Vitro Toxicity under Realistic Use Conditions. Environ. Sci. Technol. 2021, 55, 11814–11823. [Google Scholar] [CrossRef] [PubMed]
- Schiavo, S.; Oliviero, M.; Chiavarini, S.; Dumontet, S.; Manzo, S. Polyethylene, Polystyrene, and Polypropylene Leachate Impact upon Marine Microalgae Dunaliella Tertiolecta. J. Toxicol. Environ. Health Part A 2021, 84, 249–260. [Google Scholar] [CrossRef]
- Urbanek, A.K.; Rymowicz, W.; Mirończuk, A.M. Degradation of Plastics and Plastic-Degrading Bacteria in Cold Marine Habitats. Appl. Microbiol. Biotechnol. 2018, 102, 7669–7678. [Google Scholar] [CrossRef]
- Oberbeckmann, S.; Kreikemeyer, B.; Labrenz, M. Environmental Factors Support the Formation of Specific Bacterial Assemblages on Microplastics. Front. Microbiol. 2018, 8, 2709. [Google Scholar] [CrossRef]
- Jacques, P.P.L.; Poller, R.C. Fluorescence of Polyolefins-2. Use of Model Compounds to Identify Fluorescent Species in Thermally Degraded Polymers. Eur. Polym. J. 1993, 29, 83–89. [Google Scholar] [CrossRef]
- Yan, C.; Wang, X.; Nie, M.; Mo, X.; Ding, M.; Chen, J.; Yang, Y. Characteristics of Microplastic-Derived Dissolved Organic Matter and Its Binding with Pharmaceuticals Unveiled by Fluorescence Spectroscopy and Two-Dimensional Correlation Spectroscopy. Sci. Total Environ. 2024, 908, 168190. [Google Scholar] [CrossRef]
- Choi, N.E.; Lee, Y.K.; Oh, H.; Hur, J. Photo-Induced Leaching Behaviors and Biodegradability of Dissolved Organic Matter from Microplastics and Terrestrial-Sourced Particles. Chemosphere 2024, 355, 141826. [Google Scholar] [CrossRef]
- Luo, W.; Su, L.; Craig, N.J.; Du, F.; Wu, C.; Shi, H. Comparison of Microplastic Pollution in Different Water Bodies from Urban Creeks to Coastal Waters. Environ. Pollut. 2019, 246, 174–182. [Google Scholar] [CrossRef]
- Spagnuolo, M.L.; Marini, F.; Sarabia, L.A.; Ortiz, M.C. Migration Test of Bisphenol A from Polycarbonate Cups Using Excitation-Emission Fluorescence Data with Parallel Factor Analysis. Talanta 2017, 167, 367–378. [Google Scholar] [CrossRef]
- Ahmad, M.; Bajahlan, A.S. Leaching of Styrene and Other Aromatic Compounds in Drinking Water from PS Bottles. J. Environ. Sci. 2007, 19, 421–426. [Google Scholar] [CrossRef]
- Sanagi, M.; Ling, S.; Nasir, Z.; Wan Ibrahim, W.; Abu Naim, A. Determination of Residual Volatile Organic Compounds Migrated from Polystyrene Food Packaging into Food Simulant by Headspace Solid Phase Microextraction-Gas Chromatography. Malays. J. Anal. Sci. 2005, 9, 542–551. [Google Scholar]
- Tawfik, M.S.; Huyghebaert, A. Polystyrene Cups and Containers: Styrene Migration. Food Addit. Contam. 1998, 15, 592–599. [Google Scholar] [CrossRef]
- Zhou, Y.; Li, J.; Chen, F.; Ma, T.; Ni, Y. Study on the 3D Fluorescence Feature of Styrene and Emergent Treatment of Styrene Pollutant in Water. Guang Pu Xue Yu Guang Pu Fen Xi Guang Pu 2016, 36, 2169–2172. [Google Scholar]
- Pack, E.C.; Lee, K.Y.; Jung, J.S.; Jang, D.Y.; Kim, H.S.; Koo, Y.J.; Lee, H.G.; Kim, Y.S.; Lim, K.M.; Lee, S.H.; et al. Determination of the Migration of Plastic Additives and Non-Intentionally Added Substances into Food Simulants and the Assessment of Health Risks from Convenience Food Packaging. Food Packag. Shelf Life 2021, 30, 100736. [Google Scholar] [CrossRef]
- Tchaikovskaya, O.N.; Sokolova, I.V.; Kuznetsova, R.T.; Swetlichnyi, V.A.; Kopylova, T.N.; Mayer, G.V. Fluorescence Investigations of Phenol Phototransformation in Aqueous Solutions. J. Fluoresence 2000, 10, 403–408. [Google Scholar] [CrossRef]
- Zhao, X.; Li, Y.; Wang, J.; Ouyang, Z.; Li, J.; Wei, G.; Su, Z. Interactive Oxidation-Reduction Reaction for the in Situ Synthesis of Graphene-Phenol Formaldehyde Composites with Enhanced Properties. ACS Appl. Mater. Interfaces 2014, 6, 4254–4263. [Google Scholar] [CrossRef]
- Dopico-García, M.S.; López-Vilariño, J.M.; González-Rodríguez, M.V. Determination of Antioxidant Migration Levels from Low-Density Polyethylene Films into Food Simulants. J. Chromatogr. A 2003, 1018, 53–62. [Google Scholar] [CrossRef]
- Fasano, E.; Bono-Blay, F.; Cirillo, T.; Montuori, P.; Lacorte, S. Migration of Phthalates, Alkylphenols, Bisphenol A and Di(2-Ethylhexyl)Adipate from Food Packaging. Food Control 2012, 27, 132–138. [Google Scholar] [CrossRef]
- Jervis, D.A. Optical Brighteners: Improving the Colour of Plastics. Plast. Addit. Compd. 2003, 5, 42–46. [Google Scholar] [CrossRef]
- Ganapathi Rao, K.; Ashok, C.; Venkateswara Rao, K.; Shilpa Chakra, C.; Rajendar, V. Green Synthesis of TiO2 Nanoparticles Using Hibiscus Flower Extract. In International Conference on Emerging Technologies in Mechanical Sciences; Malla Reddy College of Engineering and Technology: Hyderabad, India, 2014; pp. 79–82. [Google Scholar]
- Huang, K.; Chen, L.; Deng, J.; Xiong, J. Enhanced Visible-Light Photocatalytic Performance of Nanosized Anatase TiO2 Doped with CdS Quantum Dots for Cancer-Cell Treatment. J. Nanomater. 2012, 2012, 720491. [Google Scholar] [CrossRef]
- Spencer, R.G.M.; Coble, P.G. Sampling Design for Organic Matter Fluorescence Analysis. In Aquatic Organic Matter Fluorescence; Coble, P.G., Lead, J.R., Baker, A., Reynolds, D.M., Spencer, R.G.M., Eds.; Cambridge University Press: New York, NY, USA, 2014; pp. 125–147. ISBN 978-0-521-76461-2. [Google Scholar]



Disclaimer/Publisher’s Note: The statements, opinions and data contained in all publications are solely those of the individual author(s) and contributor(s) and not of MDPI and/or the editor(s). MDPI and/or the editor(s) disclaim responsibility for any injury to people or property resulting from any ideas, methods, instructions or products referred to in the content. |
© 2025 by the authors. Licensee MDPI, Basel, Switzerland. This article is an open access article distributed under the terms and conditions of the Creative Commons Attribution (CC BY) license (https://creativecommons.org/licenses/by/4.0/).
Share and Cite
Popa, C.L.; Dontu, S.I.; Savastru, D.; Carstea, E.M. Changes in Fluorescence of Aquatic Dissolved Organic Matter Induced by Plastic Debris. Materials 2025, 18, 1602. https://doi.org/10.3390/ma18071602
Popa CL, Dontu SI, Savastru D, Carstea EM. Changes in Fluorescence of Aquatic Dissolved Organic Matter Induced by Plastic Debris. Materials. 2025; 18(7):1602. https://doi.org/10.3390/ma18071602
Chicago/Turabian StylePopa, Cristina L., Simona I. Dontu, Dan Savastru, and Elfrida M. Carstea. 2025. "Changes in Fluorescence of Aquatic Dissolved Organic Matter Induced by Plastic Debris" Materials 18, no. 7: 1602. https://doi.org/10.3390/ma18071602
APA StylePopa, C. L., Dontu, S. I., Savastru, D., & Carstea, E. M. (2025). Changes in Fluorescence of Aquatic Dissolved Organic Matter Induced by Plastic Debris. Materials, 18(7), 1602. https://doi.org/10.3390/ma18071602

