Green Synthesis of Coal Gangue-Derived NaX Zeolite for Enhanced Adsorption of Cu2+ and CO2
Highlights
- Coal gangue pretreatment process.
- Alkali fusion-hydrothermal process for gangue-based NaX-type molecular sieves with green and controllable preparations.
- High-efficiency adsorption performance of gangue-based NaX molecular sieve and multi-stage pore structure design to enhance the adsorption of Cu2+ and CO2.
- High-value-added resource utilisation of coal gangue, “turning waste into treasure, making waste out of waste”.
Abstract
1. Introduction
2. Experimental Materials and Contents
2.1. Materials
2.2. Preparation Method of Gangue-Based NaX-Type Molecular Sieve
2.3. Orthogonal Experimental Design
2.4. Adsorption Experiment Design
2.5. Characterization
3. Results and Discussion
3.1. Coal Gangue Raw Material and Pretreatment Analysis
3.2. Analysis of Experimental Results of Orthogonal Synthesis of NaX-Type Molecular Sieves
3.3. Characterization of Orthogonal Experimental Results
3.3.1. XRD Characterization
3.3.2. SEM Characterization
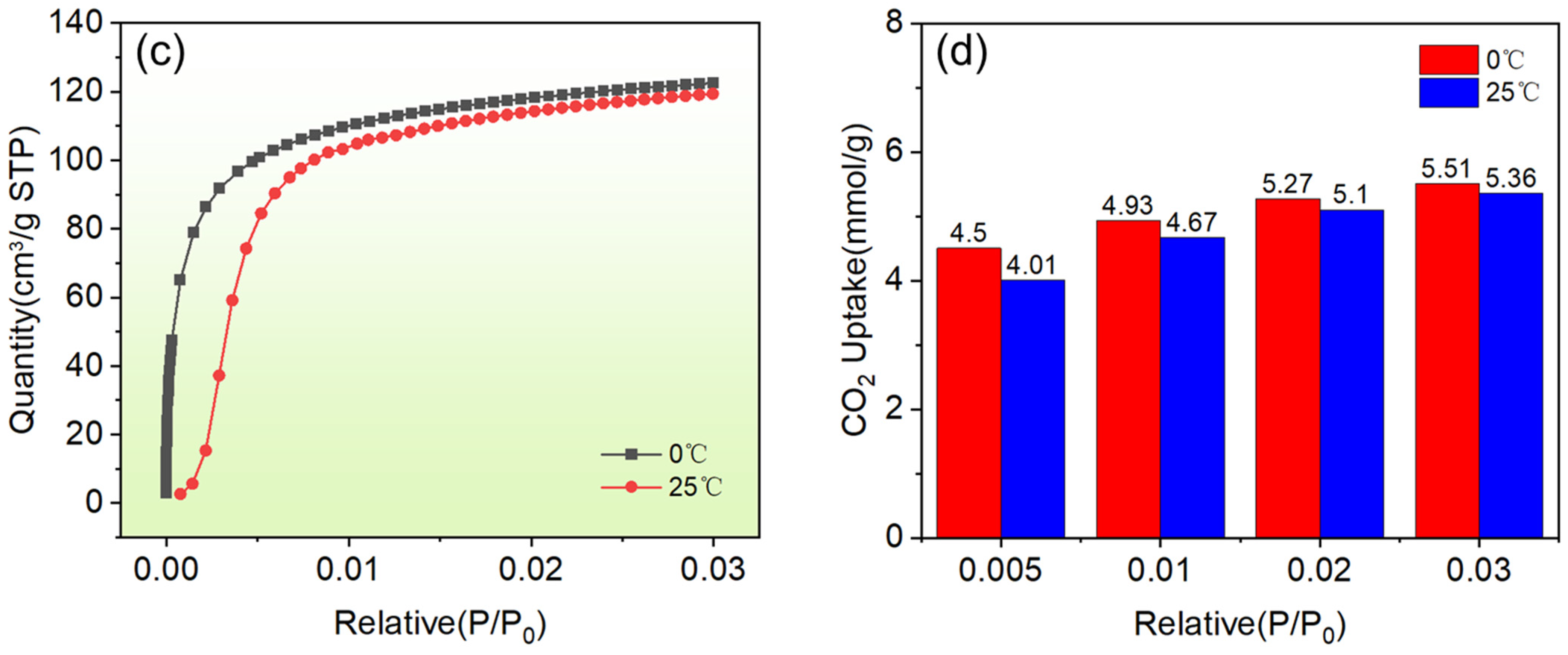
3.3.3. Characterization of the Products Under the Best Conditions
3.4. Analysis of Adsorption Results
3.4.1. Study of Different Adsorption Conditions
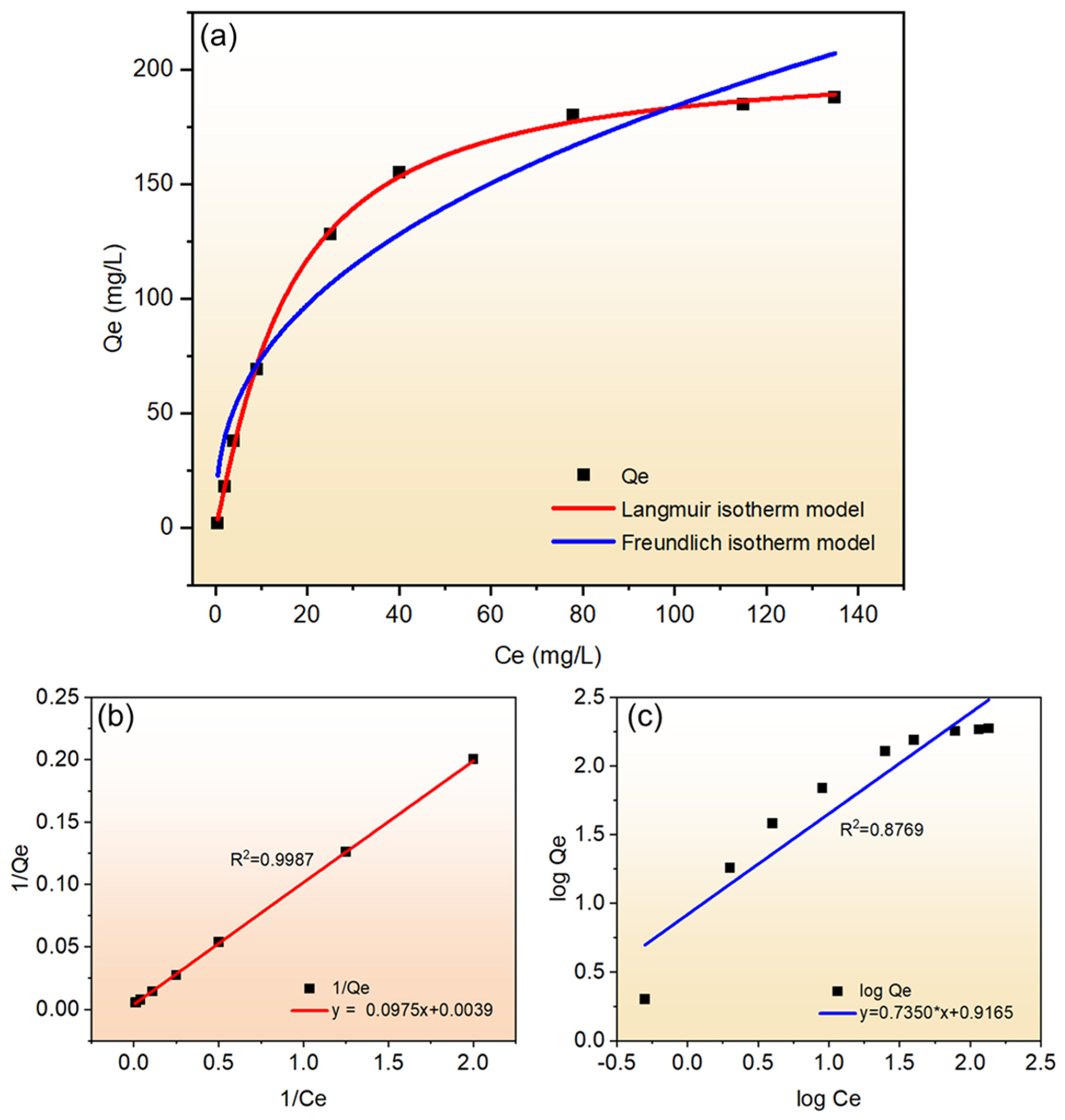
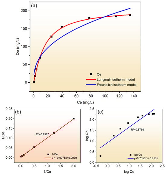
3.4.2. Adsorption Isotherm Studies
4. Conclusions
Author Contributions
Funding
Institutional Review Board Statement
Informed Consent Statement
Data Availability Statement
Acknowledgments
Conflicts of Interest
References
- Zheng, Q.; Zhou, Y.; Liu, X.; Liu, M.; Liao, L.; Lv, G. Environmental hazards and comprehensive utilization of solid waste coal gangue. Prog. Nat. Sci. Mater. Int. 2024, 34, 223–239. [Google Scholar]
- Li, J.; Wang, J. Comprehensive utilization and environmental risks of coal gangue: A review. J. Clean. Prod. 2019, 239, 117946. [Google Scholar]
- Li, M.; Zhang, J.; Li, A.; Zhou, N. Reutilisation of coal gangue and fly ash as underground backfill materials for surface subsidence control. J. Clean. Prod. 2020, 254, 120113. [Google Scholar]
- Liu, X. Low-carbon utilization of coal gangue under the carbon neutralization strategy: A short review. J. Mater. Cycles Waste Manag. 2023, 25, 1978–1987. [Google Scholar]
- Meng, F.; Yu, J.; Tahmasebi, A.; Han, Y. Pyrolysis and Combustion Behavior of Coal Gangue in O2/CO2 and O2/N2 Mixtures Using Thermogravimetric Analysis and a Drop Tube Furnace. Energy Fuels 2013, 27, 2923–2932. [Google Scholar]
- Quan, C.; Chu, H.; Zhou, Y.; Su, S.; Su, R.; Gao, N. Amine-modified silica zeolite from coal gangue for CO2 capture. Fuel 2022, 322, 124184. [Google Scholar]
- Gao, L.; Liu, Y.; Xu, K.; Bai, L.; Guo, N.; Li, S. A short review of the sustainable utilization of coal gangue in environmental applications. RSC Adv. 2024, 14, 39285–39296. [Google Scholar] [CrossRef]
- Chang, Z.; Yan, Y.; Bai, L.; Guo, N.; Xing, Z.; Lu, C. Synthesis and Characterization of NaX Zeolite from Coal Gangue and Its Efficacy in Cd and Pb Remediation in Water and Soil. ACS Omega 2024, 9, 51237–51252. [Google Scholar] [CrossRef]
- Chen, C.; Kim, S.-S.; Cho, W.-S.; Ahn, W.-S. Polyethylenimine-incorporated zeolite 13X with mesoporosity for post-combustion CO2 capture. Appl. Surf. Sci. 2015, 332, 167–171. [Google Scholar]
- Ayele, L.; Pérez-Pariente, J.; Chebude, Y.; Díaz, I. Synthesis of zeolite A from Ethiopian kaolin. Microporous Mesoporous Mater. 2015, 215, 29–36. [Google Scholar]
- Lee, M.-G.; Park, J.-W.; Kam, S.-K.; Lee, C.-H. Synthesis of Na-A zeolite from Jeju Island scoria using fusion/hydrothermal method. Chemosphere 2018, 207, 203–208. [Google Scholar] [PubMed]
- Chen, J.; Lu, X. Synthesis and characterization of zeolites NaA and NaX from coal gangue. J. Mater. Cycles Waste Manag. 2017, 20, 489–495. [Google Scholar]
- Chen, Z.; Song, G.; Li, C.; Chen, W.; Li, Z.; Kawi, S. Coal fly ash to Y zeolite of great purity and crystallinity: A new and green activation method of combined in situ microwave and ultrasound. Solid State Sci. 2023, 136, 107102. [Google Scholar] [CrossRef]
- Deng, S.; Yu, J.; Huangfu, Z.; Zhu, W.; Wu, Y.; Feng, W.; Yang, T.; Li, P.; Wu, D.; Huang, Z.; et al. Iron-enhanced X-type zeolite made by coal gangue for Pb/Cd-contaminated soil remediation. J. Soils Sediments 2024, 24, 2078–2087. [Google Scholar] [CrossRef]
- Fischer, F.; Lutz, W.; Buhl, J.-C.; Laevemann, E. Insights into the hydrothermal stability of zeolite 13X. Microporous Mesoporous Mater. 2018, 262, 258–268. [Google Scholar]
- Gao, Y.; Huang, H.; Tang, W.; Liu, X.; Yang, X.; Zhang, J. Preparation and characterization of a novel porous silicate material from coal gangue. Microporous Mesoporous Mater. 2015, 217, 210–218. [Google Scholar]
- Du, H.; Ma, L.; Liu, X.; Zhang, F.; Yang, X.; Wu, Y.; Zhang, J. A Novel Mesoporous SiO2 Material with MCM-41 Structure from Coal Gangue: Preparation, Ethylenediamine Modification, and Adsorption Properties for CO2 Capture. Energy Fuels 2018, 32, 5374–5385. [Google Scholar]
- Chen, S.J.; Zhu, M.; Fu, Y.; Huang, Y.X.; Tao, Z.C.; Li, W.L. Using 13X, LiX, and LiPdAgX zeolites for CO2 capture from post-combustion flue gas. Appl. Energy 2017, 191, 87–98. [Google Scholar]
- Ge, Q.; Moeen, M.; Tian, Q.; Xu, J.; Feng, K. Highly effective removal of Pb2+ in aqueous solution by Na-X zeolite derived from coal gangue. Environ. Sci. Pollut. Res. 2019, 27, 7398–7408. [Google Scholar]
- Han, L.; Wang, R.; Wang, P.; Sha, Y.; Zheng, A.; Jiang, Q.; Xin, M.; Song, H.; Lin, W. Polycrystalline ZSM-5@Beta core–shell composites fabricated by a seed-directed approach: A catalyst to boosting light olefin production by ordered hierarchical cracking. Fuel 2023, 341, 127688. [Google Scholar]
- Ke, G.; Shen, H.; Yang, P. Synthesis of X-Zeolite from Waste Basalt Powder and its Influencing Factors and Synthesis Mechanism. Materials 2019, 12, 3895. [Google Scholar] [CrossRef] [PubMed]
- Liang, D.; Liu, Y.; Zhang, R.; Xie, Q.; Zhang, L. A Review on the Influence Factors in the Synthesis of Zeolites and the Transformation Behavior of Silicon and Aluminum During the Process. Comments Inorg. Chem. 2024, 44, 461–497. [Google Scholar]
- Monzón, J.D.; Pereyra, A.M.; Conconi, M.S.; Basaldella, E.I. Phase transformations during the zeolitization of fly ashes. J. Environ. Chem. Eng. 2017, 5, 1548–1553. [Google Scholar] [CrossRef]
- Otieno, S.O.; Kengara, F.O.; Kemmegne-Mbouguen, J.C.; Langmi, H.W.; Kowenje, C.B.O.; Mokaya, R. The effects of metakaolinization and fused-metakaolinization on zeolites synthesized from quartz rich natural clays. Microporous Mesoporous Mater. 2019, 290, 109668. [Google Scholar]
- Shukla, P.R.; Wang, S.; Ang, H.M.; Tadé, M.O. Synthesis, characterisation, and adsorption evaluation of carbon-natural-zeolite composites. Adv. Powder Technol. 2009, 20, 245–250. [Google Scholar]
- Wang, H.; Chen, Z.; Meng, Z.; Liu, L.; Wang, X.; Xing, Y. Integrated utilization of coal gangue for synthesis of β-Sialon multiphase ceramic materials. Ceram. Int. 2023, 49, 11275–11284. [Google Scholar]
- Wu, J.; Yan, X.; Li, L.; Gu, J.; Zhang, T.; Tian, L.; Su, X.; Lin, Z. High-efficiency adsorption of Cr(VI) and RhB by hierarchical porous carbon prepared from coal gangue. Chemosphere 2021, 275, 130008. [Google Scholar]
- Xiao, W.; Dong, P.; Wang, C.; Xu, J.; Li, T.; Zhu, H.; Wang, T.; Xu, R.; Yue, Y. Facile synthesis of hierarchical NaX zeolite from natural kaolinite for efficient Knoevenagel condensation. Chin. J. Chem. Eng. 2024, 65, 75–84. [Google Scholar]
- Xie, M.; Liu, F.; Zhao, H. Detoxification and Extraction of Solid and Hazardous Wastes for the Preparation of Molecular Sieves. JOM 2023, 75, 4680–4688. [Google Scholar]
- Wang, Y.; Du, T.; Qiu, Z.; Song, Y.; Che, S.; Fang, X. CO2 adsorption on polyethylenimine-modified ZSM-5 zeolite synthesized from rice husk ash. Mater. Chem. Phys. 2018, 207, 105–113. [Google Scholar]
- Xing, E.; Shi, Y.; Xie, W.; Zhang, F.; Mu, X.; Shu, X. Size-controlled synthesis of MCM-49 zeolite from NaX for liquid-phase alkylation of benzene with ethylene. Microporous Mesoporous Mater. 2016, 236, 54–62. [Google Scholar] [CrossRef]
- Zhang, Y.; Zhao, P.; Yang, F. Char-CO2 reaction behaviour and interactions of coal gangue/weathered coal and coal gangue/pine sawdust blends. J. Therm. Anal. Calorim. 2023, 148, 3605–3612. [Google Scholar] [CrossRef]
- Yi, D.; Du, H.; Li, Y.; Gao, Y.; Liu, S.; Xu, B.; Huang, H.; Kang, L. Study on Green Controllable Preparation of Coal Gangue-Based 13-X Molecular Sieves and Its CO2 Capture Application. Coatings 2023, 13, 1886. [Google Scholar] [CrossRef]
- Zhang, X.; Tang, D.; Zhang, M.; Yang, R. Synthesis of NaX zeolite: Influence of crystallization time, temperature and batch molar ratio SiO2/Al2O3 on the particulate properties of zeolite crystals. Powder Technol. 2013, 235, 322–328. [Google Scholar] [CrossRef]
- Park, M.; Kim, S.; Takahashi, Y.; Jeong, H.Y. Thermal stabilization of extraframework Cs+ in zeolite 13X. J. Nucl. Mater. 2022, 572, 154078. [Google Scholar] [CrossRef]
- Zhou, J.; Zheng, F.; Li, H.; Wang, J.; Bu, N.; Hu, P.; Gao, J.-M.; Zhen, Q.; Bashir, S.; Louise Liu, J. Optimization of post-treatment variables to produce hierarchical porous zeolites from coal gangue to enhance adsorption performance. Chem. Eng. J. 2020, 381, 122698. [Google Scholar] [CrossRef]
- Li, H.; Zheng, F.; Wang, J.; Zhou, J.; Huang, X.; Chen, L.; Hu, P.; Gao, J.-M.; Zhen, Q.; Bashir, S.; et al. Facile preparation of zeolite-activated carbon composite from coal gangue with enhanced adsorption performance. Chem. Eng. J. 2020, 390, 124513. [Google Scholar] [CrossRef]
- Ngoan, N.H.; Thanh, L.H.V.; Phu, L.T.; Giao, D.H.; Mai, N.T.N. Improving copper ions adsorption using Ca-modified NaY zeolite synthesized from calcined rice husk ash. J. Sol-Gel Sci. Technol. 2024, 113, 438–449. [Google Scholar] [CrossRef]
- Wang, Q.; Xu, W.; Cai, J.; Yu, Q.; Min, J. Study on the Synthesis of LTA-Type Molecular Sieves from Coal Gangue and Aluminum Ash and Its Adsorption Properties towards Cu2+. Crystals 2024, 14, 379. [Google Scholar] [CrossRef]
- Gao, J.; Lin, Q.; Yang, T.; Bao, Y.c.; Liu, J. Preparation and characterization of ZSM-5 molecular sieve using coal gangue as a raw material via solvent-free method: Adsorption performance tests for heavy metal ions and methylene blue. Chemosphere 2023, 341. [Google Scholar] [CrossRef]
- Zhang, X.; Li, C.; Zheng, S.; Di, Y.; Sun, Z. A review of the synthesis and application of zeolites from coal-based solid wastes. Int. J. Miner. Metall. Mater. 2022, 29, 1–21. [Google Scholar]
- Wu, Y.; Du, H.; Gao, Y.; Liu, X.; Yang, T.; Zhao, L.; Yue, X.; Zhang, S.; Zhang, J. Syntheses of four novel silicate-based nanomaterials from coal gangue for the capture of CO2. Fuel 2019, 258, 116192. [Google Scholar]









| Experiment | 1 | 2 | 3 |
|---|---|---|---|
| Considerations | Ratio | Times (h) | Temperature (°C) |
| 1 | 1:6 | 8 | 90 |
| 2 | 1:6 | 12 | 110 |
| 3 | 1:6 | 14 | 130 |
| 4 | 1:8 | 8 | 110 |
| 5 | 1:8 | 12 | 130 |
| 6 | 1:8 | 14 | 90 |
| 7 | 1:10 | 8 | 130 |
| 8 | 1:10 | 12 | 90 |
| 9 | 1:10 | 14 | 110 |
| Ingredient | SiO2 | Al2O3 | TiO2 | Fe2O3 | ZrO2 | MgO | K2O | Na2O | Other |
|---|---|---|---|---|---|---|---|---|---|
| Contain | 57.84 | 25.19 | 0.87 | 8.46 | 0.02 | 2.25 | 3.08 | 1.15 | 1.14 |
| Analyte | Compound Formula | Original Content (%) | Acid Leaching Content (%) |
|---|---|---|---|
| Na | Na2O | 1.15 | 0.967 |
| Si | Si2O3 | 57.84 | 76.25 |
| Al | Al2O3 | 25.19 | 17.25 |
| Fe | Fe2O3 | 8.46 | 0.96 |
| Mg | MgO | 2.25 | 0.80 |
| P | P2O5 | 0.21 | 0.03 |
| S | SO3 | 0.12 | 0.03 |
| K | K2O | 3.08 | 2.47 |
| Ca | CaO | 0.45 | 0.04 |
| Ti | TiO2 | 0.87 | 1.07 |
| Mn | MnO | 0.16 | 0.01 |
| Zr | ZrO2 | 0.02 | 0.01 |
| Experiment | 1 | 2 | 3 | 4 | |
|---|---|---|---|---|---|
| Considerations | Ratio | Times (h) | Temperature (°C) | Blank | BET (m2/g) |
| 1 | 1:6 | 8 | 90 | 1 | 360.165 |
| 2 | 1:6 | 12 | 110 | 2 | 427.274 |
| 3 | 1:6 | 14 | 130 | 3 | 290.365 |
| 4 | 1:8 | 8 | 110 | 3 | 703.534 |
| 5 | 1:8 | 12 | 130 | 1 | 523.563 |
| 6 | 1:8 | 14 | 90 | 2 | 645.584 |
| 7 | 1:10 | 8 | 130 | 2 | 260.385 |
| 8 | 1:10 | 12 | 90 | 3 | 445.588 |
| 9 | 1:10 | 14 | 110 | 1 | 511.246 |
| K1 | 359.268 | 441.361 | 483.779 | 464.991 | — |
| K2 | 624.227 | 465.475 | 547.351 | 444.414 | — |
| K3 | 405.740 | 482.398 | 358.104 | 479.829 | — |
| R | 264.959 | 41.037 | 189.247 | 35.415 | — |
| Considerations | β2 | n | F1 | F2 | Significance |
|---|---|---|---|---|---|
| Ratio | 120,099.602 | 2 | 63.285 | 19.000 | Yes |
| Times | 2551.904 | 2 | 1.345 | 19.000 | No |
| Temperature | 55,649.990 | 2 | 29.324 | 19.000 | Yes |
| Inaccuracies | 1897.77 | 2 |
| Type of Zeolite | Maximal Adsorption Capacity (mg/g) | Literature Sources |
|---|---|---|
| NaX zeolite | 185.35 | This work |
| NaA zeolite | 74.96 | Crystals 2024 |
| ZSM-5 | 118.34 | Chemosphere 2023 |
| NaY zeolite | 75.18 | Journal of Sol-Gel Science and Technology 2024 |
Disclaimer/Publisher’s Note: The statements, opinions and data contained in all publications are solely those of the individual author(s) and contributor(s) and not of MDPI and/or the editor(s). MDPI and/or the editor(s) disclaim responsibility for any injury to people or property resulting from any ideas, methods, instructions or products referred to in the content. |
© 2025 by the authors. Licensee MDPI, Basel, Switzerland. This article is an open access article distributed under the terms and conditions of the Creative Commons Attribution (CC BY) license (https://creativecommons.org/licenses/by/4.0/).
Share and Cite
Chen, Y.; Chen, Y.; Xu, H.; Zhao, W.; Feng, G.; Xiao, C. Green Synthesis of Coal Gangue-Derived NaX Zeolite for Enhanced Adsorption of Cu2+ and CO2. Materials 2025, 18, 1443. https://doi.org/10.3390/ma18071443
Chen Y, Chen Y, Xu H, Zhao W, Feng G, Xiao C. Green Synthesis of Coal Gangue-Derived NaX Zeolite for Enhanced Adsorption of Cu2+ and CO2. Materials. 2025; 18(7):1443. https://doi.org/10.3390/ma18071443
Chicago/Turabian StyleChen, Yanshuang, Yilin Chen, Hanqi Xu, Wenqi Zhao, Guodong Feng, and Chunhui Xiao. 2025. "Green Synthesis of Coal Gangue-Derived NaX Zeolite for Enhanced Adsorption of Cu2+ and CO2" Materials 18, no. 7: 1443. https://doi.org/10.3390/ma18071443
APA StyleChen, Y., Chen, Y., Xu, H., Zhao, W., Feng, G., & Xiao, C. (2025). Green Synthesis of Coal Gangue-Derived NaX Zeolite for Enhanced Adsorption of Cu2+ and CO2. Materials, 18(7), 1443. https://doi.org/10.3390/ma18071443

