Hydrogen Embrittlement of a T95 Low-Alloy Steel Charged by Electrochemical Method
Abstract
1. Introduction
2. Materials and Methods
2.1. Material and Preliminary Characterization
2.2. Hydrogen Diffusion Coefficient Measurement
- L is the sample thickness in (m);
- J(t) is the time-dependent atomic hydrogen permeation flux as measured on the oxidation side of the sample;
- JSS is the atomic hydrogen permeation flux at steady-state as measured on the oxidation side of the sample.
2.3. Electrochemical Hydrogen Pre-Charging
2.4. FEM Analysis of Hydrogen Concentration
- is the local hydrogen concentration, in (ppm);
- is the time, in (s);
- D is the diffusion coefficient in (m2/s).
- The diffusion coefficient within the material was set as constant throughout its volume in any direction (homogeneous and isotropic material); The material can reasonably be modelled as isotropic in first approximation, as only slight banding was detected during the micrographic analysis.
- The hydrogen concentration over the entire surface of the sample is constant over time and equal in every point (homogeneous hydrogen surface concentration conditions). This approximation can be safely assumed, as subsurface hydrogen concentration is determined by cathodic current density during electrochemical charge, and the high conductivity of the 0.5 mol/l H2SO4 solution, equal to 20 S/m [37], ensures a smooth current density over the whole specimen surface reducing the ohmic drop in the electrolyte.
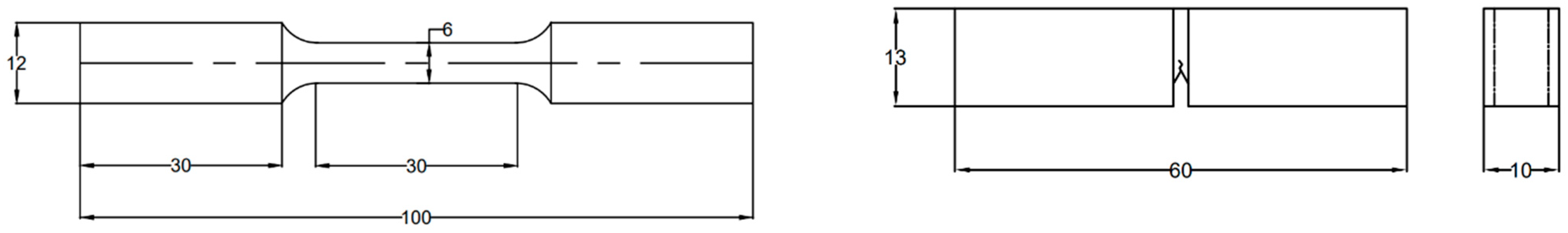
2.5. Mechanical Tests on Charged Samples and Fractography
3. Results
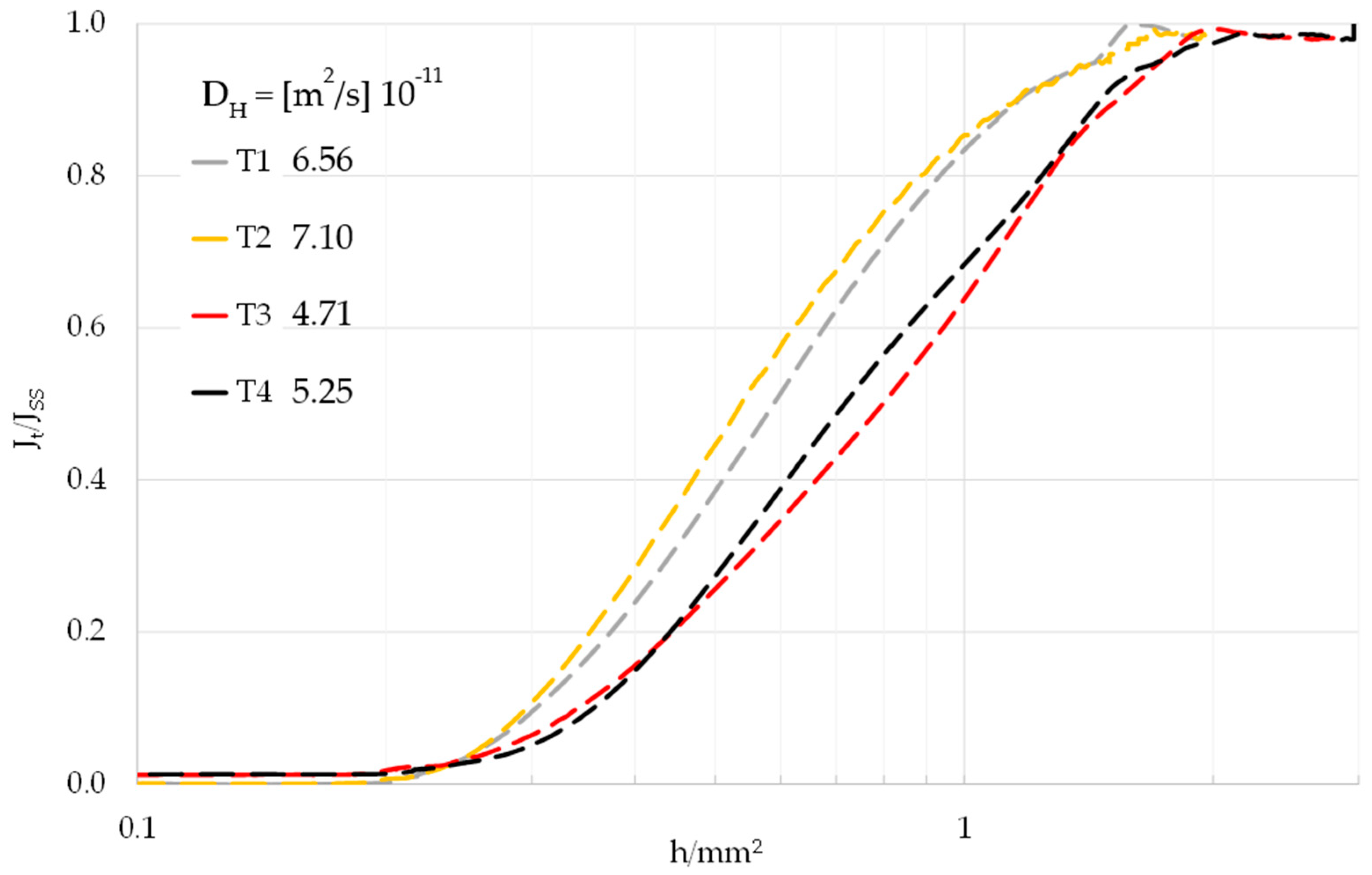
3.1. Hydrogen Diffusion Coefficient
3.2. Electrochemical Hydrogen Preliminary Charges
3.3. Hydrogen Concentration Profiles
- CB is the average bulk hydrogen concentration during the electrochemical charge;
- C0 is the hydrogen surface concentration.


3.4. Tensile Tests
- RAH is the reduction of area in the presence of hydrogen;
- RAair is the reduction of area in the absence of hydrogen.
3.5. Toughness Tests
3.6. Fractographic Analysis
3.6.1. Tensile Samples
3.6.2. SEB Samples
4. Conclusions
- -
- Electrochemical hydrogen charging tests proved that in 1N H2SO4 + 250 mg/L As2O3 solution high-pressure hydrogen and mildly sour environments can be simulated applying a cathodic current density of, respectively, 0.5 mA/cm2 and 5 mA/cm2;
- -
- During the toughness mechanical tests performed at room temperature, the hydrogen concentration never dropped below 42% of its initial value;
- -
- The SEB specimens pre-charged with 0.4 and 3.1 ppm of hydrogen displayed a significant drop in toughness, with an embrittlement index IK = 0.40 and IK = 0.60, respectively. Nevertheless, the material retained a partially ductile behavior even when the most severe environmental conditions were applied, and the lower registered KJcH = 124 MPa√m is well above the minimum value of 55 MPa√m and 30 MPa√m, required by ASME B31.12 [7] Standard and EFC Guidelines [53];
- -
- The toughness reduction in hydrogen pre-charged specimens was confirmed by the appearance of brittle regions characterized by quasi-cleavage morphology;
- -
- Tensile tests showed a modest effect of hydrogen only on ductility parameters (RA, El), so hydrogen pre-charging may not be the correct testing methodology for thin specimens, as consistent hydrogen desorption takes place when slow strain rates are applied.
Author Contributions
Funding
Institutional Review Board Statement
Informed Consent Statement
Data Availability Statement
Acknowledgments
Conflicts of Interest
Nomenclature
| ν | Poisson coefficient |
| φ | Local hydrogen concentration |
| CB | Bulk hydrogen concentration |
| C0 | Hydrogen subsurface concentration |
| D | Diffusion coefficient |
| DH | Apparent hydrogen diffusion coefficient |
| El | Elongation at break |
| IEl | Embrittlement index for the elongation at break |
| IK | Embrittlement index for the toughness reduction |
| JQ | Strain energy release rate |
| JSS | Atomic hydrogen permeation flux at steady state as measured on the oxidation side of the sample in a Devanathan-Stachurski cell |
| J(t) | Time-dependent atomic hydrogen permeation flux as measured on the oxidation side of the sample in a Devanathan-Stachurski cell |
| KJc | Stress Intensity Factor |
| KJcH | Stress Intensity Factor in hydrogen |
| NG | Natural Gas |
| OCTG | Oil Country Tubular Goods |
| RA | Reduction Area |
| RAH | Reduction Area with hydrogen |
| RAair | Reduction Area in inert environment |
| RRA | Relative Reduction Area |
| SMYS | Specified Minimum Yield Strength |
| SEB | Single Edge Bend |
| tlag | Time to achieve a value of J(t)/JSS = 0.63 |
| YS | Yield Strength |
| UTS | Ultimate Tensile Strength |
References
- European Parliament Directive (EU) 2018/2001 of the European Parliament and of the Council of 11 December 2018 on the promotion of the use of energy from renewable sources (recast). Off. J. Eur. Union 2018, 2018, 82–209.
- Puertas, R.; Marti, L. Renewable energy production capacity and consumption in Europe. Sci. Total Environ. 2022, 853, 158592. [Google Scholar] [CrossRef] [PubMed]
- PD CEN/TR 17797:2022; Gas infrastructure—Consequences of Hydrogen in the Gas Infrastructure and Identification of Related Standardisation Need in the Scope of CEN/TC 234. CEN: Brussels, Belgium, 2022.
- Ewan, B.C.R.; Allen, R.W.K. A figure of merit assessment of the routes to hydrogen. Int. J. Hydrogen Energy 2005, 30, 809–819. [Google Scholar] [CrossRef]
- Hayden, L.; Douglas, S. Hydrogen piping and pipeline code design rules and their interaction with pipeline material concerns, issues and research. In Proceedings of the ASME 2009 Pressure Vessels and Piping Division Conference, Prague, Czech Republic, 26–30 July 2009; pp. 1–7. [Google Scholar]
- Duprez, L.; Leunis, E.; Güngör, Ö.E.; Claessens, S. Hydrogen embrittlement of high strength, low alloy (HSLA) steels and their welds. In Gaseous Hydrogen Embrittlement of Materials in Energy Technologies; Gangloff, R.P., Somerday, B.P., Eds.; Woodhead Publishing: Cambridge, UK, 2012; Volume 2, pp. 562–591. [Google Scholar] [CrossRef]
- ASME B31.12-2023; Hydrogen Piping and Pipelines. ASME: New York, NY, USA, 2023.
- Matos, C.R.; Carneiro, J.F.; Silva, P.P. Overview of Large-Scale Underground Energy Storage Technologies for Integration of Renewable Energies and Criteria for Reservoir Identification. J. Energy Storage 2019, 21, 241–258. [Google Scholar] [CrossRef]
- Osman, A.I.; Mehta, N.; Elgarahy, A.M.; Hefny, M.; Al-Hinai, A.; Al-Muhtaseb, A.H.; Rooney, D.W. Hydrogen production, storage, utilisation and environmental impacts: A review. Environ. Chem. Lett. 2022, 20, 153–188. [Google Scholar] [CrossRef]
- Jahanbakhsh, A.; Potapov-Crighton, A.L.; Mosallanezhad, A.; Kaloorazi, N.T.; Maroto-Valer, M.M. Underground hydrogen storage: A UK perspective. Renew. Sustain. Energy Rev. 2024, 189, 114001. [Google Scholar] [CrossRef]
- Xu, K. Hydrogen embrittlement of carbon steels and their welds. In Gaseous Hydrogen Embrittlement of Materials in Energy Technologies: The Problem, Its Characterisation and Effects on Particular Alloy Classes; Woodhead Publishing: Cambridge, UK, 2012; pp. 526–561. [Google Scholar] [CrossRef]
- Nanninga, N.E. Fatigue crack initiation and fatigue life of metals exposed to hydrogen. In Gaseous Hydrogen Embrittlement of Materials in Energy Technologies: The Problem, Its Characterisation and Effects on Particular Alloy Classes; Woodhead Publishing: Cambridge, UK, 2012; pp. 347–378. [Google Scholar] [CrossRef]
- Stalheim, D.; Bogges, T.; Marchi, C.S.; Somerday, B.; Boggess, T.; Jansto, S. Microstructure and Mechanical Property Performance of Commercial Grade API. In Proceedings of the 8th International Pipeline Conference, Calgary, Alberta, Canada, 27 September–1 October 2010; pp. 1–9. [Google Scholar]
- Somerday, B.P.; Marchi, C.S.; Nibur, K.A.; Stalheim, D.G.; Boggess, T.; Jansto, S. Pipeline Steels in Gaseous Hydrogen. In Proceedings of the ASME Pressure Vessels and Piping Division Conference, Baltimore, MD, USA, 17–21 July 2011. [Google Scholar]
- Nanninga, N.; Slifka, A.; Levy, Y.; White, C. A review of fatigue crack growth for pipeline steels exposed to hydrogen. J. Res. Natl. Inst. Stand. Technol. 2010, 115, 437–452. [Google Scholar] [CrossRef] [PubMed]
- Slifka, A.J.; Drexler, E.S.; Amaro, R.L.; Hayden, L.E.; Stalheim, D.G.; Lauria, D.S.; Hrabe, N.W. Fatigue measurement of pipeline steels for the application of transporting gaseous hydrogen. J. Press. Vessel. Technol. Trans. ASME 2018, 140, 011407. [Google Scholar] [CrossRef]
- Amaro, R.L.; Rustagi, N.; Drexler, E.S.; Slifka, A.J. Sensitivity analysis of fatigue crack growth model for API steels in gaseous hydrogen. J. Res. Natl. Inst. Stand. Technol. 2014, 119, 6–14. [Google Scholar] [CrossRef]
- Briottet, L.; Moro, I.; Lemoine, P. Quantifying the hydrogen embrittlement of pipeline steels for safety considerations. Int. J. Hydrogen Energy 2012, 37, 17616–17623. [Google Scholar] [CrossRef]
- DVGW Project SyWeSt H2—Investigation of Steel Materials for Gas Pipelines and Plants for Assessment of their Sustainability with Hydrogen. 2023. Available online: https://www.dvgw.de/medien/dvgw/forschung/berichte/g202006-sywesth2-steel-dvgw.pdf (accessed on 24 February 2025).
- Cheng, X.Y.; Zhang, H.X. A new perspective on hydrogen diffusion and hydrogen embrittlement in low-alloy high strength steel. Corros. Sci. 2020, 174, 108800. [Google Scholar] [CrossRef]
- American Petroleum Institute. API Spec 5CT, 9th ed.; American Petroleum Institute: Washington, DC, USA, 2011. [Google Scholar]
- ASTM A370-15; Test Methods and Definitions for Mechanical Testing of Steel Products. ASTM International: West Conshohocken, PA, USA, 2015. [CrossRef]
- ASTM E1820-20; Test Method for Measurement of Fracture Toughness. ASTM International: West Conshohocken, PA, USA, 2020. [CrossRef]
- ISO 17081:2014; Method of Measurement of Hydrogen Permeation and Determination of Hydrogen Uptake and Transport in Metals by an Electrochemical Technique. ISO: Geneva, Switzerland, 2014.
- Chai, M.; Song, Y.; Zhang, Z.; Duan, Q.; Cheng, G. Effect of Hydrogen on Fracture Toughness Behavior of 2.25Cr-1Mo-0.25V Steel. In Proceedings of the ASME 2018 Pressure Vessels and Piping Conference, Prague, Czech Republic, 15–20 July 2018; pp. 1–4. [Google Scholar] [CrossRef]
- Kim, W.K.; Koh, S.U.; Yang, B.Y.; Kim, K.Y. Effect of environmental and metallurgical factors on hydrogen induced cracking of HSLA steels. Corros. Sci. 2008, 50, 3336–3342. [Google Scholar] [CrossRef]
- Zhao, Y.; Seok, M.-Y.; Choi, I.-C.; Lee, Y.-H.; Park, S.-J.; Ramamurty, U.; Suh, J.-Y.; Jang, J.-I. The role of hydrogen in hardening/softening steel: Influence of the charging process. Scr. Mater. 2015, 107, 46–49. [Google Scholar] [CrossRef]
- Zhang, T.; Chu, W.Y.; Gao, K.W.; Qiao, L.J. Study of correlation between hydrogen-induced stress and hydrogen embrittlement. Mater. Sci. Eng. A 2003, 347, 291–299. [Google Scholar] [CrossRef]
- Wu, X.Q.; Kim, I.S. Effects of strain rate and temperature on tensile behavior of hydrogen-charged SA508 Cl.3 pressure vessel steel. Mater. Sci. Eng. 2003, 348, 309–318. [Google Scholar] [CrossRef]
- Hoyos, J.J.; Masoumi, M.; Pereira, V.F.; Tschiptschin, A.P.; Paes, M.T.P.; Avila, J.A. Influence of hydrogen on the microstructure and fracture toughness of friction stir welded plates of API 5L X80 pipeline steel. Int. J. Hydrogen Energy 2019, 44, 23458–23471. [Google Scholar] [CrossRef]
- Dong, C.F.; Liu, Z.Y.; Li, X.G.; Cheng, Y.F. Effects of hydrogen-charging on the susceptibility of X100 pipeline steel to hydrogen-induced cracking. Int. J. Hydrogen Energy 2009, 34, 9879–9884. [Google Scholar] [CrossRef]
- Paterlini, L.; Casanova, L.; Ormellese, M.; Re, G. Electrochemical Hydrogen Charging, Comparison of Different Methodologies. Structural 2023, 1–18. [Google Scholar] [CrossRef]
- Bolzoni, F.; Paterlini, L.; Casanova, L.; Ormellese, M. Hydrogen charging of carbon and low alloy steel by electrochemical methods. J. Appl. Electrochem. 2023, 54, 103–114. [Google Scholar] [CrossRef]
- Verbeken, K. Analysing hydrogen in metals: Bulk thermal desorption spectroscopy (TDS) methods. In Gaseous Hydrogen Embrittlement of Materials in Energy Technologies: Mechanisms, Modelling and Future Developments; Woodhead Publishing: Cambridge, UK, 2012; pp. 27–55. [Google Scholar] [CrossRef]
- Wang, R. Effects of hydrogen on the fracture toughness of a X70 pipeline steel. Corros. Sci. 2009, 51, 2803–2810. [Google Scholar] [CrossRef]
- Ohtsubo, T.; Goto, S.; Amano, M. Development Diffusible of Apparatus Hydrogen in Steel. Trans. ISIJ 1985, 25, 21–29. [Google Scholar] [CrossRef]
- Darling, H.E. Conductivity of Sulfuric Acid Solutions. J. Chem. Eng. Data 1964, 3, 421–426. [Google Scholar] [CrossRef]
- Álvarez, G.; Peral, L.B.; Rodríguez, C.; García, T.E.; Belzunce, F.J. Hydrogen embrittlement of structural steels: Effect of the displacement rate on the fracture toughness of high-pressure hydrogen pre-charged samples. Int. J. Hydrogen Energy 2019, 44, 15634–15643. [Google Scholar] [CrossRef]
- Cupertino-Malheiros, L.; Oudriss, A.; Thébault, F.; Piette, M.; Feaugas, X. Hydrogen Diffusion and Trapping in Low-Alloy Tempered Martensitic Steels. Metall. Mater. Trans. A Phys. Metall. Mater. Sci. 2023, 54, 1159–1173. [Google Scholar] [CrossRef]
- Fumagalli, G.; Bolzoni, F.; Fallahmohammadi, E.; Re, G.; Lazzari, L. Electrochemical methods for determining diffusion coefficient of hydrogen in steels. Corros. Eng. Sci. Technol. 2015, 50, 203–210. [Google Scholar] [CrossRef]
- Fallahmohammadi, E.; Bolzoni, F.; Fumagalli, G.; Re, G.; Benassi, G.; Lazzari, L. Hydrogen diffusion into three metallurgical microstructures of a C-Mn X65 and low alloy F22 sour service steel pipelines. Int. J. Hydrogen Energy 2014, 39, 13300–13313. [Google Scholar] [CrossRef]
- Trautmann, A.; Mori, G.; Oberndorfer, M.; Bauer, S.; Holzer, C.; Dittmann, C. Hydrogen uptake and embrittlement of carbon steels in various environments. Materials 2020, 13, 3604. [Google Scholar] [CrossRef] [PubMed]
- Truschner, M.; Trautmann, A.; Mori, G. The Basics of Hydrogen Uptake in Iron and Steel. BHM Berg- und Hüttenmännische Monatshefte 2021, 166, 443–449. [Google Scholar] [CrossRef]
- Trautmann, A.; Mori, G.; Loder, B. Hydrogen Embrittlement of Steels in High Pressure H2 Gas and Acidified H2S-saturated Aqueous Brine Solution. BHM Berg- und Hüttenmännische Monatshefte 2021, 166, 450–457. [Google Scholar] [CrossRef]
- Nguyen, T.T.; Heo, H.M.; Park, J.; Nahm, S.H.; Beak, U.B. Stress concentration affecting hydrogen-assisted crack in API X70 pipeline base and weld steel under hydrogen/natural gas mixture. Eng. Fail. Anal. 2021, 122, 105242. [Google Scholar] [CrossRef]
- Moro, I.; Briottet, L.; Lemoine, P.; Andrieu, E.; Blanc, C.; Odemer, G. Hydrogen embrittlement susceptibility of a high strength steel X80. Mater. Sci. Eng. A 2010, 527, 7252–7260. [Google Scholar] [CrossRef]
- Duncan, A.; Lam, P.S.; Adams, T. Tensile testing of carbon steel in high pressure hydrogen. In Proceedings of the ASME 2007 Pressure Vessels and Piping Conference, San Antonio, TX, USA, 22–26 July 2008; Volume 6, pp. 519–525. [Google Scholar] [CrossRef]
- Nanninga, N.E.; Levy, Y.S.; Drexler, E.S.; Condon, R.T.; Stevenson, A.E.; Slifka, A.J. Comparison of hydrogen embrittlement in three pipeline steels in high pressure gaseous hydrogen environments. Corros. Sci. 2012, 59, 1–9. [Google Scholar] [CrossRef]
- Nanninga, N.; Levy, Y.; Drexler, E.; Condon, R.; Stevenson, A.; Slifka, A. Tensile Behavior of Pipeline Steels in High Pressure Gaseous Hydrogen Environments. pp. 1–33. Available online: https://tsapps.nist.gov/publication/get_pdf.cfm?pub_id=907912 (accessed on 24 February 2025).
- Meng, B.; Gu, C.; Zhang, L.; Zhou, C.; Li, X.; Zhao, Y.; Zheng, J.; Chen, X.; Han, Y. Hydrogen effects on X80 pipeline steel in high-pressure natural gas/hydrogen mixtures. Int. J. Hydrogen Energy 2017, 42, 7404–7412. [Google Scholar] [CrossRef]
- Nguyen, T.T.; Tak, N.; Park, J.; Nahm, S.H.; Beak, U.B. Hydrogen embrittlement susceptibility of X70 pipeline steel weld under a low partial hydrogen environment. Int. J. Hydrogen Energy 2020, 45, 23739–23753. [Google Scholar] [CrossRef]
- ANSI/CSA CHMC 1-2014; Test Methods for Evaluating Material Compatibility in Compressed Hydrogen Applications—Metals. CSA America, Inc.: Toronto, ON, Canada, 2014.
- Svein, E.; Liane, S. EFC—Guidelines on Materials Requirements for Carbon and Low Alloy Steels for H2S-Containing Environments in Oil and Gas Production; Maney Publishing: London, UK, 2009; 56p, ISBN 9781906540333. [Google Scholar]











| Steel | C (%) | Mn (%) | Si (%) | S (%) | P (%) | Cr (%) | Mo (%) | Ni (%) |
|---|---|---|---|---|---|---|---|---|
| T95 | 0.342 | 0.358 | 0.234 | <0.001 | 0.011 | 1.191 | 0.798 | 0.161 |
| Plane | X-Y | X-Z | Z-Y |
|---|---|---|---|
| HV30 | 263 ± 9.7 | 257 ± 6.1 | 259 ± 3.5 |
| YS (MPa) | UTS (MPa) | El (%) | RA (%) | |
|---|---|---|---|---|
| Average | 702 ± 1.5 | 806 ± 2.3 | 24.9 ± 0.1 | 76.8 ± 0.8 |
| JQ (N/mm) | KJc) | |
|---|---|---|
| Average | 448 ± 66 | 311 ± 22 |
| Cath. i (mA/cm2) | H Conc. (ppm) | YS (MPa) | UTS (MPa) | El (%) | IEl | RA [%] | RRA | |
|---|---|---|---|---|---|---|---|---|
| Average | 0.5 | 0.3 | 705 ± 5.7 | 797.5 ± 7.8 | 17.3 ± 1.6 | 0.31 ± 0.06 | 73.8 ± 0.6 | 0.96 ± 0.01 |
| Cath. i (mA/cm2) | Initial H Conc. (ppm) | H Conc. After Test (ppm) | JQ (N/mm) | KJcH (MPa√m) | IK | |
|---|---|---|---|---|---|---|
| Average | 0.5 | 0.4 | 0.17 ± 0.0 | 159 ± 5.7 | 186.5 ± 3.5 | 0.40 ± 0.1 |
| 5 | 3.1 | 1.98 ± 0.1 | 72.1 ± 0.0 | 124.2 ± 2.8 | 0.60 ± 0.07 |
Disclaimer/Publisher’s Note: The statements, opinions and data contained in all publications are solely those of the individual author(s) and contributor(s) and not of MDPI and/or the editor(s). MDPI and/or the editor(s) disclaim responsibility for any injury to people or property resulting from any ideas, methods, instructions or products referred to in the content. |
© 2025 by the authors. Licensee MDPI, Basel, Switzerland. This article is an open access article distributed under the terms and conditions of the Creative Commons Attribution (CC BY) license (https://creativecommons.org/licenses/by/4.0/).
Share and Cite
Paterlini, L.; Vergani, L.; Ormellese, M.; Curia, A.; Re, G.; Bolzoni, F. Hydrogen Embrittlement of a T95 Low-Alloy Steel Charged by Electrochemical Method. Materials 2025, 18, 1047. https://doi.org/10.3390/ma18051047
Paterlini L, Vergani L, Ormellese M, Curia A, Re G, Bolzoni F. Hydrogen Embrittlement of a T95 Low-Alloy Steel Charged by Electrochemical Method. Materials. 2025; 18(5):1047. https://doi.org/10.3390/ma18051047
Chicago/Turabian StylePaterlini, Luca, Laura Vergani, Marco Ormellese, Arianna Curia, Giorgio Re, and Fabio Bolzoni. 2025. "Hydrogen Embrittlement of a T95 Low-Alloy Steel Charged by Electrochemical Method" Materials 18, no. 5: 1047. https://doi.org/10.3390/ma18051047
APA StylePaterlini, L., Vergani, L., Ormellese, M., Curia, A., Re, G., & Bolzoni, F. (2025). Hydrogen Embrittlement of a T95 Low-Alloy Steel Charged by Electrochemical Method. Materials, 18(5), 1047. https://doi.org/10.3390/ma18051047

