In-Plane Strengthening of Unreinforced Masonry Walls with Discrete Glass Fiber-Reinforced Polymer Grid Strips Bonded with Sprayed Polyurea
Abstract
1. Introduction
2. Experimental Program
2.1. Test Matrix
2.2. Material Properties
2.3. Strain Gauges Locations
2.4. Test Setup
3. Experimental Results
3.1. Failure Mode and Failure Load of the Tested Walls
3.2. Experimental Strains of the Polyurea Strips
- Walls WC1, WK1, WK2, and WK3: The recorded strains are negligible, and therefore, are not included in Table 4. This aligns with what was reported by Jing et al. [39]. In their test, the ratio of the recorded maximum strain to the ultimate limit of the CFRP plate at failure for the URM walls was 8.94%; however, a significant increase in shear capacity was achieved. The reason is that other than the shear force taken by the FRP itself, the restraining effect of the FRP resulted in a significant increase in the shear capacity. Therefore, the restraining effect, due to the 7 mm thick sprayed polyurea strips in the test, was responsible for the greater increase of shear capacity of the URM walls even though the recorded strain of the strips was low.
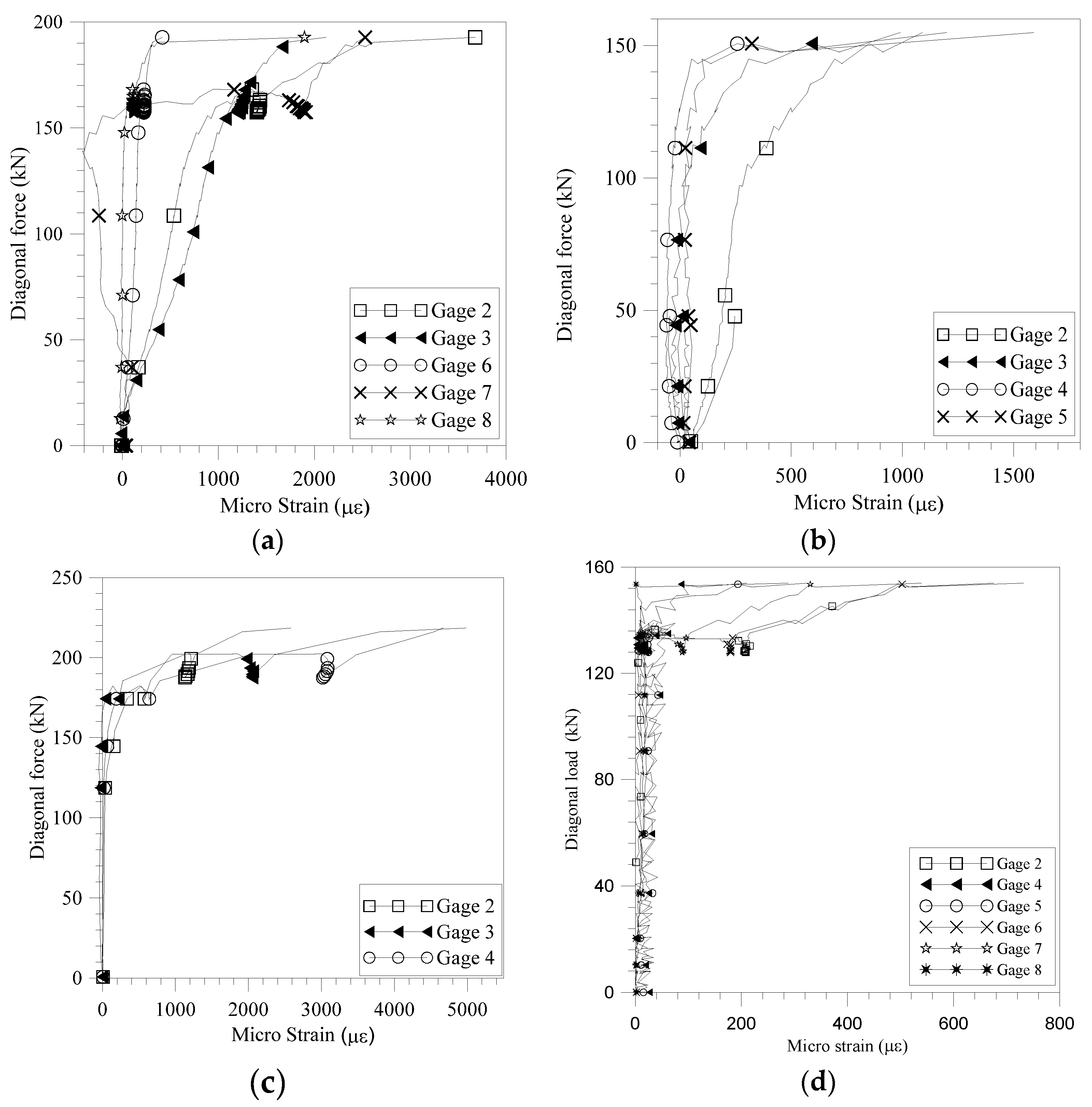
- Wall WC2: Table 4 and Figure 1b and Figure 5a illustrate that the recorded strains on the FRP strips are negligible when the strain gauges are positioned away from the diagonal cracks. At failure, the strain readings from gauges 2/3 and 4/5 are nearly identical, suggesting that the horizontal strips were subjected to significant tension in the vertical direction at the locations where the stepped cracks intersected. Additionally, strain readings from gauges 4, 7, and 8 on the front side, as well as from gauges 11, 14, and 15 on the back side, show that the strains in the strips at corresponding locations on each side are significantly different.
- Wall WC4: High strains in the vertical direction, as shown in Figure 1d and Figure 5c, indicate that the vertical strips contributed to constraining dilation along the bed joints. Furthermore, the variation in strain readings from gauges 3, 4, and 5 on the front side, and from gauges 8, 9, and 10 on the back side, reveals that, at failure, the strains measured in the strips at corresponding locations on each side differ significantly (Table 4 and Figure 1d).
- Wall WK4: Shear cracks along the mortar joints were not observed, which can be attributed to the clamping mechanism provided by the vertical strips. The strains recorded along the strips from both sides at the maximum diagonal load were relatively small (Table 4 and Figure 1e and Figure 5d). The wall exhibited considerable post-peak load ductility, as strains in the strips increased significantly, while the diagonal load remained nearly constant or experienced only a small decrease.
3.3. Shear Strain of the URM Walls
3.4. Evaluation of the Test Results
3.5. Effect of Strips Layout on the Shear Strengthening of URM Walls
3.6. Effective Strain of Polyurea Strips at Failure of the Strengthened URM Walls
3.7. Contribution of Discrete Vertical Strips to Shear Capacity of the URM Walls
3.8. Comparison of Double-Sided Strengthening with Single-Sided Strengthening
3.9. Failure Mode of the URM Walls Strengthened with Vertical GFRP Strips
3.10. Design Recommendations
- Concrete Block Walls: when only discrete horizontal strips are used for shear strengthening, it is advisable to cover each of the bed joints to effectively prevent shear sliding failure along the bed joints.
- Double-Sided Strengthening: for strengthening of the URM walls with horizontal strips, assuming the contribution of double-sided strengthening is equal to twice that of single-sided strengthening may lead to an overestimation of the shear strength increment; therefore, a reduction factor of 0.6 should be considered for design purposes until more experimental data is available.
- Discrete Vertical Strips vs. Full Surface Strengthening: since discrete vertical strips have been found to be more efficient than full surface strengthening when the same amount of strengthening fabric or grid is used, it is recommended to apply discrete vertical strips instead of full surface strengthening for improved shear capacity and cost-effectiveness.
4. Conclusions
- Vertical Strengthening Efficacy: The application of vertical GFRP strips effectively constrained the development of bed joint cracking and delayed the overall failure of the URM walls. This resulted in a notable improvement in shear capacity and pseudo-ductility compared to unstrengthened walls or those strengthened only with horizontal strips.
- Enhanced Effective Strain: The discrete vertical strips demonstrated a higher effective strain compared to horizontal strips, particularly in walls failing due to shear friction cracking. This suggests that greater strain allowances can be adopted when considering the contribution of vertical strips to the overall shear capacity of the strengthened URM walls.
- Predictive Accuracy of Shear Models: the preliminary model proposed in this study reasonably predicted the shear capacity increments due to the inclusion of vertical GFRP strips, highlighting the potential for refined analytical tools in structural design applications.
- Asymmetrical Behavior in Double-Sided Strengthening: Despite the absence of out-of-plane bending, the strain responses differed significantly between the two sides of double-sided strengthened walls. This asymmetry emphasizes the need for reduction factors to accurately reflect the unequal contributions of each side in design calculations.
- Superiority of Vertical Strips in Pseudo-Ductility: vertical strengthening schemes consistently achieved higher pseudo-ductility compared to horizontal ones, reinforcing their suitability for seismic retrofitting where energy dissipation and deformation capacity are critical.
Author Contributions
Funding
Institutional Review Board Statement
Informed Consent Statement
Data Availability Statement
Conflicts of Interest
References
- Albert, M.L.; Elwi, A.E.; Cheng, J.J.R. Strengthening of unreinforced masonry walls using FRPs. J. Compos. Constr. 2001, 5, 76–84. [Google Scholar] [CrossRef]
- Hamid, A.A.; EI-Dakhakhni, W.W.; Hakam, Z.H.R.; Eigaaly, M. Behavior of Composite Unreinforced Masonry-Fiber-Reinforced Polymer Wall Assemblages Under In-plane Loading. J. Compos. Constr. 2005, 9, 73–83. [Google Scholar] [CrossRef]
- Mahmood, H.; Ingham, J.M. Diagonal Compression Testing of FRP-Retrofitted Unreinforced Clay Brick Masonry Wallettes. J. Compos. Constr. 2011, 15, 810–820. [Google Scholar] [CrossRef]
- Garofano, A.; Ceroni, F.; Pecce, M. Modelling of the in-plane behaviour of masonry walls strengthened with polymeric grids embedded in cementitious mortar layers. Compos. Part B Eng. 2016, 85, 243–258. [Google Scholar] [CrossRef]
- Marcari, G.; Basili, M.; Vestroni, F. Experimental investigation of tuff masonry panels reinforced with surface bonded basalt textile-reinforced mortar. Compos. Part B Eng. 2017, 108, 131–142. [Google Scholar] [CrossRef]
- Giaretton, M.; Dizhur, D.; Garbin, E.; Ingham, J.M.; Porto, F.D. In-Plane Strengthening of Clay Brick and Block Masonry Walls Using Textile-Reinforced Mortar. J. Compos. Constr. 2018, 22, 04018028. [Google Scholar] [CrossRef]
- Cheng, S.C.; Yin, S.P.; Jing, J. Comparative experimental analysis on the in-plane shear performance of brick masonry walls strengthened with different fiber reinforced materials. Constr. Build. Mater. 2020, 259, 120387. [Google Scholar] [CrossRef]
- Cassese, P.; Balestrieri, C.; Fenu, L.G.; Asprone, D.; Parisi, F. In-plane shear behaviour of adobe masonry wallets strengthened with textile reinforced mortar. Constr. Build. Mater. 2021, 306, 124832. [Google Scholar] [CrossRef]
- Castori, G.; Corradi, M.; Sperazini, E. Full size testing and detailed micro-modeling of the in-plane behavior of FRCM–reinforced masonry. Constr. Build. Mater. 2021, 299, 124276. [Google Scholar] [CrossRef]
- Borri, A.; Castori, G.; Corradi, M. Shear behaviour of masonry panels strengthened by high strength steel cords. Constr. Build. Mater. 2011, 25, 494–503. [Google Scholar] [CrossRef]
- Del Zoppo, M.; Ludovico, M.D.; Prota, A. Analysis of FRCM and CRM parameters for the in-plane shear strengthening of different URM types. Compos. Part B Eng. 2019, 171, 20–33. [Google Scholar] [CrossRef]
- Shojaei, B.; Najafi, M.; Yazdanbakhsh, A.; Abtahi, M.; Zhang, C.W. A review on the applications of polyurea in the construction industry. Polym. Adv. Technol. 2021, 32, 2797–2812. [Google Scholar] [CrossRef]
- Hrynyk, T.D.; Myers, J.J. Out-of-Plane Behavior of URM Arching Walls with Modern Blast Retrofits: Experimental Results and Analytical Model. J. Struct. Eng. 2008, 134, 1589–1597. [Google Scholar] [CrossRef]
- Cuong, N.H.; Shin, J.K.; Kim, J.H.; Luat, N.V.; Lee, K. Compressive and shear behavior of brick masonry assemblages strengthened with polyurea coating: Experiment and DEM investigations. Constr. Build. Mater. 2022, 348, 128534. [Google Scholar] [CrossRef]
- Zhu, H.; Wang, X.; Wang, Y.; Ji, C.; Wu, G.; Zhang, L.; Han, Z. Damage behavior and assessment of polyurea sprayed reinforced clay brick masonry walls subjected to close-in blast loads. Int. J. Impact Eng. 2022, 167, 104283. [Google Scholar] [CrossRef]
- Triantafillou, T.C. Strengthening of Masonry Structures using Epoxy-bonded FRP Laminates. J. Compos. Constr. 1998, 2, 96–104. [Google Scholar] [CrossRef]
- Prota, A.; Manfredi, G.; Nardone, F. Assessment of Design Formulas for In-Plane FRP Strengthening of Masonry Walls. J. Compos. Constr. 2008, 12, 643–649. [Google Scholar] [CrossRef]
- D’Ambra, C.; Lignola, G.P.; Prota, A. Simple method to evaluate FRCM strengthening effects on in-plane shear capacity of masonry walls. Constr. Build. Mater. 2021, 268, 121125. [Google Scholar] [CrossRef]
- Meriggi, P.; Santis, S.D.; Fares, S.; Felice, G.D. Design of the shear strengthening of masonry walls with fabric reinforced cementitious matrix. Constr. Build. Mater. 2021, 279, 122452. [Google Scholar] [CrossRef]
- American Concrete Institute (ACI). Guide to Design and Construction of Externally Bonded Fiber-Reinforced Cementitious Matrix (FRCM) and Steel-Reinforced Grout (SRG) Systems for Repair and Strengthening Masonry Structures; ACI 549.6R; ACI: Farmington Hills, MI, USA, 2020. [Google Scholar]
- CNR-DT 200 R1/2012; Guide for the Design and Construction of Externally Bonded FRP Systems for Strengthening Existing Structures. Italian National Research Council: Rome, Italy, 2013.
- GB50608-2020; Technical Code for Infrastructure Application of FRP Composites. Ministry of Housing and Urban-Rural Development of the People’s Republic of China: Beijing, China, 2020. (In Chinese)
- Petersen, R.B.; Masia, M.J.; Seracino, R. In-Plane Shear Behavior of Masonry Panels Strengthened with NSM CFRP Strips. I: Experimental Investigation. J. Compos. Constr. 2010, 14, 754–763. [Google Scholar] [CrossRef]
- Konthesingha, K.M.C.; Masia, M.J.; Petersen, R.B.; Page, A.W. Experimental evaluation of static cyclic in-plane shear behavior of unreinforced masonry walls strengthened with NSM FRP strips. J. Compos Constr. 2015, 19, 04014055. [Google Scholar] [CrossRef]
- Wang, X.; Lam, C.C.; Iu, V.P. Experimental investigation of in-plane shear behaviour of grey clay brick masonry panels strengthened with SRG. Eng. Struct. 2018, 162, 84–96. [Google Scholar] [CrossRef]
- Kaluza, M. Experimental Analysis of Surface Application of Fiber-Reinforced Polymer Composite on Shear Behavior of Masonry Walls Made of Autoclaved Concrete Block. Buildings 2022, 12, 2208. [Google Scholar] [CrossRef]
- Donnini, J.; Corinaldesi, V. Mechanical characterization of different FRCM systems for structural reinforcement. Constr. Build. Mater. 2017, 145, 565–575. [Google Scholar] [CrossRef]
- del Felice, G.; D’Antino, T.; Santis, S.D.; Meriggi, P.; Roscini, F. Lessons Learned on the Tensile and Bond Behavior of Fabric Reinforced Cementitious Matrix (FRCM). Compos. Front. Built Environ. 2020, 6, 5. [Google Scholar] [CrossRef]
- Silva, P.F.; Yu, P.; Nanni, A. Monte Carlo Simulation of Shear Capacity of URM Walls Retrofitted by Polyurea Reinforced GFRP Grids. J. Compos. Constr. 2008, 12, 405–415. [Google Scholar] [CrossRef]
- ACI 440.7R-10; Guide for the Design and Construction of Externally Bonded Fiber-Reinforced Polymer Systems for Strengthening Unreinforced Masonry Structures. American Concrete Institute: Farmington Hills, MI, USA, 2010.
- ASTM C270-07; Standard Specification for Mortar for Unit Masonry. ASTM International: West Conshohocken, PA, USA, 2007.
- Yu, P.Y.; Silva, P.F.; Nanni, A. Flexural Strengthening of RC Beams using GFRP Grid Bonded with Sprayed Polyurea. Eng. Struct. 2023, 292, 116516. [Google Scholar] [CrossRef]
- ASTM D3039/D3039M; Standard Test Method for Tensile Properties of Polymer Matrix Composite Materials. ASTM International: West Conshohocken, PA, USA, 2014.
- ASTM C1314; Standard Test Method for Compressive Strength of Masonry Prisms. ASTM International: West Conshohocken, PA, USA, 2010.
- ASTM C109/C109M; Standard Test Method for Compressive Strength of Hydraulic Cement Mortar (Using 2-in. or [50 mm] Cube Specimens). ASTM International: West Conshohocken, PA, USA, 2016.
- ASTM E519-10; Standard Test Method for Diagonal Tension (Shear) in Masonry Assemblages. ASTM International: West Conshohocken, PA, USA, 2010.
- Li, T.; Galati, N.; Tumialan, J.G.; Nanni, A. Analysis of Unreinforced Masonry Concrete Walls Strengthened with Glass Fiber Reinforced Polymer Bars. ACI Struct. J. 2005, 102, 569. [Google Scholar]
- De Carvalho Bello, C.B.; Cecchi, A.; Meroi, E.; Oliveira, D.V. Experimental and Numerical Investigations on the Behaviour of Masonry Walls Reinforced with an Innovative Sisal FRCM System. Key Eng. Mater. 2017, 747, 190–195. [Google Scholar] [CrossRef]
- Jing, J.J.; Zhou, C.D.; Zhang, C.; Li, T. In-plane cyclic behavior of brick walls strengthened with CFRP plates embedded in the horizontal mortar joint. J. Build. Eng. 2023, 63, 105476. [Google Scholar] [CrossRef]
- Babaeidarabad, S.; Arboleda, D.; Loreto, G.; Nanni, A. Shear strengthening of un-reinforced concrete masonry walls with fibric-reinforced-cementitious-matrix. Constr. Build. Mater. 2014, 65, 243–253. [Google Scholar] [CrossRef]
- Parisi, F.; Iovinella, I.; Balsamo, A.; Augenti, N.; Prota, A. In-plane behavior of tuff masonry strengthened with inorganic matrix–grid composites. Compos. Part B Eng. 2013, 45, 1657–1666. [Google Scholar] [CrossRef]
- Prota, A.; Marcari, G.; Fabbrocino, G.; Manfredi, G.; Aldea, C. Experimental in-plane behavior of tuff masonry strengthened with cementitious matrix-grid composites. J. Compos. Constr. 2006, 10, 223–233. [Google Scholar] [CrossRef]
- Alecci, V.; Barducci, S.; D’Ambrisi, A.; De Stefano, M.; Focacci, F.; Luciano, R.; Penna, R. Shear capacity of masonry panels repaired with composite materials: Experimental and analytical investigations. Compos. Part B Eng. 2019, 171, 61–69. [Google Scholar] [CrossRef]
- Ferretti, F.; Mazzotti, C. FRCM/SRG strengthened masonry in diagonal compression: Experimental results and analytical approach proposal. Constr. Build. Mater. 2021, 283, 122766. [Google Scholar] [CrossRef]
- Valluzzi, M.R.; Tinazzi, D.; Modena, C. Shear behavior of masonry panels strengthened by FRP laminates. Constr. Build. Mater. 2002, 16, 409–416. [Google Scholar] [CrossRef]
- Choi, Y.C.; Choi, H.K.; Lee, D.; Choi, C.S. Shear Strength of Unreinforced Masonry Wall Retrofitted with Fiber Reinforced Polymer and Hybrid Sheet. Int. J. Polym. Sci. 2015, 2015, 863057. [Google Scholar] [CrossRef]
- Ceroni, F.; Salzano, P. Design provisions for FRCM systems bonded to concrete and masonry elements. Compos. Part B Eng. 2018, 143, 230–242. [Google Scholar] [CrossRef]
- Tumialan, G.; Morbin, A.; Nanni, A.; Medena, C. Shear strength of Masonry Walls with FRP Composites. In COMPOSITES 2001 Convention and Trade Show; Composites Fabricators Association: Tampa, FL, USA, 2001; 6p. [Google Scholar]
- Yang, P.; Tian, W.; Qing, L. In-plane shear behavior of brick masonry walls strengthened with basalt textile-reinforced concrete. Constr. Build. Mater. 2023, 401, 132732. [Google Scholar] [CrossRef]
- Masonry Standards Joint Committee. Building Code Requirements for Masonry Structures (ACI 530-02/ASCE 5-02/TMS 402-02) and Related Commentaries; The Masonry Society, SEI of ASCE and American Concrete Institute: Farmington Hills, MI, USA, 2002; Available online: https://engineering.purdue.edu/~ramirez/CE479/FALL05/MasonryBuildingCode1-3-02.pdf (accessed on 24 January 2025).
- Calderini, C.; Cattari, S.; Lagomarsino, S. The use of the diagonal compression test to identify the shear mechanical parameters of masonry. Constr. Build. Mater. 2010, 24, 677–685. [Google Scholar] [CrossRef]









| Wall | Directional Layout | Sides Being Strengthened |
|---|---|---|
| WC0a | -- | -- |
| WC0b | -- | -- |
| WC0c | -- | -- |
| WC0d | -- | -- |
| WC1 | horizontal | single |
| WC2 | horizontal | double |
| WC3 | vertical | single |
| WC4 | vertical | double |
| WK0 | -- | -- |
| WK1 | horizontal | single |
| WK2 | horizontal | double |
| WK3 | vertical | single |
| WK4 | vertical | double |
| GFRP Gird | Plain Polyurea | GFRP Grid Reinforced Polyurea (Based on the Cross-Section of Grid) | Concrete Block | Clay Brick | Mortar | |
|---|---|---|---|---|---|---|
| Tensile or compressive strength (MPa) | 587-t | 7-t | 736-t | 16.8-c | 13.2-c | 5.67-c |
| Elastic modulus (GPa) | 37-t | 0.2-t | 37.7-t | 15.1-c | 11.2-c | 2.8-c |
| Ultimate strain (%) | 1.8 | 43.8 | 2.3 | -- | -- | -- |
| Test standard followed | ASTM D3039 [33] | ASTM D3039 [33] | ASTM D3039 [33] | ASTM C1314 [34] | ASTM C1314 [34] | ASTM C109 [35] |
| Wall | Failure Mode | Failure Diagonal Load F (kN) | (b) Increase Capacity (%) | (c) Increment Factor | (×10−3) (1) | (×10−3) (2) | Pseudo- Ductility (2)/(1) | |
|---|---|---|---|---|---|---|---|---|
| WC0a | SF | 108.1 | (a) 128.3 | -- | -- | -- | -- | -- |
| WC0b | SF | 116.5 | -- | -- | 0.28 | 0.81 | 2.9 | |
| WC0c | SF | 153.8 | -- | -- | 0.27 | 2.92 | 8.4 | |
| WC0d | SF | 134.9 | -- | -- | 0.34 | 1.27 | 3.74 | |
| WC1 | SF | 191.3 | (x) 49.1 | -- | 0.12 | 1.35 | 11.25 | |
| WC2 | SF + SS | 238.0 | 85.4 | (y) 1.73 | 0.30 | 1.44 | 5.33 | |
| WC3 | SF | 154.8 | 20.6 | -- | 0.46 | 4.88 | 10.6 | |
| WC4 | SF | 225.1 | 75.4 | 3.66 | 0.40 | 2.58 | 6.45 | |
| WK0 | SF | 81 | -- | -- | 1.62 | 4.25 | 2.61 | |
| WK1 | SF + SS | 149 | 83.8 | -- | 0.089 | 1.25 | 14.4 | |
| WK2 | SS | 161.5 | 99.3 | 1.18 | 0.209 | 1.70 | 8.1 | |
| WK3 | SF + tension | 132.6 | 63.7 | -- | 0.030 | 0.55 | 18.3 | |
| WK4 | compression | 148.6 | 83.5 | -- | 0.227 | 16.05 | 70.7 | |
| Wall WC2 (µɛ) | Wall WC3 (µɛ) | Wall WC4 (µɛ) | Wall WK4 (µɛ) | |
|---|---|---|---|---|
| Gage 1 | 325 | 128 | 603 | 126 |
| Gage 2 | 3677 | 1091 | 2861 | 675 |
| Gage 3 | 2122 | 990 | 5689 | 209 |
| Gage 4 | 414 | 1592 | 4983 | 45 |
| Gage 5 | 94 | 1199 | −132 | 102 |
| Gage 6 | 2363 | −121 | 2369 | 324 |
| Gage 7 | 2530 | −20 | 47 | 731 |
| Gage 8 | 1896 | −67 | 2179 | 539 |
| Gage 9 | −381 | −67 | −254 | 15 |
| Gage 10 | −88 | −100 | 1119 | 288 |
| Gage 11 | −552 | -- | -- | -- |
| Gage 12 | -- | -- | -- | -- |
| Gage 13 | −14 | -- | -- | -- |
| Gage 14 | −64 | -- | -- | -- |
| Gage 15 | 502 | -- | -- | -- |
| Reference | Wall | Strengthening Schemes | Failure Mode | Recorded Maximum Strain (µɛ) | Failure Load F (kN) | Estimated URM Walls $ (kN) | Load Increase (%) | Ductility # |
|---|---|---|---|---|---|---|---|---|
| Petersen et al. [23] | V2 | Two vertical NSM CFRP strips on one side | N/S | 3100 | 160 | 125 | 28 | N/A |
| V4A | Two vertical NSM CFRP strips on each side | N/S | 4000 | 210 | 172 | 22 | N/A | |
| V4B | N/S | 6242 | 205 | 140 | 46 | N/A | ||
| H4A | Two horizontal NSM CFRP strips on each side | N/S | 8900 * | 264 | 251 | 5 | N/A | |
| H4B | N/S | 1600 | 185 | 183 | 2 | N/A | ||
| V2H2A | Two horizontal NSM CFRP strips on one side and two vertical on the other side | N/S | 3590 (horizontal) /3800 (vertical) | 206 | 177 | 16 | N/A | |
| V2H2B | N/S | 9850(vertical) | 158 | 120 | 32 | N/A | ||
| Wang et al. [25] | URM1 | -- | ST | -- | 114 | -- | -- | -- |
| URM2 | -- | ST | -- | 124 | -- | -- | -- | |
| S4H | Full surface horizontal SRG | TF | N/A | 204 | -- | 72 | 6.65 | |
| S4V | Full surface vertical SRG | TF | N/A | 155 | -- | 30 | 7 | |
| S12GH | Three horizontal SRG strips | TF, TC | N/A | 231 | -- | 94 | 2.67 | |
| S12GV | Three vertical SRG strips | TF | N/A | 175 | -- | 48 | 7.90 | |
| S12GHV | Three horizontal and three vertical SRG strips | TC | N/A | 263 | -- | 121 | 8.42 | |
| S4GHV | TC | N/A | 210 | -- | 78 | 14.93 | ||
| Mahmood and Ingham [3] | AP6 | -- | SS + SF | -- | 36 | -- | -- | 13.8 |
| AP7 | -- | SS + SF | -- | 35 | -- | -- | 6.5 | |
| WTC2 | Three horizontal CFRP strips | SS + SF | N/A | 92 | -- | 166 | 6.6 | |
| WTC3 | Three vertical and three horizontal CFRP strips | SS + SF | N/A | 98 | -- | 183 | 10.3 | |
| WTC5 | Three vertical CFRP strips | SS + SF | N/A | 111 | -- | 221 | 10.9 |
| Wall | (mm2) | (GPa) | (GPa) | (%) | Failure Mode | Experimental | Calculated (Equation (7)) (kN) | ||
|---|---|---|---|---|---|---|---|---|---|
(kN) | (kN) | Maximum (µɛ) | |||||||
| Wall 6 I [48] | 143.2 | 83.4 | 15.1 | 0.32 | SF | -- | -- | -- | -- |
| COW 9 I [37] | 36.1 | 83.1 | 15.1 | 0.08 | SF | -- | -- | -- | -- |
| WC3 I | 2895 # | 1.59 | 15.1 | 0.12 | SF | 109.4 | 14.6 | 1592 | 10.9 |
| WC4 I | 5791 # | 1.59 | 15.1 | 0.25 | SF | 159.2 | 64.9 | 5689 | 81.3 |
| WK3 II | 2895 # | 1.59 | 11.2 | 0.37 | Shear friction + Tension | -- | -- | -- | -- |
| WK4 II | 5791 # | 1.59 | 11.2 | 0.73 | Compression | -- | -- | -- | -- |
| Reference | Wall | Strengthening Type and Material | Sides Being Strengthened | Failure Mode # | Failure Capacity (kN) | Failure Shear Stress (MPa) | Averaged Capacity or Shear Stress | Increased Shear Capacity (%) | Increment Factor $ | Pseudo-Ductility |
|---|---|---|---|---|---|---|---|---|---|---|
| Parisi et al. [41] | P1 | -- | None | S-SC | -- | 0.21 | 0.22 | -- | -- | 1.4 |
| P2 | -- | None | S-SC | -- | 0.19 | 3.6 | ||||
| P3 | -- | None | S-SC | -- | 0.27 | 1.9 | ||||
| PR1 | FS + IMG | Single | S-SC | -- | 0.45 | 0.43 | 95.5 & | -- | 2.2 | |
| PR2 | FS + IMG | Single | S-SC | -- | 0.41 | 2.7 | ||||
| PRR1 | FS + IMG | Double | S-SC | -- | 0.71 | 0.70 | 218.2 | 2.28 ** | 5.2 | |
| PRR2 | FS + IMG | Double | S-SC | -- | 0.68 | 5.5 | ||||
| Marcari et al. [5] | UPD1 | -- | None | SS | -- | 0.40 | 0.39 | -- | -- | 4.4 |
| UPD2 | -- | None | SS | -- | 0.37 | 4.5 | ||||
| RPS2 | FS + BTRM | Single | SS | -- | 0.52 | 0.52 | 33 | -- | 8.5 | |
| RPS3 | FS + BTRM | Single | SS | -- | 0.53 | 12.9 | ||||
| RPD1 | FS + BTRM | Double | DF | -- | 0.62 | 0.62 | 59 | 1.79 | 5.8 | |
| RPD2 | FS + BTRM | Double | DF | -- | 0.63 | 7.5 | ||||
| Giaretton et al. [6] | UR2-1 | -- | None | SS | 121.2 | -- | 99.2 | -- | -- | N/A |
| UR2-2 | -- | None | SS | 71.9 | -- | N/A | ||||
| UR2-3 | -- | None | SS | 104.6 | -- | N/A | ||||
| R2S-1 | FS + TRM | Single | DF | 181.1 | -- | 148 | 49.2 | -- | N/A | |
| R2S-2 | FS + TRM | Single | DF | 142.7 | -- | N/A | ||||
| R2S-3 | FS + TRM | Single | DF | 125.6 | -- | N/A | ||||
| R2S-4 | FS + TRM | Single | DF | 116.7 | -- | N/A | ||||
| R2S-th | FS + TRM | Single | DF | 173.7 | N/A | |||||
| R2d-1 | FS + TRM | Double | DF | 238.0 | -- | 254.8 | 156.8 | 3.18 | N/A | |
| R2d-2 | FS + TRM | Double | DF | 255.9 | -- | N/A | ||||
| R2d-3 | FS + TRM | Double | DF | 270.4 | -- | N/A | ||||
| Cheng et al. [7] | W-U-1 | -- | None | S-SC | 84.00 | -- | 77.57 | -- | -- | 1.0 |
| W-U-2 | -- | None | S-SC | 71.13 | -- | 1.0 | ||||
| W-SF-1 | Diagonal FRP Strips | Single | S-SC | 202.05 | -- | 193.18 | 149 | -- | 3.8 | |
| W-SF-2 | Single | S-SC | 184.30 | -- | 4.1 | |||||
| W-DF-1 | Diagonal FRP Strips | Double | TC | 220.80 | -- | 227.15 | 192 | 1.29 | 4.7 | |
| W-DF-2 | Double | TC | 233.50 | -- | 4.3 | |||||
| W-SC1-1 | FS + TRC | Single | S-SC | 229.00 | -- | 221.42 | 185 | -- | 7.4 | |
| W-SC1-2 | FS + TRC | Single | S-SC | 213.83 | -- | 4.1 | ||||
| W-DC1-1 | FS + TRC | Double | TC | 218.54 | -- | 238.27 | 207 | 1.12 | 9.3 | |
| W-DC1-2 | FS + TRC | Double | TC | 258.00 | -- | 14.2 | ||||
| Prota. et al. [42] | P#1 | -- | -- | S | -- | 0.22 | 0.24 | -- | -- | 2.2 |
| P#2 | -- | -- | S-T | -- | 0.35 | -- | ||||
| P#3 | -- | -- | S | -- | 0.21 | 2.4 | ||||
| P#4 | -- | -- | S | -- | 0.19 | 3.0 | ||||
| PT#3 | FS + CMG | Single | S | -- | 0.50 | 0.42 | 75 | -- | 3.2 | |
| PT#4 | FS + CMG | Single | S, O | -- | 0.34 | 3.7 | ||||
| PS#3 | FS + CMG | Double | S-T, R | -- | 0.57 | 0.50 | 108 | 1.44 | 4.2 | |
| PS#4 | FS + CMG | Double | S-T | -- | 0.42 | 2.8 | ||||
| Mahmood and Ingham [3] | AP8 | -- | -- | DF + SS | 37 | -- | -- | -- | -- | 17.1 |
| WTC6 | Vertical NSM CFRP bars | Single | DF + SS | 79 | -- | -- | 113 | -- | 6.6 | |
| WTC7 | Double | DF + SS | 153 | -- | -- | 313 | 2.77 | 3.4 | ||
| WTC8 | Horizontal NSM CFRP bars | Single | DF + SS | 65 | -- | -- | 76 | -- | 9.3 | |
| WTC9 | Double | SS | 67 | -- | -- | 81 | 1.07 | 4.6 | ||
| Yang et al. [49] | UMA-1 | -- | -- | JS | -- | 0.79 | 0.83 | -- | -- | 1.0 |
| UMA-2 | -- | -- | JS | -- | 0.87 | 1.0 | ||||
| ETA1-1 | FS +BTRC | Single | OB | -- | 1.21 | 1.25 | 51 | -- | 3.14 | |
| ETA1-2 | FS +BTRC | Single | OB | -- | 1.29 | 4.24 | ||||
| ETA3-1 | FS +BTRC | Double | TF | -- | 1.60 | 1.57 | 89 | 1.76 | 6.93 | |
| ETA3-2 | FS +BTRC | Double | TF | -- | 1.53 | 6.47 | ||||
| UMB-1 | -- | -- | JS | -- | 0.70 | 0.65 | -- | -- | 1 | |
| UMB-2 | -- | -- | JS | -- | 0.60 | 1 | ||||
| ETB1-1 | FS +BTRC | Single | OB | -- | 1.01 | 1.05 | 62 | -- | 3.1 | |
| ETB1-2 | FS +BTRC | Single | OB | -- | 1.08 | 2.73 | ||||
| ETB2-1 | FS +BTRC | Double | TF | -- | 1.30 | 1.25 | 92 | 1.50 | 5.22 | |
| ETB2-2 | FS +BTRC | Double | TF | -- | 1.19 | 6.91 |
Disclaimer/Publisher’s Note: The statements, opinions and data contained in all publications are solely those of the individual author(s) and contributor(s) and not of MDPI and/or the editor(s). MDPI and/or the editor(s) disclaim responsibility for any injury to people or property resulting from any ideas, methods, instructions or products referred to in the content. |
© 2025 by the authors. Licensee MDPI, Basel, Switzerland. This article is an open access article distributed under the terms and conditions of the Creative Commons Attribution (CC BY) license (https://creativecommons.org/licenses/by/4.0/).
Share and Cite
Yu, P.; Silva, P.; Nanni, A. In-Plane Strengthening of Unreinforced Masonry Walls with Discrete Glass Fiber-Reinforced Polymer Grid Strips Bonded with Sprayed Polyurea. Materials 2025, 18, 771. https://doi.org/10.3390/ma18040771
Yu P, Silva P, Nanni A. In-Plane Strengthening of Unreinforced Masonry Walls with Discrete Glass Fiber-Reinforced Polymer Grid Strips Bonded with Sprayed Polyurea. Materials. 2025; 18(4):771. https://doi.org/10.3390/ma18040771
Chicago/Turabian StyleYu, Piyong, Pedro Silva, and Antonio Nanni. 2025. "In-Plane Strengthening of Unreinforced Masonry Walls with Discrete Glass Fiber-Reinforced Polymer Grid Strips Bonded with Sprayed Polyurea" Materials 18, no. 4: 771. https://doi.org/10.3390/ma18040771
APA StyleYu, P., Silva, P., & Nanni, A. (2025). In-Plane Strengthening of Unreinforced Masonry Walls with Discrete Glass Fiber-Reinforced Polymer Grid Strips Bonded with Sprayed Polyurea. Materials, 18(4), 771. https://doi.org/10.3390/ma18040771

