Enhancing OLED Performance by Optimizing the Hole Transport Layer with a Self-Assembled Monolayer
Abstract
1. Introduction
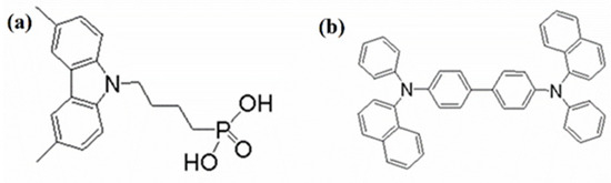
2. Experimental Section
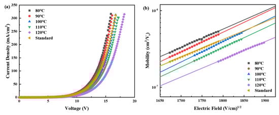
3. Results and Discussion
4. Conclusions
Author Contributions
Funding
Institutional Review Board Statement
Informed Consent Statement
Data Availability Statement
Conflicts of Interest
References
- Zeng, X.-Y.; Tang, Y.-Q.; Cai, X.-Y.; Tang, J.-X.; Li, Y.-Q. Solution-processed OLEDs for printing displays. Mater. Chem. Front. 2023, 7, 1166–1196. [Google Scholar] [CrossRef]
- Sarma, M.; Chen, L.-M.; Chen, Y.-S.; Wong, K.-T. Exciplexes in OLEDs: Principles and promises. Mater. Sci. Eng. R Rep. 2022, 150, 100689. [Google Scholar] [CrossRef]
- Salehi, A.; Fu, X.; Shin, D.-H.; So, F. Recent Advances in OLED Optical Design. Adv. Funct. Mater. 2019, 29, 1808803. [Google Scholar] [CrossRef]
- Huang, F.; Liu, H.; Li, X.; Wang, S. Enhancing hole injection by processing ITO through MoO3 and self-assembled monolayer hybrid modification for solution-processed hole transport layer-free OLEDs. Chem. Eng. J. 2022, 427, 131356. [Google Scholar] [CrossRef]
- Ulman, A. Formation and Structure of Self-Assembled Monolayers. Chem. Rev. 1996, 96, 1533–1554. [Google Scholar] [CrossRef]
- Singh, M.; Kaur, N.; Comini, E. The role of self-assembled monolayers in electronic devices. J. Mater. Chem. C 2020, 8, 3938–3955. [Google Scholar] [CrossRef]
- Li, S.; Guérin, D.; Lmimouni, K. Improving performance of OFET by tuning occurrence of charge transport based on pentacene interaction with SAM functionalized contacts. Microelectron. Eng. 2018, 195, 62–67. [Google Scholar] [CrossRef]
- Sun, Y.; Yang, C.; Li, Q.; Liu, K.; Xue, X.; Zhang, Y.; Azam, M.; Ren, K.; Chen, Y.; Wang, Z.; et al. The route and optimization of charge transport in ternary organic solar cells based on O6T-4F and PC71BM as acceptors. J. Power Sources 2020, 449, 227583. [Google Scholar] [CrossRef]
- Han, S.; Seong, S.; Son, Y.J.; Yokota, Y.; Hayashi, T.; Hara, M.; Noh, J. Formation and Surface Structures of Highly Ordered Self-Assembled Monolayers of Alkyl Selenocyanates on Au(111) via Ambient-Pressure Vapor Deposition. J. Phys. Chem. C 2020, 124, 26730–26740. [Google Scholar] [CrossRef]
- Kırbıyık Kurukavak, Ç.; Yılmaz, T.; Büyükbekar, A.; Kuş, M. Effect of different terminal groups of phenyl boronic acid self-assembled monolayers on the photovoltaic performance of organic solar cells. Opt. Mater. 2021, 112, 110783. [Google Scholar] [CrossRef]
- Havare, A.K.; Alsaeedi, M.S. Modifying transparent electrode with conjugated organic semiconductor hole transport material as interface for enhancing performance of organic solar cell. J. Saudi Chem. Soc. 2022, 26, 101575. [Google Scholar] [CrossRef]
- Tao, Y.; Liu, H.; Wang, D.; Zhao, F.; Chen, Z.; Zhu, H.; Chen, H.; Li, C.-Z. Healing the degradable organic–inorganic heterointerface for highly efficient and stable organic solar cells. InfoMat 2022, 4, e12276. [Google Scholar] [CrossRef]
- Wang, W.; Lin, Z.; Gao, S.; Zhu, W.; Song, X.; Tang, W. Versatile Self-Assembled Hole Transport Monolayer Enables Facile Processing Organic Solar Cells over 18% Efficiency with Good Generality. Adv. Funct. Mater. 2023, 33, 2303653. [Google Scholar] [CrossRef]
- Albab, M.F.; Jahandar, M.; Kim, Y.H.; Kim, Y.-K.; Shin, M.; Prasetio, A.; Kim, S.; Lim, D.C. High-performance semi-transparent organic solar cells driven by the dipole-controlled optoelectrical response of bilateral self-assembled monolayer strategy. Nano Energy 2024, 121, 109219. [Google Scholar] [CrossRef]
- Huang, F.; Liu, H.; Li, X.; Wang, S. Highly efficient hole injection/transport layer-free OLEDs based on self-assembled monolayer modified ITO by solution-process. Nano Energy 2020, 78, 105399. [Google Scholar] [CrossRef]
- Baek, M.-G.; Park, S.-G. Differences in ITO Surfaces According to the Formation of Aromatic Rings and Aliphatic Self-Assembled Monolayers for Organic Light-Emitting Diode Applications. Nanomaterials 2021, 11, 2520. [Google Scholar] [CrossRef]
- Deng, J.; Hu, D.; Zhang, Z.; Zong, B.; Meng, X.; Sun, Q.; Shen, B.; Kang, B.; Silva, S.R.P. 3-Aminobenzeneboronic acid self-assembled monolayer-modified ITO for efficient and stable OLED devices. J. Alloys Compd. 2022, 911, 164983. [Google Scholar] [CrossRef]
- Pereira, L.; Santos, G.; Cavallari, M.; Fonseca, F. Oxygen Plasma Surface Treatment onto ITO Surface for OLEDs Based on Europium Complex. J. Integr. Circuits Syst. 2015, 10, 7. [Google Scholar] [CrossRef]
- Jesuraj, P.J.; Parameshwari, R.; Kanthasamy, K.; Koch, J.; Pfnür, H.; Jeganathan, K. Hole injection enhancement in organic light emitting devices using plasma treated graphene oxide. Appl. Surf. Sci. 2017, 397, 144–151. [Google Scholar] [CrossRef]
- Gao, X.; Lin, B.; Lin, J.; Chen, H.; Wu, Z. Improving the performance of organic light-emitting devices by employing oxygen plasma treatment on indium-tin-oxide surfaces. Displays 2023, 76, 102373. [Google Scholar] [CrossRef]
- Levine, I.; Al-Ashouri, A.; Musiienko, A.; Hempel, H.; Magomedov, A.; Drevilkauskaite, A.; Getautis, V.; Menzel, D.; Hinrichs, K.; Unold, T.; et al. Charge transfer rates and electron trapping at buried interfaces of perovskite solar cells. Joule 2021, 5, 2915–2933. [Google Scholar] [CrossRef]
- Tanaka, M.; Chan, C.-Y.; Nakanotani, H.; Adachi, C. Simultaneous control of carrier transport and film polarization of emission layers aimed at high-performance OLEDs. Nat. Commun. 2024, 15, 5950. [Google Scholar] [CrossRef]
- Arai, H.; Yoshida, N.; Sasabe, H.; Sagae, Y.; Hoshi, K.; Yokoyama, D.; Kido, J. Fundamental guidelines for the active control of the molecular orientation of heteroleptic iridium complexes enabled by carbazole-based host materials. J. Mater. Chem. C 2024, 12, 2772–2779. [Google Scholar] [CrossRef]
- Yoshida, N.; Sasabe, H.; Arai, H.; Sagae, Y.; Yagi, Y.; Hoshi, K.; Yokoyama, D.; Kido, J. Elucidating The Horizontal Orientation Mechanism of Emissive Transition Dipole Moment in A Series of Stick-Like Delayed Fluorescent Emitters for Ultra-High-Efficiency OLEDs. Adv. Opt. Mater. 2024, 12, 2302382. [Google Scholar] [CrossRef]
- Ishihara, S.; Hase, H.; Okachi, T.; Naito, H. Simulation of impedance spectra of double-layer organic light-emitting diodes for the determination of hole drift mobility of NPB/Alq3 diodes by means of impedance spectroscopy. Phys. Status Solidi C 2012, 9, 2561–2564. [Google Scholar] [CrossRef]
- Zhao, Z.; Zou, Y.; Liu, P.; Lai, Z.; Wen, L.; Jin, Y. EIS equivalent circuit model prediction using interpretable machine learning and parameter identification using global optimization algorithms. Electrochim. Acta 2022, 418, 140350. [Google Scholar] [CrossRef]







Disclaimer/Publisher’s Note: The statements, opinions and data contained in all publications are solely those of the individual author(s) and contributor(s) and not of MDPI and/or the editor(s). MDPI and/or the editor(s) disclaim responsibility for any injury to people or property resulting from any ideas, methods, instructions or products referred to in the content. |
© 2025 by the authors. Licensee MDPI, Basel, Switzerland. This article is an open access article distributed under the terms and conditions of the Creative Commons Attribution (CC BY) license (https://creativecommons.org/licenses/by/4.0/).
Share and Cite
Niu, Z.; Wang, Y.; Xu, Z.; Liu, Y.; Wang, W.; Li, S. Enhancing OLED Performance by Optimizing the Hole Transport Layer with a Self-Assembled Monolayer. Materials 2025, 18, 748. https://doi.org/10.3390/ma18040748
Niu Z, Wang Y, Xu Z, Liu Y, Wang W, Li S. Enhancing OLED Performance by Optimizing the Hole Transport Layer with a Self-Assembled Monolayer. Materials. 2025; 18(4):748. https://doi.org/10.3390/ma18040748
Chicago/Turabian StyleNiu, Ziying, Yongqiang Wang, Zhenjiang Xu, Yunlong Liu, Wenjun Wang, and Shuhong Li. 2025. "Enhancing OLED Performance by Optimizing the Hole Transport Layer with a Self-Assembled Monolayer" Materials 18, no. 4: 748. https://doi.org/10.3390/ma18040748
APA StyleNiu, Z., Wang, Y., Xu, Z., Liu, Y., Wang, W., & Li, S. (2025). Enhancing OLED Performance by Optimizing the Hole Transport Layer with a Self-Assembled Monolayer. Materials, 18(4), 748. https://doi.org/10.3390/ma18040748

