Surface Fluorination of Magnesium Powder: Enhancing High-Temperature Oxidation Resistance
Abstract
1. Introduction
2. Materials and Methods
2.1. Oxidation Mechanism Testing of Pure Magnesium Powder
2.2. Surface Fluorination of Pure Magnesium Powder
2.3. Material Characterization
3. Results and Discussion
3.1. Oxidation Mechanism of Pure Magnesium (Mg) Powder
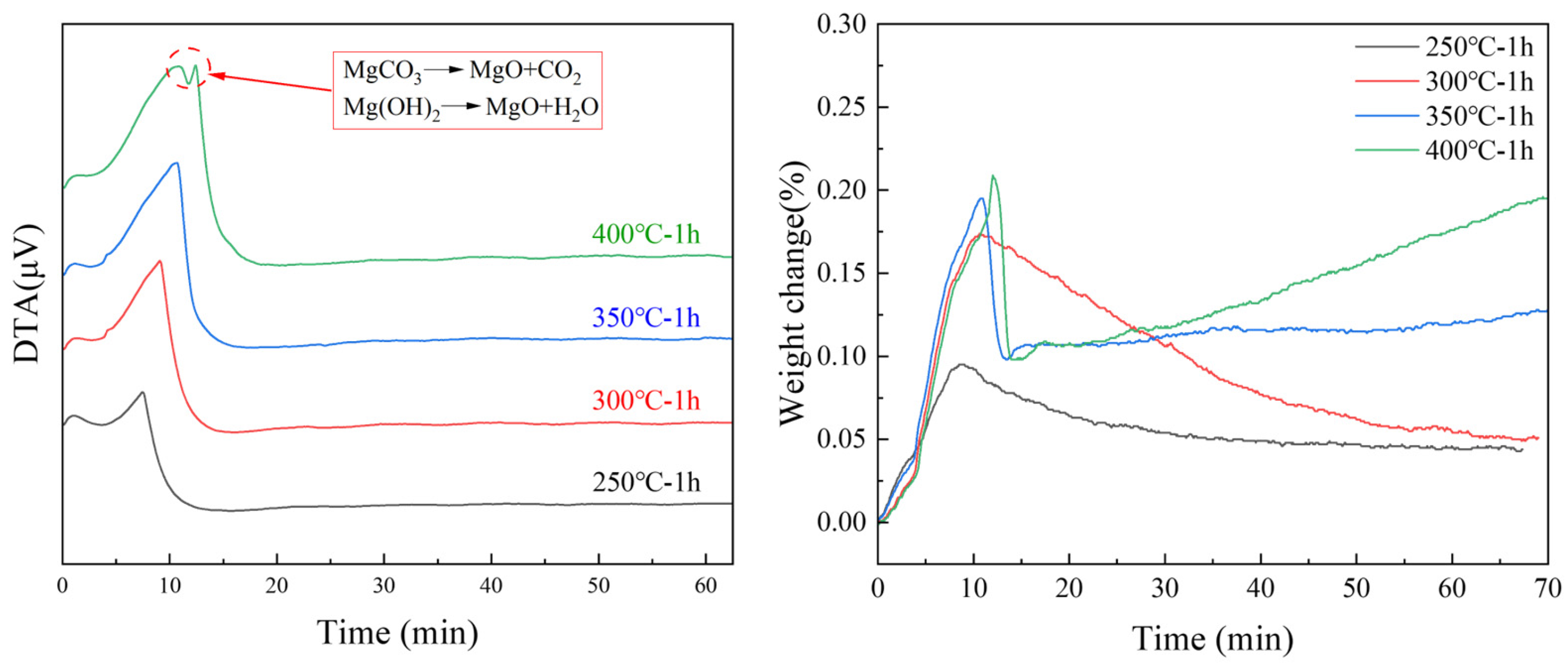
3.1.1. High-Temperature Oxidation of Raw Magnesium Powder
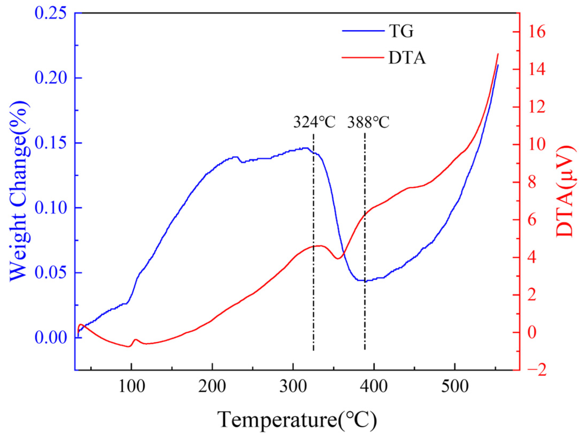
3.1.2. High-Temperature Isothermal Treatment
3.2. Surface Fluorination of Magnesium Powder Under Various Conditions
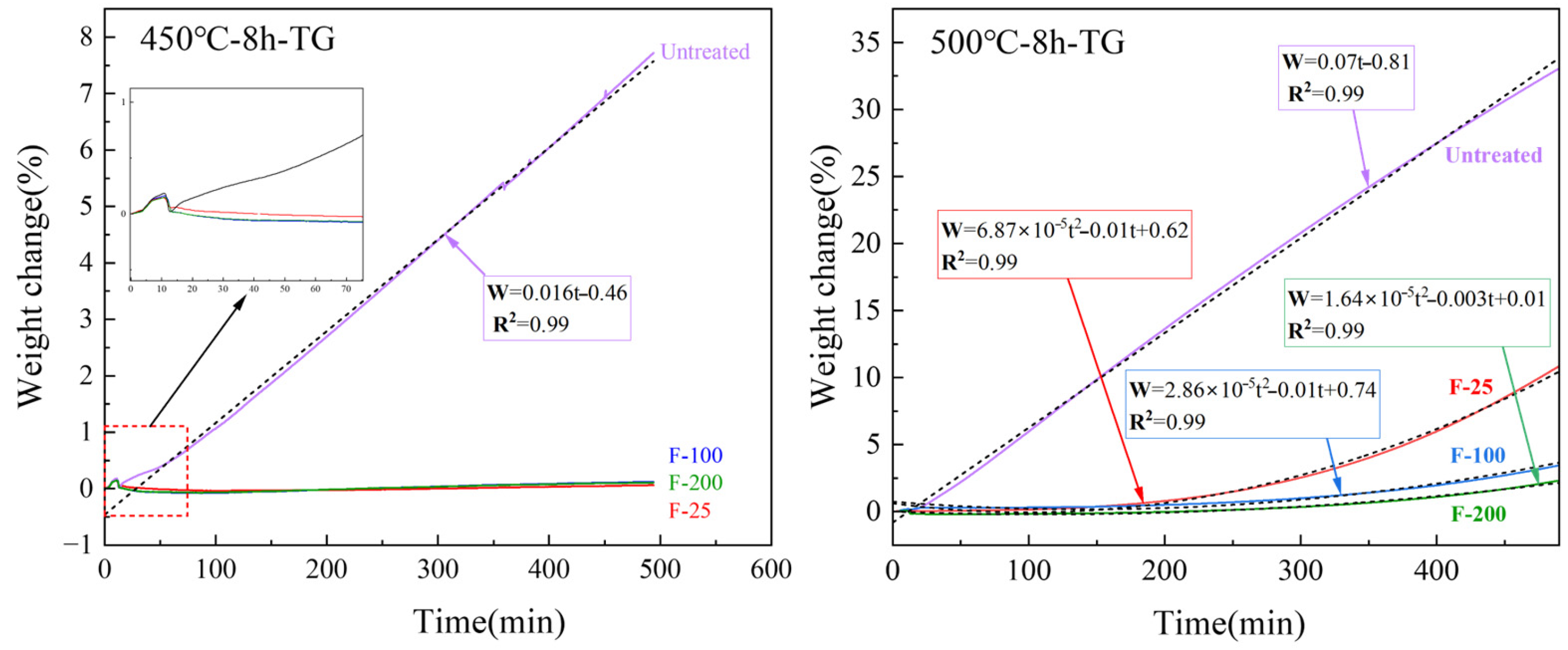
3.3. Effects of Surface Fluorination on the Oxidation Resistance of Magnesium
4. Conclusions
Author Contributions
Funding
Data Availability Statement
Conflicts of Interest
References
- Yang, Y.; Xiong, X.; Chen, J.; Peng, X.; Chen, D.; Pan, F. Research Advances in Magnesium and Magnesium Alloys Worldwide in 2020. J. Magnes. Alloys 2021, 9, 705–747. [Google Scholar] [CrossRef]
- Prasad, S.V.S.; Prasad, S.B.; Verma, K.; Mishra, R.K.; Kumar, V.; Singh, S. The Role and Significance of Magnesium in Modern Day Research—A Review. J. Magnes. Alloys 2022, 10, 1–61. [Google Scholar] [CrossRef]
- Kainer, K.U.; Von Buch, F. The Current State of Technology and Potential for Further Development of Magnesium Applications. In Magnesium–Alloys and Technology, 1st ed.; Kainer, K.U., Ed.; Wiley-VCH: Weinheim, Germany, 2003; pp. 1–22. [Google Scholar] [CrossRef]
- Liu, M.; Guo, Y.; Wang, J.; Yergin, M. Corrosion Avoidance in Lightweight Materials for Automotive Applications. Npj Mater. Degrad. 2018, 2, 24. [Google Scholar] [CrossRef]
- Song, J.; She, J.; Chen, D.; Pan, F. Latest research advances on magnesium and magnesium alloys worldwide. J. Magnes. Alloys 2020, 8, 1–41. [Google Scholar] [CrossRef]
- Akkaş, M.; Boz, M. Investigation of the Compressibility and Sinterabilty of AZ91 Powder Production and Particle Production by Gas Atomisation Method. J. Magnes. Alloys 2019, 7, 400–413. [Google Scholar] [CrossRef]
- Dvorský, D.; Kubásek, J.; Vojtĕch, D. Characterisation of Structure, Mechanical and Corrosion Properties of Pure Magnesium Prepared by Powder Metallurgy Route. IOP Conf. Ser. Mater. Sci. Eng. 2021, 1178, 012012. [Google Scholar] [CrossRef]
- Kubásek, J.; Dvorský, D.; Čavojský, M.; Vojtěch, D.; Beronská, N.; Fousová, M. Superior Properties of Mg–4Y–3RE–Zr Alloy Prepared by Powder Metallurgy. J. Mater. Sci. Technol. 2017, 33, 652–660. [Google Scholar] [CrossRef]
- Kubásek, J.; Vojtěch, D.; Dvorský, D. The Effect of Thermo-Mechanical Processing on the Structure, Static Mechanical Properties and Fatigue Behaviour of Pure Mg. Mater. Technol. 2017, 51, 289–296. [Google Scholar] [CrossRef]
- Kumar, A.; Pandey, P.M. Development of Mg Based Biomaterial with Improved Mechanical and Degradation Properties Using Powder Metallurgy. J. Magnes. Alloys 2020, 8, 883–898. [Google Scholar] [CrossRef]
- Cabeza, S.; Garcés, G.; Pérez, P.; Adeva, P. Microstructure and Mechanical Behavior of Powder Metallurgy Mg98.5Gd1Zn0.5 Alloy. Metall. Mater. Trans. A 2014, 45, 3222–3231. [Google Scholar] [CrossRef]
- Manakari, V.; Parande, G.; Gupta, M. Selective Laser Melting of Magnesium and Magnesium Alloy Powders: A Review. Metals 2016, 7, 2. [Google Scholar] [CrossRef]
- Behera, M.; Panemangalore, D.B.; Shabadi, R. Additively manufactured magnesium-based bio-implants and their challenges. Trans. Indian Natl. Acad. Eng. 2021, 6, 917–932. [Google Scholar] [CrossRef]
- Wei, K.; Gao, M.; Wang, Z.; Zeng, X. Effect of Energy Input on Formability, Microstructure and Mechanical Properties of Selective Laser Melted AZ91D Magnesium Alloy. Mater. Sci. Eng. A 2014, 611, 212–222. [Google Scholar] [CrossRef]
- Han, D.; Zhang, J.; Huang, J.; Lian, Y.; He, G. A Review on Ignition Mechanisms and Characteristics of Magnesium Alloys. J. Magnes. Alloys 2020, 8, 329–344. [Google Scholar] [CrossRef]
- Ma, S.; Xing, F.; Ta, N.; Zhang, L. Kinetic Modeling of High-Temperature Oxidation of Pure Mg. J. Magnes. Alloys 2020, 8, 819–831. [Google Scholar] [CrossRef]
- Wagner, C. Beitrag zur Theorie des Anlaufvorgangs. Z. Phys. Chem. 1933, 1, 25–41. [Google Scholar] [CrossRef]
- Wang, X. Investigation of High Temperature Oxidation and Improved Surface Protection of Magnesium Alloys. Ph.D. Thesis, Shanghai Jiaotong University, Shanghai, China, 2007. Available online: https://kns.cnki.net/KCMS/detail/detail.aspx?dbname=CDFD9908&filename=2008052114.nh (accessed on 19 November 2025).
- Ming, Y.; You, G.; Yao, F.; Zeng, S.; Zhao, J.; Li, W. Research Progress on Oxidation and Oxidation Mechanism of Magnesium. Mater. Rep. 2021, 35, 19134–19141. [Google Scholar] [CrossRef]
- Lin, P.; Zhou, H.; Li, W.; Li, W.; Sun, N.; Yang, R. Interactive Effect of Cerium and Aluminum on the Ignition Point and the Oxidation Resistance of Magnesium Alloy. Corros. Sci. 2008, 50, 2669–2675. [Google Scholar] [CrossRef]
- Ono, S.; Suzuki, Y.; Asoh, H. Effect of anodizing condition on corrosion resistance of Mg–Li–Y alloy. J. Jpn. Inst. Light Met. 2011, 61, 60–65. [Google Scholar] [CrossRef][Green Version]
- Zaffora, A.; Franco, F.D.; Virtù, D.; Pavia, F.C.; Ghersi, G.; Virtanen, S.; Santamaria, M. Tuning of the Mg Alloy AZ31 Anodizing Process for Biodegradable Implants. ACS Appl. Mater. Interfaces 2021, 13, 12866–12876. [Google Scholar] [CrossRef]
- Tokunaga, T.; Ohno, M.; Matsuura, K. Coatings on Mg alloys and their mechanical properties: A review. J. Mater. Sci. Technol. 2018, 34, 1119–1126. [Google Scholar] [CrossRef]
- Zhong, C.; Liu, F.; Wu, Y.; Le, J.; Liu, L.; He, M.; Zhu, J.; Hu, W. Protective diffusion coatings on magnesium alloys: A review of recent developments. J. Alloys Compd. 2012, 520, 11–21. [Google Scholar] [CrossRef]
- Li, J.; Bai, H.; Feng, Z. Advances in the Modification of Silane-Based Sol-Gel Coating to Improve the Corrosion Resistance of Magnesium Alloys. Molecules 2023, 28, 2563. [Google Scholar] [CrossRef] [PubMed]
- Smalenskaite, A.; Kaba, M.M.; Grigoraviciute-Puroniene, I.; Mikoliunaite, L.; Zarkov, A.; Ramanauskas, R.; Morkan, I.A.; Kareiva, A. Sol–Gel Synthesis and Characterization of Coatings of Mg-Al Layered Double Hydroxides. Materials 2019, 12, 3738. [Google Scholar] [CrossRef] [PubMed]
- Kim, J.-H.; Namie, M.; Yonezawa, S. A Study on the Corrosion Behavior of Nickel in ClF3 Gas. J. Fluor. Chem. 2019, 224, 73–79. [Google Scholar] [CrossRef]
- Xiong, S.-M.; Liu, X.-L. Microstructure, Composition, and Depth Analysis of Surface Films Formed on Molten AZ91D Alloy under Protection of SF6 Mixtures. Metall. Mater. Trans. A 2007, 38, 428–434. [Google Scholar] [CrossRef]
- Dvorský, D.; Kubásek, J.; Roudnická, M.; Průša, F.; Nečas, D.; Minárik, P.; Stráská, J.; Vojtěch, D. The Effect of Powder Size on the Mechanical and Corrosion Properties and the Ignition Temperature of WE43 Alloy Prepared by Spark Plasma Sintering. J. Magnes. Alloys 2021, 9, 1349–1362. [Google Scholar] [CrossRef]
- Toghyani, S.; Khodaei, M.; Razavi, M. Magnesium Scaffolds with Two Novel Biomimetic Designs and MgF2 Coating for Bone Tissue Engineering. Surf. Coat. Technol. 2020, 395, 125929. [Google Scholar] [CrossRef]
- Zhu, L.; Li, H.; Ma, Q.; Lu, J.; Li, Z. The Mechanism for Tuning the Corrosion Resistance and Pore Density of Plasma Electrolytic Oxidation (PEO) Coatings on Mg Alloy with Fluoride Addition. J. Magnes. Alloys 2023, 11, 2823–2832. [Google Scholar] [CrossRef]
- Wang, X.; Liu, X. Research progress in direct fluorination surface modification technology. Polym. Bull. 2010, 4, 1–7. [Google Scholar] [CrossRef]
- Gao, J.; Xu, X.; Fan, C.; Wang, X.; Dai, Y.; Liu, X. Surface Modification of Fluoroelastomer by Direct Fluorination with Fluorine Gas. Mater. Lett. 2014, 121, 219–222. [Google Scholar] [CrossRef]
- Kimura, S.; Nishimura, F.; Kim, J.-H.; Yonezawa, S.; Takashima, M. Surface Fluorination Effects on TiAl Particle Oxidation Resistance. J. Fluor. Chem. 2014, 166, 22–27. [Google Scholar] [CrossRef]
- Kim, J.-H.; Nishimura, F.; Yonezawa, S.; Takashima, M. Enhanced Dispersion Stability and Photocatalytic Activity of TiO2 Particles Fluorinated by Fluorine Gas. J. Fluor. Chem. 2012, 144, 165–170. [Google Scholar] [CrossRef]
- Namie, M.; Nishimura, F.; Kim, J.-H.; Yonezawa, S. Surface Modification of SiC Substrates via Direct Fluorination to Promote Adhesion of Electroless-Deposited Ni Film. J. Fluor. Chem. 2022, 261–262, 110012. [Google Scholar] [CrossRef]
- Kobayashi, M.; Nishimura, F.; Kim, J.-H.; Yonezawa, S. Dyeable Hydrophilic Surface Modification for PTFE Substrates by Surface Fluorination. Membranes 2023, 13, 57. [Google Scholar] [CrossRef]
- Sharma, P.; Pandey, P.M. Rapid Manufacturing of Biodegradable Pure Iron Scaffold Using Amalgamation of Three-Dimensional Printing and Pressureless Microwave Sintering. Proc. Inst. Mech. Eng. Part C J. Mech. Eng. Sci. 2019, 233, 1876–1895. [Google Scholar] [CrossRef]
- Takeno, T.; Yuasa, S. Ignition of Magnesium and Magnesium-Aluminum Alloy by Impinging Hot-Air Stream. Combust. Sci. Technol. 1980, 21, 109–121. [Google Scholar] [CrossRef]
- Ravi Kumar, N.V.; Blandin, J.J.; Suéry, M.; Grosjean, E. Effect of Alloying Elements on the Ignition Resistance of Magnesium Alloys. Scr. Mater. 2003, 49, 225–230. [Google Scholar] [CrossRef]


















| Mg | Ca | Mn | Cu |
|---|---|---|---|
| 99.884 | 0.084 | 0.024 | 0.008 |
| Sample Name | Temperature (°C) | Time (h) | F2 Pressure (Torr) |
|---|---|---|---|
| untreated | - | - | - |
| F-25 | 25 | 1 | 380 |
| F-100 | 100 | 1 | 380 |
| F-200 | 200 | 1 | 380 |
| Samples | Elemental Contents (at %) | MgFx | |
|---|---|---|---|
| Mg | F | ||
| untreated | 23.79 | - | MgF0.00 |
| F-25 | 22.60 | 42.38 | MgF1.88 |
| F-100 | 25.60 | 50.12 | MgF1.95 |
| F-200 | 23.62 | 48.79 | MgF2.06 |
Disclaimer/Publisher’s Note: The statements, opinions and data contained in all publications are solely those of the individual author(s) and contributor(s) and not of MDPI and/or the editor(s). MDPI and/or the editor(s) disclaim responsibility for any injury to people or property resulting from any ideas, methods, instructions or products referred to in the content. |
© 2025 by the authors. Licensee MDPI, Basel, Switzerland. This article is an open access article distributed under the terms and conditions of the Creative Commons Attribution (CC BY) license (https://creativecommons.org/licenses/by/4.0/).
Share and Cite
Wang, Y.; Kim, J.-H.; Yonezawa, S. Surface Fluorination of Magnesium Powder: Enhancing High-Temperature Oxidation Resistance. Materials 2025, 18, 5307. https://doi.org/10.3390/ma18235307
Wang Y, Kim J-H, Yonezawa S. Surface Fluorination of Magnesium Powder: Enhancing High-Temperature Oxidation Resistance. Materials. 2025; 18(23):5307. https://doi.org/10.3390/ma18235307
Chicago/Turabian StyleWang, Yu, Jae-Ho Kim, and Susumu Yonezawa. 2025. "Surface Fluorination of Magnesium Powder: Enhancing High-Temperature Oxidation Resistance" Materials 18, no. 23: 5307. https://doi.org/10.3390/ma18235307
APA StyleWang, Y., Kim, J.-H., & Yonezawa, S. (2025). Surface Fluorination of Magnesium Powder: Enhancing High-Temperature Oxidation Resistance. Materials, 18(23), 5307. https://doi.org/10.3390/ma18235307

