Array-Patterned Anisotropic Conductive Films for High Precision Circuit Interconnection
Abstract
1. Introduction
2. Material and Methods
2.1. Chemicals and Materials
2.2. Instrument
2.3. Methods
2.3.1. Preparation of Silicon Template with Microcavities
2.3.2. Preparation Process of A-ACFs
2.3.3. Preparation of T-ACFs
2.3.4. Bonding of the FPCs
2.3.5. Electrical Resistance Measurement of the Bonded FPCs
2.3.6. Peel Force Test
2.3.7. The Testing Method of Electrochemical Current Changes in the Flexible Circuit
2.4. Characterization
3. Results and Discussion
3.1. Preparation of A-ACFs
3.1.1. Design of the Template for the A-ACFs
3.1.2. Filling Conductive Particles into Microcavity
3.1.3. The Temperature Effect on Particle Transfer Efficiency from the Template to PU Adhesives
3.2. Influence of Bonding Conditions on Electrical Resistance of the Bonded FPCs
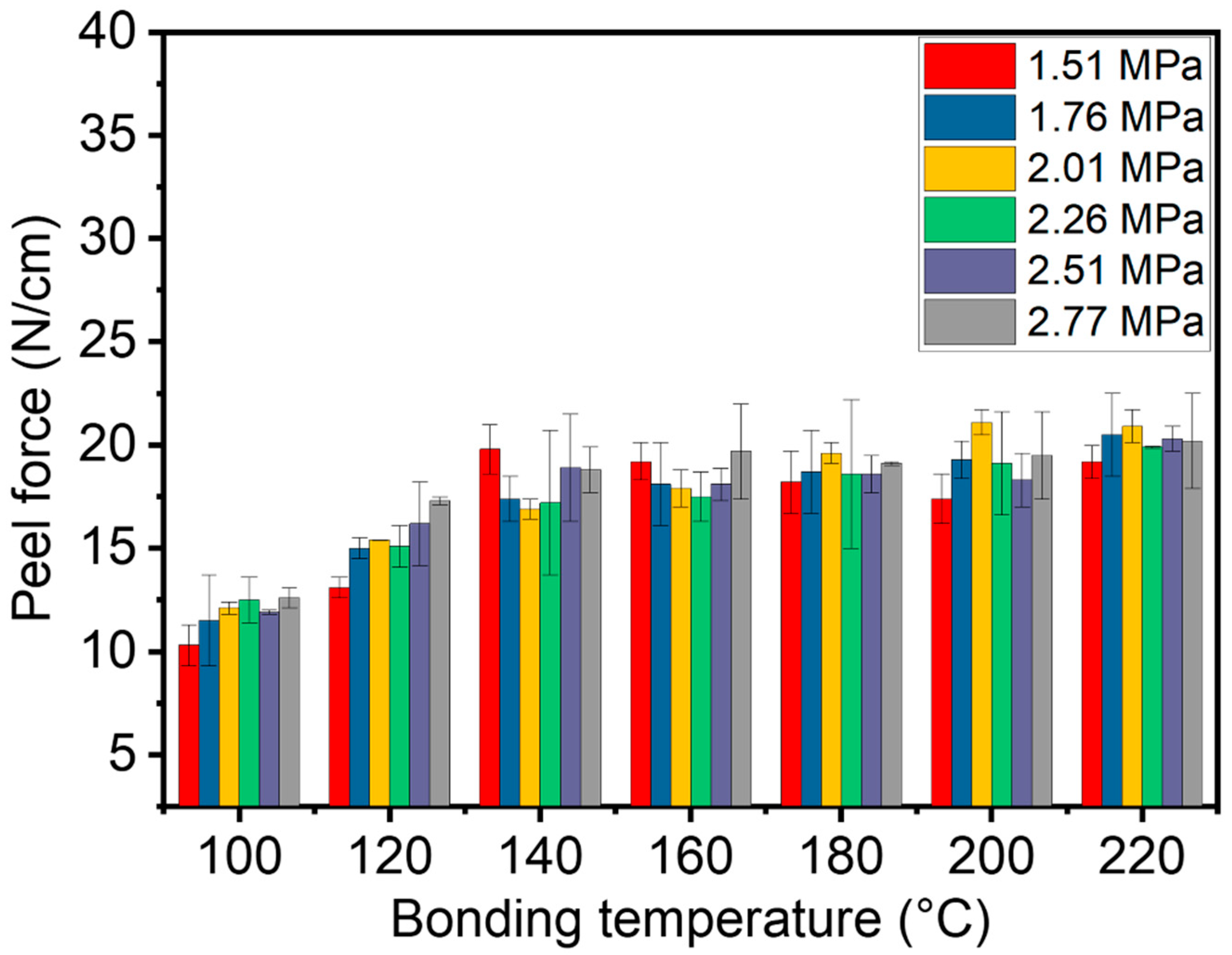
3.3. Peel Force of the Bonded FPCs Using A-ACFs
3.4. Particles’ Morphologies In-Between the Connected Circuits of the Two Bonded FPCs
3.5. The Use of the A-ACFs for High-Precision Circuit Bonding
3.6. Performance of the Bonded FPCs Using T-ACFs and the Comparison of A-ACFs with T-ACFs
3.7. Flexible Stability of the Bonded FPCs Using A-ACFs
4. Conclusions
Supplementary Materials
Author Contributions
Funding
Data Availability Statement
Conflicts of Interest
References
- Miyamoto, A.; Lee, S.; Cooray, N.F.; Lee, S.; Mori, M.; Matsuhisa, N.; Jin, H.; Yoda, L.; Yokota, T.; Itoh, A.; et al. Inflammation-free, gas-permeable, lightweight, stretchable on-skin electronics with nanomeshes. Nat. Nanotechnol. 2017, 12, 907–913. [Google Scholar] [CrossRef]
- Bo, G.; Yu, H.; Ren, L.; Cheng, N.; Feng, H.; Xu, X.; Dou, S.X.; Wang, H.; Du, Y. Gallium–indium–tin liquid metal nanodroplet-based anisotropic conductive adhesives for flexible integrated Electronics. ACS Appl. Nano Mater. 2021, 4, 550–557. [Google Scholar] [CrossRef]
- Liu, Y.; Xu, L.; Liu, B.J.; Zhang, M.Y. Shell structure control of monodisperse polystyrene-silver composite microspheres and synthesis of epoxy resin-based anisotropic conductive adhesives. Polym. Adv. Technol. 2023, 34, 1405–1419. [Google Scholar] [CrossRef]
- Lee, S.H.; Kim, T.W.; Suk, K.L.; Paik, K.W. Nanofiber anisotropic conductive films (ACF) for ultra-fine-pitch chip-on-glass (COG) interconnections. J. Electron. Mater. 2015, 44, 4628–4636. [Google Scholar] [CrossRef]
- Yim, M.J.; Hwang, J.; Paik, K.W. Anisotropic conductive films (ACFs) for ultra-fine pitch chip-on-glass (COG) applications. Int. J. Adhes. Adhes. 2007, 27, 77–84. [Google Scholar] [CrossRef]
- Feng, C.W.; Keong, C.W.; Hsueh, Y.P.; Wang, Y.Y.; Sue, H.J. Modeling of long-term creep behavior of structural epoxy adhesives. Int. J. Adhes. Adhes. 2005, 25, 427–436. [Google Scholar] [CrossRef]
- Jia, L.; Sheng, X.J.; Xiong, Z.; Wang, Z.P.; Ding, H. Particle on bump (POB) technique for ultra-fine pitch chip on glass (COG) applications by conductive particles and adhesives. Microelectron. Reliab. 2014, 54, 825–832. [Google Scholar] [CrossRef]
- Sheng, X.J.; Jia, L.; Xiong, Z.H.; Wang, Z.P.; Ding, H. ACF-COG interconnection conductivity inspection system using conductive area. Microelectron. Reliab. 2020, 53, 622–628. [Google Scholar] [CrossRef]
- Jung, S.-Y.; Lee, T.-I.; Cho, M.; Kim, T.S.; Paik, K.W. A Study on the flexible chip-on-fabric assembliesusing anisotropic conductive films and metal-laminated fabric substrates. IEEE Trans. Compon. Packag. Manuf. Technol. 2020, 10, 360–367. [Google Scholar] [CrossRef]
- Liu, Z.; Lin, C.-H.; Hyun, B.-R.; Sher, C.-W.; Lv, Z.; Luo, B.; Jiang, F.; Wu, T.; Ho, C.-H.; Kuo, H.-C.; et al. Micro-light-emitting diodes with quantum dots in display technology. Light-Sci. Appl. 2020, 9, 83. [Google Scholar] [CrossRef]
- Cao, G.; Cai, S.; Zhang, H.; Tian, Y.Q. High-performance conductive adhesives based on water-soluble resins for printed circuits, flexible conductive films, and electromagnetic interference shielding devices. Adv. Compos. Hybrid. Mater. 2022, 5, 1730–1742. [Google Scholar] [CrossRef]
- Zhai, X.; Li, Y.; Zou, J.; Shi, M.; Yang, B.; Li, Y.; Guo, C.; Hu, R. Effect of soldering temperature on the reliability of Sn-Ag-Cu lead-Free Solder Joints. J. Electron. Mater. 2021, 50, 869–880. [Google Scholar] [CrossRef]
- Liu, Y.; Liu, T.; Liu, X.C.; Xu, L.; Liu, B.J.; Zhang, M.Y. Study on the synthetic mechanism of monodispersed polystyrene-nickel composite microspheres and its application in facile synthesis of epoxy resin-based anisotropic conductive adhesives. Colloids Surf. A 2023, 656, 130378. [Google Scholar] [CrossRef]
- Chen, G.; Matsuhisa, N.; Liu, Z.; Qi, D.; Cai, P.; Jiang, Y.; Wan, C.; Cui, Y.; Leow, W.R.; Liu, Z.; et al. Plasticizing silk protein for on-skin stretchable electrodes. Adv. Mater. 2018, 30, 1800129. [Google Scholar] [CrossRef] [PubMed]
- Baik, S.; Kim, D.W.; Park, Y.; Lee, T.J.; Bhang, S.H.; Pang, C. A wet-tolerant adhesive patch inspired by protuberances in suction cups of octopi. Nature 2017, 546, 396–400. [Google Scholar] [CrossRef]
- Kim, T.; Park, J.; Sohn, J.; Cho, D.; Jeon, S. Bioinspired, highly stretchable, and conductive dry adhesives based on 1D-2D hybrid carbon nanocomposites for all-in-one ECG electrodes. ACS Nano 2016, 10, 4770–4778. [Google Scholar] [CrossRef] [PubMed]
- Zhou, W.; Yao, S.; Wang, H.Y.; Du, Q.C.; Ma, Y.W.; Zhu, Y. Gas-permeable, ultrathin, stretchable epidermal electronics with porous electrodes. ACS Nano 2020, 14, 5798–5805. [Google Scholar] [CrossRef]
- Hwang, Y.; Lee, J.H.; Kim, Y.H.; Jeong, S.; Lee, S.Y.; Jung, J.; Kim, J.H.; Choi, Y.; Jung, S. Lubricant-added conductive composite for direct writing of a stretchable electrode. ACS Appl. Mater. Interfaces 2019, 11, 48459–48465. [Google Scholar] [CrossRef]
- Cao, G.; Cai, S.; Chen, Y.; Zhou, D.; Zhang, H.; Tian, Y. Facile synthesis of highly conductive and dispersible PEDOT particles. Polymer 2022, 252, 124952. [Google Scholar] [CrossRef]
- Cao, G.; Jiang, C.; Cai, S.; Chen, Y.; Xing, Y.; Xu, J.; Zhang, H.; Chen, X.; Tian, Y. Oxidation-resistant metallic bismuth nanoparticles for electrically conductive adhesives. ACS Appl. Nano Mater. 2022, 6, 16343–16352. [Google Scholar] [CrossRef]
- Cao, L.Q.; Li, S.M.; Lai, Z.H.; Liu, J.A. Formulation and characterization of anisotropic conductive adhesive paste for microelectronics packaging applications. J. Electron. Mater. 2005, 34, 1420–1427. [Google Scholar] [CrossRef]
- Lin, C.S.; Huang, K.H.; Lin, T.C.; Shei, H.J.; Tien, C.L. An automatic inspection method for the fracture conditions of anisotropic conductive film in the TFT-LCD assembly process. Int. J. Optomechatronics 2011, 5, 286–298. [Google Scholar] [CrossRef]
- Shin, Y.J.; Shin, M.J.; Shin, J.S. Encapsulation of imidazole with synthesized copolymers for latent curing of epoxy resin. Polym. Int. 2017, 66, 795–802. [Google Scholar] [CrossRef]
- Zhang, S.; Lin, T.; He, P.; Paik, K.W. Effects of acrylic adhesives property and optimized bonding parameters on Sn 58Bi solder joint morphology for flex-on-board assembly. Microelectron. Reliab. 2017, 78, 181–189. [Google Scholar] [CrossRef]
- Ham, Y.R.; Lee, D.H.; Kim, S.H.; Shin, Y.J.; Yang, M.; Shin, J.S. Microencapsulation of imidazole curing agent for epoxy resin. J. Ind. Eng. Chem. 2010, 16, 728–733. [Google Scholar] [CrossRef]
- Suppiah, S.; Ong, N.R.; Sauli, Z.; Sarukunaselan, K.; Alcain, J.B.; Shahimin, M.M.; Retnasamy, V. A review: Application of adhesive bonding on semiconductor interconnection joints. In Proceedings of the 3rd Electronic and Green Materials International Conference 2017, Krabi, Thailand, 29–30 April 2017; Volume 1885, p. 020263. [Google Scholar] [CrossRef]
- Lee, J.S.; Kang, S.J.; Shin, J.H.; Shin, Y.J.; Lee, B.; Koo, J.; Kim, T. Nanoscale-dewetting-based direct interconnection of microelectronics for a deterministic assembly of transfer printing. Adv. Mater. 2020, 32, 1908422. [Google Scholar] [CrossRef]
- Park, J.-H.; Park, J.C.; Lee, S.; Paik, K.W. Piezoelectric ceramics and flexible printed circuits’ interconnection using Sn58Bi solder anisotropic conductive films for flexible ultrasound transducer assembly. IEEE Trans. Compon. Packag. Manuf. Technol. 2018, 9, 1897–1903. [Google Scholar] [CrossRef]
- Cao, G.; Chen, Y.; Jiang, C.; Xu, J.; Xue, W.; Zhang, H.; Tian, Y. Synthesis of citrate-capped Sn nanoparticles with excellent oxidation resistance for high-performance electrically conductive adhesives. ACS Appl. Electron. Mater. 2023, 5, 1164–1173. [Google Scholar] [CrossRef]
- Shi, F.G.; Abdullah, M.; Chungpaiboonpatana, S.; Okuyama, K.; Davidson, C.; Adams, J.M. Electrical conduction of anisotropic conductive adhesives: Effect of size distribution of conducting filler particles. Mater. Sci. Semicond. Process 1999, 2, 263–269. [Google Scholar] [CrossRef]
- PAF 700 Series. Anisotropic Conductive Film (ACF) for Film on Glass for Small-to-Medium-Sized FPDs. 2023. Available online: http://www.dexerials.jp/en/products/acf/paf700.html (accessed on 15 October 2025).
- Hwang, H.; Kong, M.; Kim, K.; Park, D.; Lee, S.; Park, S.; Song, H.-J.; Jeong, U. Stretchable anisotropic conductive film (S-ACF) for electrical interfacing in high-resolution stretchable circuits. Sci. Adv. 2021, 7, eabh0171. [Google Scholar] [CrossRef]
- Hao, C.; Chen, J.; Chen, Y.; Jiang, C.; Wang, Z.; Pan, T.; Cheng, X.; Tian, Y. Preparation of silver-coated polystyrene microspheres intermediated with polyaniline and their application in array-patterned anisotropic conductive films. Adv. Compos. Hybrid. Mater. 2025, 8, 67. [Google Scholar] [CrossRef]
- Fu, H.; Tian, J.; Chen, S.; Chin, C.-L.; Ma, C.-K. Axial compressive performance of CFRP–steel composite tube-confined seawater sea-sand concrete intermediate slender columns. Constr. Build. Mater. 2024, 441, 137399. [Google Scholar] [CrossRef]
- Zhang, J.; Qi, H.; Wu, J.J.; Mao, X.; Zhang, H.; Amin, N.; Xu, F.; Dong, C.; Wang, C.; Wang, P.; et al. Disposable peptidoglycan-specific biosensor for noninvasive real-time detection of broad-spectrum Gram-positive bacteria in exhaled breath condensates. Anal. Chem. 2024, 96, 9817–9825. [Google Scholar] [CrossRef] [PubMed]
- Fu, H.; Tian, J.; Chin, C.-L.; Liu, H.; Yuan, J.; Tang, S.; Mai, R.; Wu, X. Axial compression behavior of GFRP–steel composite tube-confined seawater sea-sand concrete intermediate long columns. Eng. Struct. 2025, 333, 120157. [Google Scholar]
- Fu, H.; Zhao, H.; Pan, Z.; Wu, Z.; Chin, C.-L.; Ma, C.-K. Behaviour of corroded circular steel tube strengthened with external FRP tube grouting under eccentric loading: Numerical study. Structures 2023, 56, 104810. [Google Scholar] [CrossRef]
- Park, C.; Lee, T.; Xia, Y.; Shin, T.J.; Myoung, J.; Jeong, U. Quick, Large-Area Assembly of a Single-Crystal Monolayer of Spherical Particles by Unidirectional Rubbing. Adv. Mater. 2014, 26, 4633. [Google Scholar] [CrossRef]
- Asai, S.; Saruta, U.; Tobita, M.; Takano, M.; Miyashita, Y. Development of an anisotropic conductive adhesive film (ACAF) from epoxy resins. J. Appl. Polym. Sci. 1995, 56, 769–777. [Google Scholar] [CrossRef]
- Qi, H.; Hu, Z.; Yang, Z.; Zhang, J.; Wu, J.J.; Cheng, C.; Wang, C.; Zheng, L. Capacitive aptasensor coupled with microfluidic enrichment for real-time detection of trace SARS-CoV-2 nucleocapsid protein. Anal. Chem. 2022, 94, 2812–2819. [Google Scholar] [CrossRef]








Disclaimer/Publisher’s Note: The statements, opinions and data contained in all publications are solely those of the individual author(s) and contributor(s) and not of MDPI and/or the editor(s). MDPI and/or the editor(s) disclaim responsibility for any injury to people or property resulting from any ideas, methods, instructions or products referred to in the content. |
© 2025 by the authors. Licensee MDPI, Basel, Switzerland. This article is an open access article distributed under the terms and conditions of the Creative Commons Attribution (CC BY) license (https://creativecommons.org/licenses/by/4.0/).
Share and Cite
Hao, C.; Chen, J.; Chen, Y.; Cao, G.; Cheng, X.; Tian, Y. Array-Patterned Anisotropic Conductive Films for High Precision Circuit Interconnection. Materials 2025, 18, 4927. https://doi.org/10.3390/ma18214927
Hao C, Chen J, Chen Y, Cao G, Cheng X, Tian Y. Array-Patterned Anisotropic Conductive Films for High Precision Circuit Interconnection. Materials. 2025; 18(21):4927. https://doi.org/10.3390/ma18214927
Chicago/Turabian StyleHao, Changxiang, Junde Chen, Yonghao Chen, Ge Cao, Xing Cheng, and Yanqing Tian. 2025. "Array-Patterned Anisotropic Conductive Films for High Precision Circuit Interconnection" Materials 18, no. 21: 4927. https://doi.org/10.3390/ma18214927
APA StyleHao, C., Chen, J., Chen, Y., Cao, G., Cheng, X., & Tian, Y. (2025). Array-Patterned Anisotropic Conductive Films for High Precision Circuit Interconnection. Materials, 18(21), 4927. https://doi.org/10.3390/ma18214927
