Experimental Study on the Fatigue Degradation of Prestressed Concrete Slabs for Composite Bridges
Abstract
1. Introduction
2. Experimental Program
2.1. Specimen Design
2.2. Material Properties
2.3. Loading Setup and Measurements
3. Experimental Results
3.1. Evolution of Displacements
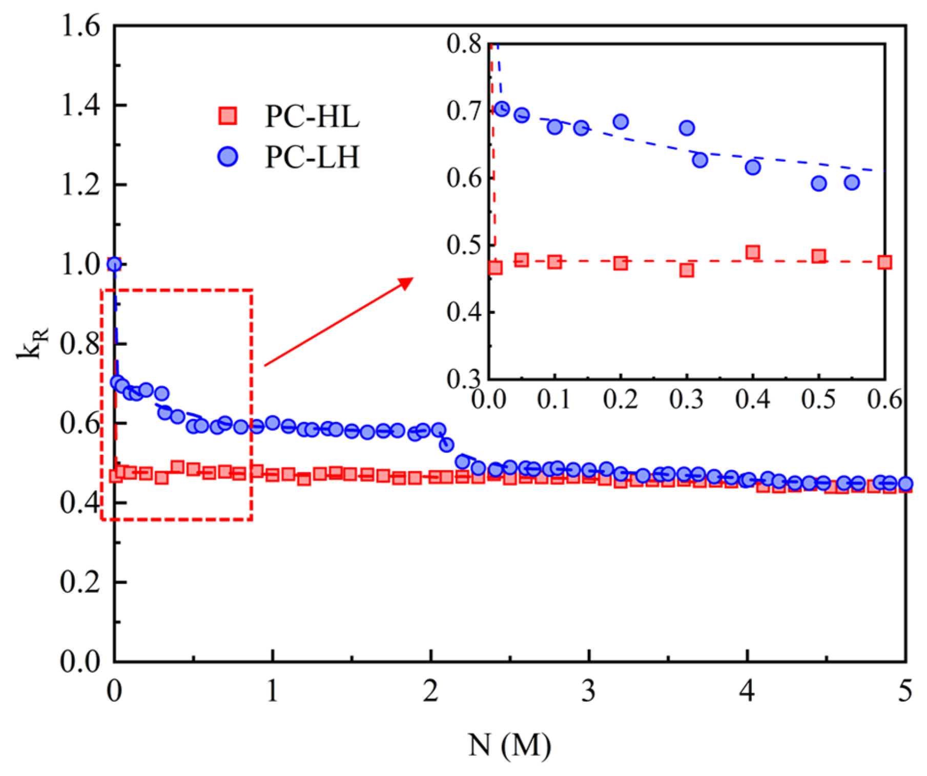
3.2. Relative Stiffness
3.3. Crack Distribution
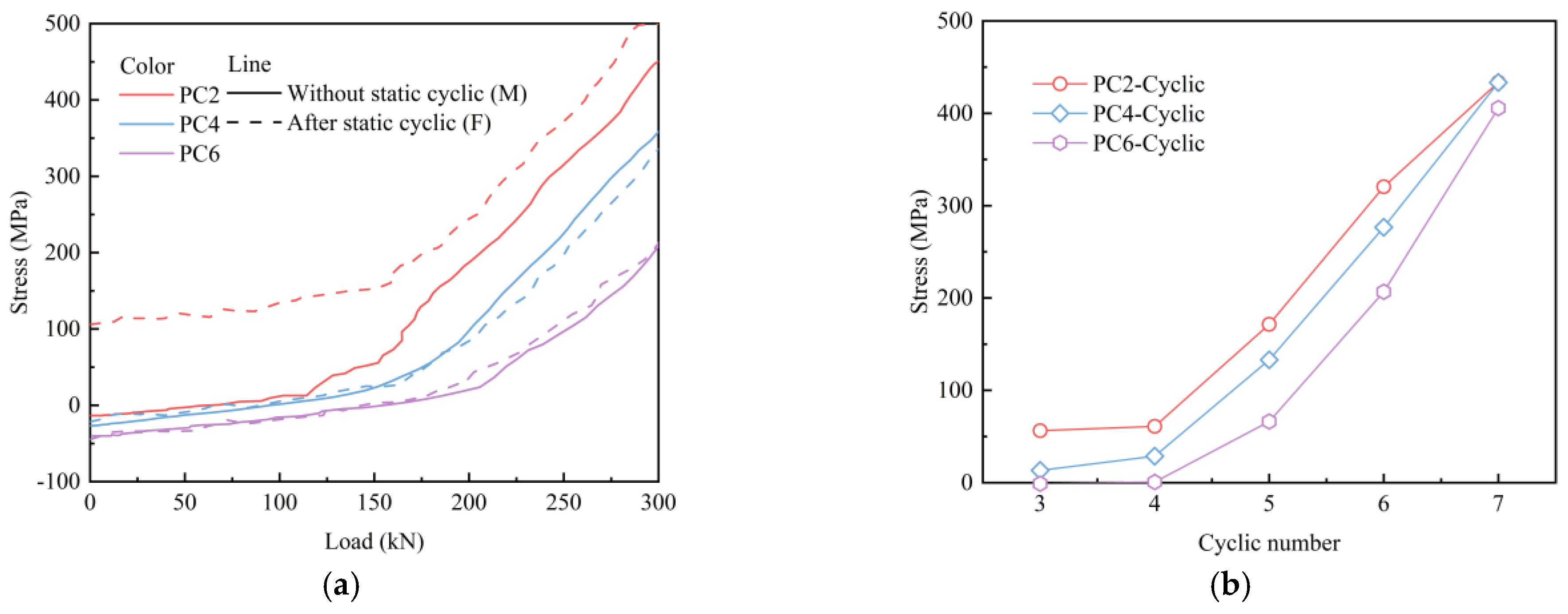
3.4. Evolution of Strain
4. Numerical Analysis
4.1. Finite-Element Model
4.2. Model Validation
4.3. Parametric Analysis of Finite-Element Model
4.3.1. Load–Displacement Curves
4.3.2. Evolution of Concrete Stress
4.3.3. Evolution of Rebar Stress
4.3.4. Rebar–Concrete Bond Damage
4.4. Performance Enhancement Mechanism
5. Theoretical Analysis
5.1. Fatigue Characterization
5.1.1. Compression Zone Concrete
5.1.2. Tensile Rebar and Prestressed Tendons
5.2. Failure Criterion
5.3. Force Analysis
- (1)
- The PC slab that adheres to the plane section remains a plane assumption.
- (2)
- The prestress value was maintained at a constant level throughout the fatigue cycle.
- (3)
- The influence of crack width on the deformation of the slab is ignored.
5.4. Model Verification
5.5. Parametric Analysis
6. Conclusions
- (1)
- By comparing the test results of the PC slab under different static load cycles, it is evident that high static loads induce significant cracking in the slab, whereas cracks under low static loads remain in the initial stages. During subsequent fatigue loading, the slab subjected to low static loads exhibits smaller deformations and lower stresses in both concrete and rebar. Even if the upper limit of the fatigue load is increased to match the level of high static loads, the resulting deformation and stress levels remain relatively small. This indicates that damage caused by static cyclic loading has a substantial influence on the fatigue performance of the slab.
- (2)
- Based on the numerical results, applying prestress can effectively mitigate crack initiation and propagation by compensating for tensile stresses at the bottom of the slab. This not only enhances the redistribution of rebar stress around cracks but also slows down the degradation of rebar–concrete bond, and the effectiveness becomes more pronounced with increasing prestress values, thereby reducing the influence of static cyclic damage on the fatigue performance of the slab.
- (3)
- In the established method for evaluating the fatigue performance of PC slab, the concept of equivalent damage height was introduced to represent initial damage, and a damage deformation parameter was proposed to account for the influence of initial damage on fatigue deformation, and the performance degradation of both the concrete and rebar in the slab under fatigue load was characterized independently. Comparison with test data demonstrates that the evaluation method accurately reflects the fatigue deformation of the PC slab, with an average error margin below 10%, and reliably predicts the fatigue life and failure mode.
- (4)
- The parametric analysis based on the evaluation method reveals that when the tensioning stress of the prestressed tendons exceeds 80% of their ultimate strength, the prestressed tendons fracture upon fatigue failure of the PC slab. Conversely, maintaining the tensioning stress at 75% of the ultimate strength prevents such fractures. Furthermore, increasing the prestressed value exceeds 9 MPa by altering the area of the prestressed tendons shifts the failure mode of the PC slab from rebar fracture to concrete failure.
Author Contributions
Funding
Informed Consent Statement
Data Availability Statement
Acknowledgments
Conflicts of Interest
References
- Maeda, Y.; Matsui, S. Formulation of bending moments for reinforced concrete slabs at highway bridges. Proc. Jpn. Soc. Civ. Eng. 1976, 252, 11–22. [Google Scholar] [CrossRef]
- Yuan, Y.G.; Han, W.S.; Li, G.L.; Xie, Q.; Guo, Q. Time-dependent reliability assessment of existing concrete bridges including non-stationary vehicle load and resistance processes. Eng. Struct. 2019, 197, 109426. [Google Scholar] [CrossRef]
- BS EN 1992-1-1; Eurocode 2: Design of Concrete Structures—Part 1-1: General Rules and Rules for Buildings. CEN: Brussels, Belgium, 2004.
- AASHTO. AASHTO LRFD Bridge Design Specifications; American Association of State Highway and Transportation Officials: Washington, DC, USA, 2017. [Google Scholar]
- Zanuy, C.; Maya, L.F.; Albajar, L.; Fuente, P. Transverse fatigue behaviour of lightly reinforced concrete bridge decks. Eng. Struct. 2011, 33, 2839–2849. [Google Scholar] [CrossRef]
- Liang, C.; Zhao, C.J.; Liu, Y.Q. Experiment and numerical study on the static and fatigue behavior of a novel deck joint. Eng. Struct. 2024, 312, 118235. [Google Scholar] [CrossRef]
- Liang, C.; Zhao, C.J.; Liu, Y.Q. Mechanism of longitudinal cracking in concrete deck slabs of composite cable-stayed bridges. Eng. Struct. 2025, 327, 119544. [Google Scholar] [CrossRef]
- Carbonari, S.; Nicoletti, V.; Martini, R.; Gara, F. Dynamics of bridges during proof load tests and determination of mass-normalized mode shapes from OMA. Eng. Struct. 2024, 310, 118111. [Google Scholar] [CrossRef]
- Sheibani, M.; Ghorbani-Tanha, A.K. Obtaining mass normalized mode shapes of motorway bridges based on the effect of traffic movement. Structures 2021, 33, 2253–2263. [Google Scholar] [CrossRef]
- Hwang, H.; Yoon, H.; Joh, C.; Kim, B. Punching and fatigue behavior of long-span prestressed concrete deck slabs. Eng. Struct. 2010, 32, 2861–2872. [Google Scholar] [CrossRef]
- Lantsoght Eva, O.L.; Veen, C.V.D.; Koekkoek, R.; Siledrecht, H. Fatigue testing of transversely prestressed concrete decks. ACI Struct. J. 2019, 116, 143–153. [Google Scholar] [CrossRef]
- Bae, J.H.; Hwang, H.H.; Park, S.Y. Structural safety evaluation of precast, prestressed concrete deck slabs cast using 120-MPa high-performance concrete with a reinforced joint. Materials 2019, 12, 3040. [Google Scholar] [CrossRef]
- Amir, S.; Veen, C.V.D.; Walraven, J.C.; Boer, A.D. Experiments on punching shear behavior of prestressed concrete bridge decks. ACI Struct. J. 2016, 113, 627–636. [Google Scholar] [CrossRef]
- Wang, X.; Peng, Z.Q.; Wu, Z.S.; Sun, S.P. High-performance composite bridge deck with prestressed basalt fiber-reinforced polymer shell and concrete. Eng. Struct. 2019, 201, 109852. [Google Scholar] [CrossRef]
- Wang, X.; Peng, Z.Q.; Deng, W.J.; Wu, Z.S. Fatigue behavior of a composite bridge deck with prestressed basalt fiber-reinforced polymer shell and concrete. J. Bridge Eng. 2020, 25, 04020088. [Google Scholar] [CrossRef]
- Hu, H.; Dong, C.Z.; Wang, J.J.; Chen, J.Q. Experimental study of the fatigue performance of the bonding surfaces and load-bearing capacity of a large-scale severely damaged hollow slab strengthened by CFRP. Sustainability 2021, 13, 12179. [Google Scholar] [CrossRef]
- Zeng, Z.P.; Hu, J.; Huang, X.D.; Wang, W.D.; Huang, Z.B.; Shuaibu, A.A.; Yuan, Y.; Xie, Z.L.; He, X.F. Research on fatigue damage evolution of the base plate structure of china railway track system III type slab ballastless track under heavy haul train load. Appl. Sci. 2022, 12, 1694. [Google Scholar] [CrossRef]
- Fujiyama, C.; Tang, X.J.; Maekawa, K.; An, X.H. Pseudocracking approach to fatigue life assessment of RC bridge decks in service. J. Adv. Concr. Technol. 2013, 11, 7–21. [Google Scholar] [CrossRef]
- Deng, P.R.; Kakuma, K.; Mitamura, H.; Matsumoto, T. Fatigue analysis of partly damaged RC slabs repaired with overlaid UHPFRC. Struct. Eng. Mech. 2020, 75, 19–32. [Google Scholar] [CrossRef]
- Yoshida, Y.; Kisaku, T.; Fujiyama, C. Pseudo-cracking approach in reinforced concrete beam with horizontal crack. Struct. Concr. 2025, 1–21. [Google Scholar] [CrossRef]
- Li, D.; Kaewunruen, S.; You, R.L.; Liu, P. Fatigue life modelling of railway prestressed concrete sleepers. Structures 2022, 41, 643–656. [Google Scholar] [CrossRef]
- Graddy, J.C.; Kim, J. Punching-shear behavior of bridge decks under fatigue loading. ACI Struct. J. 2002, 99, 257–266. [Google Scholar] [CrossRef]
- Zanuy, C.; Albajar, L.; Fuente, P. Sectional Analysis of Concrete Structures under Fatigue Loading. ACI Struct. J. 2009, 106, 667–677. [Google Scholar] [CrossRef]
- Du, Y.X.; Wei, J.; Yuan, J.; Lai, Y.F.; Sun, D.H. Experimental research on fatigue behavior of prestressed concrete beams under constant-amplitude and variable amplitude fatigue loading. Constr. Build. Mater. 2020, 259, 11982. [Google Scholar] [CrossRef]
- Su, X.C.; Ma, Y.F.; Wang, L.; Guo, Z.Z.; Zhang, J.R. Fatigue life pre-diction for prestressed concrete beams under corrosion deterioration process. Structures 2022, 43, 1704–1715. [Google Scholar] [CrossRef]
- Min, X.Z.; Zhang, J.W.; Tu, Y.M.; Li, X.; Wang, C.; Sas, G.; Elfgren, L. A full-range fatigue life prediction model for RC beams strengthened with prestressed CFRP plates accounting for the impact of FRP debonding. Eng. Struct. 2024, 301, 117305. [Google Scholar] [CrossRef]
- Li, W.J.; Ma, R.J.; Liu, Y.Q.; Liang, C. Fatigue deterioration of reinforced concrete slabs for composite bridges considering rebar-concrete interfacial bond damage: Testing, analysis, and modelling. Structures 2025, 80, 110131. [Google Scholar] [CrossRef]
- JTG D60-2015; General Specifications for Design of Highway Bridges and Culverts. Ministry of Transport of the People’s Republic of China: Beijing, China, 2015.
- Abaqus User’s Manual; Dassault Systemes Simulia Corporation: Waltham, MA, USA, 2020.
- Zheng, S.J.; Liu, Y.Q.; Yoda, T.; Lin, W.W. Parametric study on shear capacity of circular-hole and long-hole perfobond shear connector. J. Constr. Steel. Res. 2016, 117, 64–80. [Google Scholar] [CrossRef]
- Nguyen, H.T.; Kim, S.E. Finite element modeling of push-out tests for large stud shear connectors. J. Constr. Steel. Res. 2009, 65, 1909–1920. [Google Scholar] [CrossRef]
- Maio, U.D.; Greco, F.; Leonetti, L.; Blasi, P.N.; Pranno, A. A cohesive fracture model for predicting crack spacing and crack width in reinforced concrete structures. Eng. Fail. Anal. 2022, 139, 106452. [Google Scholar] [CrossRef]
- Chen, B.Y.; Yu, H.F.; Zhang, J.H.; Ma, H.Y.; Tian, F.M. Effects of the embedding of cohesive zone model on the mesoscopic fracture behavior of Concrete: A case study of uniaxial tension and compression tests. Eng. Fail. Anal. 2022, 142, 106709. [Google Scholar] [CrossRef]
- Gao, D.Y.; Gu, Z.Q.; Zhu, H.T.; Huang, Y.C. Fatigue behavior assessment for steel fiber reinforced concrete beams through experiment and fatigue prediction model. Structures 2020, 27, 1105–1117. [Google Scholar] [CrossRef]
- Yan, H.H.; Gao, D.Y.; Guo, A.F.; Gu, Z.Q.; Ji, D.D.; Zhang, Y. Mono-tonic and cyclic bond responses of steel bar with steel-polypropylene hybrid fiber rein-forced recycled aggregate concrete. Constr. Build. Mater. 2022, 327, 127031. [Google Scholar] [CrossRef]
- Lin, P.Z.; Yan, W.Y. Tensile strength based two-phase fatigue process prediction model of prestressed UHPC beams. Structures 2024, 61, 106097. [Google Scholar] [CrossRef]
- Zhu, J.; Yan, G. Method of numerical simulation for reinforced concrete bridge slabs under fatigue load. China J. Highw. Transp. 2012, 25, 59–66. (In Chinese) [Google Scholar] [CrossRef]
- Xu, J.J.; Zhu, P.; Ma, Z.G.J.; Qu, W.J. Fatigue flexural analysis of concrete beams reinforced with hybrid GFRP and steel bars. Eng. Struct. 2019, 199, 109635. [Google Scholar] [CrossRef]
- Model code 2010. First complete draft. In FIB Swiss Bulletin d’Information Nos. 56 and 57; International Federation for Structural Concrete: Lausanne, Switzerland, 2010. [Google Scholar]
- Deng, Z.C.; Huang, S.; Wang, Y.Z.; Xue, H.Q. Experimental research on fatigue behavior of prestressed ultra-high performance concrete beams with high-strength steel bars. Structures 2022, 43, 1778–1789. [Google Scholar] [CrossRef]




























| ID | Static Stage | Fatigue Stage I (0–2 M Cycle) | Fatigue Stage II (2–5 M Cycle) | ||
|---|---|---|---|---|---|
| Fs (kN) | Fmin (kN) | Fmax (kN) | Fmin (kN) | Fmax (kN) | |
| PC-HL | 125 | 40 | 100 | 40 | 100 |
| PC-LH | 100 | 40 | 100 | 65 | 125 |
| Kn (N/mm3) | Ks, Kt (N/mm3) | tn0 (MPa) | ts0, tt0 (MPa) | Gn (N/mm) | Gs, Gt (N/mm) |
|---|---|---|---|---|---|
| 40,690 | 20,410 | 2.60 | 3.68 | 0.13 | 1.30 |
| ID | Prestress Value (MPa) | Top Rebar | Bottom Rebar | Loading Methods | ||
|---|---|---|---|---|---|---|
| Diameter (mm) | Quantity | Diameter (mm) | Quantity | |||
| PC2-M | 2 | 16 | 8 | 16 | 8 | Monotonic |
| PC2-F | 2 | 16 | 8 | 16 | 8 | Cyclic + Monotonic |
| PC2-C | 2 | 16 | 8 | 16 | 8 | Cyclic |
| PC4-M | 4 | 16 | 8 | 16 | 8 | Monotonic |
| PC4-F | 4 | 16 | 8 | 16 | 8 | Cyclic + Monotonic |
| PC4-C | 4 | 16 | 8 | 16 | 8 | Cyclic |
| PC6-M | 6 | 16 | 8 | 16 | 8 | Monotonic |
| PC6-F | 6 | 16 | 8 | 16 | 8 | Cyclic + Monotonic |
| PC6-C | 6 | 16 | 8 | 16 | 8 | Cyclic |
| ID | Cycle | Test Result (mm) | Calculation Result (mm) | Error (%) |
|---|---|---|---|---|
| PC-HL | 1 | 3.342 | 3.188 | 4.61 |
| 2 | 3.356 | 3.199 | 4.68 | |
| 3 | 3.391 | 3.200 | 5.63 | |
| PC-LH | 1 | 2.346 | 2.551 | 8.04 |
| 2 | 2.418 | 2.557 | 5.75 | |
| 3 | 2.415 | 2.558 | 5.92 |
| ID | Fmin (kN) | Fmin (kN) | Fmax (kN) | Prestress (MPa) | Tensioning Stress (MPa) | Stress/Ultimate Strength (%) | Area (mm2) | x0 (mm) |
|---|---|---|---|---|---|---|---|---|
| PC-S0 | 125 | 40 | 100 | 0 | 0.0 | 0 | 3216.9 | 110.45 |
| PC-S1 | 1 | 93.3 | 10 | 90.05 | ||||
| PC-S2 | 2 | 186.5 | 20 | 69.79 | ||||
| PC-S3 | 3 | 279.8 | 30 | 49.39 | ||||
| PC-S4 | 4 | 373.0 | 40 | 29.13 | ||||
| PC-S5 | 5 | 466.3 | 50 | 18.53 | ||||
| PC-S6 | 6 | 559.5 | 60 | 18.01 | ||||
| PC-S7 | 7 | 652.8 | 70 | 17.49 | ||||
| PC-S8 | 8 | 746.0 | 80 | 16.97 | ||||
| PC-S9 | 9 | 839.3 | 90 | 16.45 | ||||
| PC-A0 | 125 | 40 | 100 | 0 | 697.5 | 75 | 0.0 | 110.45 |
| PC-A1 | 1 | 430.1 | 90.20 | |||||
| PC-A2 | 2 | 860.2 | 69.79 | |||||
| PC-A3 | 3 | 1290.3 | 49.53 | |||||
| PC-A4 | 4 | 1720.4 | 29.13 | |||||
| PC-A5 | 5 | 2150.5 | 18.53 | |||||
| PC-A6 | 6 | 2580.7 | 18.01 | |||||
| PC-A7 | 7 | 3010.8 | 17.49 | |||||
| PC-A8 | 8 | 3440.9 | 16.97 | |||||
| PC-A9 | 9 | 3871.0 | 16.45 | |||||
| PC-A10 | 10 | 4301.1 | 15.93 | |||||
| PC-A11 | 11 | 4731.2 | 15.41 | |||||
| PC-A12 | 12 | 5161.3 | 14.89 | |||||
| PC-A13 | 13 | 5591.4 | 14.37 | |||||
| PC-A14 | 14 | 6021.5 | 13.85 | |||||
| PC-A15 | 15 | 6451.6 | 13.33 | |||||
| PC-A16 | 16 | 6881.7 | 12.81 | |||||
| PC-A17 | 17 | 7311.8 | 12.29 | |||||
| PC-A18 | 18 | 7741.9 | 11.77 | |||||
| PC-A19 | 19 | 8172.0 | 11.25 | |||||
| PC-A20 | 20 | 8602.2 | 10.73 |
Disclaimer/Publisher’s Note: The statements, opinions and data contained in all publications are solely those of the individual author(s) and contributor(s) and not of MDPI and/or the editor(s). MDPI and/or the editor(s) disclaim responsibility for any injury to people or property resulting from any ideas, methods, instructions or products referred to in the content. |
© 2025 by the authors. Licensee MDPI, Basel, Switzerland. This article is an open access article distributed under the terms and conditions of the Creative Commons Attribution (CC BY) license (https://creativecommons.org/licenses/by/4.0/).
Share and Cite
Li, W.; Ma, R.; Liu, Y.; Liang, C. Experimental Study on the Fatigue Degradation of Prestressed Concrete Slabs for Composite Bridges. Materials 2025, 18, 4878. https://doi.org/10.3390/ma18214878
Li W, Ma R, Liu Y, Liang C. Experimental Study on the Fatigue Degradation of Prestressed Concrete Slabs for Composite Bridges. Materials. 2025; 18(21):4878. https://doi.org/10.3390/ma18214878
Chicago/Turabian StyleLi, Wenjun, Rujin Ma, Yuqing Liu, and Chen Liang. 2025. "Experimental Study on the Fatigue Degradation of Prestressed Concrete Slabs for Composite Bridges" Materials 18, no. 21: 4878. https://doi.org/10.3390/ma18214878
APA StyleLi, W., Ma, R., Liu, Y., & Liang, C. (2025). Experimental Study on the Fatigue Degradation of Prestressed Concrete Slabs for Composite Bridges. Materials, 18(21), 4878. https://doi.org/10.3390/ma18214878

