The Impact of Storage Conditions on the Gas-Forming Tendency of Moulds and Cores Made with Resole-Type Phenol Formaldehyde Resin
Abstract
1. Introduction
2. Research Materials and Methodology
- Grain matrix, quartz sand (parameters in Table 1) DBCargo, Szczakowa, Poland;
 - Resol-type phenol formaldehyde resin [Prec-Odlew, Skawina, Poland];
 - Hardener, a mixture of dimethyl esters [Prec-Odlew, Skawina, Poland].
 
- Grain matrix 100 parts by mass;
 - Resin 1.5 parts by weight relative to the grain matrix;
 - Hardener 25% relative to the resin.
 
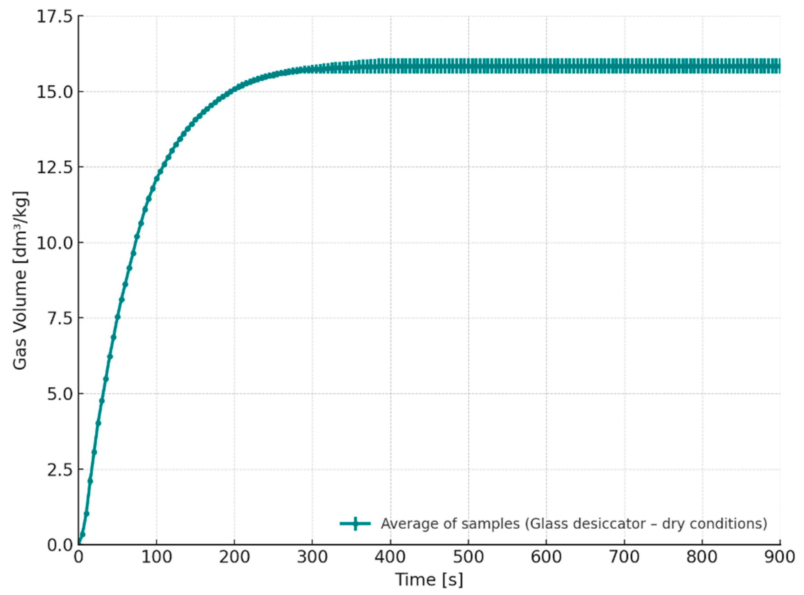
- 24 h in a glass desiccator;
 - 3 h under laboratory conditions (Temperature [T] = 20–21 °C, relative humidity [RH] = 45–50%);
 - 24 h under laboratory conditions (Temperature [T] = 20–21 °C, relative humidity [RH] = 45–50%);
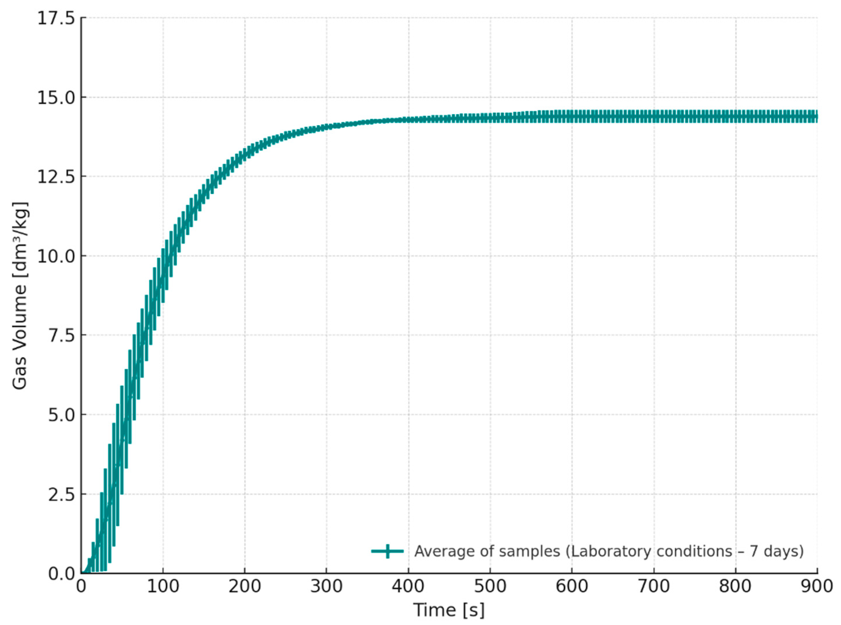
 - 7 days under laboratory conditions (Temperature [T] = 20–21 °C, relative humidity [RH] = 45–50%);
 - 24 h in a climate chamber: temperature T = 35 °C, relative humidity RH = 70%.
 
3. Results
4. Conclusions
- Storing samples in a desiccator for 24 h results in lower emissions compared to samples stored in the laboratory for the same period. In contrast, samples (cores) poured 3 h after preparation exhibit higher emissions than those poured after 24 h of storage, which is due to the evaporation of volatile substances from the hardener and/or the complete reaction of the binder components (resin–hardener).
 - It has been demonstrated that storing samples under conditions of elevated humidity (temperature: 35 °C, humidity: 70%) leads to higher emissions, although still at a lower level than in samples poured 3 h after preparation. Therefore, it can be concluded that the “setting time” of the cores plays a crucial role in foundry practice, as it can significantly affect the tendency to form gas-related defects. Such defects are often irreparable and result in castings being classified as non-compliant with customer requirements. In many cases, these defects are discovered during machining or, even more critically, by the end user, resulting in high financial and reputational costs.
 - Seasoning of cores for an adequate duration under controlled climatic conditions helps reduce both the overall gas generation and the emission rate. This is particularly important for cores exposed to extreme thermal loads, which are typically completely burned through during casting, causing total degradation of the binder and release of volatile decomposition products. Gas evacuation from such cores is limited, as they are almost entirely surrounded by molten metal. Therefore, any increase in gas volume generated during mould or core pouring becomes critically important and must be effectively vented to minimize the risk of gas-related defects.
 - A properly designed core production process, including a sufficiently long seasoning period in controlled temperature and humidity conditions, can significantly reduce the risk of casting defects, improve product quality, and enhance occupational safety in foundries.
 - The intensification of gas emissions under adverse storage conditions, especially high humidity, in APNB binder technology cores promotes the formation of toxic compounds from the BTEX group (benzene, toluene, ethylbenzene, xylenes). This not only leads to increased environmental emissions but also directly exposes foundry workers to harmful substances. Benzene is of particular concern, as it is classified as a carcinogenic compound.
 
Author Contributions
Funding
Institutional Review Board Statement
Informed Consent Statement
Data Availability Statement
Conflicts of Interest
References
- Mhamane, D.A.; Rayjadhav, S.B.; Shinde, V.D. Analysis of Chemically Bonded Sand Used for Molding in Foundry. Asian J. Sci. Appl. Technol. 2018, 7, 11–16. [Google Scholar] [CrossRef]
 - Gutowski, W.S.; Błędzki, A.K. Fast-Setting Permeable Alkyd/Polyester Composites: Moulding Sands. Polymers 2021, 13, 4386. [Google Scholar] [CrossRef] [PubMed]
 - Holtzer, M.; Dańko, R.; Piasny, S.; Kubecki, M.; Drożyński, D.; Roczniak, A.; Skrzyński, M.; Kmita, A. Research on the Release of Dangerous Compounds from the BTEX and PAHs Groups in Industrial Casting Conditions. Materials 2021, 14, 2581. [Google Scholar] [CrossRef] [PubMed]
 - Garitaonandia, E.; Ibarra, A.; Kmita, A.; Dańko, R.; Holtzer, M. Assessment of Harmful Emissions from Multiple Binder Systems in Pilot-Scale Sand Casting. Molecules 2025, 30, 2765. [Google Scholar] [CrossRef]
 - Ghosh, D.K. Comparison of molding sand technology between alphaset (ApNB) and furan (FNB). Arch. Foundry Eng. 2019, 19, 11–20. [Google Scholar] [CrossRef]
 - Major-Gabryś, K.; Hosadyna-Kondracka, M. Organic Moulding Sands for Production of Large-Size Castings. Arch. Foundry Eng. 2019, 19, 99–105. [Google Scholar] [CrossRef]
 - Kubecki, M.; Holtzer, M.; Bobrowski, A.; Dańko, R.; Grabowska, B.; Żymankowska-Kumon, S. Analysis of the Compounds from the BTEX Group, Emitted During Thermal Decomposition of Alkyd Resin. Arch. Foundry Eng. 2012, 12, 69–74. [Google Scholar] [CrossRef]
 - Bobrowski, A.; Holtzer, M.; Zymankowska-Kumon, S.; Dańko, R. Harmfulness assessment of moulding sands with a geopolymer binder and a new hardener, in an aspect of the emission of substances from the BTEX group. Arch. Metall. Mater. 2015, 60, 341–344. [Google Scholar] [CrossRef]
 - Fortini, A.; Merlin, M.; Raminella, G. A Comparative Analysis on Organic and Inorganic Core Binders for a Gravity Diecasting Al Alloy Component. Int. J. Met. 2022, 16, 674–688. [Google Scholar] [CrossRef]
 - Łucarz, M.; Drożyński, D.; Garbacz-Klempka, A.; Jezierski, J.; Bartocha, D.; Wróbel, T.; Kostrzewa, K.; Feliks, E. Influence of Weather Conditions and Mechanical Reclamation on Molding Sand with Alkali-Phenolic Binder for Manganese Cast Steel. Materials 2023, 16, 71. [Google Scholar] [CrossRef]
 - Dańko, J.; Dańko, R.; Łucarz, M. Assessment of the reclamation of used sands from the alpha-set technology in the testing apparatus. Arch. Foundry Eng. 2009, 9, 33–36. [Google Scholar]
 - Huang, R.H.; Zhang, B.P.; Tang, Y.J. Application conditions for ester cured alkaline phenolic resin sand. China Foundry 2016, 13, 231–237. [Google Scholar] [CrossRef]
 - Lewandowski, J.L. Tworzywa na Formy Odlewnicze; Akapit: Kraków, Poland, 1997. [Google Scholar]
 - Łucarz, M.; Drozyński, D.; Jezierski, J.; Kaczmarczyk, A. Comparison of the Properties of Alkali-Phenolic Binder in Terms of Selection of Molding Sand for Steel Castings. Materials 2019, 12, 3705. [Google Scholar] [CrossRef] [PubMed]
 - Łucarz, M. Selection of Effective Temperature for Thermal Regeneration of Spent Alkali-Phenolic Binder Moulding Sand. Materials 2023, 16, 7629. [Google Scholar] [CrossRef]
 - Svidró, J.T.; Diószegi, A.; Svidró, J.; Ferenczi, T. The effect of different binder levels on the heat absorption capacity of moulding mixtures made by the phenolic urethane cold-box process. J. Therm. Anal. Calorim. 2017, 130, 1769–1777. [Google Scholar] [CrossRef]
 - Łucarz, M.; Garbacz-Klempka, A.; Drożyński, D.; Skrzyński, M.; Kostrzewa, K. Mechanical reclamation of spent moulding sand on chromite sand matrix; removal of alkali-phenolic binder. Materials 2023, 16, 2919. [Google Scholar] [CrossRef]
 - Holtzer, M.; Żymankowska-Kumon, S.; Bobrowski, A.; Kmita, A.; Dańko, R. Influence of the Reclaim Addition to the Moulding Sand Matrix Obtained in the ALPHASET Technology on the Emission of Gases—Comparison with Moulding Sand with Furfuryl Resin. Arch. Foundry Eng. 2015, 15, 121–125. [Google Scholar]
 - Gyarmati, G.; Budavári, I.; Fegyverneki, G.; Varga, L. The effect of sand quality on the bending strength and thermal distortion of chemically bonded sand cores. Heliyon 2021, 7, e07624. [Google Scholar] [CrossRef]
 - Kołodziej, R.; Kostrzewski, Ł.; Szajnar, J. Problem z wadami gazowymi w odlewni żeliwa. Arch. Foundry Eng. 2013, 13, 75–78. [Google Scholar]
 - Urządzenie LUZ-2e do Wibracyjnego Zagęszczania Próbek|Multiserw Morek. Available online: https://multiserw-morek.pl/produkt/urzadzenie-luz-2e-do-wibracyjnego-zageszczania-probek/ (accessed on 10 September 2025).
 - Holtzer, M.; Dańko, J.; Lewandowski, J.L.; Solarski, W.; Dańko, R.; Grabowska, B.; Bobrowski, A.; Żymankowska-Kumon, S.; Sroczyński, A.; Różycki, A.; et al. Station for Research of the Volume and Harmfulness of Gases Compounds from the Materials Used in Foundry and Metallurgical Processes. Patent Description. Patent PL224705B1, 31 January 2017. [Google Scholar]
 - Szymański, Ł.; Żymankowska_Kumon, S. Application of chromatographic analysis in foundry engineering. Arch. Foundry Eng. 2013, 13, 167–170. [Google Scholar]
 - Bobrowski, A.; Woźniak, F.; Żymankowska-Kumon, S.; Kaczmarska, K.; Grabowska, B.; Dereń, M.; Żuchliński, R. The Influence of 3D Printing Core Construction (Binder Jetting) on the Amount of Generated Gases in the Environmental and Technological Aspect. Materials 2023, 16, 5507. [Google Scholar] [CrossRef] [PubMed]
 - Pilato, L. (Ed.) Phenolic Resins: A Century of Progress; Springer: New York, NY, USA, 2010. [Google Scholar]
 - Gardziella, A.; Pilato, L.; Knop, A. Phenolic Resins: Chemistry, Applications, Standardization, Safety, and Ecology; Springer: Berlin/Heidelberg, Germany, 2000; p. 560. Available online: https://books.google.com/books/about/Phenolic_Resins.html?hl=pl&id=CDOAraoWwTMC (accessed on 10 September 2025).
 - Ziętal, H. The Role of Selected Physicochemical and Technological Parameters on the Gas Formation of Molding and Core Sands; Engineering Project (first-cycle studies); Faculty of Foundry, AGH University of Krakow: Krakow, Poland, 2025. [Google Scholar]
 - Januszek, K. Emission of Gases from Molding and Core Sands Depending on Their Storage Conditions; Engineering Project; Faculty of Foundry, AGH University of Krakow: Krakow, Poland, 2025. [Google Scholar]
 













| Parameter | Symbol | Value | Unit | 
|---|---|---|---|
| Major fraction | F | 0.32/0.20/0.16 | mm | 
| AFS particle number | L | 56.10 | - | 
| Average particle size | dL | 0.23 | mm | 
| Geometric mean | dg | 0.25 | mm | 
| Arithmetic mean | da | 0.26 | mm | 
| Harmonic mean | dh | 0.24 | mm | 
| Median | dM | 0.25 | mm | 
| Average particle size | D50 | 0.25 | mm | 
| Major fraction | Fg | 87.25 | % | 
| Distribution coefficient | S0 | 1.22 | - | 
| Slope index | Sk | 0.96 | - | 
| Degree of homogeneity | GG | 75.00 | % | 
| Specific surface area | St | 9.59 | m2/kg | 
| Experimental Series | Storage Environment | Storage Duration | 
|---|---|---|
| S1 | Glass desiccator–dry conditions | 24 h | 
| S2 | Laboratory conditions (20–21 °C, 45–50% RH) | 3 h | 
| S3 | Laboratory conditions (20–21 °C, 45–50% RH) | 24 h | 
| S4 | Laboratory conditions (20–21 °C, 45–50% RH) | 7 days | 
| S5 | Climatic chamber (35 °C, 70% RH) | 24 h | 
| Experimental Series | Sample Description (Average of Samples)  | Gas Volume [dm3/Sample] | Gas Volume [dm3/kg of Moulding Sand] | 
|---|---|---|---|
| S1 | 24 h desiccator | 2.16 | 15.80 | 
| S2 | 3 h laboratory | 2.64 | 19.00 | 
| S3 | 24 h laboratory | 2.20 | 15.95 | 
| S4 | 7 days laboratory | 2.02 | 14.39 | 
| S5 | 24 h climatic chamber * | 2.32 | 16.57 | 
| Experimental Series | Storage Condition | Gas Volume [dm3/kg] | Gas Release Rate [dm3/(kg·s)] | 
|---|---|---|---|
| S1 | 24 h desiccator | 15.83 ± 0.35 | 0.22 ± 0.01 | 
| S2 | 3 h laboratory | 19.00 ± 0.70 | 0.32 ± 0.10 | 
| S3 | 24 h laboratory | 16.09 ± 0.32 | 0.21 ± 0.00 | 
| S4 | 7 days laboratory | 14.39 ± 0.28 | 0.18 ± 0.02 | 
| S5 | 24 h climatic chamber * | 16.57 ± 1.50 | 0.17 ± 0.03 | 
| Experimental Series | Sample Description (Average of Samples)  | Gas [mg/Sample] | |||
|---|---|---|---|---|---|
| Benzene | Toluene | Ethylbenzene | Xylenes | ||
| S1 | 24 h desiccator | 52.13 | 0.22 | 0.00 | 0.61 | 
| S2 | 3 h laboratory | 63.66 | 3.36 | 0.00 | 2.19 | 
| S3 | 24 h laboratory | 70.36 | 2.12 | 0.00 | 0.72 | 
| S4 | 7 days laboratory | 56.14 | 0.57 | 0.00 | 1.24 | 
| S5 | 24 h climatic chamber * | 80.98 | 1.26 | 0.00 | 0.96 | 
| Experimental Series | Sample Description (Average of Samples)  | Mass of the Sample [g]  | Gas [mg/kg of Moulding/Core Sand] | |||
|---|---|---|---|---|---|---|
| Benzene | Toluene | Ethylbenzene | Xylenes | |||
| S1 | 24 h desiccator | 136.51 | 328.18 | 1.65 | 0.00 | 4.45 | 
| S2 | 3 h laboratory | 139.52 | 455.85 | 2.98 | 0.00 | 15.66 | 
| S3 | 24 h laboratory | 141.96 | 495.67 | 14.91 | 0.00 | 5.05 | 
| S4 | 7 days laboratory | 140.17 | 400.36 | 4.06 | 0.00 | 8.83 | 
| S5 | 24 h climatic chamber * | 140.13 | 577.97 | 9.03 | 0.00 | 7.02 | 
Disclaimer/Publisher’s Note: The statements, opinions and data contained in all publications are solely those of the individual author(s) and contributor(s) and not of MDPI and/or the editor(s). MDPI and/or the editor(s) disclaim responsibility for any injury to people or property resulting from any ideas, methods, instructions or products referred to in the content.  | 
© 2025 by the authors. Licensee MDPI, Basel, Switzerland. This article is an open access article distributed under the terms and conditions of the Creative Commons Attribution (CC BY) license (https://creativecommons.org/licenses/by/4.0/).
Share and Cite
Bobrowski, A.; Woźniak, F.; Żymankowska-Kumon, S.; Ziętal, H.; Januszek, K.; Grabowska, B. The Impact of Storage Conditions on the Gas-Forming Tendency of Moulds and Cores Made with Resole-Type Phenol Formaldehyde Resin. Materials 2025, 18, 4832. https://doi.org/10.3390/ma18214832
Bobrowski A, Woźniak F, Żymankowska-Kumon S, Ziętal H, Januszek K, Grabowska B. The Impact of Storage Conditions on the Gas-Forming Tendency of Moulds and Cores Made with Resole-Type Phenol Formaldehyde Resin. Materials. 2025; 18(21):4832. https://doi.org/10.3390/ma18214832
Chicago/Turabian StyleBobrowski, Artur, Faustyna Woźniak, Sylwia Żymankowska-Kumon, Hubert Ziętal, Kacper Januszek, and Beata Grabowska. 2025. "The Impact of Storage Conditions on the Gas-Forming Tendency of Moulds and Cores Made with Resole-Type Phenol Formaldehyde Resin" Materials 18, no. 21: 4832. https://doi.org/10.3390/ma18214832
APA StyleBobrowski, A., Woźniak, F., Żymankowska-Kumon, S., Ziętal, H., Januszek, K., & Grabowska, B. (2025). The Impact of Storage Conditions on the Gas-Forming Tendency of Moulds and Cores Made with Resole-Type Phenol Formaldehyde Resin. Materials, 18(21), 4832. https://doi.org/10.3390/ma18214832
        
