Vacancy and Strain Effects on the Stability and Electronic Properties of 2D-Mg Intercalated GaN
Abstract
1. Introduction
2. Materials and Methods
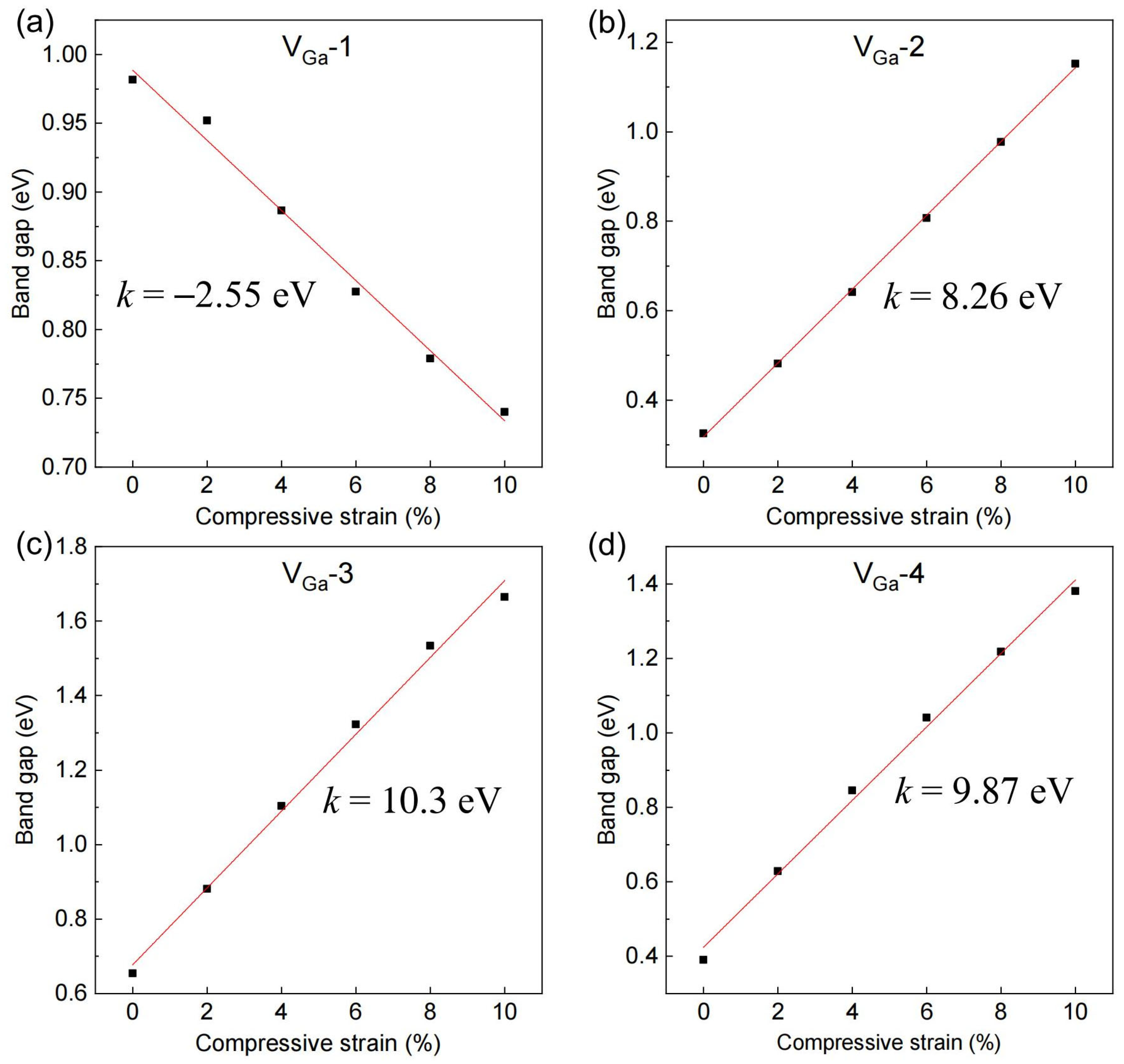
3. Results
4. Conclusions
Supplementary Materials
Author Contributions
Funding
Data Availability Statement
Conflicts of Interest
References
- Lee, H.E.; Choi, J.; Lee, S.H.; Jeong, M.; Shin, J.H.; Joe, D.J.; Kim, D.; Kim, C.W.; Park, J.H.; Lee, J.H.; et al. Monolithic flexible vertical GaN light-emitting diodes for a transparent wireless brain optical stimulator. Adv. Mater. 2018, 30, 1800649. [Google Scholar] [CrossRef]
- Wang, L.; Xu, K.; Yu, G.; Ren, X.; Qin, X.; Zhang, L.; Chen, T.; Zhang, F.; Li, F.; Zhou, J.; et al. Enhanced luminescence efficiency in GaN-based blue laser diodes by H plasma technology. Opt. Express 2024, 32, 34492–34499. [Google Scholar] [CrossRef]
- Zhang, L.; Xu, J.; He, J.; Cheng, Z.; Wang, W.; Liu, C.; Wang, X.; Mi, C.; Tan, W.; Zhang, Y. AIGaN/GaN heterojunction bipolar transistors with record f T/f max= 21.6/4.23 GHz. IEEE Electron Device Lett. 2025, 46, 912–915. [Google Scholar] [CrossRef]
- Liu, X.; Wang, D.; Chen, W.; Kang, Y.; Fang, S.; Luo, Y.; Luo, D.; Yu, H.; Zhang, H.; Liang, K.; et al. Optoelectronic synapses with chemical-electric behaviors in gallium nitride semiconductors for biorealistic neuromorphic functionality. Nat. Commun. 2024, 15, 7671. [Google Scholar] [CrossRef] [PubMed]
- Voss, L.F.; Frye, C.D.; Allen, N.A.; Harrison, S.E.; Kweon, K.; Varley, J.B.; Lordi, V.; Nikolic, R.; Anderson, T.J.; Hite, J.K. Moderate temperature Mg diffusion doping of GaN. Meet. Abstr. 2020, MA2020-02, 1810. [Google Scholar] [CrossRef]
- Nakamura, S.; Iwasa, N.; Masayuki Senoh, M.S.; Takashi Mukai, T.M. Hole compensation mechanism of p-type GaN films. Jpn. J. Appl. Phys. 1992, 31, 1258. [Google Scholar] [CrossRef]
- Amano, H.; Kito, M.; Hiramatsu, K.; Akasaki, I. P-type conduction in Mg-doped GaN treated with low-energy electron beam irradiation (LEEBI). Jpn. J. Appl. Phys. 1989, 28, L2112. [Google Scholar] [CrossRef]
- Velpula, R.T.; Jain, B.; Patel, M.; Shakiba, F.M.; Toan, N.Q.; Nguyen, H.-D.; Nguyen, H.P.T. High-efficiency InGaN blue LEDs with reduced positive sheet polarization. Appl. Opt. 2022, 61, 4967–4970. [Google Scholar] [CrossRef]
- Narita, T.; Yoshida, H.; Tomita, K.; Kataoka, K.; Sakurai, H.; Horita, M.; Bockowski, M.; Ikarashi, N.; Suda, J.; Kachi, T.; et al. Progress on and challenges of p-type formation for GaN power devices. J. Appl. Phys. 2020, 128, 090901. [Google Scholar] [CrossRef]
- Lyons, J.L.; Janotti, A.; de Walle, C.V. Shallow versus deep nature of Mg acceptors in nitride semiconductors. Phys. Rev. Lett. 2012, 108, 156403. [Google Scholar] [CrossRef]
- Lyons, J.L.; de Walle, C.V. Computationally predicted energies and properties of defects in GaN. npj Comput. Mater. 2017, 3, 12. [Google Scholar] [CrossRef]
- Kent, D.G.; Overberg, M.E.; Pearton, S.J. Co-implantation of Be+ O and Mg+ O into GaN. J. Appl. Phys. 2001, 90, 3750–3753. [Google Scholar] [CrossRef]
- Jacobs, A.G.; Spencer, J.A.; Hite, J.K.; Hobart, K.D.; Anderson, T.J.; Feigelson, B.N. Novel Codoping Moiety to Achieve Enhanced P-Type Doping in GaN by Ion Implantation. Phys. Status Solidi A 2023, 220, 2200848. [Google Scholar] [CrossRef]
- Simon, J.; Protasenko, V.; Lian, C.; Xing, H.; Jena, D. Polarization-induced hole doping in wide–band-gap uniaxial semiconductor heterostructures. Science 2010, 327, 60–64. [Google Scholar] [CrossRef] [PubMed]
- Poncé, S.; Jena, D.; Giustino, F. Hole mobility of strained GaN from first principles. Phys. Rev. B 2019, 100, 085204. [Google Scholar] [CrossRef]
- Han, B.; Sun, M.; Chang, Y.; He, S.; Zhao, Y.; Qu, C.; Qiu, W. Raman Characterization of the In-Plane Stress Tensor of Gallium Nitride. Materials 2023, 16, 2255. [Google Scholar] [CrossRef]
- Northrup, J.E. Magnesium incorporation at (0001) inversion domain boundaries in GaN. Appl. Phys. Lett. 2003, 82, 2278–2280. [Google Scholar] [CrossRef]
- Leroux, M.; Vennéguès, P.; Dalmasso, S.; de Mierry, P.; Lorenzini, P.; Damilano, B.; Beaumont, B.; Gibart, P.; Massies, J. Pyramidal defects in highly Mg-doped GaN: Atomic structure and influence on optoelectronic properties. Eur. Phys. J. Appl. Phys. 2004, 27, 259–262. [Google Scholar] [CrossRef]
- Ohnishi, K.; Amano, Y.; Fujimoto, N.; Nitta, S.; Watanabe, H.; Honda, Y.; Amano, H. Electrical properties and structural defects of p-type GaN layers grown by halide vapor phase epitaxy. J. Cryst. Growth 2021, 566–567, 126173. [Google Scholar] [CrossRef]
- Minakshi, M.; Singh, P.; Issa, T.B.; Thurgate, S.; Marco, R.D. Lithium insertion into manganese dioxide electrode in MnO2/Zn aqueous battery: Part II. Comparison of the behavior of EMD and battery grade MnO2 in Zn|MnO2|aqueous LiOH electrolyte. J. Power Sources 2004, 138, 319–322. [Google Scholar] [CrossRef]
- Wang, J.; Cai, W.; Lu, W.; Lu, S.; Kano, E.; Agulto, V.C.; Sarkar, B.; Watanabe, H.; Ikarashi, N.; Iwamoto, T.; et al. Observation of 2D-magnesium-intercalated gallium nitride superlattices. Nature 2024, 631, 67–72. [Google Scholar] [CrossRef]
- Blöchl, P.E. Projector augmented-wave method. Phys. Rev. B 1994, 50, 17953–17979. [Google Scholar] [CrossRef]
- Kresse, G.; Furthmüller, J. Efficiency of ab-initio total energy calculations for metals and semiconductors using a plane-wave basis set. Comp. Mater. Sci. 1996, 6, 15–50. [Google Scholar] [CrossRef]
- Kresse, G.; Furthmüller, J. Efficient iterative schemes for ab initio total-energy calculations using a plane-wave basis set. Phys. Rev. B 1996, 54, 11169–11186. [Google Scholar] [CrossRef] [PubMed]
- Monkhorst, H.J.; Pack, J.D. Special points for Brillouin-zone integrations. Phys. Rev. B 1976, 13, 5188–5192. [Google Scholar] [CrossRef]
- Perdew, J.P.; Burke, K.; Ernzerhof, M. Generalized gradient approximation made simple. Phys. Rev. Lett. 1996, 77, 3865–3868. [Google Scholar] [CrossRef]
- Heyd, J.; Scuseria, G.E.; Ernzerhof, M. Hybrid functionals based on a screened Coulomb potential. J. Chem. Phys. 2003, 118, 8207–8215, Erratum in J. Chem. Phys. 2006, 124, 219906. [Google Scholar] [CrossRef]
- Henkelman, G.; Uberuaga, B.P.; Jónsson, H. A climbing image nudged elastic band method for finding saddle points and minimum energy paths. J. Chem. Phys. 2000, 113, 9901–9904. [Google Scholar] [CrossRef]
- Wang, Y.; Nieman, R.; Minton, T.K.; Guo, H. Insights into adsorption, diffusion, and reactions of atomic nitrogen on a highly oriented pyrolytic graphite surface. J. Chem. Phys. 2021, 154, 074708. [Google Scholar] [CrossRef]
- Dreyer, C.E.; Janotti, A.; de Walle, C.V. Effects of strain on the electron effective mass in GaN and AlN. Appl. Phys. Lett. 2013, 102, 142105. [Google Scholar] [CrossRef]
- Sukhdeo, D.S.; Nam, D.; Kang, J.-H.; Brongersma, M.L.; Saraswat, K.C. Direct bandgap germanium-on-silicon inferred from 5.7%〈100〉 uniaxial tensile strain. Photon. Res. 2014, 2, 8–13. [Google Scholar] [CrossRef]
- Benzarti, Z.; Khalfallah, A.; Bougrioua, Z.; Evaristo, M.; Cavaleiro, A. Understanding the influence of physical properties on the mechanical characteristics of Mg-doped GaN thin films. Mater. Chem. Phys. 2023, 307, 128182. [Google Scholar] [CrossRef]





| Edge Configuration | N-A | N-B | N-C | N-N2 | Ga-Edge |
|---|---|---|---|---|---|
| Eform/eV | 6.48 | 5.02 | 5.62 | −0.63 | −0.51 |
Disclaimer/Publisher’s Note: The statements, opinions and data contained in all publications are solely those of the individual author(s) and contributor(s) and not of MDPI and/or the editor(s). MDPI and/or the editor(s) disclaim responsibility for any injury to people or property resulting from any ideas, methods, instructions or products referred to in the content. |
© 2025 by the authors. Licensee MDPI, Basel, Switzerland. This article is an open access article distributed under the terms and conditions of the Creative Commons Attribution (CC BY) license (https://creativecommons.org/licenses/by/4.0/).
Share and Cite
Wu, Q.; Zhang, S.; Song, X.; Zhang, X. Vacancy and Strain Effects on the Stability and Electronic Properties of 2D-Mg Intercalated GaN. Materials 2025, 18, 4755. https://doi.org/10.3390/ma18204755
Wu Q, Zhang S, Song X, Zhang X. Vacancy and Strain Effects on the Stability and Electronic Properties of 2D-Mg Intercalated GaN. Materials. 2025; 18(20):4755. https://doi.org/10.3390/ma18204755
Chicago/Turabian StyleWu, Qilin, Shuqing Zhang, Xiaoyan Song, and Xinping Zhang. 2025. "Vacancy and Strain Effects on the Stability and Electronic Properties of 2D-Mg Intercalated GaN" Materials 18, no. 20: 4755. https://doi.org/10.3390/ma18204755
APA StyleWu, Q., Zhang, S., Song, X., & Zhang, X. (2025). Vacancy and Strain Effects on the Stability and Electronic Properties of 2D-Mg Intercalated GaN. Materials, 18(20), 4755. https://doi.org/10.3390/ma18204755

