Dynamic Constitutive Model of Basalt Fiber Concrete After High Temperature Based on Fractional Calculus
Abstract
1. Introduction
2. BFRC High-Temperature Tests
2.1. Specimens Preparation
2.2. Research Program
2.3. High-Temperature Test and High-Temperature Damage Characteristics
3. Impact Compression Tests and Factors Analysis
3.1. Impact Compression Tests of BFRC Specimens
3.2. Mechanical Properties and Factors Analysis
4. Damage Constitutive Model Based on Fractional Calculus Theory
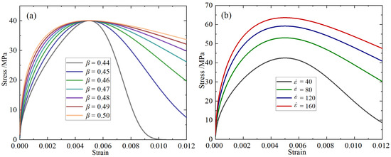
4.1. Constitutive Model Construction
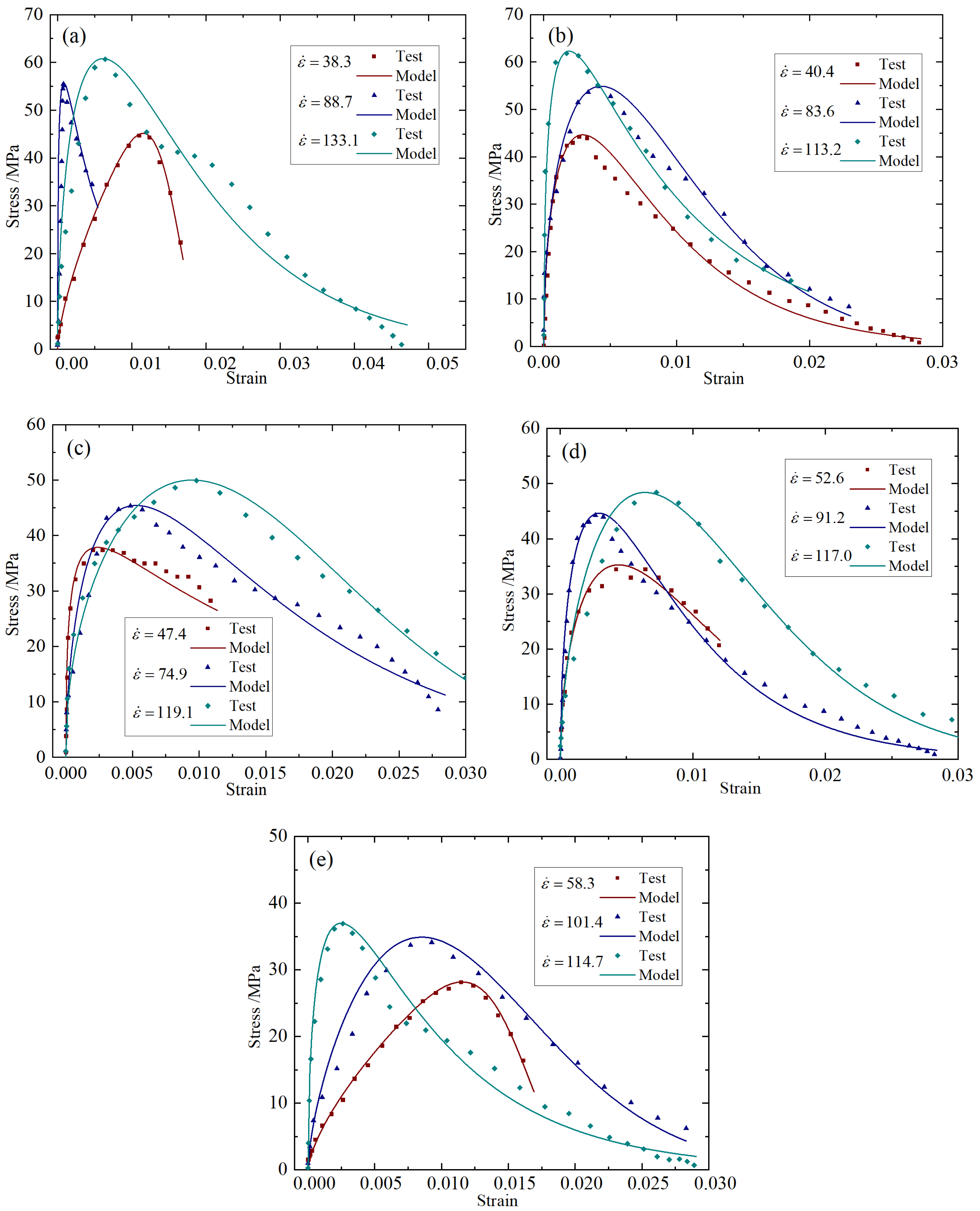
4.2. Verification of the Correctness of the Constitutive Model
5. Microscopic Mechanism Analysis of Viscoelastic Properties of BFRC
6. Conclusions
Author Contributions
Funding
Institutional Review Board Statement
Informed Consent Statement
Data Availability Statement
Conflicts of Interest
References
- Dang, F.N.; Li, Y.T.; Ren, J.; Zhang, X.; Chen, L.; Wang, H. Analysis of dynamic mechanics and energy characteristics of concrete impact failure. Explos. Shock Waves 2022, 42, 63–76. [Google Scholar]
- Sim, J.; Park, C.; Moon, D.Y. Characteristics of basalt fiber as a strengthening material for concrete structures. Compos. Part B Eng. 2005, 36, 504–512. [Google Scholar] [CrossRef]
- Tao, J.L.; Qin, L.B.; Li, K.; Zhang, Y.; Chen, H. Experimental investigation on dynamic compression mechanical performance of concrete at high temperature. Explos. Shock Waves 2011, 31, 101–106. [Google Scholar]
- Jiang, C.H.; Fan, K.; Wu, F.; Li, Y.; Zhang, J. Experimental study on the mechanical properties and microstructure of chopped basalt fiber reinforced concrete. Mater. Des. 2014, 58, 187–193. [Google Scholar] [CrossRef]
- Fiore, V.; Scalici, T.; Di Bella, G.; Valenza, A. A review on basalt fibre and its composites. Compos. Part B Eng. 2015, 74, 74–94. [Google Scholar] [CrossRef]
- Liu, F.; Pan, B.F.; Cao, P.; Zhang, X.; Li, H. Multi-scale characterization on behaviors of the interface between magnesium phosphate cement and portland cement. Constr. Build. Mater. 2021, 275, 122139. [Google Scholar] [CrossRef]
- Zheng, Y.X.; Zhang, Y.; Zhuo, J.B.; Li, K.; Wang, L. A review of the mechanical properties and durability of basalt fiber-reinforced concrete. Constr. Build. Mater. 2022, 359, 129360. [Google Scholar] [CrossRef]
- Al-Rousan, E.T.; Khalid, H.R.; Rahman, M.K. Fresh, mechanical, and durability properties of basalt fiber-reinforced concrete (BFRC): A review. Dev. Built Environ. 2023, 14, 100155. [Google Scholar] [CrossRef]
- Li, W.M.; Xu, J.Y. Mechanical properties of basalt fiber reinforced geopolymeric concrete under impact loading. Mater. Sci. Eng. A 2009, 505, 178–186. [Google Scholar] [CrossRef]
- Zhang, H.; Wang, B.; Xie, A.Y.; Li, K.; Chen, X. Experimental study on dynamic mechanical properties and constitutive model of basalt fiber reinforced concrete. Constr. Build. Mater. 2017, 152, 154–167. [Google Scholar] [CrossRef]
- Lai, D.E.; Demartino, C.; Xiao, Y. High-strain rate compressive behavior of fiber-reinforced rubberized concrete. Constr. Build. Mater. 2022, 319, 125739. [Google Scholar] [CrossRef]
- Xie, H.Z.; Yang, L.Y.; Zhang, X.H.; Li, Y.; Chen, L. Study on impact compression properties and failure characteristics of basalt fiber reinforced reactive powder concrete. J. Clean. Prod. 2025, 486, 144398. [Google Scholar] [CrossRef]
- Liu, X.; Yuan, Y.; Ye, G.; Wang, H.; Zhang, J. Study on pore structure evolution of high performance concrete with elevated temperatures. J. Tongji Univ. Nat. Sci. 2008, 36, 1473–1478. [Google Scholar]
- Liu, C.X.; Li, Y.L.; Wu, Z.Y.; Zhang, X.; Chen, H. Dynamic compression behavior of heated concrete. China Civ. Eng. J. 2011, 44, 78–83. [Google Scholar]
- Jia, B.; Tao, J.L.; Wang, R.H.; Zhang, L.; Li, K. On the dynamic mechanical properties and dynamic constitutive equation of concrete at high temperature. J. Exp. Mech. 2013, 28, 723–731. [Google Scholar]
- Wang, Z.K.; Xu, J.Y.; Ren, W.B.; Li, H.; Chen, Y. Damage evolution and dynamic constitutive model of geopolymeric concrete at elevated temperature. J. Vib. Shock 2016, 35, 110–115. [Google Scholar]
- Wang, H.W.; Xu, J.Y.; Ren, W.B.; Li, K.; Chen, X. Research on dynamic constitutive model of concrete after high temperature exposure. Build. Sci. 2017, 33, 65–69. [Google Scholar]
- Ren, W.B.; Xu, J.Y.; Su, H.Y. Dynamic compressive behaviour of concrete after exposure to elevated temperatures. Mater. Struct. 2016, 49, 3321–3334. [Google Scholar] [CrossRef]
- Kou, X.Y.; Li, L.; Du, X.L.; Zhang, Y.; Wang, H. Elastoplastic dynamic constitutive model of concrete with combined effects of temperature and strain rate. Case Stud. Constr. Mater. 2023, 18, e01905. [Google Scholar] [CrossRef]
- Yu, X.; Chen, L.; Fang, Q.; Zhang, H.; Li, K. A concrete constitutive model considering coupled effects of high temperature and high strain rate. Int. J. Impact Eng. 2017, 101, 66–77. [Google Scholar] [CrossRef]
- Wang, L.W.; Pang, B.J.; Chen, Y.; Zhang, X.; Li, H. Study on dynamic mechanical behavior and constitutive model of reactive powder concrete after exposure in high temperature. Chin. J. High Press. Phys. 2012, 26, 361–368. [Google Scholar]
- Wang, F.; Qian, Y.J.; Xu, J.Y.; Zhang, L.; Chen, H. Analysis of dynamic damage constitutive model for concrete exposed to high temperature. J. Southwest Jiaotong Univ. 2017, 52, 1075–1081. [Google Scholar]
- Keshavarzi, B.; Kim, Y.R. A viscoelastic-based model for predicting the strength of asphalt concrete in direct tension. Constr. Build. Mater. 2016, 122, 721–727. [Google Scholar] [CrossRef]
- Duan, X.M.; Yin, D.S.; An, L.Y.; Li, H.; Zhang, Y. The deformation study in viscoelastic materials based on fractional order calculus. Sci. Sin. Phys. Mech. Astron. 2013, 43, 971–977. [Google Scholar] [CrossRef]
- Yin, D.S.; Ren, J.J.; He, C.L.; Li, H. A new rheological model element for geomaterials. Chin. J. Rock Mech. Eng. 2007, 26, 1899–1903. [Google Scholar]
- Bouras, Y.; Vrcelj, Z. Fractional and fractal derivative-based creep models for concrete under constant and time-varying loading. Constr. Build. Mater. 2023, 367, 130324. [Google Scholar] [CrossRef]
- Ribeiro, J.G.T.; de Castro, J.T.P.; Meggiolaro, M.A. Modeling concrete and polymer creep using fractional calculus. J. Mater. Res. Technol. 2021, 12, 1184–1193. [Google Scholar] [CrossRef]
- Luo, X.; Zhou, Y.; Yi, W. Time-dependent axial deformation of concrete: Development of a fractional calculus-based constitutive model. Eng. Struct. 2025, 333, 120132. [Google Scholar] [CrossRef]
- Zhang, C.; Zhu, Z.; Zhu, S.; Li, H.; Wang, X. Nonlinear creep damage constitutive model of concrete based on fractional calculus theory. Materials 2019, 12, 1505. [Google Scholar] [CrossRef]
- JGJ55-2011; Specification for Mix Proportion Design of Ordinary Concrete. Chinese Standard Press: Beijing, China, 2011.
- Chen, Z.P.; Zhou, C.H.; Li, Y.; Zhang, H.; Wang, X. Research on mechanical behavior of recycled aggregate concrete after high temperatures. J. Build. Struct. 2017, 38, 105–113. [Google Scholar]
- Fehérvári, S. Effect of cooling methods on the residual properties of concrete exposed to elevated temperature. Results Eng. 2022, 16, 100797. [Google Scholar] [CrossRef]
- Peng, G.F.; Bian, S.H.; Guo, Z.Q.; Li, H.; Wang, X. Effect of thermal shock due to rapid cooling on residual mechanical properties of fiber concrete exposed to high temperatures. Constr. Build. Mater. 2008, 22, 948–955. [Google Scholar] [CrossRef]
- Liu, K.; Wu, C.; Li, X.; Zhang, H.; Chen, Y. The influences of cooling regimes on fire resistance of ultra-high performance concrete under static-dynamic coupled loads. J. Build. Eng. 2021, 44, 103336. [Google Scholar] [CrossRef]
- Gao, G.F.; Guo, Y.B. Analysis of the dynamic compressive test of high strength concrete. Explos. Shock Waves 2019, 39, 63–72. [Google Scholar]
- Song, L.; Hu, S.S. Two wave and three wave method in SHPB data processing. Explos. Shock Waves 2005, 25, 368–373. [Google Scholar]
- Van Lerberghe, A.; Li, K.S.O.; Barr, A.D.; Clarke, S.D. An open-source algorithm for correcting stress wave dispersion in split Hopkinson pressure bar experiments. Sensors 2025, 25, 281. [Google Scholar] [CrossRef]
- Lv, T.H.; Chen, X.W.; Chen, G. Analysis on the waveform features of the split Hopkinson pressure bar tests of plain concrete specimen. Int. J. Impact Eng. 2017, 103, 107–123. [Google Scholar] [CrossRef]
- Lv, T.Q.; Zhao, G.F.; Lin, Z.S.; Zhang, H.; Chen, Y. Microscopic analysis of long standing concrete after high temperature. J. Build. Mater. 2003, 6, 135–141. [Google Scholar]
- Wang, G.H.; Peng, T.; Lu, W.B.; Li, H.; Zhang, X. Analysis of impact dynamic mechanical properties of pebble and gravel concretes. Eng. J. Wuhan Univ. 2025, 58, 11–19. [Google Scholar]
- Xu, J.Y.; Li, W.M.; Huang, X.M.; Zhang, H.; Chen, L. Dynamic constitutive model of basalt fiber reinforced geopolymeric concrete. Eng. Mech. 2010, 27, 111–116. [Google Scholar]
- Li, W.M.; Xu, J.Y.; Shen, L.J.; Zhang, H.; Chen, X. Dynamic mechanical properties of basalt fiber reinforced concrete using a split Hopkinson pressure bar. Acta Mater. Compos. Sin. 2008, 25, 135–142. [Google Scholar]
- Yin, D.S.; Ren, J.J.; He, C.L.; Li, H. Stress-strain relation of soft soil based on fractional calculus operators theory. Chin. J. Rock Mech. Eng. 2009, 28 (Suppl. S1), 2973–2979. [Google Scholar]
- Wang, Y.T.; Liu, D.S.; Li, S.L.; Zhang, H.; Chen, L. Dynamic performance of concrete based on a Φ75 mm SHPB system under high temperature. J. Vib. Shock 2014, 33, 12–17. [Google Scholar]
- He, B.; Zhang, H.E.; Zhu, X.P.; Li, K.; Wang, L. Review on mechanical properties and degradation mechanism of ultra-high performance concrete in elevated environment. J. Chin. Ceram. Soc. 2024, 52, 3470–3481. [Google Scholar]












| Specimen | Cement | Sand | Stone | Water | Fly Ash | Water Reducer | Fiber |
|---|---|---|---|---|---|---|---|
| BFRC-0% | 1.00 | 2.03 | 3.80 | 0.56 | 0.40 | 0.02 | 0 |
| BFRC-0.1% | 1.00 | 2.03 | 3.80 | 0.56 | 0.40 | 0.02 | 0.1 |
| BFRC-0.2% | 1.00 | 2.03 | 3.80 | 0.56 | 0.40 | 0.02 | 0.2 |
| BFRC-0.3% | 1.00 | 2.03 | 3.80 | 0.56 | 0.40 | 0.02 | 0.3 |
| BFRC-0.4% | 1.00 | 2.03 | 3.80 | 0.56 | 0.40 | 0.02 | 0.4 |
| Specimen | Temperature | Impact Velocities | Replicates | Number of Specimens |
|---|---|---|---|---|
| BFRC-0% | 20 °C | 5.4 m/s, 8.8 m/s, 11.3 m/s | 3 | 9 |
| 200 °C | 5.4 m/s, 8.8 m/s, 11.3 m/s | 3 | 9 | |
| 400 °C | 5.4 m/s, 8.8 m/s, 11.3 m/s | 3 | 9 | |
| 600 °C | 5.4 m/s, 8.8 m/s, 11.3 m/s | 3 | 9 | |
| 800 °C | 5.4 m/s, 8.8 m/s, 11.3 m/s | 3 | 9 | |
| BFRC-0.1% | 20 °C | 5.4 m/s, 8.8 m/s, 11.3 m/s | 3 | 9 |
| 200 °C | 5.4 m/s, 8.8 m/s, 11.3 m/s | 3 | 9 | |
| 400 °C | 5.4 m/s, 8.8 m/s, 11.3 m/s | 3 | 9 | |
| 600 °C | 5.4 m/s, 8.8 m/s, 11.3 m/s | 3 | 9 | |
| 800 °C | 5.4 m/s, 8.8 m/s, 11.3 m/s | 3 | 9 | |
| BFRC-0.2% | 20 °C | 5.4 m/s, 8.8 m/s, 11.3 m/s | 3 | 9 |
| 200 °C | 5.4 m/s, 8.8 m/s, 11.3 m/s | 3 | 9 | |
| 400 °C | 5.4 m/s, 8.8 m/s, 11.3 m/s | 3 | 9 | |
| 600 °C | 5.4 m/s, 8.8 m/s, 11.3 m/s | 3 | 9 | |
| 800 °C | 5.4 m/s, 8.8 m/s, 11.3 m/s | 3 | 9 | |
| BFRC-0.3% | 20 °C | 5.4 m/s, 8.8 m/s, 11.3 m/s | 3 | 9 |
| 200 °C | 5.4 m/s, 8.8 m/s, 11.3 m/s | 3 | 9 | |
| 400 °C | 5.4 m/s, 8.8 m/s, 11.3 m/s | 3 | 9 | |
| 600 °C | 5.4 m/s, 8.8 m/s, 11.3 m/s | 3 | 9 | |
| 800 °C | 5.4 m/s, 8.8 m/s, 11.3 m/s | 3 | 9 | |
| BFRC-0.4% | 20 °C | 5.4 m/s, 8.8 m/s, 11.3 m/s | 3 | 9 |
| 200 °C | 5.4 m/s, 8.8 m/s, 11.3 m/s | 3 | 9 | |
| 400 °C | 5.4 m/s, 8.8 m/s, 11.3 m/s | 3 | 9 | |
| 600 °C | 5.4 m/s, 8.8 m/s, 11.3 m/s | 3 | 9 | |
| 800 °C | 5.4 m/s, 8.8 m/s, 11.3 m/s | 3 | 9 |
| Temperature | Static Strength (MPa) | Impact Velocities | Dynamic Strength (MPa) | Strain Rate (s−1) | DIF |
|---|---|---|---|---|---|
| 20 °C | 35.8 | 5.4 m/s | 44.7 | 38.3 | 1.25 |
| 8.8 m/s | 55.6 | 88.7 | 1.55 | ||
| 11.3 m/s | 61.1 | 133.1 | 1.71 | ||
| 200 °C | 36.4 | 5.4 m/s | 45.4 | 40.4 | 1.25 |
| 8.8 m/s | 55.3 | 83.6 | 1.52 | ||
| 11.3 m/s | 62.7 | 113.8 | 1.72 | ||
| 400 °C | 29.7 | 5.4 m/s | 37.4 | 46.8 | 1.26 |
| 8.8 m/s | 45.9 | 75.2 | 1.55 | ||
| 11.3 m/s | 50.0 | 119.7 | 1.68 | ||
| 600 °C | 27.6 | 5.4 m/s | 34.7 | 52.6 | 1.26 |
| 8.8 m/s | 44.6 | 91.0 | 1.62 | ||
| 11.3 m/s | 48.2 | 117.4 | 1.75 | ||
| 800 °C | 21.1 | 5.4 m/s | 28.2 | 58.7 | 1.34 |
| 8.8 m/s | 36.1 | 101.2 | 1.71 | ||
| 11.3 m/s | 37.8 | 115.3 | 1.81 |
| Temperature (°C) | Strain Rate (s−1) | ξ | R2 | σpks (MPa) | |
|---|---|---|---|---|---|
| 20 | 38.3 | 184 | 0.440 | 0.925 | 35.8 |
| 88.7 | 235 | 0.466 | 0.963 | ||
| 133.1 | 179 | 0.417 | 0.973 | ||
| 200 | 40.4 | 195 | 0.487 | 0.962 | 36.4 |
| 83.6 | 73 | 0.456 | 0.939 | ||
| 113.2 | 180 | 0.452 | 0.947 | ||
| 400 | 47.4 | 182 | 0.494 | 0.969 | 29.7 |
| 74.9 | 193 | 0.472 | 0.925 | ||
| 119.1 | 75 | 0.465 | 0.942 | ||
| 600 | 52.6 | 84 | 0.484 | 0.973 | 27.6 |
| 91.2 | 197 | 0.492 | 0.903 | ||
| 117.0 | 150 | 0.473 | 0.913 | ||
| 800 | 58.3 | 102. | 0.483 | 0.947 | 21.1 |
| 101.4 | 200 | 0.495 | 0.931 | ||
| 114.7 | 200 | 0.492 | 0.946 |
| Temperature (°C) | Fiber Dosage (%) | ξ | R2 | σpks (MPa) | |
|---|---|---|---|---|---|
| 20 | 0.0 | 173 | 0.455 | 0.918 | 33.6 |
| 0.1 | 149 | 0.451 | 0.932 | 34.5 | |
| 0.2 | 189 | 0.466 | 0.956 | 35.8 | |
| 0.3 | 215 | 0.467 | 0.896 | 39.3 | |
| 0.4 | 184 | 0.464 | 0.987 | 36.7 | |
| 200 | 0.0 | 233 | 0.498 | 0.915 | 32.7 |
| 0.1 | 188 | 0.450 | 0.964 | 35.4 | |
| 0.2 | 173 | 0.456 | 0.947 | 34.8 | |
| 0.3 | 178 | 0.464 | 0.948 | 33.0 | |
| 0.4 | 196 | 0.468 | 0.957 | 36.9 | |
| 400 | 0.0 | 159 | 0.483 | 0.985 | 29.5 |
| 0.1 | 165 | 0.478 | 0.921 | 30.2 | |
| 0.2 | 167 | 0.472 | 0.946 | 29.0 | |
| 0.3 | 157 | 0.480 | 0.917 | 33.8 | |
| 0.4 | 162 | 0.477 | 0.964 | 37.4 | |
| 600 | 0.0 | 147 | 0.517 | 0.982 | 28.3 |
| 0.1 | 106 | 0.494 | 0.971 | 27.1 | |
| 0.2 | 121 | 0.471 | 0.908 | 29.8 | |
| 0.3 | 129 | 0.483 | 0.963 | 27.5 | |
| 0.4 | 135 | 0.496 | 0.974 | 25.7 | |
| 800 | 0.0 | 138 | 0.493 | 0.937 | 20.2 |
| 0.1 | 181 | 0.512 | 0.916 | 17.6 | |
| 0.2 | 86 | 0.495 | 0.977 | 23.5 | |
| 0.3 | 76 | 0.492 | 0.958 | 22.0 | |
| 0.4 | 91 | 0.490 | 0.943 | 20.7 |
Disclaimer/Publisher’s Note: The statements, opinions and data contained in all publications are solely those of the individual author(s) and contributor(s) and not of MDPI and/or the editor(s). MDPI and/or the editor(s) disclaim responsibility for any injury to people or property resulting from any ideas, methods, instructions or products referred to in the content. |
© 2025 by the authors. Licensee MDPI, Basel, Switzerland. This article is an open access article distributed under the terms and conditions of the Creative Commons Attribution (CC BY) license (https://creativecommons.org/licenses/by/4.0/).
Share and Cite
Liang, W.; Ding, K.; Li, Y.; Zhai, Y.; Li, L.; Tian, Y. Dynamic Constitutive Model of Basalt Fiber Concrete After High Temperature Based on Fractional Calculus. Materials 2025, 18, 4657. https://doi.org/10.3390/ma18204657
Liang W, Ding K, Li Y, Zhai Y, Li L, Tian Y. Dynamic Constitutive Model of Basalt Fiber Concrete After High Temperature Based on Fractional Calculus. Materials. 2025; 18(20):4657. https://doi.org/10.3390/ma18204657
Chicago/Turabian StyleLiang, Wenbiao, Kai Ding, Yan Li, Yue Zhai, Lintao Li, and Yi Tian. 2025. "Dynamic Constitutive Model of Basalt Fiber Concrete After High Temperature Based on Fractional Calculus" Materials 18, no. 20: 4657. https://doi.org/10.3390/ma18204657
APA StyleLiang, W., Ding, K., Li, Y., Zhai, Y., Li, L., & Tian, Y. (2025). Dynamic Constitutive Model of Basalt Fiber Concrete After High Temperature Based on Fractional Calculus. Materials, 18(20), 4657. https://doi.org/10.3390/ma18204657
