Development of Tailored Porous Ti6Al4V Materials by Extrusion 3D Printing
Abstract
1. Introduction
2. Materials and Methods
2.1. Raw Material
2.2. Printing Parameters
2.3. Debinding and Sintering
2.4. Sample Characterization
2.5. Mechanical Properties
3. Results
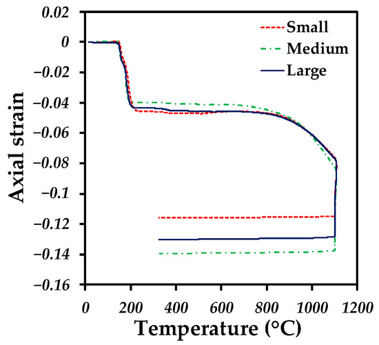
3.1. Sintering Analysis
3.2. Characterization Analysis
3.3. Permeability Analysis
3.4. Mechanical Properties Analysis
4. Discussion
5. Conclusions
Author Contributions
Funding
Institutional Review Board Statement
Informed Consent Statement
Data Availability Statement
Acknowledgments
Conflicts of Interest
References
- Lutzweiler, G.; Ndreu Halili, A.; Engin Vrana, N. The overview of porous, bioactive scaffolds as instructive biomaterials for tissue regeneration and their clinical translation. Pharmaceutics 2020, 12, 602. [Google Scholar] [CrossRef]
- Yu, G.; Li, Z.; Li, S.; Zhang, Q.; Hua, Y.; Liu, Y.; Zhao, X. The select of internal architecture for porous Ti alloy scaffold: A compromise between mechanical properties and permeability. Mater. Des. 2020, 192, 108754. [Google Scholar] [CrossRef]
- Fermenia, J.L.; Borrás, V.A. Desarrollo de Aleaciones de Titanio: Implicaciones en el Sector Biomédico Europeo; Universitat Politecnica de Valencia: Valencia, Spain, 2023. [Google Scholar] [CrossRef]
- Antunes, L.H.M.; De Lima, C.R.P. Cobalt-Chromium Alloys—Properties and Applications. In Reference Module in Materials Science and Materials Engineering; Elsevier: Amsterdam, The Netherlands, 2018; pp. 1–4. [Google Scholar] [CrossRef]
- Ali, S.; Irfan, M.; Niazi, U.M.; Rani, A.M.A.; Rashedi, A.; Rahman, S.; Khan, M.K.A.; Alsaiari, M.A.; Legutko, S.; Petrů, J.; et al. Microstructure and Mechanical Properties of Modified 316L Stainless Steel Alloy for Biomedical Applications Using Powder Metallurgy. Materials 2022, 15, 2822. [Google Scholar] [CrossRef] [PubMed]
- Adamovic, D.; Ristic, B.; Zivic, F. Review of existing biomaterials—Method of material selection for specific applications in orthopedics. In Biomaterials in Clinical Practice: Advances in Clinical Research and Medical Devices; Springer Nature: Berlin/Heidelberg, Germany, 2018; pp. 47–99. [Google Scholar] [CrossRef]
- Yaqoob, K.; Amjad, I.; Awan, M.A.M.; Liaqat, U.; Zahoor, M.; Kashif, M. Novel Method for the Production of Titanium Foams to Reduce Stress Shielding in Implants. ACS Omega 2023, 8, 1876–1884. [Google Scholar] [CrossRef]
- Alkentar, R.; Kladovasilakis, N.; Tzetzis, D.; Mankovits, T. Effects of pore size parameters of titanium additively manufactured lattice structures on the osseointegration process in orthopedic applications: A comprehensive review. Crystals 2023, 13, 113. [Google Scholar] [CrossRef]
- Hassan, A.; Alnaser, I.A. A Review of Different Manufacturing Methods of Metallic Foams. ACS Omega 2024, 9, 6280–6295. [Google Scholar] [CrossRef]
- Olmos, L.; González-Pedraza, A.S.; Vergara-Hernández, H.J.; Chávez, J.; Jiménez, O.; Mihalcea, E.; Arteaga, D.; Ruiz-Mondragón, J.J. Ti64/20Ag Porous Composites Fabricated by Powder Metallurgy for Biomedical Applications. Materials 2022, 15, 5956. [Google Scholar] [CrossRef] [PubMed]
- Garnica, P.; Macias, R.; Chavez, J.; Bouvard, D.; Jimenez, O.; Olmos, L.; Arteaga, D. Fabrication and characterization of highly porous Ti6Al4V/xTa composites for orthopedic applications. J. Mater. Sci. 2020, 55, 16419–16431. [Google Scholar] [CrossRef]
- Aguilar, C.; Martin, F.S.; Cámara, B.; Claverías, F.; Undabarrena, A.; Sancy, M.; Salinas, V.; Muñoz, L. Improving mechanical properties and antibacterial response of α/β ternary Ti–Ta alloy foams for biomedical uses. J. Mater. Res. Technol. 2023, 24, 8735–8753. [Google Scholar] [CrossRef]
- Karakurt, E.M.; Cetin, Y.; Incesu, A.; Demirtas, H.; Kaya, M.; Yildizhan, Y.; Tosun, M.; Huang, Y. Microstructural, Biomechanical, and In Vitro Studies of Ti-Nb-Zr Alloys Fabricated by Powder Metallurgy. Materials 2023, 16, 4240. [Google Scholar] [CrossRef] [PubMed]
- Gao, L.-Y.; Yang, H.-K.; Chen, X.; Tang, W.-D.; Huang, X.-M.; Liu, Z.-Q. The development of porous metallic materials: A short review of fabrication, characteristics, and applications. Phys. Scr. 2023, 98, 122001. [Google Scholar] [CrossRef]
- Li, B.; Hesar, B.D.; Zhao, Y.; Ding, L. Design and additive manufacturing of porous titanium scaffolds for optimum cell viability in bone tissue engineering. Proc. Inst. Mech. Eng. Part B J. Eng. Manuf. 2023, 237, 2015–2024. [Google Scholar] [CrossRef]
- Ouyang, P.; Dong, H.; He, X.; Cai, X.; Wang, Y.; Li, J.; Li, H.; Jin, Z. Hydromechanical mechanism behind the effect of pore size of porous titanium scaffolds on osteoblast response and bone ingrowth. Mater. Des. 2019, 183, 108151. [Google Scholar] [CrossRef]
- Chen, Z.; Yan, X.; Yin, S.; Liu, L.; Liu, X.; Zhao, G.; Ma, W.; Qi, W.; Ren, Z.; Liao, H.; et al. Influence of the pore size and porosity of selective laser melted Ti6Al4V ELI porous scaffold on cell proliferation, osteogenesis and bone ingrowth. Mater. Sci. Eng. 2020, 106, 110289. [Google Scholar] [CrossRef] [PubMed]
- Vega, C.A.; Moruno, F.; Veneri, D. Rugosidad óptima de un implante para generar la osteointegración y la fijación biológica. Rev. Asoc. Argent. Ortop. Traumatol. 2024, 89, 507–518. [Google Scholar] [CrossRef]
- Deering, J.; Mahmoud, D.; Rier, E.; Lin, Y.; do Nascimento Pereira, A.C.; Titotto, S.; Fang, Q.; Wohl, G.R.; Deng, F.; Grandfield, K.; et al. Osseointegration of functionally graded Ti6Al4V porous implants: Histology of the pore network. Biomater. Adv. 2023, 155, 213697. [Google Scholar] [CrossRef] [PubMed]
- Bae, E.J.; Kim, J.H.; Kim, W.C.; Kim, H.Y. Bond and fracture strength of metal-ceramic restorations formed by selective laser sintering. J. Adv. Prosthodont. 2014, 6, 266–271. [Google Scholar] [CrossRef]
- Liao, H.T.; Lee, M.Y.; Tsai, W.W.; Wang, H.C.; Lu, W.C. Osteogenesis of adipose-derived stem cells on polycaprolactone–β-tricalcium phosphate scaffold fabricated via selective laser sintering and surface coating with collagen type I. J. Tissue Eng. Regen. Med. 2016, 10, E337–E353. [Google Scholar] [CrossRef]
- Mazzoli, A. Selective laser sintering in biomedical engineering. Med. Biol. Eng. Comput. 2013, 51, 245–256. [Google Scholar] [CrossRef] [PubMed]
- Tejo-Otero, A.; Buj-Corral, I.; Fenollosa-Artés, F. 3D printing in medicine for preoperative surgical planning: A review. Ann. Biomed. Eng. 2020, 48, 536–555. [Google Scholar] [CrossRef]
- Zhang, L.; Yang, G.; Johnson, B.N.; Jia, X. Three-dimensional (3D) printed scaffold and material selection for bone repair. Acta Biomater. 2019, 84, 16–33. [Google Scholar] [CrossRef] [PubMed]
- Melchels, F.P.; Feijen, J.; Grijpma, D.W. A review on stereolithography and its applications in biomedical engineering. Biomaterials 2010, 31, 6121–6130. [Google Scholar] [CrossRef]
- Wu, W.; Geng, P.; Li, G.; Zhao, D.; Zhang, H.; Zhao, J. Influence of layer thickness and raster angle on the mechanical properties of 3D-printed PEEK and a comparative mechanical study between PEEK and ABS. Materials 2015, 8, 5834–5846. [Google Scholar] [CrossRef]
- Putra, N.E.; Leeflang, M.A.; Minneboo, M.; Taheri, P.; Fratila-Apachitei, L.E.; Mol, J.M.C.; Zhou, J.; Zadpoor, A.A. Extrusion-based 3D printed biodegradable porous iron. Acta Biomater. 2021, 121, 741–756. [Google Scholar] [CrossRef]
- Sa, M.W.; Nguyen, B.N.B.; Moriarty, R.A.; Kamalitdinov, T.; Fisher, J.P.; Kim, J.Y. Fabrication and evaluation of 3D printed BCP scaffolds reinforced with ZrO2 for bone tissue applications. Biotechnol. Bioeng. 2018, 115, 989–999. [Google Scholar] [CrossRef]
- Slámečka, K.; Kashimbetova, A.; Pokluda, J.; Zikmund, T.; Kaiser, J.; Montufar, E.B.; Čelko, L. Fatigue behaviour of titanium scaffolds with hierarchical porosity produced by material extrusion additive manufacturing. Mater. Des. 2023, 225, 111453. [Google Scholar] [CrossRef]
- Coffigniez, M.; Gremillard, L.; Boulnat, X. Sinter-Based Additive Manufacturing of Graded Porous Titanium Scaffolds by Multi-Inks 3D Extrusion. Adv. Eng. Mater. 2023, 25, 2201159. [Google Scholar] [CrossRef]
- Kantaros, A.; Piromalis, D. Fabricating lattice structures via 3D printing: The case of porous bio-engineered scaffolds. Appl. Mech. 2021, 2, 289–302. [Google Scholar] [CrossRef]
- Kantaros, A. 3D printing in regenerative medicine: Technologies and resources utilized. Int. J. Mol. Sci. 2022, 23, 14621. [Google Scholar] [CrossRef] [PubMed]
- Tang, G.; Liu, Z.; Liu, Y.; Yu, J.; Wang, X.; Tan, Z.; Ye, X. Recent trends in the development of bone regenerative biomaterials. Front. Cell Dev. Biol. 2021, 9, 665813. [Google Scholar] [CrossRef] [PubMed]
- Flores-Jiménez, M.S.; Garcia-Gonzalez, A.; Fuentes-Aguilar, R.Q. Review on porous scaffolds generation process: A tissue engineering approach. ACS Appl. Bio Mater. 2023, 6, 1–23. [Google Scholar] [CrossRef] [PubMed]
- Doryab, A.; Schmid, O. Bioactive cell-derived ECM scaffold forms a unique cellular microenvironment for lung tissue engineering. Biomedicines 2022, 10, 1791. [Google Scholar] [CrossRef]
- Ghorbani, F.; Zamanian, A.; Kermanian, F.; Shamoosi, A. A bioinspired 3D shape olibanum-collagen-gelatin scaffolds with tunable porous microstructure for efficient neural tissue regeneration. Biotechnol. Prog. 2020, 36, e2918. [Google Scholar] [CrossRef]
- Matsiko, A.; Gleeson, J.P.; O’Brien, F.J. Scaffold Mean Pore Size Influences Mesenchymal Stem Cell Chondrogenic Dierentiation and Matrix Deposition. Tissue Eng. Part A 2014, 21, 486–497. [Google Scholar] [CrossRef]
- Murphy, W.L.; Dennis, R.G.; Kileny, J.L.; Mooney, D.J. Salt fusion: An approach to improve pore interconnectivity within tissue engineering scaffolds. Tissue Eng. 2002, 8, 43–52. [Google Scholar] [CrossRef]
- Singh, G.; Missiaen, J.M.; Bouvard, D.; Chaix, J.M. Copper extrusion 3D printing using metal injection moulding feedstock: Analysis of process parameters for green density and surface roughness optimization. Addit. Manuf. 2021, 38, 101778. [Google Scholar] [CrossRef]
- Singh, G.; Missiaen, J.M.; Bouvard, D.; Chaix, J.M. Additive manufacturing of 17–4 PH steel using metal injection molding feedstock: Analysis of 3D extrusion printing, debinding and sintering. Addit. Manuf. 2021, 47, 102287. [Google Scholar] [CrossRef]
- Singh, G.; Missiaen, J.M.; Bouvard, D.; Chaix, J.M. Copper additive manufacturing using MIM feedstock: Adjustment of printing, debinding, and sintering parameters for processing dense and defectless parts. Int. J. Adv. Manuf. Technol. 2021, 115, 449–462. [Google Scholar] [CrossRef]
- Lotfizarei, Z.; Mostafapour, A.; Barari, A.; Jalili, A.; Patterson, A.E. Overview of debinding methods for parts manufactured using powder material extrusion. Addit. Manuf. 2023, 61, 103335. [Google Scholar] [CrossRef]
- Hamidi, M.F.F.A.; Harun, W.S.W.; Khalil, N.Z.; Ghani, S.A.C.; Azir, M.Z. Study of solvent debinding parameters for metal injection moulded 316L stainless steel. IOP Conf. Ser. Mater. Sci. Eng. 2017, 257, 012035. [Google Scholar] [CrossRef]
- González-Pedraza, A.S.; Bouvard, D.; Missiaen, J.M.; Olmos, L.; Vergara-Hernández, H.J.; Lemus-Ruiz, J.; Villalobos, J.C. Analyzing the Debinding Step of Ti64 Parts Fabricated by 3D Printing Extrusion. Coatings 2024, 14, 715. [Google Scholar] [CrossRef]
- German, R.M. Sintering Theory and Practice; John Willey & Sons: Hoboken, NJ, USA, 1996. [Google Scholar]
- Su, S.; Hong, Z.; Huang, Y.; Liu, Y.; Li, X.; Wu, J.; Wu, Y. Preparation, characterization and designing of porous Ti–6Al–4V through metal injection molding without space holder. J. Mater. Res. Technol. 2023, 27, 5651–5661. [Google Scholar] [CrossRef]
- Cabezas-Villa, J.L.; Lemus-Ruiz, J.; Bouvard, D.; Jiménez, O.; Vergara-Hernández, H.J.; Olmos, L. Sintering study of Ti6Al4V powders with different particle sizes and their mechanical properties. Int. J. Miner. Metall. Mater. 2018, 25, 1389–1401. [Google Scholar] [CrossRef]
- Olmos, L.; Takahashi, T.; Bouvard, D.; Martin, C.L.; Salvo, L.; Bellet, D.; Di Michiel, M. Analysing the sintering of heterogeneous powder structures by in situ microtomography. Philos. Mag. 2009, 89, 2949–2965. [Google Scholar] [CrossRef][Green Version]
- Olmos, L.; Bouvard, D.; Cabezas-Villa, J.L.; Lemus-Ruiz, J.; Jiménez, O.; Arteaga, D. Analysis of compression and permeability behavior of porous Ti6Al4V by computed microtomography. Met. Mater. Int. 2019, 25, 669–682. [Google Scholar] [CrossRef]
- Callow, B.; Falcon-Suarez, I.; Marin-Moreno, H.; Bull, J.M.; Ahmed, S. Optimal X-ray micro-CT image based methods for porosity and permeability quantification in heterogeneous sandstones. Geophys. J. Int. 2020, 223, 1210–1229. [Google Scholar] [CrossRef]
- ASTM D695-02; Standard Test Method for Compressive Properties of Rigid Plastics. ASTM International: West Conshohocken, PA, USA, 2020. [CrossRef]
- Wang, D.; He, G.; Tian, Y.; Ren, N.; Ni, J.; Liu, W.; Zhang, X. Evaluation of channel-like porous-structured titanium in mechanical properties and osseointegration. J. Mater. Sci. Technol. 2020, 44, 160–170. [Google Scholar] [CrossRef]
- Jakus, A.E.; Geisendorfer, N.R.; Lewis, P.L.; Shah, R.N. 3D-printing porosity: A new approach to creating elevated porosity materials and structures. Acta Biomater. 2018, 72, 94–109. [Google Scholar] [CrossRef] [PubMed]
- Xu, C.; Qi, J.; Zhang, L.; Liu, Q.; Ren, L. Material extrusion additive manufacturing of Ti6Al4V bio-inspired bone implants with tunable Young’s modulus. Addit. Manuf. 2023, 78, 103884. [Google Scholar] [CrossRef]
- Wang, D.; Jiang, C.; Li, J.; Guo, J.; Zhang, J.; Ba, F.; Li, Y.; He, G. Effects of porosity distribution on mechanical properties and osseointegration of porous polyetheretherketone. Biomater. Adv. 2025, 166, 214043. [Google Scholar] [CrossRef] [PubMed]
- Jacobs, Z.; Schipani, R.; Pastrama, M.; Ahmadi, S.M.; Sajadi, B. Evaluation of biocompatibility and osseointegration of multi-component TiAl6V4 titanium alloy implants. J. Orthop. Res. 2025, 43, 139–152. [Google Scholar] [CrossRef]
- Schulz, R.; Ray, N.; Zech, S.; Rupp, A.; Knabner, P. Beyond Kozeny–Carman: Predicting the permeability in porous media. Transp. Porous Media 2019, 130, 487–512. [Google Scholar] [CrossRef]
- Katz, A.J.; Thompson, A.H. Quantitative prediction of permeability in porous rock. Phys. Rev. B 1986, 34, 8179. [Google Scholar] [CrossRef] [PubMed]
- Grimm, M.J.; Williams, J.L. Measurements of permeability in human calcaneal trabecular bone. J. Biomech. 1997, 30, 743–745. [Google Scholar] [CrossRef] [PubMed]
- Chao, L.; He, Y.; Gu, J.; Xie, D.; Yang, Y.; Shen, L.; Wu, G.; Wang, L.; Tian, Z. Evaluation of compressive and permeability behaviors of trabecular-like porous structure with mixed porosity based on mechanical topology. J. Funct. Biomater. 2023, 14, 28. [Google Scholar] [CrossRef] [PubMed]
- Kemppainen, J.M.; Hollister, S.J. Differential effects of designed scaffold permeability on chondrogenesis by chondrocytes and bone marrow stromal cells. Biomaterials 2010, 31, 279–287. [Google Scholar] [CrossRef]
- Wu, D.; Isaksson, P.; Ferguson, S.J.; Persson, C. Young’s modulus of trabecular bone at the tissue level: A review. Acta Biomater. 2018, 78, 1–12. [Google Scholar] [CrossRef]
- Wang, Z.; Zhang, M.; Liu, Z.; Wang, Y.; Dong, W.; Zhao, S.; Sun, D. Biomimetic design strategy of complex porous structure based on 3D printing Ti-6Al-4V scaffolds for enhanced osseointegration. Mater. Des. 2022, 218, 110721. [Google Scholar] [CrossRef]
- Wang, X.; Xu, S.; Zhou, S.; Xu, W.; Leary, M.; Choong, P.; Qian, M.; Brandt, M.; Xie, Y.M. Topological design and additive manufacturing of porous metals for bone scaffolds and orthopaedic implants: A review. Biomaterials 2016, 83, 127–141. [Google Scholar] [CrossRef]
- Zhong, H.Z.; Song, T.; Li, C.W.; Das, R.; Gu, J.F.; Qian, M. Understanding the superior mechanical properties of hollow-strut metal lattice materials. Scr. Mater. 2023, 228, 115341. [Google Scholar] [CrossRef]
- Noronha, J.; Leary, M.; Qian, M.; Kyriakou, E.; Brandt, M. Geometrical parameters and mechanical properties of Ti6Al4V hollow-walled lattices. Mater. Sci. Eng. A 2022, 840, 142667. [Google Scholar] [CrossRef]
- Noronha, J.; Dash, J.; Leary, M.; Downing, D.; Kyriakou, E.; Brandt, M.; Qian, M. Node-reinforced hollow-strut metal lattice materials for higher strength. Scr. Mater. 2023, 234, 115547. [Google Scholar] [CrossRef]
- Noronha, J.; Dash, J.; Downing, D.; Rogers, J.; Qian, M.; Brandt, M.; Leary, M. Ti–6Al–4V hybrid-strut lattice metamaterials: A design strategy for improved performance. Mater. Sci. Eng. A 2024, 911, 146918. [Google Scholar] [CrossRef]
- Noronha, J.; Qian, M.; Leary, M.; Kyriakou, E.; Brudler, S.; Brandt, M. Manufacturability of Ti-Al-4V hollow-walled lattice struts by laser powder bed fusion. JOM 2021, 73, 4199–4208. [Google Scholar] [CrossRef]
- Noronha, J.; Rogers, J.; Leary, M.; Kyriakou, E.; Inverarity, S.B.; Das, R.; Brandt, M.; Qian, M. Ti-6Al-4V hollow-strut lattice materials by laser powder bed fusion. Addit. Manuf. 2023, 72, 103637. [Google Scholar] [CrossRef]
- Zhang, Z.; Zhang, L.; Song, B.; Yao, Y.; Shi, Y. Bamboo-inspired, simulation-guided design and 3D printing of light-weight and high-strength mechanical metamaterials. Appl. Mater. Today 2022, 26, 101268. [Google Scholar] [CrossRef]
- Gibson, L.J.; Ashby, M.F. Cellular Solids: Structure and Properties, 2nd ed.; Cambridge University Press: Cambridge, UK, 1999; Volume 175. [Google Scholar]













| Channel Size | (Dg) Relative Density green (%) | (Db) Relative Density brown (%) | (Ds) Relative Density sintered (%) | (Ds−Db)/Db (%) | Channel Volume Fraction (%) |
|---|---|---|---|---|---|
| Small | 53.66 | 51.41 | 66.50 | 29.34 | 15.47 |
| Medium | 51.48 | 48.54 | 64.74 | 33.35 | 21.09 |
| Large | 49.81 | 45.91 | 56.44 | 22.94 | 24.77 |
| Channels | Area Before Sintering (E6) | Area After Sintering (E6) | (As–A0)/A0 |
|---|---|---|---|
| Small | |||
| Channel 1 | 1.22 ± 2.96 | 1.06 ± 4.22 | −0.13436562 |
| Channel 2 | 1.22 ± 2.96 | 1.06 ± 7.37 | −0.128123664 |
| Channel 3 | 1.22 ± 2.96 | 1.06 ± 7.37 | −0.128123664 |
| Channel 4 | 1.22 ± 2.96 | 1.06 ± 7.37 | −0.128123664 |
| Medium | |||
| Channel 1 | 1.93 ± 8.97 | 1.61 ± 9.62 | −0.16699903 |
| Channel 2 | 1.93 ± 8.96 | 1.61 ± 9.62 | −0.16605416 |
| Channel 3 | 1.93 ± 8.96 | 1.61 ± 9.62 | −0.16605416 |
| Large | |||
| Channel 1 | 4.50 ± 1.10 | 1.10 ± 1.38 | −0.13248393 |
| Channel Size | Permeability (m2) | E (GPa) | σy (MPa) |
|---|---|---|---|
| Small | 0.69 × 10−8 | 39.61 | 470.15 |
| Medium | 0.86 × 10−8 | 41.74 | 448.60 |
| Large | 1.24 × 10−8 | 37.67 | 394.14 |
| Topology | Relative Density (%) | E (MPa) | σy (MPa) | Ref. |
|---|---|---|---|---|
| BCC | 16.5–36.3 | 500.0–1500.0 | 25.9–68.6 | [65] |
| BCCZ | 5.5–40.3 | 750.6–2338.6 | 3.58–24.7 | [66] |
| SC | 9.9–13.1 | 1011.6–1149.1 | 20.2–29.3 | [67] |
| SC | 16.6–30.4 | 2362.9–3793.7 | 75.7–158.2 | [68] |
| SC | 21.9–39.2 | 5270.1–7565.2 | 94.6–188.1 | [69] |
| Hybrid-Strut SC | 15.7–30.2 | 1893.3–4438.5 | 61.8–181.6 | [68] |
| NR-SC | 11.6–16.4 | 1715.8–2257.5 | 43.2–71.6 | [67] |
| FCC | 8.1–13.7 | 724.2–1271.2 | 15.7–36.7 | [70] |
| FCC | 15.8 | 1930 | 50.2 | [71] |
| FCCZ | 9.0–15.6 | 1020.1–2019.1 | 19.7–53.0 | [70] |
| Octahedron | 16.7 | 1890 | 49.6 | [71] |
| Octet Truss | 28.2 | 3380 | 109.5 | [71] |
| Multi-topology SC | 21.8–39.7 | 6376.4–10,517.0 | 134.3–259.9 | [69] |
Disclaimer/Publisher’s Note: The statements, opinions and data contained in all publications are solely those of the individual author(s) and contributor(s) and not of MDPI and/or the editor(s). MDPI and/or the editor(s) disclaim responsibility for any injury to people or property resulting from any ideas, methods, instructions or products referred to in the content. |
© 2025 by the authors. Licensee MDPI, Basel, Switzerland. This article is an open access article distributed under the terms and conditions of the Creative Commons Attribution (CC BY) license (https://creativecommons.org/licenses/by/4.0/).
Share and Cite
Olmos, L.; González-Pedraza, A.S.; Vergara-Hernández, H.J.; Bouvard, D.; López-Cornejo, M.S.; Servín-Castañeda, R. Development of Tailored Porous Ti6Al4V Materials by Extrusion 3D Printing. Materials 2025, 18, 389. https://doi.org/10.3390/ma18020389
Olmos L, González-Pedraza AS, Vergara-Hernández HJ, Bouvard D, López-Cornejo MS, Servín-Castañeda R. Development of Tailored Porous Ti6Al4V Materials by Extrusion 3D Printing. Materials. 2025; 18(2):389. https://doi.org/10.3390/ma18020389
Chicago/Turabian StyleOlmos, Luis, Ana Silvia González-Pedraza, Héctor Javier Vergara-Hernández, Didier Bouvard, Monserrat Sofía López-Cornejo, and Rumualdo Servín-Castañeda. 2025. "Development of Tailored Porous Ti6Al4V Materials by Extrusion 3D Printing" Materials 18, no. 2: 389. https://doi.org/10.3390/ma18020389
APA StyleOlmos, L., González-Pedraza, A. S., Vergara-Hernández, H. J., Bouvard, D., López-Cornejo, M. S., & Servín-Castañeda, R. (2025). Development of Tailored Porous Ti6Al4V Materials by Extrusion 3D Printing. Materials, 18(2), 389. https://doi.org/10.3390/ma18020389

