Next Article in Journal
Influence of Different Solvents on the Mechanical Properties of Electrospun Scaffolds
Previous Article in Journal
Effect of Laser Selective Melting on the Microstructure and Properties of Martensitic Stainless Steel After Annealing Treatment
 
 
Font Type:
Arial Georgia Verdana
Font Size:
Aa Aa Aa
Line Spacing:
Column Width:
Background:
Article

Self-Foaming Expanded Ceramsites Prepared from Electrolytic Manganese Residue, Red Mud and Waste Soil

1
School of Architectural Engineering, Huanggang Normal University, Huanggang 438000, China
2
State Key Laboratory of Silicate Materials for Architectures, Wuhan University of Technology, Wuhan 430070, China
*
Authors to whom correspondence should be addressed.
Materials 2025, 18(2), 356; https://doi.org/10.3390/ma18020356
Submission received: 20 November 2024 / Revised: 27 December 2024 / Accepted: 3 January 2025 / Published: 14 January 2025

Highlights

  1. Self-foaming expanded ceramsite made from electrolytic manganese residue;
  2. Sintering temperature optimized for lightweight, strong, porous ceramsite.

Abstract

In this study, in order to solve the problems of resource utilization of electrolytic manganese residue and the destruction of natural resources by the over-exploitation of raw materials of traditional ceramics, electrolytic manganese residue (EMR), red mud (RM), and waste soil (WS) were used to prepare self-foaming expanded ceramsite (SEC), and different firing temperatures and four groups with different mixing ratios of these three raw materials were considered. Water absorption, porosity, heavy metal ion leaching, and compressive strength in the cylinder of SEC were evaluated. The chemical composition and microscopic morphology of SEC were investigated by XRD and SEM. The mechanism behind the reaction among EMR, RM, and WS and self-foaming was discussed. The results showed that both the temperature and mixing ratio significantly influenced the basic performance of SEC. With the temperature lower than 1200 °C, sphere appearance could be maintained in all of these four groups; however, the density, porosity, and compressive strength in the cylinder seemed unacceptable. When the temperature rose up to 1220 °C, sphere appearance could be only found in the group whose mixing ratio of EMR, RM, and WS was 2:2.5:0.5. Under this condition, the excellent performance of SEC was observed, with a porosity of 46.7%, bulk density of 0.61 g/cm3, and 3 d compressive strength in a cylinder of 26.82 MPa. The mechanism behind the reaction among EMR, RM, and WS could be described: when the temperature is up to 1180 °C, an obvious chemical reaction took place, followed by the liquid phase being produced and the gas released by the decomposition of Fe2O3 in RM and gypsum in EMR. When the temperature is up to 1200 °C, the viscosity of the liquid phase and the rate of gas generation achieved the balance, and the liquid phase encapsulated the gas and anorthite (CaAl2Si2O8) began to grow slowly. As time passed, self-foaming expanded ceramsite was prepared. The results of this study are of great significance in the field of artificial lightweight aggregate and industrial solid waste resource utilization.

1. Introduction

Self-foaming expanded ceramsite (SEC) is widely used in building materials due to its low density, high strength, and excellent thermal and acoustic insulation properties [1]. Generally, SEC can be produced from Al2O3- and SiO2-based industrial waste at temperatures higher than 1200 °C [2]. This high-temperature process effectively solidifies heavy metals and even eliminates pollution, making SEC a widely accepted solution for disposing of industrial solid waste in the building materials field [3,4].
Electrolytic manganese residue (EMR) is a byproduct generated during the electrolytic production of manganese [5]. EMR consists of metal oxides (such as iron and manganese oxides), sulfates, Al2O3, SiO2, etc. It is widely accepted that EMR poses risks to soil and water when improperly disposed, such as landfilling [6,7,8], because heavy metals and acidic compounds in EMR release and transport over time [5,9,10,11]. Research is ongoing to find ways to dispose of EMR that have no environmental risk. Because EMR contains Al2O3 and more than 20% SiO2 [12,13,14], and manganese can probably be solidified at high temperatures, it is feasible to utilize EMR to prepare SEC for use in construction materials. Additionally, sulfates in EMR could decompose and produce SO2 at high temperatures, and this would benefit the formation of pore structure [15]. At the same time, CaO produced by the decomposition of CaSO4 could further react with SiO2 and Al2O3 in a liquid phase to produce the crystalline phase, and this could provide mechanical strength support to the pore structure of SEC to offer excellent strength [16,17,18]. Overall, it seems to be a good way to dispose of EMR by preparing fired SEC used in construction. Furthermore, red mud (RM), which is a byproduct generated during the production of alumina (aluminum oxide) from bauxite ore through the Bayer process [19,20], could be employed to further optimize the porous structure [21]. Generally, RM has more than 50% Fe2O3, and at high temperatures, it can be reduced from Fe3+ to Fe2+ and release gas; this could benefit the formation of the porous structure of SEC [22,23]. Waste soil (WS) is produced by urban construction, and it mainly contains SiO2 and Al2O3; this kind of waste could be used to adjust the chemical composition and basic performance of SEC body [24].
In this study, several types of ternary systems of EMR, RM, and WS were designed to prepare SEC, and a firing process with different temperatures was attempted to optimize the basic performance of SEC. Water absorption, porosity, heavy metal ion leaching, and the cylinder compressive strength of SEC were investigated, and the mechanism behind the reaction among EMR, RM, and WS and self-foaming was discussed.

2. Materials and Methods

2.1. Materials

2.1.1. Electrolytic Manganese Residue

In this study, electrolytic manganese residue (EMR) was taken from Tongren, Guizhou Province, China. Figure 1 shows the physical phase composition of the EMR, and Table 1. shows its chemical composition. The main composition of EMR consists of CaSO4-2H2O, MnO2, and SiO2; EMR used in the experiment was through a 200-mesh sieve.

2.1.2. Waste Soil

The waste soil (WS) used in this experiment was taken from Wuhan City, Hubei Province, China. Table 2 shows the chemical composition of WS. The WS used in the experiment was through a 200-mesh sieve.

2.1.3. Red Mud

The red mud (RM) used in this experiment was obtained from Shandong Yi Casting Materials Co., Ltd., Linyi, Shandong Province, China. Table 3 shows the chemical composition of RM. The content of Fe2O3 in RM reaches 58.51%. The RM was through a 200-mesh sieve.

2.2. Methods

2.2.1. Preparation Method

The firing process of SEC is shown in Table 4. The target temperature was designed to be 1160–1230 °C, with a 10 °C increment. Firstly, EMR, WS, and RM were ground to be mixed evenly, and four mixing ratios of EMR, RM, and WS were designed as four groups, as shown in Table 5. Then, the powder was added to the granulator for granulation in batches, and the rotational speed of the granulator was set to 20 rpm/min; during the rotation of the granulator, about 30% water to the weight of the power was sprayed in to make sure that a sphere appearance could be gained. After that, these small ball samples were dried in an oven at 105 °C for 8 h. Finally, the dried SECs were put into a muffle furnace for roasting as the designed process.

2.2.2. Test Methods

  • Appearance
The appearance of SEC was analyzed by camera shooting.
2.
Bulk density and compressive strength in cylinder
According to GB/T 17431. 2-2010 “Lightweight Aggregate and its Test Methods Part II: Test Methods for Lightweight Aggregate” [25], the bulk density was tested. According to GB/T 17431.2-2010 “Light aggregate and test methods Part II: Test methods for light aggregate” [25], the cylindrical compressive strength of the SEC was measured.
3.
Water absorption and porosity
The bulk density, porosity, and water absorption of SEC were determined by the Archimedes boiling method. The density of the SEC was determined by Lee’s Specific Gravity Bottle according to the method of GB/T 2997-2015 [26].
4.
Leaching of heavy metal ions
The leaching of heavy metals was performed according to the Toxicity Characteristic Leaching Procedure (TCLP). SECs were crushed into particles less than 6 mm. The supernatant was tested by inductively coupled plasma emission spectrometry.
5.
XRD
The phase composition of the SEC was studied by X-ray diffraction (XAS D8 Advance, Bruker Company, Leipzig, Germany). The test was conducted by using a Cu (Kα) configuration with a scan rate of 4°/min and a minimum of 5° to 70°. The generator was set to 40 mA and 40 kV.
6.
SEM
The SECs were broken into small pieces, and the microstructure of these small pieces was analyzed by a scanning electron microscope (SEM, Zeiss Ultra Plus, Leipzig, Germany).

3. Results and Discussion

3.1. Appearance

Figure 2 shows the appearance of the SEC with different mixing ratios and firing temperatures. From Figure 2, it can be found that during the firing process, the color and particle integrity of the SEC were changed with the increase in firing temperature. It could be observed that in group A (the mixing ratio was 2:2:1), as the firing temperature increased, the macro-surface of SEC transferred from rough to smooth, indicating that the formation of the liquid phase obviously took place at 1180 °C in group A. With the further increase in temperature to 1190 °C, the particle shape was changed from spherical to smooth-surfaced porous spheres. When the temperature was higher than 1200 °C, collapse phenomena happened; this phenomenon was due to the excess of the liquid phase at a high temperature. The collapse phenomena were observed in group B at 1210 °C and in group D at more than 1220 °C. However, in group C, this did not happen even at 1230 °C.

3.2. Bulk Density

The impact of mixing ratios and firing temperatures on the bulk density of SEC is shown in Figure 3. As shown in Figure 3, with the increase in temperature, bulk density was reduced, regardless of the mixing ratio of EMR, RM, and WS. When the temperature rose from 1160 to 1200 °C, the bulk density of all the samples was reduced obviously, and when the temperature rose to more than 1210 °C, the bulk density reduced slightly. The reason for the reduced density was that the liquid phase and the release of gas at a high temperature hastened the formation of the pore structure [27,28]. It could also be inferred that when the temperature rose from 1160 to 1200 °C, the liquid phase and gas would be obviously produced, and the formation of the liquid phase and the release of the gas would reach the balance at a temperature higher than 1200 °C. Furthermore, it was found that the lowest bulk density observed in group C at 1230 °C was 0.61 g/cm3.

3.3. Water Absorption and Porosity

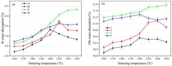
Water absorption was related to the porosity of SEC. In this study, 1 h and 24 h water absorption rates were tested, and the results are shown in Figure 4. As shown in Figure 4a, it was seen that when the temperature was lower than 1200 °C, 1 h water absorption was increased with the increasing temperature, regardless of the mixing ratio. This result indicated that from 1160 to 1200 °C, the increased temperature obviously increased the porosity, and the same results can be found in Figure 4b. Furthermore, when the temperature was more than 1200 °C, group C showed the highest 1 h water absorption, as shown in Figure 4a. The same result can be found in Figure 4b, and the highest 24 h water absorption was observed in group C. Additionally, the difference in the changing tendence between the 1 h and 24 h water absorption rate was observed, and the possible reason for this was related to the formation of a connect pore in the SEC.
The porosity of the SEC is shown in Figure 5. From Figure 5, it can be seen that when the temperature was less than 1200 °C, the increase in temperature could increase the porosity of SEC, and this agreed with the results in Figure 4. It could also be seen that the maximum value is 44.9%, which was observed in group B at 1200 °C. When the firing temperature exceeds 1200 °C, the porosity in groups A, B, and D began to decrease, and this was because the liquid phase increased, resulting in the surface collapse of SEC, which can be observed in Figure 3, and the collapse reduced the porosity. It was noted that in group C, with the increase in temperature, the porosity increased constantly, and it reached 46.7% at 1220 °C.

3.4. Compressive Strength in Cylinder

The compressive strength in the cylinder was all measured in 3 days, and it was found in the experiment that the strength did not develop in the later stage. The compressive strength in the cylinder of 3 days is shown in Figure 6. As can be seen from Figure 6, when the temperature was less than 1190 °C, the compressive strength in the cylinder was increased with the increase in temperature; when the temperature rose to more than 1200 °C, that for group C was still increased, and others showed the opposite results. In group A, the highest value was found at 1200 °C, with a value of 22.42 MPa, and that for group B was 20.7 MPa, which happened at 1180 °C; that for groups C and D was 26.82 MPa at 1230 °C and 20.3 MPa at 1200 °C. The maximum compressive strength was observed in group C at 1230 °C.

3.5. Phase Analysis

XRD patterns of SEC are shown in Figure 7. Figure 7a shows the XRD patterns of four mixing ratios fired at 1220 °C. From Figure 7a, the diffraction peaks of anorthite (CaAl2Si2O8, PDF#41-1486), Fe2O3(PDF#33-0664), and SiO2 (PDF#65-0466) can clearly be found. It was inferred that in the firing process, the aluminosilicate phase in the raw materials was transformed into the feldspar phase. It was noted that in group C, the lowest peak of SiO2 was observed, and the reason for this was the formation of anorthite at a high temperature which consumed SiO2. It was notably that the formed anorthite could support the pore structure and offer the strength of the internal skeleton of SEC. Figure 7b shows XRD patterns of group C at different firing temperatures. From the figure, the higher peak of anorthite and Fe2O3 was observed at 1220 °C, and this indicated that from 1180 °C to 1220 °C, the reaction among these three raw materials happened obviously.
The SEM images of SEC in group C fired at 1220 °C are shown in Figure 8. The pore structure can clearly be seen in Figure 8a. There were several holes in the pore wall, and these made the pores connect. This indicated that there would be many connecting pores in SEC, and this could also be illustrated from the difference between the water absorption and porosity results. The reason for this might be that at 1220 °C in group C, the equilibrium between the gas and liquid phases was not achieved in local micro-regions [29]. From Figure 8b, it can be found that at 1220 °C, many long plate-like anorthite crystals were formed on the pore walls, and diamond-shaped Fe2O3 crystals could be observed in the middle of CaAl2Si2O8 crystals, contributing to the strength.

3.6. Leaching of Heavy Metal Ions

Table 6 shows the heavy metal ion leaching results of SEC in group C. From Table 6, it can be seen that in group C, when the temperature reached 1190 °C, Mn was solidified to 99.94%, and when further increasing the temperature to 1230 °C, the solidification rate of Mn almost reached 100.00%. From the table, it can also be observed that the other heavy metal ions could be perfectly solidified when the temperature was more than 1180 °C. These results indicated that in the ternary system (EMR:RM:WS = 2:2.5:0.5), heavy metal ions in the raw materials could be almost completely solidified with a temperature more than 1190 °C, and this also indicated that the pollution of heavy metal ions could be eliminated by firing SEC.

3.7. Reaction Mechanism

In the firing process, the mechanism behind the reaction among EMR, WS, and RM and the formation of the pore structure are illustrated as follow:
In the ternary System of EMR, WS, and RM, with the increase in temperature, the liquid phase would be produced, and the particle of Fe2O3 would be surrounded by the liquid phase, resulting in the decrease in oxygen partial pressure. When the minimum decomposition pressure of Fe2O3 was reached, Fe2O3 would begin to decompose into FeOn and release O2 [30], as shown in (1). This would greatly contribute to the formation of pore structure. Additionally, with the temperature was more than 1200 °C [31], gypsum in EMR could be decomposed as CaO and SO2, as shown in (2), and the release of SO2 could also benefit from the formation of pore structure. CaO could react with SiO2 and Al2O3 to produce CaAl2Si2O8 to contribute to the strength, as shown in (3).
Fe2O3 (hematite) → FeOn + O2
2CaSO4 → 2CaO + 2SO2↑ + O2
CaO + 2SiO2 + Al2O3 → CaAl2Si2O8
In fact, in the firing process, the liquid phase formation and gas generation should be matched, and this is very crucial, as it would determine the pore structure and further influence the basic performance of the SEC. With the increase in temperature, a liquid phase would be formed, with a certain viscosity. Simultaneously, gasses should be generated and encapsulated by the liquid phase, forming stable bubbles or pores. These pores are key to the lightweight, adsorption, and thermal insulation properties of SEC. Furthermore, it should be noted that the rate of gas generation and the viscosity of the liquid phase must be balanced so that a uniform pore structure could be produced, as shown in Figure 9a. If gas generation was too rapid and the liquid phase viscosity was low, gas could escape easily, leading to an unstable pore structure; collapse phenomena could be observed, as shown in groups A and B at 1230 °C, as illustrated in Figure 9b. Conversely, if gas generation is slow and minimal liquid phase is produced, the gas cannot expand effectively, making it difficult to form the desired pores, as shown in Figure 9c; in this way, the porosity would be reduced and the water adsorption would also be decreased. In summary, the formation of the liquid phase, the rate of gas generation, and the viscosity of the liquid phase together regulate the expansion, pore development, and final structure of the ceramsite, making it suitable for construction and insulation applications.
It was inferred that in comparison, group C at 1210–1230 °C showed excellent performance in terms of appearance, density, compressive strength, and porosity. These indicated that the rate of gas generation and the viscosity of the liquid phase in group C was achieved to good balance at 1210–1230 °C. It can be observed from Figure 10 that during the roasting process, the liquid phase in the residue and EMR gradually encapsulated the gas at the initial stage. Following this, the crystal seed CaAl2Si2O8 of anorthite began to grow slowly in the initial pores. This was attributed to the fact that CaO generated from the decomposition of CaSO4 in the EMR further reacted with SiO2 and Al2O3 in the liquid phase [32]. The accumulation of the anorthite crystal phase gradually increased, ultimately leading to the formation of a relatively stable pore structure [33,34]. After that, in the cooling stage, the anorthite crystal phase accumulates in layers, supporting the entire inner wall of the cavity, and ultimately forms a mature cavity covered with a layer of anorthite crystals.

4. Conclusions

In this study, four mixing ratios of EMR, WS, and RM with different firing processes to prepare SEC were attempted, and the bulk density, true porosity, micro-morphology, and other properties of the SEC were evaluated. The main conclusions are as follows:
(1)
Both temperature and the mixing ratio of EMR, RM, and WS significantly influenced the basic performance of SEC. With the temperature being lower than 1200 °C, the sphere appearance of SEC could all be maintained in these four groups, but the pore structure and strength seemed to be improved. This is because at this temperature, the rate of the liquid phase solidification and gas escape reaches a balance, which can not only ensure that the liquid phase seals the gas inside but also that the liquid phase can quickly harden to avoid collapse.
(2)
At 1220 °C, sphere appearance could only be found in the sample (ratio of EMR, RM, and WS was 2:2.5:0.5), and the excellent performance of SEC was observed, with a porosity of 46.7%, bulk density of 0.61 g/cm3, and compressive strength in cylinder of 26.82 MPa. At this temperature, the anorthite crystals can be more evenly distributed on the inner pore wall of the ceramics, which provides the basis for the mechanical strength of the ceramics.
(3)
The mechanism behind the reaction and self-foaming was that with temperature up to 1200 °C, the balance between the viscosity of the liquid phase and the rate of gas generation by the decomposition of Fe2O3 in RM and gypsum in EMR was obtained, and the liquid phase that encapsulated the gas and anorthite (CaAl2Si2O8) began to grow slowly; with time going on, self-foaming expanded ceramsite was prepared.

Author Contributions

Methodology, J.W.; Validation, X.L.; Investigation, X.L. and J.W.; Data curation, Z.Y. and H.T.; Writing—original draft, Z.Y.; Writing—review & editing, X.L. and H.T. All authors have read and agreed to the published version of the manuscript.

Funding

This research was funded by [the IUR Innovation Fund of China] grant number [2022BL016] and [Technology Project of the Department of Education of Hubei Province] grant number [D20232903].

Institutional Review Board Statement

Not applicable.

Informed Consent Statement

Not applicable.

Data Availability Statement

Data openly available in a public repository.

Conflicts of Interest

The authors declare no conflict of interest.

Nomenclature

SECsSelf-foaming expanded ceramsites
EMRElectrolytic manganese residue
RMRed mud
WSWaste soil

References

  1. Zukri, A.; Nazir, R.; Hasbollah, D.Z.A.; Mustapha, A.H. Lightweight Expanded Clay Aggregate (LECA) as replacement materials for geotechnical application. Phys. Chem. Earth Parts A/B/C 2023, 130, 103366. [Google Scholar] [CrossRef]
  2. Ke, X.; Chen, X.H.; Wang, T.; Wang, D.N.; Ma, S.Q.; Li, J.; Bao, S.X.; Jing, Z.H. Immobilization mechanism of Mn2+ in electrolytic manganese residue using sintered ceramsites prepared by alkali-mechanical-roasting method. J. Environ. Chem. Eng. 2024, 12, 112419. [Google Scholar] [CrossRef]
  3. Wan, Y.; Wu, X.; Zhang, H.; Xu, Y.; Li, C.; Xu, Y. Exploring mechanical properties and long-term environmental impact of ceramsites derived from diverse solid wastes. Waste Manag. 2024, 190, 538–547. [Google Scholar] [CrossRef] [PubMed]
  4. Yu, F.; Chen, Y.; Fang, Y.; Xu, P.; Xu, B.; Liu, Q. Crack behavior of expanded polystyrene foam-ceramsite composite thermal insulation mortar. J. Build. Eng. 2023, 74, 106930. [Google Scholar] [CrossRef]
  5. Li, W.; Jin, H.; Xie, H.; Wang, M.; Wang, X. Electrolytic manganese residue and red mud co-treatment: Synthesizing zeolite X and adsorbing leaching solution from electrolytic manganese residue. Sep. Purif. Technol 2025, 356, 129795. [Google Scholar] [CrossRef]
  6. Desai, M.; Pandya, S.; Peddinti, P.R.T. Experimental study on the use of lightweight expanded clay aggregate as coarse aggregate for light traffic, medium traffic, and light weight concrete application. In Sustainable Materials in Civil Infrastructure; Choudhury, T., Kvns, R., Singh, L., Bertolesi, E., Eds.; Woodhead Publishing: Sawston, Cambridge, UK, 2024; pp. 111–135. [Google Scholar]
  7. Ahmadi, S.F.; Reisi, M.; Sajadi, S.M. Comparing properties of foamed concrete and lightweight expanded clay aggregate concrete at the same densities. Case Stud. Constr. Mater. 2023, 19, e02539. [Google Scholar] [CrossRef]
  8. Fu, Y.; Qiao, H.; Feng, Q.; Chen, K.; Li, Y.; Jia, Z.; Xue, C.; Hakuzweyezu, T. Effect of electrolytic manganese residue at different calcination temperatures on hydration characteristics and microstructure of cement mortar. Mater. Today Commun. 2024, 40, 110196. [Google Scholar] [CrossRef]
  9. Chen, P.; Shi, Z.; Cao, S.; Liu, P.; Rong, X.; Wang, L. Mechanical properties of alkali-activated slag lightweight aggregate concrete. J. Clean. Prod. 2022, 359, 132136. [Google Scholar] [CrossRef]
  10. Roces, E.; Muñiz-Menéndez, M.; González-Galindo, J.; Estaire, J. Lightweight expanded clay aggregate properties based on laboratory testing. Constr. Build. Mater. 2021, 313, 125486. [Google Scholar] [CrossRef]
  11. Kanagaraj, B.; Anand, N.; Praveen, B.; Kandasami, S.; Lubloy, E.; Naser, M.Z. Physical characteristics and mechanical properties of a sustainable lightweight geopolymer based self-compacting concrete with expanded clay aggregates. Dev. Built Environ. 2023, 13, 100115. [Google Scholar] [CrossRef]
  12. Wang, L.; Zhou, W.; Lin, X.; Xie, Y. TiO2-doping boosting resource utilization of high-manganese electrolytic manganese residue for superior performance glass-ceramics. Ceram. Int. 2024, 23, 49889–49905. [Google Scholar] [CrossRef]
  13. Zhan, X.; Wang, Y.; Wang, L.A.; Li, C.; Xu, X. Deng, Migration, solidification/stabilization mechanism of heavy metal in lightweight ceramisite from co-sintering fly ash and electrolytic manganese residue. Process Saf. Environ. Prot. 2023, 173, 485–494. [Google Scholar] [CrossRef]
  14. Ziyao, S.; Xiaorong, Z.; Zaiqian, W.; Yihan, H.; Yimin, L.; Xuquan, H. Comprehensive effects of grain-size modification of electrolytic manganese residue on deep dehydration performance and microstructure of sludge. J. Environ. Manag. 2023, 326, 116793. [Google Scholar] [CrossRef] [PubMed]
  15. Li, J.; Liu, Y.; Ke, X.; Jiao, X.; Li, R.; Shi, C. Geopolymer synthesized from electrolytic manganese residue and lead-zinc smelting slag: Compressive strength and heavy metal immobilization. Cem. Concr. Compos. 2022, 134, 104806. [Google Scholar] [CrossRef]
  16. Tian, Y.; Luo, Q.; Feng, Q.; Xing, F.; Liu, J.; Gu, Q.; Zeng, X.; Mao, Z.; Zhu, H. Integrated use of Bayer red mud and electrolytic manganese residue in limestone calcined clay cement (LC3) via thermal treatment activation. J. Build. Eng. 2024, 94, 109974. [Google Scholar] [CrossRef]
  17. Cai, Y.; Long, G.; Xiao, Q.; Ma, K.; Zeng, X.; Tang, Z.; Wang, J. Effect of low temperature calcined electrolytic manganese residue on the early-age hydration of cement paste. Constr. Build. Mater. 2023, 387, 131608. [Google Scholar] [CrossRef]
  18. Wang, F.; Long, G.; Zhou, J.L. Deep insight into green remediation and hazard-free disposal of electrolytic manganese residue-based cementitious material. Sci. Total Environ. 2023, 894, 165049. [Google Scholar] [CrossRef]
  19. Sravya, Y.L.; Manoj, T.; Rao, M.V.S. Effect of temperature curing on lightweight expanded clay aggregate concrete. Mater. Today: Proc. 2021, 38, 3386–3391. [Google Scholar]
  20. Gao, H.; Xia, S.; Chen, F.; Stuedlein, A.W.; Li, X.; Wang, Z.; Shen, Z.; Chen, X. Dynamic shear modulus and damping of cemented and uncemented lightweight expanded clay aggregate (LECA) at low strains. Soil Dyn. Earthq. Eng. 2021, 142, 106555. [Google Scholar] [CrossRef]
  21. Zeng, T.; Lou, Q.W.; Bai, Y.; Dong, X.L.; Wang, Y.L. The Dielectric Breakdown Properties of Porous PZT95/5 Ferroelectric Ceramics. Ferroelectrics 2015, 478, 118–126. [Google Scholar] [CrossRef]
  22. Jia, K.; Zhou, Z.; Singh, S.V.; Wang, C. A review of the engineered treatment of red mud: Construction materials, metal recovery, and soilization revegetation. Results Eng. 2024, 24, 102927. [Google Scholar] [CrossRef]
  23. Jin, J.; Ying, W.; Jiawei, L.; Ming, W.; Chuanlin, W.; Wei, B. Characterization and mechanism of sintered light aggregate ceramsite with engineering excavated soil. Structures 2024, 70, 107699. [Google Scholar] [CrossRef]
  24. Segantini, A.A.D.; Wada, P.H. An evaluation of the composition of soil cement bricks with construction and demolition waste. Acta Sci. Technol. 2011, 33, 179–183. [Google Scholar]
  25. GB/T 17431.2-2010; Lightweight Aggregat and Its Test Methods-Part 2: Test Methods for Lightweight Aggregates. Standardization Administration of the People’s Republic of China: Beijing, China, 2010.
  26. GB/T 2997-2015; Test Method for Bulk Density, Apparent Porosity and True Porosity of Dense Shaped Refractory Products. Standardization Administration of the People’s Republic of China: Beijing, China, 2015.
  27. Rizwana, S.; Mahboob, G.; Prasad, G.S.; Kumar, I. Sintering temperature dependant dielectric and piezoelectric properties of barium titanate based piezoceramics. In Proceedings of the International Conference on Applied Physics, Power and Material Science, Krasnoyarsk, Russia, 25–27 September 2019. [Google Scholar]
  28. Wu, X.M. Study on sintered ceramic process based on thermal analysis. In Proceedings of the 2016 4th International Conference on Mechanical Materials and Manufacturing Engineering (MMME 2016), Wuhan, China, 15–16 October 2016; pp. 502–506. [Google Scholar]
  29. Li, C.G.; Si, W.J.; Miao, H.Z. Influence of doping on the sintering and microstructure of high purity ARumna ceramics. Rare Met. Mater. Eng. 2003, 32, 53–56. [Google Scholar]
  30. Wei, X.J.; Zhou, Y.; Li, Y.; Shen, W.J. Polymorphous transformation of rod-shaped iron oxides and their catalytic properties in selective reduction of NO by NH3. RSC Adv. 2015, 5, 66141–66146. [Google Scholar] [CrossRef]
  31. Zhang, A.; Ge, Y.; Yang, W.; Cai, X.; Du, Y. Comparative study on the effects of nano-SiO2, nano-Fe2O3 and nano-NiO on hydration and microscopic properties of white cement. Constr. Build. Mater. 2019, 228, 116767. [Google Scholar] [CrossRef]
  32. Long, Y.; Pu, K.; Yang, Y.; Huang, H.; Fang, H.; Shen, D.; Geng, H.; Ruan, J.; Gu, F. Preparation of High-strength ceramsite from municipal solid waste incineration fly ash and clay based on CaO-SiO2-Al2O3 system. Constr. Build. Mater. 2023, 368, 130492. [Google Scholar] [CrossRef]
  33. Wang, J.; Liu, J.; Ren, Z.; Sun, T.; Doh, J.-H. Mechanical and micro properties of concrete slurry waste geopolymer under various curing conditions. Constr. Build. Mater. 2024, 435, 136818. [Google Scholar] [CrossRef]
  34. Qin, J.; Cui, C.; Cui, X.; Hussain, A.; Yang, C. Preparation and characterization of ceramsite from lime mud and coal fly ash. Constr. Build. Mater. 2015, 95, 10–17. [Google Scholar] [CrossRef]
Figure 1. XRD pattern of EMR.
Figure 1. XRD pattern of EMR.
Materials 18 00356 g001
Figure 2. Appearance of SEC, (A) EMR:RM:WS = 2:2:1; (B) EMR:RM:WS = 2.5:2:0.5; (C) EMR:RM:WS = 2:2.5:0.5; (D) EMR:RM:WS = 1:3:1.
Figure 2. Appearance of SEC, (A) EMR:RM:WS = 2:2:1; (B) EMR:RM:WS = 2.5:2:0.5; (C) EMR:RM:WS = 2:2.5:0.5; (D) EMR:RM:WS = 1:3:1.
Materials 18 00356 g002
Figure 3. Bulk density of SEC, (A) EMR:RM:WS = 2:2:1; (B) EMR:RM:WS=2.5:2:0.5; (C) EMR:RM:WS = 2:2.5:0.5; (D) EMR:RM:WS = 1:3:1.
Figure 3. Bulk density of SEC, (A) EMR:RM:WS = 2:2:1; (B) EMR:RM:WS=2.5:2:0.5; (C) EMR:RM:WS = 2:2.5:0.5; (D) EMR:RM:WS = 1:3:1.
Materials 18 00356 g003
Figure 4. Water absorption of SEC, (A) EMR:RM:WS = 2:2:1; (B) EMR:RM:WS = 2.5:2:0.5; (C) EMR:RM:WS = 2:2.5:0.5; (D) EMR:RM:WS = 1:3:1. (a) 1 h water absorption of SEC; (b) 24 h water absorption of SEC.
Figure 4. Water absorption of SEC, (A) EMR:RM:WS = 2:2:1; (B) EMR:RM:WS = 2.5:2:0.5; (C) EMR:RM:WS = 2:2.5:0.5; (D) EMR:RM:WS = 1:3:1. (a) 1 h water absorption of SEC; (b) 24 h water absorption of SEC.
Materials 18 00356 g004
Figure 5. Porosity of SEC, (A) EMR:RM:WS = 2:2:1; (B) EMR:RM:WS = 2.5:2:0.5;(C) EMR:RM:WS = 2:2.5:0.5; (D) EMR:RM:WS = 1:3:1.
Figure 5. Porosity of SEC, (A) EMR:RM:WS = 2:2:1; (B) EMR:RM:WS = 2.5:2:0.5;(C) EMR:RM:WS = 2:2.5:0.5; (D) EMR:RM:WS = 1:3:1.
Materials 18 00356 g005
Figure 6. Compressive strength in cylinder of SEC, (A) EMR:RM:WS = 2:2:1; (B) EMR:RM:WS = 2.5:2:0.5; (C) EMR:RM:WS = 2:2.5:0.5; (D) EMR:RM:WS = 1:3:1.
Figure 6. Compressive strength in cylinder of SEC, (A) EMR:RM:WS = 2:2:1; (B) EMR:RM:WS = 2.5:2:0.5; (C) EMR:RM:WS = 2:2.5:0.5; (D) EMR:RM:WS = 1:3:1.
Materials 18 00356 g006
Figure 7. XRD patterns of SEC, (A) EMR:RM:WS=2:2:1; (B) EMR:RM:WS=2.5:2:0.5;(C) EMR:RM:WS = 2:2.5:0.5; (D) EMR:RM:WS = 1:3:1. (a) XRD patterns of four kinds of SEC at 1220 °C sintering temperature (b) XRD patterns of Group C at sintering temperatures of 1180 °C, 1200 °C and 1220 °C.
Figure 7. XRD patterns of SEC, (A) EMR:RM:WS=2:2:1; (B) EMR:RM:WS=2.5:2:0.5;(C) EMR:RM:WS = 2:2.5:0.5; (D) EMR:RM:WS = 1:3:1. (a) XRD patterns of four kinds of SEC at 1220 °C sintering temperature (b) XRD patterns of Group C at sintering temperatures of 1180 °C, 1200 °C and 1220 °C.
Materials 18 00356 g007
Figure 8. SEM patterns of SEC in group C (EMR:RM:WS = 2:2.5:0.5) at 1220 °C. (a) SEM pattern of group C sintered at 1220 °C at 100 magnifications (b) SEM pattern of group C sintered at 1220 °C at 5000 magnifications.
Figure 8. SEM patterns of SEC in group C (EMR:RM:WS = 2:2.5:0.5) at 1220 °C. (a) SEM pattern of group C sintered at 1220 °C at 100 magnifications (b) SEM pattern of group C sintered at 1220 °C at 5000 magnifications.
Materials 18 00356 g008
Figure 9. Effect of liquid phase formation and gas escape equilibrium on SEC, (a) Equilibrium state; (b) Gas phase escape; (c) Insufficient gas phase formation.
Figure 9. Effect of liquid phase formation and gas escape equilibrium on SEC, (a) Equilibrium state; (b) Gas phase escape; (c) Insufficient gas phase formation.
Materials 18 00356 g009
Figure 10. Self-foaming process of SEC.
Figure 10. Self-foaming process of SEC.
Materials 18 00356 g010
Table 1. Chemical composition of EMR (wt.%).
Table 1. Chemical composition of EMR (wt.%).
MaterialSiO2Al2O3CaOSO3Fe2O3MgOK2OMnONa2OLOI
Content22.0637.45211.82124.0962.6122.181.542.2470.1225.989
Table 2. Chemical composition of WS (wt.%).
Table 2. Chemical composition of WS (wt.%).
Chemical CompositionSiO2Al2O3CaOSO3Fe2O3MgOK2ONa2OOthersLOI
Content66.2317.460.980.055.181.322.030.571.264.92
Table 3. Chemical composition of RM (wt.%).
Table 3. Chemical composition of RM (wt.%).
Chemical CompositionSiO2Al2O3CaOSO3Fe2O3MgOK2ONa2OOthers
Content7.5518.940.84-58.510.040.065.408.66
Table 4. Design of the firing process.
Table 4. Design of the firing process.
StepTemperature (°C)Heating Speed (°C/min)Holding Time (min)
Warming phase50 to 600510
600–900530
Firing stage900-Target temperature010
Table 5. Design of mix proportion.
Table 5. Design of mix proportion.
CodeEMR:RM:WSEMR (g)RM (g)WS (g)
A2:2:1200200100
B2.5:2:0.525020050
C2:2.5:0.520025050
D1:3:1100300100
Table 6. Leaching of heavy metal ions from SEC of group C (mg·L−1).
Table 6. Leaching of heavy metal ions from SEC of group C (mg·L−1).
IonsRaw MaterialsFiring Temperatures
WSRMEMR1160 °C1170 °C1180 °C1190 °C1200 °C1210 °C1220 °C1230 °C
Mn<0.001<0.001186.2459.7613.0371.4260.1090.0760.0340.011<0.001
Cr, Cr(Ⅵ)0.0040.01261.3022.4470.591<0.001<0.001<0.001<0.001<0.001<0.001
K1.1413.633<0.001<0.001<0.001<0.001<0.001<0.001<0.001<0.001<0.001
Pb0.0002<0.0010.761<0.001<0.001<0.001<0.001<0.001<0.001<0.001<0.001
Na25.440.9<0.001<0.001<0.001<0.001<0.001<0.001<0.001<0.001<0.001
Zn<0.001<0.00118.8761.4320.071<0.001<0.001<0.001<0.001<0.001<0.001
Cu0.00140.00268.824<0.001<0.001<0.001<0.001<0.001<0.001<0.001<0.001
Disclaimer/Publisher’s Note: The statements, opinions and data contained in all publications are solely those of the individual author(s) and contributor(s) and not of MDPI and/or the editor(s). MDPI and/or the editor(s) disclaim responsibility for any injury to people or property resulting from any ideas, methods, instructions or products referred to in the content.

Share and Cite

MDPI and ACS Style

Yang, Z.; Lu, X.; Wang, J.; Tan, H. Self-Foaming Expanded Ceramsites Prepared from Electrolytic Manganese Residue, Red Mud and Waste Soil. Materials 2025, 18, 356. https://doi.org/10.3390/ma18020356

AMA Style

Yang Z, Lu X, Wang J, Tan H. Self-Foaming Expanded Ceramsites Prepared from Electrolytic Manganese Residue, Red Mud and Waste Soil. Materials. 2025; 18(2):356. https://doi.org/10.3390/ma18020356

Chicago/Turabian Style

Yang, Zhuowen, Xuesong Lu, Jie Wang, and Hongbo Tan. 2025. "Self-Foaming Expanded Ceramsites Prepared from Electrolytic Manganese Residue, Red Mud and Waste Soil" Materials 18, no. 2: 356. https://doi.org/10.3390/ma18020356

APA Style

Yang, Z., Lu, X., Wang, J., & Tan, H. (2025). Self-Foaming Expanded Ceramsites Prepared from Electrolytic Manganese Residue, Red Mud and Waste Soil. Materials, 18(2), 356. https://doi.org/10.3390/ma18020356

Note that from the first issue of 2016, this journal uses article numbers instead of page numbers. See further details here.

Article Metrics

Back to TopTop