Composite Materials with Epoxy Resin Matrix and Natural Material Reinforcement—Pine Chips and Basalt Particles—Abrasive Properties Determination
Abstract
1. Introduction
1.1. Composites with Natural Fiber Reinforcement Materials
1.2. Composites with Non-Fibrous Wooden and Geological Origin Reinforcement Materials
2. Experimental Methods
2.1. Composite Material
2.2. Standardized and Optical Tests Measuring Equipment and Conditions
2.3. Methodology and Technique of Abrasive Properties Determination
3. Results
3.1. Mechanical Properties Test Results
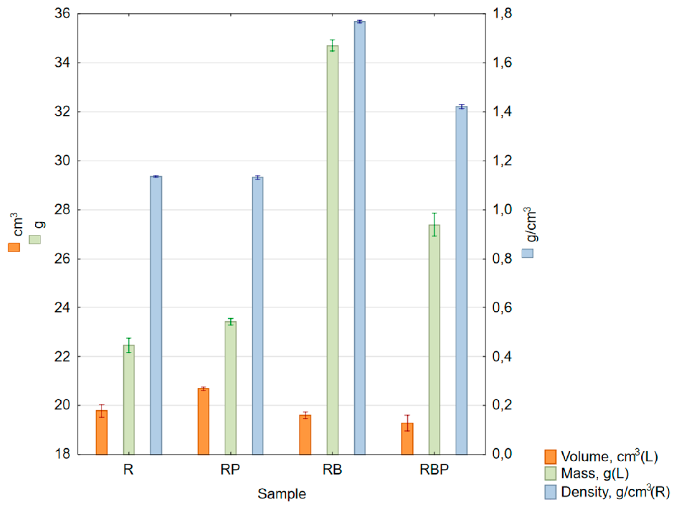
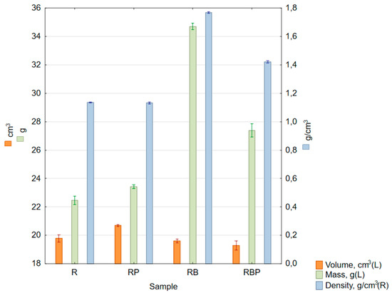
3.1.1. Density
3.1.2. Tensile Strength
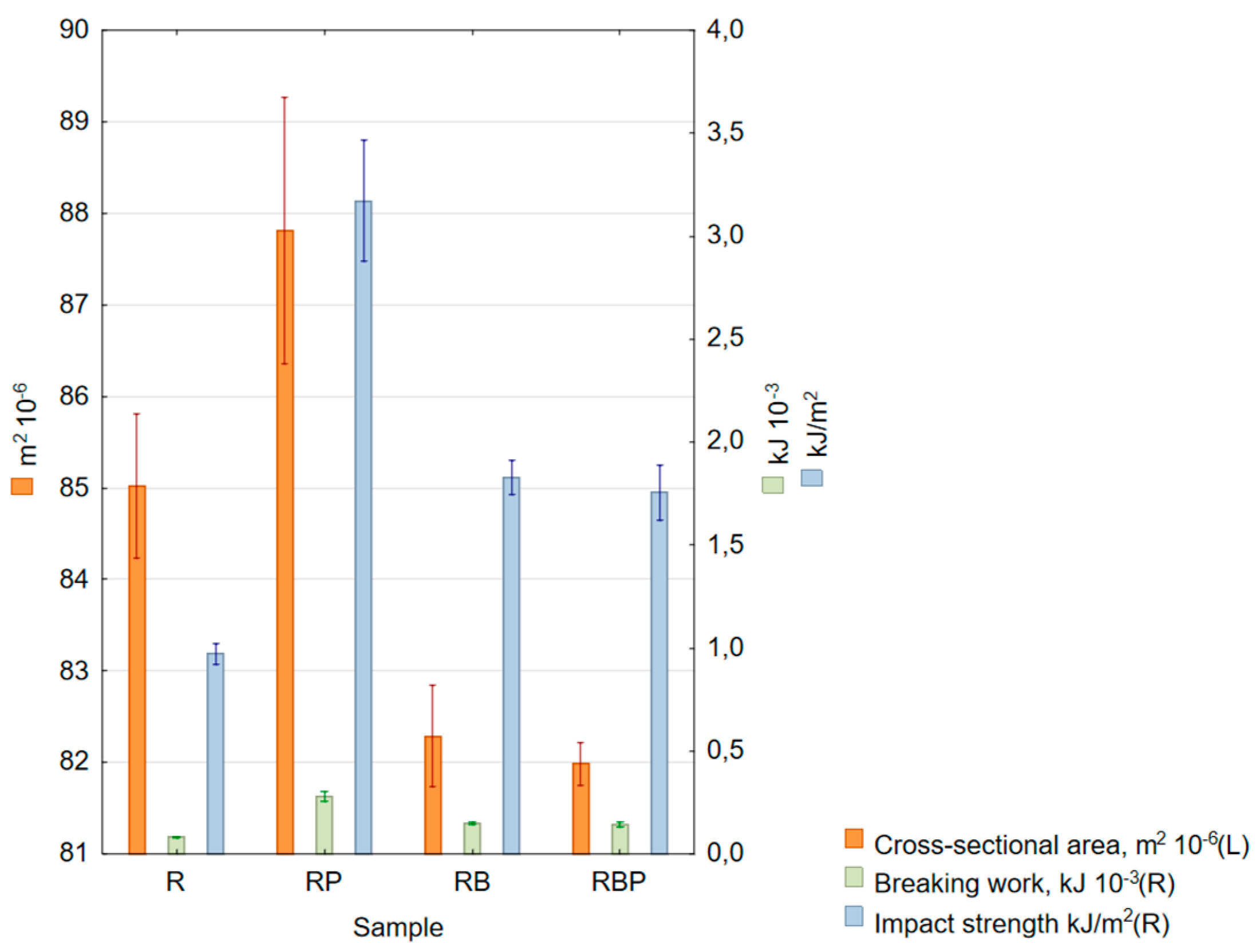
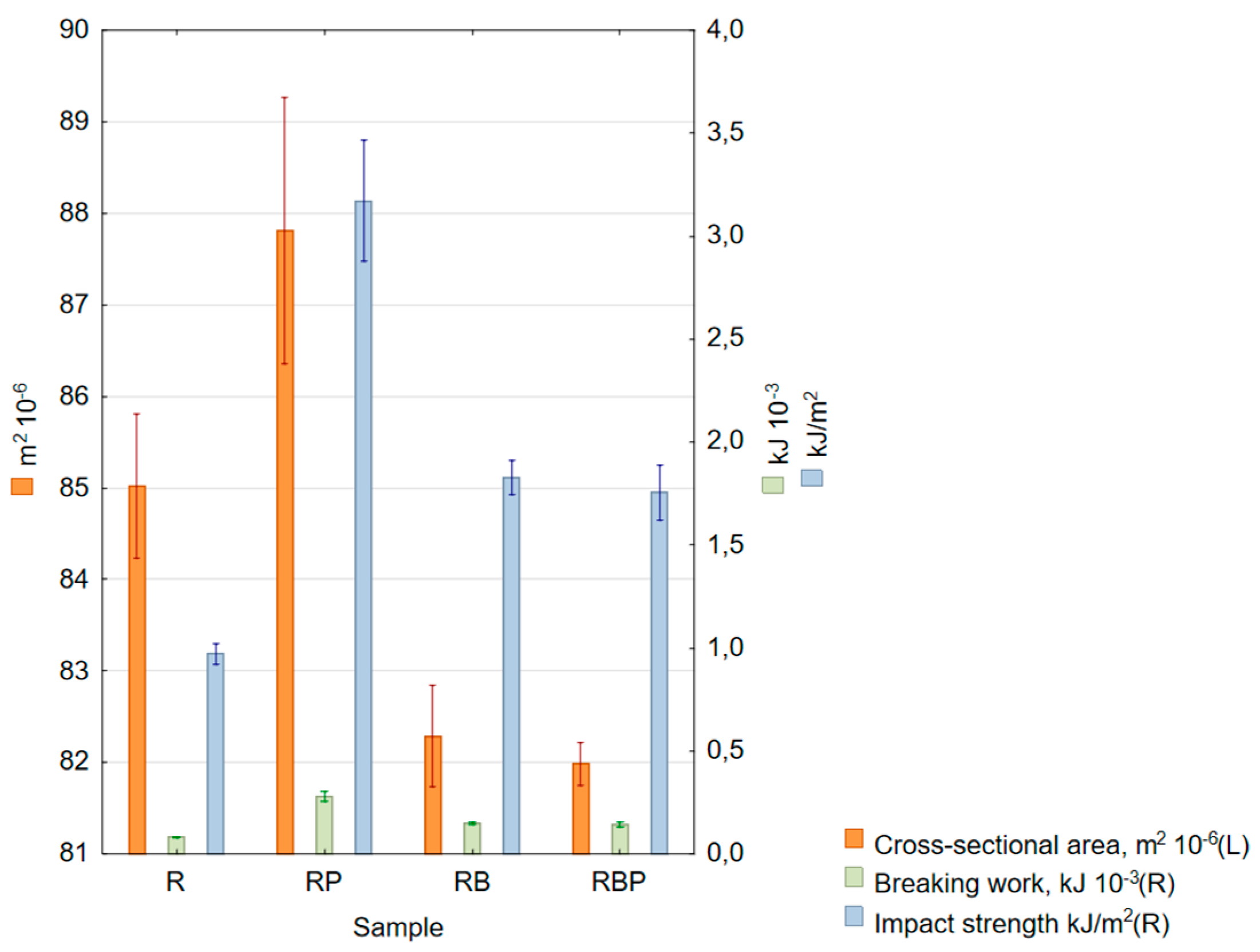
3.1.3. Impact Strength
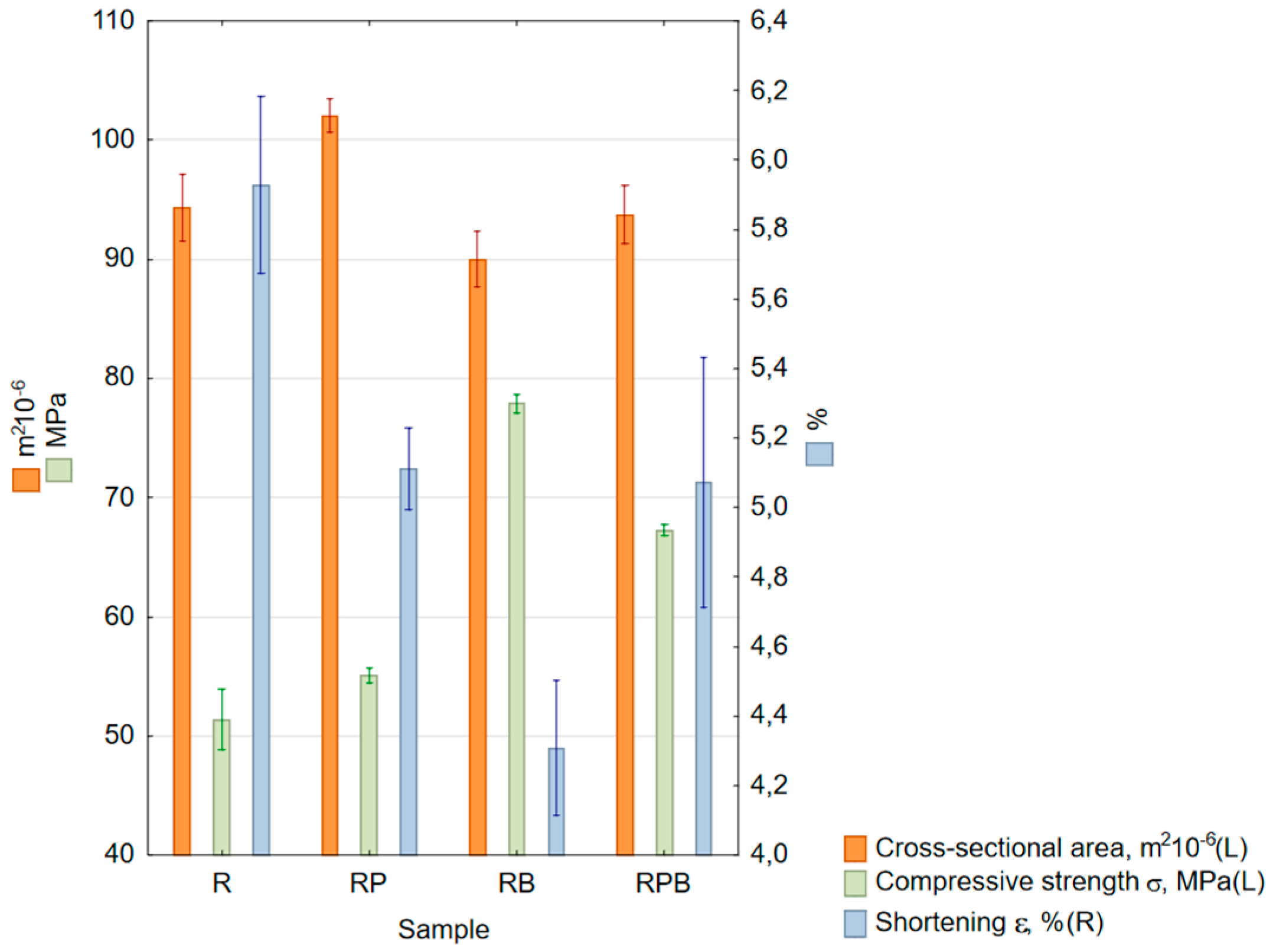
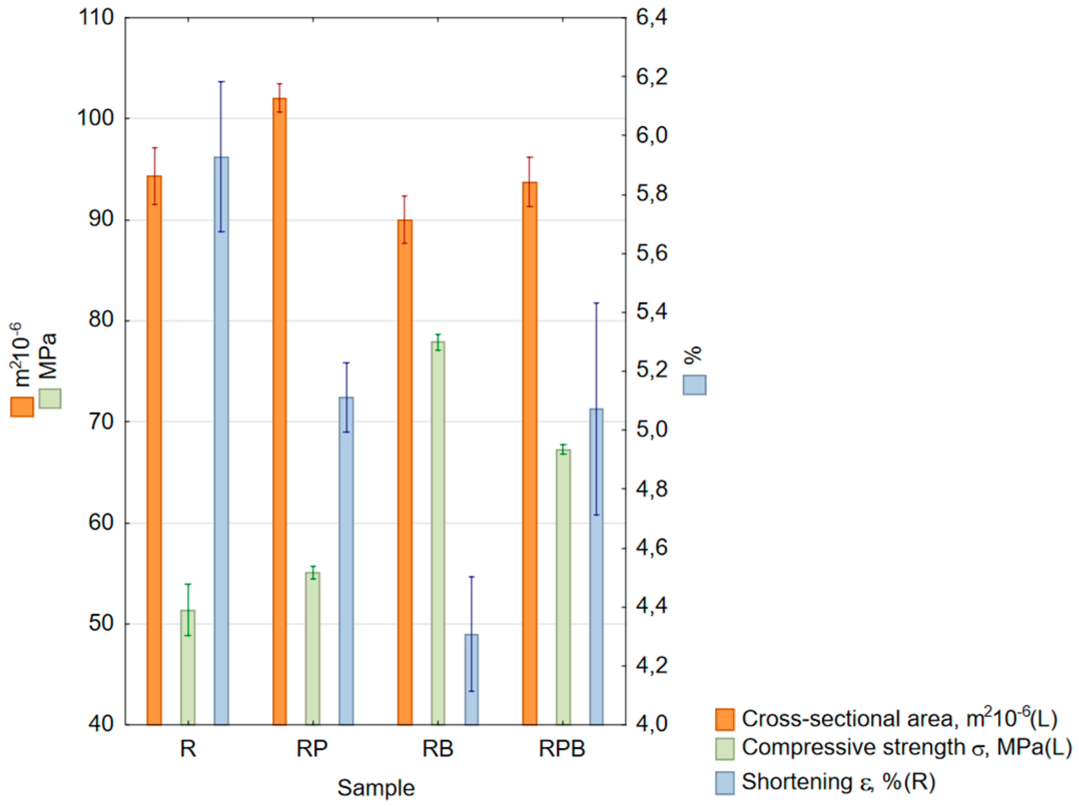
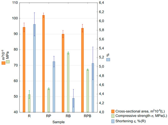
3.1.4. Compressive Strength
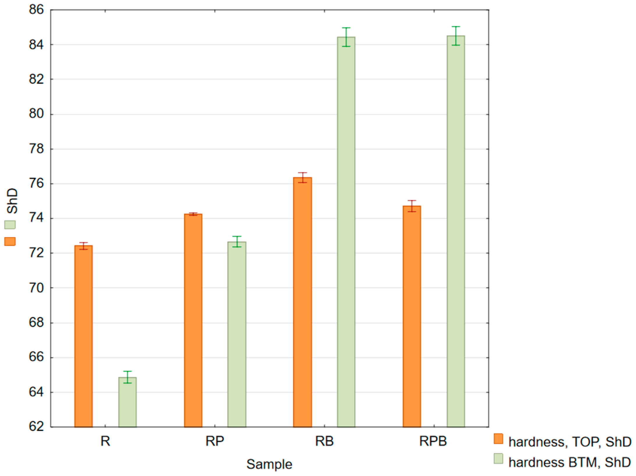
3.1.5. Hardness
3.2. Macroscopic Structure and Surface Studies
3.3. Abrasive Properties Test Results
4. Discussion
4.1. Composite Materials Characteristic
4.1.1. Density
4.1.2. Tensile Strength
4.1.3. Impact Strength
4.1.4. Compressive Strength
4.1.5. Hardness
4.2. Material’s Structure
4.3. Abrasive Properties
- Investigating the properties of composite materials reinforced with basalt powder with varying wt.% of basalt and pine chips (varying the pine chip–basalt powder–resin) relative to the matrix material, attempting to compress pine chips to increase their volumetric share in the composite,
- Performing an energy analysis (including the composite’s thermal conductivity and heat capacity determination) of the counter-sample friction process, thermal imaging and thermal measurements analysis and kinematic pair interactions (e.g., friction force measurements), based on which it will be possible to formulate a model of the abrasive behavior in basalt-particle-reinforced resin composites.
5. Conclusions
- The presented method for determining the abrasive properties of composite materials using a quasi-constant-force friction test of a counter-sample against the sample surface is significant and adequate for the diverse characteristics of the tested materials. Changes in the Wz index value were good indicators of the abrasive properties of the composite materials. Changes in the supply current and rotational speed of the electrospindle motor may also be useful for determining the abrasive properties of composite materials; however, they require further work and analysis, particularly in terms of the energy indices associated with the counter-sample–sample friction process.
- The material with the highest abrasiveness was a composite with a resin matrix and basalt reinforcement (RB), for which the abrasiveness index (Wz) was 1.873. The composite with the lowest abrasiveness was epoxy resin reinforced with pine chips (RP), with a Wz index of 0.059. Despite the significant difference in the percentage of basalt (RB—58 wt.%, RBP—35 wt.%), the RB and RPB composites were characterized by high and similar abrasion index values (the Wz value for RBP was 1.456). The analyses conducted clearly indicate that basalt grains embedded in the polymer matrix possess abrasive properties, enabling decohesion of the counter-sample material due to plasticization of the counter-sample material. The tensile strength decreased in each of the composites, indicating the influence of the materials used, particularly the basalt flour, on the increased brittleness of the resulting materials and limited plastic deformation capacity. The obtained results may have been influenced by the structural characteristics of the composites made from natural materials, such as agglomeration of reinforcement, the occurrence of defects in the structure (e.g., air bubbles) or variations in reinforcement distribution, which could result in the occurrence of weak points or stress concentrations.
- The greatest reduction in tensile strength—by 55%—was obtained for the composite with pine chips and basalt (12.24 MPa for RBP, in comparison to 27.14 MPa for R). The Young’s modulus of the resulting composites increased compared to the epoxy resin (reference samples). This indicates that the natural additives used increased the stiffness of the resulting composites. The increase after adding basalt flour was 178% (3358.31 MPa for RB, in comparison to 1205.53 MPa for R) and, after adding pine chips, it was 47% (1780.36 MPa for RBP, in comparison to 1205.53 MPa for R). The multicomponent composite (RBP) was characterized by a Young’s modulus of 2809.1 MPa, representing a 133% increase compared to the resin alone.
- The use of reinforcing materials in the form of pine chips and basalt flour to produce environmentally friendly composites resulted in increased compressive strength values compared to the matrix material. The largest increase—by 51.67%—was recorded for RB samples (76.41 for RB, in comparison to 51.67 for R), and the smallest—by 7.3%—was recorded for RP samples (55.11 for RP in comparison to 51.36 for R). The obtained results indicate that basalt, as a material with high hardness and a significant wt.% share, was the most significant factor influencing the final compressive strength. Basalt flour, dispersed in the composite structure, can contribute to stress dissipation, which allows for the delay of plastic deformation appearance, which can increase the overall strength of the material.
Author Contributions
Funding
Institutional Review Board Statement
Informed Consent Statement
Data Availability Statement
Conflicts of Interest
References
- Šerifi, V.; Tarić, M.; Jevtić, D.; Ristovski, A.; Isović, M.Š. Historical Development of Composite Materials. Ann. Oradea Univ. Fascicle Manag. Technol. Eng. 2018, XXVII. [Google Scholar] [CrossRef]
- La Mantia, F.P.; Morreale, M. Green composites: A brief review. Compos. Part A Appl. Sci. Manuf. 2011, 42, 579–588. [Google Scholar] [CrossRef]
- Park, S.-J.; Seo, M.-K. Types of Composites. In Interface Science and Technology; Elsevier: Amsterdam, The Netherlands, 2011; Volume 18, pp. 501–629. [Google Scholar] [CrossRef]
- Saba, N.; Jawaid, M.; Alothman, O.Y.; Paridah, M.; Hassan, A. Recent advances in epoxy resin, natural fiber-reinforced epoxy composites and their applications. J. Reinf. Plast. Compos. 2016, 35, 447–470. [Google Scholar] [CrossRef]
- Deo, C.; Acharya, S.K. Effect of Moisture Absorption on Mechanical Properties of Chopped Natural Fiber Reinforced Epoxy Composite. J. Reinf. Plast. Compos. 2010, 29, 2513–2521. [Google Scholar] [CrossRef]
- Venkateshwaran, N.; ElayaPerumal, A.; Alavudeen, A.; Thiruchitrambalam, M. Mechanical and water absorption behavior of banana/sisal reinforced hybrid composites. Mater. Des. 2011, 32, 4017–4021. [Google Scholar] [CrossRef]
- Alamri, H.; Low, I.M. Mechanical properties and water absorption behavior of recycled cellulose fiber reinforced epoxy composites. Polym. Test. 2012, 31, 620–628. [Google Scholar] [CrossRef]
- Hamidi, Y.K.; Yalcinkaya, M.A.; Guloglu, G.E.; Pishvar, M.; Amirkhosravi, M.; Altan, M.C. Silk as a Natural Reinforcement: Processing and Properties of Silk/Epoxy Composite Laminates. Materials 2018, 11, 2135. [Google Scholar] [CrossRef]
- Reddy, P.V.; Reddy, R.V.S.; Prasad, P.R.; Krishnudu, D.M.; Rao, H.R. Evaluation of Mechanical and Wear Performances of Natural Fiber Reinforced Epoxy Composites. J. Nat. Fibers 2020, 19, 2218–2231. [Google Scholar] [CrossRef]
- Hossain, S.; Rahman, M.; Jamwal, A.; Gupta, P.; Thakur, S.; Gupta, S. Processing and characterization of pine epoxy based composites. In Proceedings of the 1st International Conference on Advances in Mechanical Engineering and Nanotechnology (ICAMEN 2019), Jaipur, India, 8–9 March 2019; American Institute of Physics Inc.: College Park, MD, USA, 2019; p. 030017. [Google Scholar] [CrossRef]
- George, J.; Verpoest, J., II. Mechanical properties of flax fiber reinforced epoxy composites. Die Angew. Makromol. Chem. 1999, 272, 41–45. [Google Scholar] [CrossRef]
- Li, Y.; Li, Q.; Ma, H. The voids formation mechanisms and their effects on the mechanical properties of flax fiber reinforced epoxy composites. Compos. Part A Appl. Sci. Manuf. 2015, 72, 40–48. [Google Scholar] [CrossRef]
- Campana, C.; Leger, R.; Sonnier, R.; Ferry, L.; Ienny, P. Effect of post curing temperature on mechanical properties of a flax fiber reinforced epoxy composite. Compos. Part A Appl. Sci. Manuf. 2018, 107, 171–179. [Google Scholar] [CrossRef]
- Moudood, A.; Rahman, A.; Khanlou, H.M.; Hall, W.; Öchsner, A.; Francucci, G. Environmental effects on the durability and the mechanical performance of flax fiber/bio-epoxy composites. Compos. Part B Eng. 2019, 171, 284–293. [Google Scholar] [CrossRef]
- Gopinath, A.; Kumar, M.S.; Elayaperumal, A. Experimental Investigations on Mechanical Properties of Jute Fiber Reinforced Composites with Polyester and Epoxy Resin Matrices. Procedia Eng. 2014, 97, 2052–2063. [Google Scholar] [CrossRef]
- Kumar, R.; Kumar, K.; Sahoo, P.; Bhowmik, S. Study of MechanicalProperties of Wood Dust Reinforced Epoxy Composite. Procedia Mater. Sci. 2014, 6, 551–556. [Google Scholar] [CrossRef]
- Sienkiewicz, A.; Czub, P. Modification of Epoxy Compositions by the Application of Various Fillers of Natural Origin. Materials 2023, 16, 3149. [Google Scholar] [CrossRef]
- Koyuncu, M. Experimental investigation of epoxy matrix and pine sawdust reinforced wood-polymer composite materials. BioResources 2022, 17, 1161–1172. [Google Scholar] [CrossRef]
- Khandelwal, S.; Rhee, K.Y. Recent advances in basalt-fiber-reinforced composites: Tailoring the fiber-matrix interface. Compos. Part B Eng. 2020, 192, 108011. [Google Scholar] [CrossRef]
- Dhand, V.; Mittal, G.; Rhee, K.Y.; Park, S.J.; Hui, D. A short review on basalt fiber reinforced polymer composites. Compos. Part B Eng. 2015, 73, 166–180. [Google Scholar] [CrossRef]
- Sun, G.; Tong, S.; Chen, D.; Gong, Z.; Li, Q. Mechanical properties of hybrid composites reinforced by carbon and basalt fibers. Int. J. Mech. Sci. 2018, 148, 636–651. [Google Scholar] [CrossRef]
- Kozub, B.; Miernik, K.; Gądek, S. A Study of Fly Ash-Based Geopolymers with Basalt Flour Addition. Mater. Proc. 2023, 13, 3. [Google Scholar] [CrossRef]
- Pączkowski, P.; Puszka, A.; Gawdzik, B. Green Composites Based on Unsaturated Polyester Resin from Recycled Poly(Ethylene Terephthalate) with Wood Flour as Filler—Synthesis, Characterization and Aging Effect. Polymers 2020, 12, 2966. [Google Scholar] [CrossRef]
- Mucha, K.; Krauze, K. Planning experiment for laboratory tests on rock abrasivity. Min. -Inform. Autom. Electr. Eng. 2018, 3, 535. [Google Scholar] [CrossRef]
- Musiał, J.; Horiashchenko, S.; Polasik, R.; Musiał, J.; Kałaczyński, T.; Matuszewski, M.; Śrutek, M. Abrasion Wear Resistance of Polymer Constructional Materials for Rapid Prototyping and Tool-Making Industry. Polymers 2020, 12, 873. [Google Scholar] [CrossRef]
- Matykiewicz, D.; Barczewski, M.; Knapski, D.; Skórczewska, K. Hybrid effects of basalt fibers and basalt powder on thermomechanical properties of epoxy composites. Compos. Part B Eng. 2017, 125, 157–164. [Google Scholar] [CrossRef]
- Jagadeesh, P.; Rangappa, S.M.; Fiore, V.; Dhakal, H.N.; Siengchin, S. Basalt powder based thermoset and thermoplastic composites for lightweight applications. J. Polym. Res. 2024, 31, 258. [Google Scholar] [CrossRef]
- Jagadeesh, P.; Puttegowda, M.; Rangappa, S.M.; Siengchin, S. Accelerated weathering of sustainable and micro-filler Basalt reinforced polymer biocomposites: Physical, mechanical, thermal, wettability, and water absorption studies. J. Build. Eng. 2023, 80, 108040. [Google Scholar] [CrossRef]
- Todic, A.; Nedeljkovic, B.; Cikara, D.; Ristovic, I. Particulate basalt–polymer composites characteristics investigation. Mater. Des. 2011, 32, 1677–1683. [Google Scholar] [CrossRef]
- Shaw, M.C. Energy Conversion in cutting and grinding. Ann. CIRP 1996, 45, 101–104. [Google Scholar] [CrossRef]
- Sauer, W.; Shaw, M.C. Mechanism in fine grinding. Ann. CIRP 1972, 21, 85–86. [Google Scholar]


















| Name of Chemical Component | Percentage Content, wt.% |
|---|---|
| silica (SiO2) | 40–50% |
| alumina (Al2O3) | 0–20% |
| iron oxide (Fe2O3) | 5–10% |
| magnesium (MgO) | 5–15% |
| calcium (CaO) | 5–15% |
| other minerals | 5% |
| Grain Size | Percentage Content, wt.% |
|---|---|
| Fraction content > 0.5 mm | 12.8 ± 0.9 |
| Fraction content 0.1–0.5 mm | 55.3 ± 3.9 |
| Fraction content 0.06–0.1 mm | 7.49 ± 0.5 |
| Fraction content < 0.06 mm | 24.5 ± 1.7 |
| Characteristic | Resin | Hardener |
|---|---|---|
| Consistency | Fluid | Fluid |
| Color | Light yellow | Yellowish |
| Smelling | Characteristic | Amin |
| Initial boiling point and boiling range | 201 °C | - |
| Freezing point | −5 °C | - |
| Flash point | 140 °C | 101 °C |
| Ignition temperature | >200 °C | 380 °C |
| Autoignition temperature | Product does not spontaneously ignite | Product does not spontaneously ignite |
| Explosive properties | Product is not explosive | Product is not explosive |
| Steam pressure at 20 °C | <2 hPa | 0.1 hPa |
| Density at 20 °C | 1.1295 g/cm3 | 1.05 g/cm3 |
| Viscosity: dynamic at 25 °C | - | 120–240 mPas |
| Sample | Epoxy Resin | Basalt Flour | Pine Chips |
|---|---|---|---|
| R; Resin | 330.9 g (300 mL) | - | - |
| RP; Resin, pine | 330.9 g (300 mL) | - | 12 g |
| RB; Resin, basalt | 220.6 g (200 mL) | 300 g | - |
| RBP; Resin, basalt, pine | 275.75 g (250 mL) | 150 g | 6 g |
| Composite | Ratio Value (in wt.%) |
|---|---|
| RP resin–pine | 97:3 |
| RB resin–basalt | 42:58 |
| RBP resin–basalt–pine | 64:35:1 |
| R; Resin | RP; Resin, Pine | RB; Resin, Basalt | RBP; Resin, Basalt, Pine | |
|---|---|---|---|---|
| Volume, cm3 | 19.79 min 19.07 max 20.61 | 20.69 min 20.42 max 20.89 | 19.36 min 19.17 max 20.07 | 19.28 min 18.23 max 20.08 |
| Mass, g | 22.46 min 21.58 max 23.34 | 23.42 min 22.97 max 23.82 | 34.7 min 33.81 max 35.31 | 27.39 min 26.02 max 29.21 |
| Density, g/cm3 | 1.14 min 1.13 max 1.15 | 1.23 min 1.1 max 1.15 | 1.77 min 1.76 max 1.79 | 1.42 min 1.4 max 1.45 |
| Sample Material (Each 3rd Sample) | Density, g/cm3 |
|---|---|
| R3 | 1.144 |
| RP3 | 1.137 |
| RB3 | 1.784 |
| RBP3 | 1.483 |
| R; Resin | RP; Resin, Pine | RB; Resin, Basalt | RBP; Resin, Basalt, Pine | |
|---|---|---|---|---|
| Young’s modulus Et, MPa | 1205.53 min 1147.71 max 1263.36 | 1780.36 min 1744.57 max 1819.39 | 3358.31 min 3187.84 max 3656.7 | 2809.1 min 2530.1 max 3212.34 |
| Tensile strength σM, MPa | 27.14 min 24.06 max 30.21 | 18.57 min 16.59 max 20.04 | 17.64 min. 14.22 max 22.11 | 12.24 min 11.12 max 13.07 |
| Elongation, % | 4.65 min 2.61 max 6.69 | 1.56 min 1.33 max 1.74 | 0.71 min 0.49 max 0.99 | 0.59 min 0.53 max 0.7 |
| R; Resin | RP; Resin, Pine | RB; Resin, Basalt | RBP; Resin, Basalt, Pine | |
|---|---|---|---|---|
| Cross-sectional area, m2 10−6 | 85.02 min 84.23 max 85.81 | 87.81 min 83.61 max 92.63 | 82.29 min 81.15 max 84.35 | 81.99 min 81.39 max 82.49 |
| Breaking work kJ 10−3 | 0.08 min 0.08 max 0.09 | 0.28 min 0.22 max 0.34 | 0.15 min 0.13 max 0.17 | 0.14 min 0.12 max 0.17 |
| Impact strength kJ/m2 | 0.97 min 0.92 max 1.02 | 3.17 min 2.46 max 3.91 | 1.83 min 1.58 max 2.04 | 1.76 min 1.47 max 2.04 |
| R; Resin | RP; Resin, Pine | RB; Resin, Basalt | RBP; Resin, Basalt, Pine | |
|---|---|---|---|---|
| Cross-sectional area, m2 10−6 | 94.29 min 85.75 max 101.85 | 102.03 min 98.66 max 106.72 | 89.99 min 83.19 max 95.1 | 95.75 min 85.09 max 98.59 |
| Compressive strength σ, MPa | 51.36 min 44.08 max 58.61 | 55.11 min 53.49 max 57.15 | 77.9 min 76.41 max 80.94 | 66.27 min 65.61 max 68.49 |
| Shortening ε, % | 5.93 min 5.36 max 6.85 | 5.11 min 4.77 max 5.33 | 4.31 min 4.00 max 5.01 | 5.07 min 4.33 max 6.38 |
| R; Resin | RP; Resin, Pine | RB; Resin, Basalt | RBP; Resin, Basalt, Pine | |
|---|---|---|---|---|
| Hardness TOP, ShD | 72.4 min 71.9 max 72.9 | 74.2 min 74.1 max 74.5 | 76.4 min 75.4 max. 77.0 | 74.7 min 73.9 max 75.6 |
| Hardness BTM, ShD | 64.9 min 64.2 max 66.1 | 72.7 min 71.6 max 73.5 | 84.4 min 82.9 max 85.8 | 84.5 min 83.3 max 86.2 |
| R; Resin | RP; Resin, Pine | RB; Resin, Basalt | RBP; Resin, Basalt, Pine | |
|---|---|---|---|---|
| Counter-sample mass loss, mg | 0.062 min 0.02 max 0.145 | 0.288 min 0.09 max 0.615 | 10.385 min 8.58 max 12.845 | 2.066 min 1.73 max 2.785 |
| Sample mass loss, mg | 1.32 min 0.65 max 2.23 | 4.866 min 3.23 max 5.81 | 5.544 min 4.73 max 6.73 | 1.419 min 1.1 max 1.67 |
| Current change, A | 0.7262 min 0.705 max 0.746 | 0.9404 min 0.92 max 0.986 | 0.444 min 0.434 max 0.458 | 0.4548 min 0.425 max 0.487 |
| Revs change, rev/min | 219.8 min 193 max 253 | 323 min 305 max 348 | 150.2 min 139 max 158 | 150.4 min 136 max 163 |
| R; Resin | RP; Resin, Pine | RB; Resin, Basalt | RBP; Resin, Basalt, Pine | |
|---|---|---|---|---|
| Wz | 0.047 min 0.009 max 0.129 | 0.059 min 0.015 max 0.109 | 1.873 min 1.745 max 1.970 | 1.456 min 1.039 max 1.844 |
| Avg | Conf.Int. −95% | Conf.Int. +95% | Min | Max | Var | Std. Dev. | Std Error | |
|---|---|---|---|---|---|---|---|---|
| sample mass diff, mg | 3.21 | 2.56 | 3.86 | 0.65 | 6.73 | 4,13 | 2.032 | 0.321 |
| counter-sample mass diff, mg | 3.13 | 1.78 | 4.48 | 0.02 | 12.84 | 17.77 | 4.216 | 0.666 |
| current diff, A | 0.64 | 0.57 | 0.70 | 0.42 | 0.98 | 0.04 | 0.210 | 0.033 |
| rot diff, rot/min | 210.47 | 187.35 | 233.59 | 136 | 348 | 5226.25 | 72.29 | 11.430 |
| Wz | 0.86 | 0.59 | 1.13 | 0.009 | 1.98 | 0.701 | 0.837 | 0.132 |
| Dependent Variable Regression Summary Current Diff, A R= 0.91921496 R2 = 0.84495614, Corrected R2 = 0.83657539 F(2.37) = 100.82 p < 0.00000, Standard Error (SE) of Estimation: 0.08513 | ||||||
|---|---|---|---|---|---|---|
| β | SE β | b | SE b | t(24) | p | |
| free parameter | 0.553301 | 0.025667 | 21.5571 | 0.00 | ||
| sample mass diff, mg | 0.80352 | 0.081221 | 0.083239 | 0.008414 | 9.8930 | 0.00 |
| counter-sample mass diff, mg | −1.14473 | 0.081221 | −0.057176 | 0.004057 | −14.0940 | 0.00 |
| Dependent Variable Regression Summary: Rot Diff, Rot/Min R= 0.94125460 R2 = 0.88596022, Corrected R2 =0.87979591 F(2.37)= 143.72 p < 0.00000, Standard Error (SE) of Estimation: 25.064 | ||||||
|---|---|---|---|---|---|---|
| β | SE β | b | SE b | t(24) | p | |
| free parameter | 167.4566 | 7.556617 | 22.1603 | 0.00 | ||
| sample mass diff, mg | 0.91595 | 0.069658 | 32.5727 | 2.477148 | 13.1493 | 0.00 |
| counter-sample mass diff, mg | −1.14739 | 0.069658 | −19.6733 | 1.194358 | −16.4718 | 0.00 |
Disclaimer/Publisher’s Note: The statements, opinions and data contained in all publications are solely those of the individual author(s) and contributor(s) and not of MDPI and/or the editor(s). MDPI and/or the editor(s) disclaim responsibility for any injury to people or property resulting from any ideas, methods, instructions or products referred to in the content. |
© 2025 by the authors. Licensee MDPI, Basel, Switzerland. This article is an open access article distributed under the terms and conditions of the Creative Commons Attribution (CC BY) license (https://creativecommons.org/licenses/by/4.0/).
Share and Cite
Polasik, R.; Kruszyńska, S.; Kwiatkowski, A. Composite Materials with Epoxy Resin Matrix and Natural Material Reinforcement—Pine Chips and Basalt Particles—Abrasive Properties Determination. Materials 2025, 18, 4038. https://doi.org/10.3390/ma18174038
Polasik R, Kruszyńska S, Kwiatkowski A. Composite Materials with Epoxy Resin Matrix and Natural Material Reinforcement—Pine Chips and Basalt Particles—Abrasive Properties Determination. Materials. 2025; 18(17):4038. https://doi.org/10.3390/ma18174038
Chicago/Turabian StylePolasik, Robert, Sandra Kruszyńska, and Aleksander Kwiatkowski. 2025. "Composite Materials with Epoxy Resin Matrix and Natural Material Reinforcement—Pine Chips and Basalt Particles—Abrasive Properties Determination" Materials 18, no. 17: 4038. https://doi.org/10.3390/ma18174038
APA StylePolasik, R., Kruszyńska, S., & Kwiatkowski, A. (2025). Composite Materials with Epoxy Resin Matrix and Natural Material Reinforcement—Pine Chips and Basalt Particles—Abrasive Properties Determination. Materials, 18(17), 4038. https://doi.org/10.3390/ma18174038

