Study on the Effect of Temperature on the Self-Healing Behavior of Film Capacitor Dielectrics
Abstract
1. Introduction
2. Materials and Methods
2.1. Materials
2.2. Sample Preparation
2.3. Characterization and Measurements
3. Results
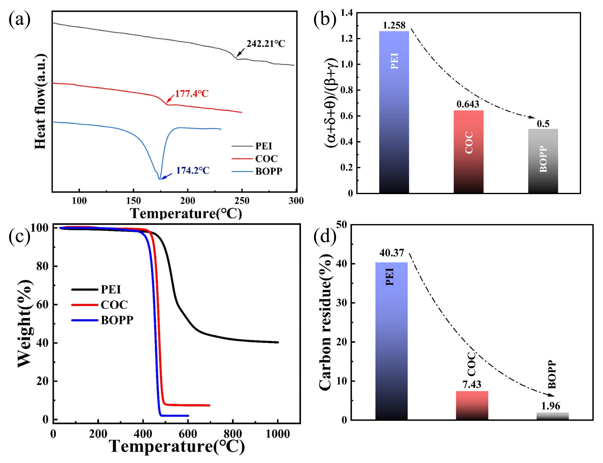
3.1. Thermal Properties
3.2. Self-Healing Properties
3.3. Insulation Performance
4. Discussion
5. Conclusions
- (1)
- Under test conditions with an applied electric field of 200 MV/m, as the test temperature increased, the capacitance of PEI decreased by 11.90%, 23.00%, and 37.88%, respectively; that of COC decreased by 11.76%, 7.63%, and 12.18%, respectively; and that of BOPP decreased by 8.75% and 9.67%, respectively.
- (2)
- The gas products formed by COC and BOPP were far more abundant than those formed by PEI, and hydrogen accounted for a higher proportion. When self-healing occurred at 80 and 120 °C, the boundaries of the cleared areas on their electrodes were not easily discernible.
- (3)
- As the test temperature increased, the total number of self-healing events for COC and BOPP increased, the damage to the electrodes caused by a single self-healing event decreased, and the capacitance remained largely unchanged.
Supplementary Materials
Author Contributions
Funding
Institutional Review Board Statement
Informed Consent Statement
Data Availability Statement
Conflicts of Interest
References
- Zhou, Y.; Chen, Y.; Cui, Y.; Li, Y.; Li, Z.; Zhou, C.; Cheng, L.; Liu, W. Scalable polyolefin-based all-organic dielectrics with superior high-temperature capacitive energy storage performance. Energy Storage Mater. 2024, 72, 103715. [Google Scholar] [CrossRef]
- Li, W.; Wang, Q.; Zhang, G.; He, Y.; Qin, B.; Zhang, X.; Liu, Z.; Gong, H.; Zhang, Z. Ultrahigh Energy Density Achieved at High Efficiency in Dielectric Capacitors by Regulating α-Phase Crystallization in Polypropylene Films with Fluorinated Groups. Adv. Funct. Mater. 2024, 34, 2410959. [Google Scholar] [CrossRef]
- Pan, Z.; Li, L.; Wang, L.; Luo, G.; Xu, X.; Jin, F.; Dong, J.; Niu, Y.; Sun, L.; Guo, C.; et al. Tailoring poly(styrene-co-maleic anhydride) networks for all-polymer dielectrics exhibiting ultrahigh energy density and charge-discharge efficiency at elevated temperatures. Adv. Mater. 2023, 35, 2207580. [Google Scholar] [CrossRef]
- Zhu, J.; Tong, H.; Cao, S.; Luo, J.; Liu, X.; Xu, J.; Oleksandr, M.; Peng, W. Self-healing behaviors of metallized high-temperature dielectric films for capacitor applications. Microelectron. Reliab. 2023, 144, 114972. [Google Scholar] [CrossRef]
- Chen, J.; Pei, Z.; Liu, Y.; Shi, K.; Zhu, Y.; Zhang, Z.; Jiang, P.; Huang, X. Aromatic-free polymers based all-organic dielectrics with breakdown self-healing for high-temperature capacitive energy storage. Adv. Mater. 2023, 35, 2306562. [Google Scholar] [CrossRef]
- Dai, Z.; Jia, J.; Ding, S.; Wang, Y.; Meng, X.; Bao, Z.; Yu, S.; Shen, S.; Yin, Y.; Li, X. Polyphenylene oxide film sandwiched between SiO2 layers for high-temperature dielectric energy storage. ACS Appl. Mater. Interfaces 2024, 16, 12865–12872. [Google Scholar] [CrossRef] [PubMed]
- Chaban, V.V.; Andreeva, N.A. Insulator and electrode materials marginally influence carbonized layer conductivity in metalized-film capacitors. Phys. Chem. Chem. Phys. 2025, 27, 15154–15162. [Google Scholar] [CrossRef] [PubMed]
- Qin, H.; Song, J.; Liu, M.; Zhang, Y.; Qin, S.; Chen, H.; Shen, K.; Wang, S.; Li, Q.; Yang, Q.; et al. High-temperature polymer dielectrics with superior capacitive energy storage performance. Chem. Eng. J. 2023, 461, 142068. [Google Scholar] [CrossRef]
- Li, H.; Zhou, Y.; Liu, Y.; Li, L.; Liu, Y.; Wang, Q. Dielectric polymers for high-temperature capacitive energy storage. Chem. Soc. Rev. 2021, 50, 6369–6400. [Google Scholar] [CrossRef]
- Ren, W.; Yang, M.; Guo, M.; Zhou, L.; Pan, J.; Xiao, Y.; Xu, E.; Nan, C.; Shen, Y. Metallized stacked polymer film capacitors for high-temperature capacitive energy storage. Energy Storage Mater. 2024, 65, 103095. [Google Scholar] [CrossRef]
- Xiao, M.; Zhang, L.; Du, X.; Zhao, D.; Du, B. Study on partial discharge characteristics of metallized film following self-healing in power capacitors. IEEE Trans. Appl. Supercond. 2024, 34, 1–4. [Google Scholar] [CrossRef]
- Du, G.; Zhang, J. Capacitance evaluation of metallized polypropylene film capacitors considering cumulative self-healing damage. Electronics 2024, 13, 2886. [Google Scholar] [CrossRef]
- Wu, Z.; Liu, S.; Tong, T.; Zhong, S.; Wang, J.; Qi, H.; Dang, Z.; Wang, W. Theoretical and experimental studies on the self-healing properties of metallised capacitor films under multiple stresses. High Volt. 2024, 9, 1347–1356. [Google Scholar] [CrossRef]
- Cheng, L.; Zhang, T.; Li, Z.; Liu, H.; Liu, W. Balanced enhancement of energy storage density and self-healing property of polypropylene-based metallised film. High Volt. 2025. early view. [Google Scholar] [CrossRef]
- Li, Z.; Liu, X.; Cui, Y.; Zhou, Y.; Liu, H.; Zhang, Z.; Zhou, Y.; Cheng, L.; Liu, W. Enhanced energy storage density with improved self-healing property by biaxial orientation of 2D nanosheet composite polypropylene film. Nano Res. 2024, 18, 94907447. [Google Scholar] [CrossRef]
- Li, J.; Wang, S.; Zhu, Y.; Luo, Z.; Zhang, Y.; Shao, Q.; Quan, H.; Wang, M.; Hu, S.; Yang, M.; et al. Biaxially oriented films of grafted-polypropylene with giant energy density and high efficiency at 125 °C. J. Mater. Chem. A 2023, 11, 10659–10668. [Google Scholar] [CrossRef]
- Zhou, J.; Xu, A.; Tan, H.; Zhong, H.; Deng, L.; Luo, H.; Chen, S. Significantly improve capacitive properties of alicyclic polyimide dielectrics at high temperatures via hard/soft segment engineering. J. Energy Storage 2025, 105, 114789. [Google Scholar] [CrossRef]
- Zhang, C.; Tong, X.; Zhang, T.; Zhang, Y.; Zhang, Y.; Zhang, X.; Tang, C.; Chi, Q. Constructing a dual gradient structure of energy level gradient and concentration gradient to significantly improve the high-temperature energy storage performance of all organic composite dielectrics. Chem. Eng. J. 2024, 491, 151634. [Google Scholar] [CrossRef]
- Cao, S.; Tong, H.; Wang, S.; Liu, J. Novel polyetherimide dielectrics: Molecular design, energy storage property, and self-healing performance. Macromol. Rapid Commun. 2023, 44, 2300372. [Google Scholar] [CrossRef]
- Wang, H.; Luo, H.; Liu, Y.; Wang, F.; Peng, B.; Li, X.; Hu, D.; He, G.; Zhang, D. Improved energy density at high temperatures of fpe dielectrics by extreme low loading of cqds. Materials 2024, 17, 3625. [Google Scholar] [CrossRef]
- Xie, Z.; Fan, L.; Li, H.; Ran, Z.; Lai, S.; Liu, X.; Deatherage, A.; Wang, Y.; Li, Q.; Yin, Y.; et al. Recent trends in all-organic polymer dielectrics for high-temperature electrostatic energy storage capacitors. Prog. Polym. Sci. 2025, 164, 101957. [Google Scholar] [CrossRef]
- Huang, W.; Wan, B.; Yang, X.; Cheng, M.; Zhang, Y.; Li, Y.; Wu, C.; Dang, Z.; Zha, J. Alicyclic polyimide with multiple breakdown self-healing based on gas-condensation phase validation for high temperature capacitive energy storage. Adv. Mater. 2024, 36, 2410927. [Google Scholar] [CrossRef] [PubMed]
- Chen, J.; Zhou, Y.; Huang, X.; Yu, C.; Han, D.; Wang, A.; Zhu, Y.; Shi, K.; Kang, Q.; Li, P.; et al. Ladderphane copolymers for high-temperature capacitive energy storage. Nature 2023, 615, 62–66. [Google Scholar] [CrossRef] [PubMed]
- Chaban, V.V.; Andreeva, N.A. Higher hydrogen fractions in dielectric polymers boost self-healing in electrical capacitors. Phys. Chem. Chem. Phys. 2024, 26, 3184–3196. [Google Scholar] [CrossRef]
- Liu, X.; Zheng, M.; Chen, G.; Dang, Z.; Zha, J. High-temperature polyimide dielectric materials for energy storage: Theory, design, preparation and properties. Energy Environ. Sci. 2022, 15, 56–81. [Google Scholar] [CrossRef]
- Li, Q.; Yao, F.; Liu, Y.; Zhang, G.; Wang, H.; Wang, Q. High-temperature dielectric materials for electrical energy storage. Annu. Rev. Mater. Res. 2018, 48, 219–243. [Google Scholar] [CrossRef]
- Feng, M.; Feng, Y.; Zhang, C.; Zhang, T.; Tong, X.; Gao, Q.; Chen, Q.; Chi, Q. Enhanced high-temperature energy storage performance of all-organic composite dielectric via constructing fiber-reinforced structure. Energy Environ. Mater. 2024, 7, e12571. [Google Scholar] [CrossRef]
- Bao, Z.; Ding, S.; Dai, Z.; Wang, Y.; Jia, J.; Shen, S.; Yin, Y.; Li, X. Significantly enhanced high-temperature capacitive energy storage in cyclic olefin copolymer dielectric films via ultraviolet irradiation. Mater. Horiz. 2023, 10, 2120–2127. [Google Scholar] [CrossRef]
- Feng, M.; Feng, Y.; Zhang, T.; Li, J.; Chen, Q.; Chi, Q.; Lei, Q. Recent advances in multilayer-structure dielectrics for energy storage application. Adv. Sci. 2021, 8, 2102221. [Google Scholar] [CrossRef]
- Wang, Z.; Xie, S.; Yan, F.; Yang, Y.; Ma, Y. Design of current gate width in ac segment metalized film capacitors based on self-healing characteristics. IEEE Trans. Plasma Sci. 2023, 51, 2688–2696. [Google Scholar] [CrossRef]
- Makdessi, M.; Sari, A.; Venet, P.; Aubard, G.; Chevalier, F.; Préseau, R.; Doytchinov, T.; Duwattez, J. Lifetime estimation of high-temperature high-voltage polymer film capacitor based on capacitance loss. Microelectron. Reliab. 2015, 55, 2012–2016. [Google Scholar] [CrossRef]
- Zhang, T.; Sun, H.; Yin, C.; Jung, Y.H.; Min, S.; Zhang, Y.; Zhang, C.; Chen, Q.; Lee, K.J.; Chi, Q. Recent progress in polymer dielectric energy storage: From film fabrication and modification to capacitor performance and application. Prog. Mater. Sci. 2023, 140, 101207. [Google Scholar] [CrossRef]
- Feng, M.; Liu, Y.; Wu, X.; Xing, Y.; Chi, Q. Film capacitor materials for electric vehicle applications: Status quo and future prospects. Prog. Mater. Sci. 2025, 152, 101458. [Google Scholar] [CrossRef]
- Wu, Z.; Liu, J.; Qi, H.; Liu, S.; Zhong, S.; Wang, J.; Dang, Z.; Wang, W. Dynamic process of self-healing in metallized film: From experiment to theoretical model. IEEE Trans. Plasma Sci. 2024, 52, 780–789. [Google Scholar] [CrossRef]
- Feng, M.; Zhang, C.; Zhou, G.; Zhang, T.; Feng, Y.; Chi, Q.; Lei, Q. Enhanced energy storage characteristics in pvdf-based nanodielectrics with core-shell structured and optimized shape fillers. IEEE Access 2020, 8, 81542–81550. [Google Scholar] [CrossRef]







Disclaimer/Publisher’s Note: The statements, opinions and data contained in all publications are solely those of the individual author(s) and contributor(s) and not of MDPI and/or the editor(s). MDPI and/or the editor(s) disclaim responsibility for any injury to people or property resulting from any ideas, methods, instructions or products referred to in the content. |
© 2025 by the authors. Licensee MDPI, Basel, Switzerland. This article is an open access article distributed under the terms and conditions of the Creative Commons Attribution (CC BY) license (https://creativecommons.org/licenses/by/4.0/).
Share and Cite
Feng, M.; Jia, Z.; Liu, Y.; Liu, Y.; Shi, J.; Zhao, C.; Sun, T.; Liu, H.; Xing, Y. Study on the Effect of Temperature on the Self-Healing Behavior of Film Capacitor Dielectrics. Materials 2025, 18, 4033. https://doi.org/10.3390/ma18174033
Feng M, Jia Z, Liu Y, Liu Y, Shi J, Zhao C, Sun T, Liu H, Xing Y. Study on the Effect of Temperature on the Self-Healing Behavior of Film Capacitor Dielectrics. Materials. 2025; 18(17):4033. https://doi.org/10.3390/ma18174033
Chicago/Turabian StyleFeng, Mengjia, Zhiguo Jia, Yancheng Liu, Yandong Liu, Jia Shi, Chaoyue Zhao, Tianqi Sun, Hongbo Liu, and Yunqi Xing. 2025. "Study on the Effect of Temperature on the Self-Healing Behavior of Film Capacitor Dielectrics" Materials 18, no. 17: 4033. https://doi.org/10.3390/ma18174033
APA StyleFeng, M., Jia, Z., Liu, Y., Liu, Y., Shi, J., Zhao, C., Sun, T., Liu, H., & Xing, Y. (2025). Study on the Effect of Temperature on the Self-Healing Behavior of Film Capacitor Dielectrics. Materials, 18(17), 4033. https://doi.org/10.3390/ma18174033

