Effect of Grain Boundary Characteristics on Mechanical Properties and Irradiation Response in 3C-SiC: A Molecular Dynamics Simulation Study
Abstract
1. Introduction
2. Simulation Method
2.1. Generation of GBs
2.2. Energetics of GBs
2.3. Tensile and Shear Deformation
2.4. Irradiation Simulation
3. Results and Discussion
3.1. GB Energies
3.2. Tensile Response of GBs
3.3. Shear Response of GBs
3.4. Irradiation Response of GBs
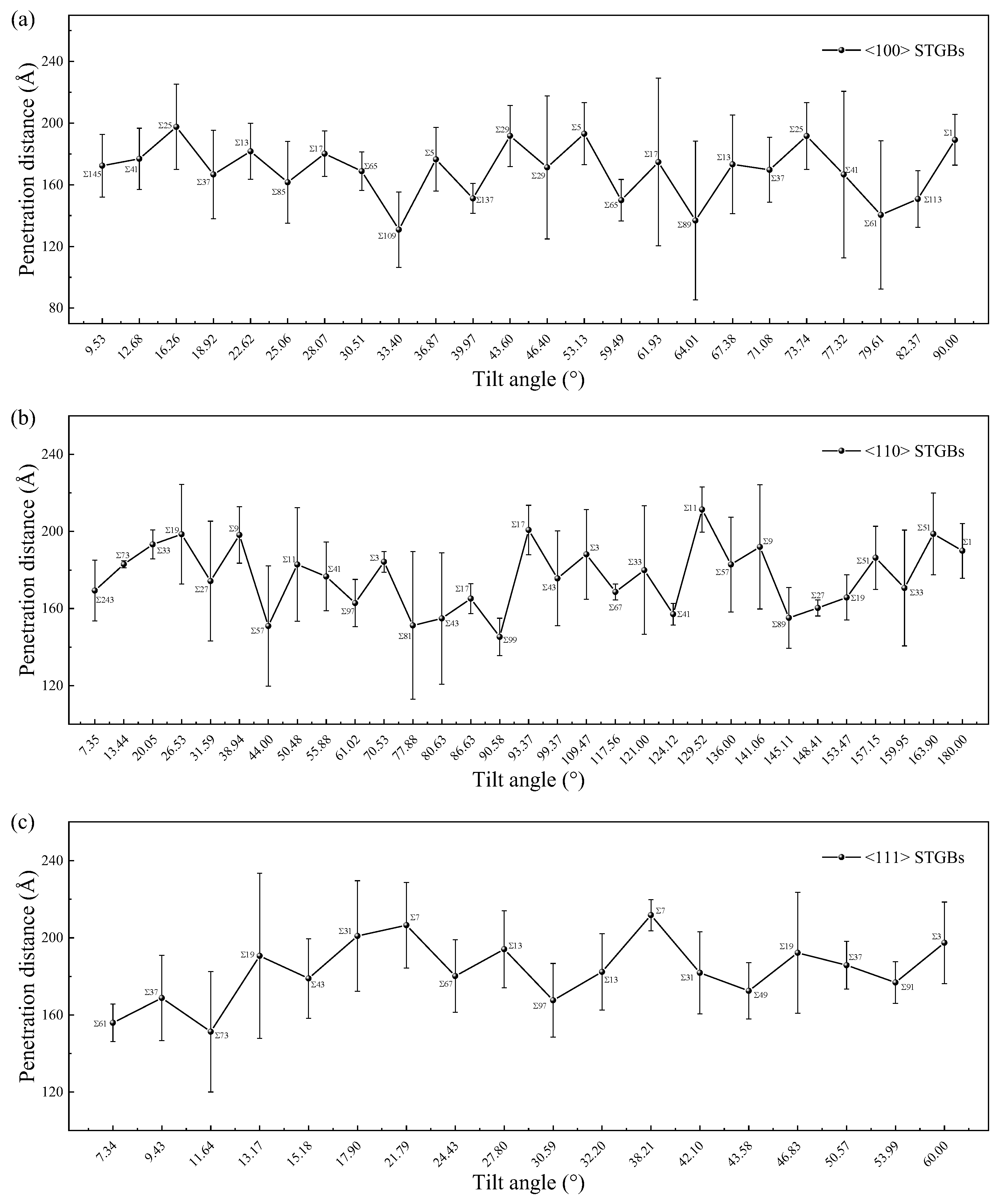
3.4.1. Evolution of Irradiation Defects
3.4.2. Mechanical Response of Irradiated GBs
4. Conclusions
Supplementary Materials
Author Contributions
Funding
Institutional Review Board Statement
Informed Consent Statement
Data Availability Statement
Acknowledgments
Conflicts of Interest
References
- Duchnowski, E.M.; Brown, N.R. A review of multiphysics tools and methods to evaluate high temperature pebble bed reactors. Prog. Nucl. Energy 2024, 171, 105164. [Google Scholar] [CrossRef]
- Brown, N.R. A review of in-pile fuel safety tests of TRISO fuel forms and future testing opportunities in non-HTGR applications. J. Nucl. Mater. 2020, 534, 152139. [Google Scholar] [CrossRef]
- Katoh, Y.; Snead, L.L. Silicon carbide and its composites for nuclear applications—Historical overview. J. Nucl. Mater. 2019, 526, 151849. [Google Scholar] [CrossRef]
- Chen, Z.; Huang, A.Q. Extreme high efficiency enabled by silicon carbide (SiC) power devices. Mater. Sci. Semicond. Process. 2024, 172, 108052. [Google Scholar] [CrossRef]
- Wei, J.; Wei, Z.; Fu, H.; Cao, J.; Wu, T.; Sun, J.; Zhu, X.; Li, S.; Zhang, L.; Liu, S.; et al. Review on the Reliability Mechanisms of SiC Power MOSFETs: A Comparison Between Planar-Gate and Trench-Gate Structures. IEEE Trans. Power Electron. 2023, 38, 8990–9005. [Google Scholar] [CrossRef]
- Haque Chowdhury, E.; Habibur Rahman, M.; Hong, S. Tensile strength and fracture mechanics of two-dimensional nanocrystalline silicon carbide. Comput. Mater. Sci. 2021, 197, 110580. [Google Scholar] [CrossRef]
- Pabst, O.; Schiffer, M.; Obermeier, E.; Tekin, T.; Lang, K.D.; Ngo, H.D. Measurement of Young’s modulus and residual stress of thin SiC layers for MEMS high temperature applications. Microsyst. Technol. 2012, 18, 945–953. [Google Scholar] [CrossRef]
- Liao, F.; Girshick, S.L.; Mook, W.M.; Gerberich, W.W.; Zachariah, M.R. Superhard nanocrystalline silicon carbide films. Appl. Phys. Lett. 2005, 86, 171913. [Google Scholar] [CrossRef]
- Kulikovsky, V.; Vorlíček, V.; Boháč, P.; Stranyánek, M.; Čtvrtlík, R.; Kurdyumov, A.; Jastrabik, L. Hardness and elastic modulus of amorphous and nanocrystalline SiC and Si films. Surf. Coat. Technol. 2008, 202, 1738–1745. [Google Scholar] [CrossRef]
- Espinoza-Pérez, L.J.; Esquivel-Medina, S.; López-Honorato, E. Influence of SiC microstructure on its corrosion behavior in molten FLiNaK salt. Ceram. Int. 2021, 47, 15527–15532. [Google Scholar] [CrossRef]
- Liu, C.; Xi, J.; Szlufarska, I. Sensitivity of SiC Grain Boundaries to Oxidation. J. Phys. Chem. C 2019, 123, 11546–11554. [Google Scholar] [CrossRef]
- Cancino-Trejo, F.; López-Honorato, E.; Walker, R.C.; Ferrer, R.S. Grain-boundary type and distribution in silicon carbide coatings and wafers. J. Nucl. Mater. 2018, 500, 176–183. [Google Scholar] [CrossRef]
- Sinha, S.; Kim, D.-I.; Fleury, E.; Suwas, S. Effect of grain boundary engineering on the microstructure and mechanical properties of copper containing austenitic stainless steel. Mater. Sci. Eng. A 2015, 626, 175–185. [Google Scholar] [CrossRef]
- Safari, H.; Rezaeian, A.; Karimzadeh, F. Novel role of thermomechanical grain boundary engineering in the microstructure evolution of austenitic stainless steel. J. Mater. Res. Technol. 2024, 30, 146–163. [Google Scholar] [CrossRef]
- Xi, X.; Liu, Z.; Qin, Z.; Wu, T.; Wang, J.; Xu, N.; Chen, L. Enhancement of the resistance to hydrogen embrittlement by tailoring grain boundary characteristics in a low carbon high strength steel. J. Mater. Res. Technol. 2023, 27, 7119–7127. [Google Scholar] [CrossRef]
- Kohler, C. Atomistic Modelling of Structures of Tilt Grain Boundaries and Antiphase Boundaries in β-Silicon Carbide. Phys. Status Solidi B 2002, 234, 522–540. [Google Scholar] [CrossRef]
- Wojdyr, M.; Khalil, S.; Liu, Y.; Szlufarska, I. Energetics and structure of ⟨0 0 1⟩ tilt grain boundaries in SiC. Model. Simul. Mater. Sci. 2010, 18, 075009. [Google Scholar] [CrossRef]
- Jin, E.; Niu, L.S.; Lin, E.; Song, X. Grain boundary effects on defect production and mechanical properties of irradiated nanocrystalline SiC. J. Appl. Phys. 2012, 111, 104322. [Google Scholar] [CrossRef]
- Bringuier, S.; Manga, V.R.; Runge, K.; Deymier, P.; Muralidharan, K. Grain boundary dynamics of SiC bicrystals under shear deformation. Mater. Sci. Eng. A 2015, 634, 161–166. [Google Scholar] [CrossRef]
- Li, Y.; Li, Y.; Xiao, W. Point defects and grain boundary effects on tensile strength of 3C-SiC studied by molecular dynamics simulations. Nucl. Eng. Technol. 2019, 51, 769–775. [Google Scholar] [CrossRef]
- Guziewski, M.; Banadaki, A.D.; Patala, S.; Coleman, S.P. Application of Monte Carlo techniques to grain boundary structure optimization in silicon and silicon-carbide. Comput. Mater. Sci. 2020, 182, 109771. [Google Scholar] [CrossRef]
- Wang, L.; Zhang, L.; Yu, W. Revisiting the structures and energies of β-SiC <001> symmetric tilt grain boundaries. J. Mater. Res. 2024, 39, 2166–2175. [Google Scholar]
- Montes de Oca Zapiain, D.; Guziewski, M.; Coleman, S.P.; Dingreville, R. Characterizing the Tensile Strength of Metastable Grain Boundaries in Silicon Carbide Using Machine Learning. J. Phys. Chem. C 2020, 124, 24809–24821. [Google Scholar] [CrossRef]
- Guziewski, M.; Montes de Oca Zapiain, D.; Dingreville, R.; Coleman, S.P. Microscopic and Macroscopic Characterization of Grain Boundary Energy and Strength in Silicon Carbide via Machine-Learning Techniques. ACS Appl. Mater. Interfaces 2021, 13, 3311–3324. [Google Scholar] [CrossRef]
- Gur, S.; Sadat, M.R.; Frantziskonis, G.N.; Bringuier, S.; Zhang, L.; Muralidharan, K. The effect of grain-size on fracture of polycrystalline silicon carbide: A multiscale analysis using a molecular dynamics-peridynamics framework. Comput. Mater. Sci. 2019, 159, 341–348. [Google Scholar] [CrossRef]
- Han, Y.S.; Tomar, V. An investigation into the influence of grain boundary misorientation on the tensile strength of SiC bicrystals. Mech. Adv. Mater. Struct. 2015, 23, 494–502. [Google Scholar] [CrossRef]
- Song, H.Y.; Li, C.F.; Geng, S.F.; An, M.R.; Xiao, M.X.; Wang, L. Atomistic simulations of effect of hydrogen atoms on mechanical behaviour of an α -Fe with symmetric tilt grain boundaries. Phys. Lett. A 2018, 382, 2464–2469. [Google Scholar] [CrossRef]
- Wang, K.; Xu, Y.; Zhang, W.; Xu, J. The impact of structural units on the dislocation nucleation of bi-crystal copper grain boundary. Comput. Mater. Sci. 2023, 218, 111900. [Google Scholar] [CrossRef]
- Bomarito, G.F.; Lin, Y.; Warner, D.H. An atomistic modeling survey of the shear strength of twist grain boundaries in aluminum. Scr. Mater. 2015, 101, 72–75. [Google Scholar] [CrossRef]
- Pang, X.; Ahmed, N.; Janisch, R.; Hartmaier, A. The mechanical shear behavior of Al single crystals and grain boundaries. J. Appl. Phys. 2012, 112, 023503. [Google Scholar] [CrossRef]
- Shao, M.; Xu, C.; Hu, R.; Lang, Z.; Li, P.; Wang, Z.; Liu, H.; Liu, C. Damping effect of (110)<001> symmetric tilt grain boundaries on the shock response of SiC. Surf. Interfaces 2025, 59, 105992. [Google Scholar]
- Field, K.G.; Yang, Y.; Allen, T.R.; Busby, J.T. Defect sink characteristics of specific grain boundary types in 304 stainless steels under high dose neutron environments. Acta Mater. 2015, 89, 438–449. [Google Scholar] [CrossRef]
- Nathaniel, J.E.; Suri, P.K.; Hopkins, E.M.; Wen, J.; Baldo, P.; Kirk, M.; Taheri, M.L. Grain boundary strain as a determinant of localized sink efficiency. Acta Mater. 2022, 226, 117624. [Google Scholar] [CrossRef]
- Sun, J.; You, Y.-W.; Wu, X.; Song, H.-Y.; Li, B.S.; Liu, C.S.; Krsjak, V. Segregation and diffusion behaviours of helium at grain boundaries in silicon carbide ceramics: First-principles calculations and experimental investigations. J. Eur. Ceram. Soc. 2022, 42, 4066–4075. [Google Scholar] [CrossRef]
- Jiang, H.; Wang, X.; Szlufarska, I. The Multiple Roles of Small-Angle Tilt Grain Boundaries in Annihilating Radiation Damage in SiC. Sci. Rep. 2017, 7, 42358. [Google Scholar] [CrossRef] [PubMed]
- Meng, Z.; Wang, C.; Wang, Y.; Liu, Y.; Shu, Y.; Yang, L. Screening and manipulation by segregation of dopants in grain boundary of Silicon carbide: First-principles calculations. Ceram. Int. 2023, 49, 32478–32489. [Google Scholar] [CrossRef]
- Li, X.; Wang, Y.; Zhang, Y.; Xu, Y.; Li, X.-Y.; Wang, X.; Fang, Q.F.; Wu, X.; Liu, C.S. Towards the dependence of radiation damage on the grain boundary character and grain size in tungsten: A combined study of molecular statics and rate theory. J. Nucl. Mater. 2022, 563, 153637. [Google Scholar] [CrossRef]
- Xu, C.; Tian, X.; Jiang, W.; Wang, Q.; Fan, H. The sink efficiency of symmetric tilt grain boundary under displacement cascade in zirconium. J. Nucl. Mater. 2024, 591, 154911. [Google Scholar] [CrossRef]
- Jiang, H.; Szlufarska, I. Small-Angle Twist Grain Boundaries as Sinks for Point Defects. Sci. Rep. 2018, 8, 3736. [Google Scholar] [CrossRef]
- Tschopp, M.A.; Solanki, K.N.; Gao, F.; Sun, X.; Khaleel, M.A.; Horstemeyer, M.F. Probing grain boundary sink strength at the nanoscale: Energetics and length scales of vacancy and interstitial absorption by grain boundaries in α-Fe. Phys. Rev. B 2012, 85, 064108. [Google Scholar] [CrossRef]
- He, W.-H.; Gao, X.; Gao, N.; Wang, J.; Wang, D.; Cui, M.-H.; Pang, L.-L.; Wang, Z.-G. Effects of Grain Boundary Characteristics on Its Capability to Trap Point Defects in Tungsten. Chin. Phys. Lett. 2018, 35, 026101. [Google Scholar] [CrossRef]
- Wang, Z.; Zhang, L.; AlMotasem, A.T.; Li, B.; Polcar, T.; Daghbouj, N. Exploring defect behavior in helium-irradiated single-crystal and nanocrystalline 3C-SiC at 800 °C: A synergy of experimental and simulation techniques. Acta Mater. 2024, 279, 120281. [Google Scholar] [CrossRef]
- Cui, Y.; Sun, J.; Li, M.; Li, B. First-Principles Calculations of Hydrogen Solution and Diffusion in 3C-SiC Grain Boundaries. Materials 2025, 18, 2118. [Google Scholar] [CrossRef] [PubMed]
- Wang, X.; Zhang, H.; Baba, T.; Jiang, H.; Liu, C.; Guan, Y.; Elleuch, O.; Kuech, T.; Morgan, D.; Idrobo, J.C.; et al. Radiation-induced segregation in a ceramic. Nat. Mater. 2020, 19, 992–998. [Google Scholar] [CrossRef]
- Han, Y.S.; Tomar, V. An ab-initio analysis of the influence of knock-on atom induced damage on the peak tensile strength of 3C-SiC grain boundaries. Int. J. Damage Mech. 2014, 24, 446–467. [Google Scholar] [CrossRef]
- Han, Y.S.; Tomar, V. An ab initio study of the structure–strength correlation in impact damaged SiC grain boundaries. Comput. Mater. Sci. 2014, 82, 331–336. [Google Scholar] [CrossRef]
- Kedharnath, A.; Kapoor, R.; Sarkar, A. Atomistic simulation of interaction of collision cascade with different types of grain boundaries in α-Fe. J. Nucl. Mater. 2019, 523, 444–457. [Google Scholar] [CrossRef]
- Torres, E.; Maxwell, C. Effect of irradiation damage on the tensile deformation of α-zirconium systems: A molecular dynamics study. Comput. Mater. Sci. 2023, 222, 112088. [Google Scholar] [CrossRef]
- Plimpton, S. Fast Parallel Algorithms for Short-Range Molecular Dynamics. J. Comput. Phys. 1995, 117, 1–19. [Google Scholar] [CrossRef]
- Stukowski, A. Visualization and analysis of atomistic simulation data with OVITO–the Open Visualization Tool. Model. Simul. Mater. Sci. Eng. 2010, 18, 015012. [Google Scholar] [CrossRef]
- Tersoff, J. Modeling solid-state chemistry: Interatomic potentials for multicomponent systems. Phys. Rev. B 1989, 39, 5566–5568. [Google Scholar] [CrossRef]
- Ziegler, J.F.; Biersack, J.P. The Stopping and Range of Ions in Matter. In Treatise on Heavy-Ion Science; Bromley, D.A., Ed.; Springer: Boston, MA, USA, 1985. [Google Scholar]
- Devanathan, R.; Weber, W.J.; De La Rubia, T.D. Computer simulation of a 10 keV Si displacement cascade in SiC. Nucl. Instrum. Methods Phys. Res. Sect. B Beam Interact. Mater. At. 1998, 141, 118–122. [Google Scholar] [CrossRef]
- Cai, Z.; Yuan, X.; Xu, C.; Li, Y.; Shao, Z.; Li, W.; Xu, J.; Zhang, Q. Grain boundary effects on chemical disorders and amorphization-induced swelling in 3C-SiC under high-temperature irradiation: From atomic simulation insight. J. Eur. Ceram. Soc. 2024, 44, 6911–6925. [Google Scholar] [CrossRef]
- Gao, F.; Weber, W.J. Cascade overlap and amorphization in3C−SiC:Defect accumulation, topological features, and disordering. Phys. Rev. B 2002, 66, 024106. [Google Scholar] [CrossRef]
- Swaminathan, N.; Kamenski, P.J.; Morgan, D.; Szlufarska, I. Effects of grain size and grain boundaries on defect production in nanocrystalline 3C–SiC. Acta Mater. 2010, 58, 2843–2853. [Google Scholar] [CrossRef]
- Tong, X.; Zhang, H.; Li, D. Effects of misorientation and inclination on mechanical response of 〈1 1 0〉 tilt grain boundaries inα-Fe to external stresses. Model. Simul. Mater. Sci. Eng. 2014, 22, 065016. [Google Scholar] [CrossRef]
- Hallil, A.; Metsue, A.; Bouhattate, J.; Feaugas, X. Correlation between vacancy formation and Σ3 grain boundary structures in nickel from atomistic simulations. Philos. Mag. 2016, 96, 2088–2114. [Google Scholar] [CrossRef]
- Uesugi, T.; Higashi, K. First-principles calculation of grain boundary energy and grain boundary excess free volume in aluminum: Role of grain boundary elastic energy. J. Mater. Sci. 2011, 46, 4199–4205. [Google Scholar] [CrossRef]
- Pal, S.; Reddy, K.V.; Yu, T.; Xiao, J.; Deng, C. The spectrum of atomic excess free volume in grain boundaries. J. Mater. Sci. 2021, 56, 11511–11528. [Google Scholar] [CrossRef]
- Xing, Z.; Fan, H.; Xu, C.; Kang, G. Transition from grain boundary migration to grain boundary sliding in magnesium bicrystals. Acta Mech. Sin. 2024, 40, 123448. [Google Scholar] [CrossRef]
- Hua, A.; Zhao, J. Shear direction induced transition mechanism from grain boundary migration to sliding in a cylindrical copper bicrystal. Int. J. Plast. 2022, 156, 103370. [Google Scholar] [CrossRef]
- Yang, L.; Song, X.; Yu, T.; Liu, D.; Deng, C. Unusual acceleration and size effects in grain boundary migration with shear coupling. Comput. Mater. Sci. 2024, 240, 113004. [Google Scholar] [CrossRef]
- Swaminathan, N.; Wojdyr, M.; Morgan, D.D.; Szlufarska, I. Radiation interaction with tilt grain boundaries in β-SiC. J. Appl. Phys. 2012, 111, 054918. [Google Scholar] [CrossRef]
- Wang, X.Y.; Gao, N.; Setyawan, W.; Xu, B.; Liu, W.; Wang, Z.G. Effect of irradiation on mechanical properties of symmetrical grain boundaries investigated by atomic simulations. J. Nucl. Mater. 2017, 491, 154–161. [Google Scholar] [CrossRef]
- Lin, P.; Nie, J.; Lu, Y.; Xiao, G.; Gu, G.; Cui, W.; He, L. Effect of irradiation on mechanical properties of symmetrical grain boundaries in BCC tungsten: An atomistic study. Appl. Phys. A 2024, 130, 69. [Google Scholar] [CrossRef]
- Li, B.; Long, X.-J.; Shen, Z.-W.; Luo, S.-N. Interactions between displacement cascades and Σ3<110> tilt grain boundaries in Cu. J. Nucl. Mater. 2016, 481, 46–52. [Google Scholar]
- Shrader, D.; Khalil, S.M.; Gerczak, T.; Allen, T.R.; Heim, A.J.; Szlufarska, I.; Morgan, D. Ag diffusion in cubic silicon carbide. J. Nucl. Mater. 2011, 408, 257–271. [Google Scholar] [CrossRef]
- Wang, X.; Jamison, L.; Sridharan, K.; Morgan, D.; Voyles, P.M.; Szlufarska, I. Evidence for cascade overlap and grain boundary enhanced amorphization in silicon carbide irradiated with Kr ions. Acta Mater. 2015, 99, 7–15. [Google Scholar] [CrossRef]
- Wang, H.; Zhou, Y.; Dai, L.; Mi, X.; Sun, C.; Dong, Q.; Wu, L.; Tan, J.; Tang, A. Interaction of displacement cascades with {10 1−2} and {10 1−1} twin boundaries in zirconium: A molecular dynamic study. J. Mater. Res. Technol. 2023, 27, 3362–3373. [Google Scholar] [CrossRef]
- Li, H.; Qin, Y.; Yang, Y.; Yao, M.; Wang, X.; Xu, H.; Phillpot, S.R. The evolution of interaction between grain boundary and irradiation-induced point defects: Symmetric tilt GB in tungsten. J. Nucl. Mater. 2018, 500, 42–49. [Google Scholar] [CrossRef]
- Manna, M.; Pal, S. Molecular dynamics simulation for radiation response of Nb bicrystal having Σ 13, Σ 29, and Σ 85 grain boundary. J. Appl. Phys. 2023, 133, 165902. [Google Scholar] [CrossRef]
- Manna, M.; Pal, S. Irradiation Damage Evolution Dependence on Misorientation Angle for Σ 5 Grain Boundary of Nb: An Atomistic Simulation-Based Study. J. Eng. Mater. Technol. 2025, 147, 031002. [Google Scholar] [CrossRef]
- Gao, F.; Chen, D.; Hu, W.; Weber, W.J. Energy dissipation and defect generation in nanocrystalline silicon carbide. Phys. Rev. A 2010, 81, 184101. [Google Scholar] [CrossRef]















| STGB System | θ (°) | Σ | GB Energy (J/m2) | Excess Volume (J/m2) | GB Width (Å) | Nv | Ni | δ |
|---|---|---|---|---|---|---|---|---|
| <100> | 28.07 | 17 | 2.69 | 0.66 | 4.42 | 13 | 27 | 14 |
| <100> | 36.87 | 5 | 2.63 | 0.58 | 4.64 | 14 | 35 | 21 |
| <100> | 53.13 | 5 | 2.61 | 0.74 | 4.86 | 9 | 14 | 5 |
| <100> | 67.38 | 13 | 2.56 | 0.61 | 5.42 | 15 | 33 | 18 |
| <100> | 73.74 | 25 | 2.50 | 0.59 | 6.40 | 11 | 15 | 4 |
| <110> | 38.94 | 9 | 1.44 | 0.13 | 4.36 | 3 | 17 | 14 |
| <110> | 50.48 | 11 | 2.15 | 0.36 | 5.56 | 8 | 29 | 21 |
| <110> | 86.63 | 17 | 2.12 | 0.34 | 5.20 | 13 | 17 | 4 |
| <110> | 109.47 | 3 | 2.04 | 0.30 | 3.54 | 8 | 15 | 7 |
| <110> | 141.06 | 9 | 1.63 | 0.34 | 4.08 | 2 | 10 | 8 |
Disclaimer/Publisher’s Note: The statements, opinions and data contained in all publications are solely those of the individual author(s) and contributor(s) and not of MDPI and/or the editor(s). MDPI and/or the editor(s) disclaim responsibility for any injury to people or property resulting from any ideas, methods, instructions or products referred to in the content. |
© 2025 by the authors. Licensee MDPI, Basel, Switzerland. This article is an open access article distributed under the terms and conditions of the Creative Commons Attribution (CC BY) license (https://creativecommons.org/licenses/by/4.0/).
Share and Cite
Liu, W.; Deng, F.; Yu, J.; Chen, L.; Zhou, Y.; Zhou, Y.; Ouyang, Y. Effect of Grain Boundary Characteristics on Mechanical Properties and Irradiation Response in 3C-SiC: A Molecular Dynamics Simulation Study. Materials 2025, 18, 3545. https://doi.org/10.3390/ma18153545
Liu W, Deng F, Yu J, Chen L, Zhou Y, Zhou Y, Ouyang Y. Effect of Grain Boundary Characteristics on Mechanical Properties and Irradiation Response in 3C-SiC: A Molecular Dynamics Simulation Study. Materials. 2025; 18(15):3545. https://doi.org/10.3390/ma18153545
Chicago/Turabian StyleLiu, Wenying, Fugen Deng, Jiajie Yu, Lin Chen, Yuyang Zhou, Yulu Zhou, and Yifang Ouyang. 2025. "Effect of Grain Boundary Characteristics on Mechanical Properties and Irradiation Response in 3C-SiC: A Molecular Dynamics Simulation Study" Materials 18, no. 15: 3545. https://doi.org/10.3390/ma18153545
APA StyleLiu, W., Deng, F., Yu, J., Chen, L., Zhou, Y., Zhou, Y., & Ouyang, Y. (2025). Effect of Grain Boundary Characteristics on Mechanical Properties and Irradiation Response in 3C-SiC: A Molecular Dynamics Simulation Study. Materials, 18(15), 3545. https://doi.org/10.3390/ma18153545

