Experimental Study on Low-Shrinkage Concrete Mix Proportion for Post-Casting Belt of Full-Section Casting in Immersed Tube
Abstract
1. Introduction
2. The Field Test Analysis for the Full-Section Casting Segment
2.1. Field Test
2.2. Field Test Data Analysis
3. The Laboratory Test Analysis for the Post-Casting Belt Concrete
3.1. Laboratory Test
3.2. Laboratory Test Data Analysis
4. The Field Test Analysis for the Post-Casting Belt
5. Conclusions
- (1)
- Under the combined effects of the hydration heat temperature field and concrete drying shrinkage, the full-casting section first expands and then contracts. Due to the low strength of early-stage concrete, the expansion is small, approximately 65 με. In the later stages, the concrete contracts, with a final convergence of about −348 με. This value is approximately 30% lower than that of conventional concrete (typically 500 με) and falls within the moderate-to-low shrinkage range. The observed strain aligns with data from major infrastructure projects, including the Hong Kong–Zhuhai–Macao Bridge immersed tubes (−310 με) and Shenzhen–Zhongshan Link tunnel segments (−380 με).
- (2)
- The reinforcement exerts a restraining effect on the expansion of the calcium–magnesium composite expansive agent, with a reinforcement ratio of 1.5%, reducing the expansion by 30%. The ratio of 1.5% represents an upper-mid range value, while the Guangdong Provincial Standard for Steel-Shell Concrete Immersed Tunnels further recommends 0.8–1.8%. The observed reinforcement ratio aligns with data from major infrastructure projects, including the Hong Kong–Zhuhai–Macao Bridge immersed tubes (1.2–1.6%) and Shenzhen–Zhongshan Link tunnel segments (1.4–1.8%). The reinforcement in the post-casting belt exerts a restraining effect on the full-section casting segment, generating a stress of 20–30 MPa. However, the reinforcement stress does not affect the expansion effect of the calcium–magnesium composite expansive agent.
- (3)
- CaO dominates early-stage expansion (0–40 days), achieving 600–700 με within 40 days, but exhibits negligible growth thereafter. In contrast, MgO provides sustained expansion: MgO 90s initiates significant expansion between 40 and 100 days, while MgO 200s extends this effect beyond 150 days, with specimens like C5M41 reaching 1200 με at 180 days.
- (4)
- When the content is 8%, the optimal CaO: MgO 90s: MgO 200s ratio of 5:3:2 balances early and late expansion: it avoids excessive early stress via moderate 40-day strain (~500 με) while delivering 1150–1200 με ultimate strain—35% higher than CaO-only systems. Notably, MgO 200s outperforms MgO 90s by 5% in ultimate expansion and exhibits a distinctive “plateau growth” profile (60–120 d), mitigating thermal stress cracking.
- (5)
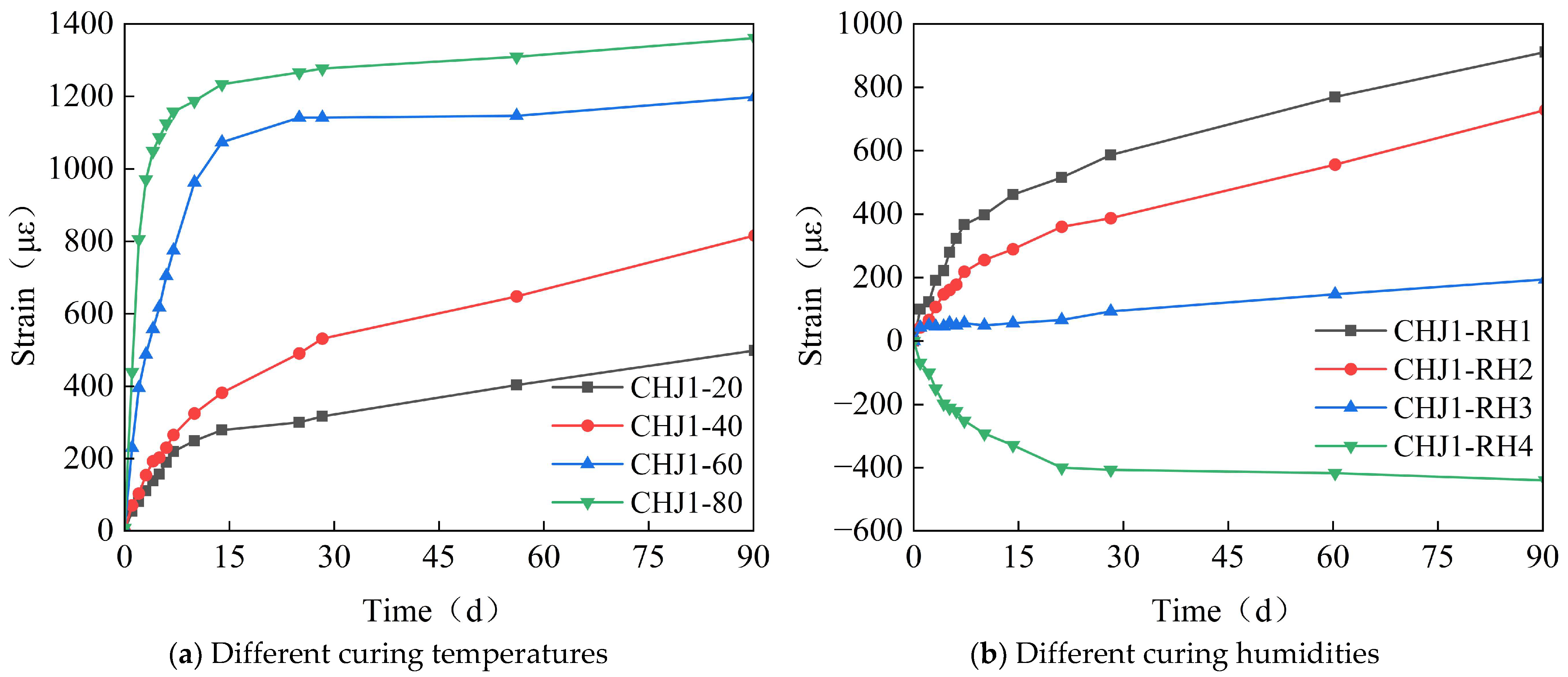
- To ensure the control target of 348με for the calcium–magnesium composite expansive agent over 40 days, the curing temperature is selected to be between 20 and 40 °C, and the curing humidity is above 80%.
- (6)
- The mix proportion of the post-casting belt based on the calcium–magnesium composite expansive agent developed in this study can control the convergent strain of the post-casting belt concrete to within 80 με, effectively preventing concrete cracking.
Author Contributions
Funding
Institutional Review Board Statement
Informed Consent Statement
Data Availability Statement
Conflicts of Interest
References
- Xu, X.; Tong, L.; Liu, S.; Li, H. Evaluation model for immersed tunnel health state: A case study of Honggu Tunnel, Jiangxi Province, China. Tunn. Undergr. Space Technol. 2019, 90, 39–248. [Google Scholar] [CrossRef]
- Guo, J.; Shan, L.; Ma, M. Statistics analysis and development of immersed tube tunnels in China. Tunn. Constr. 2023, 43, 173. [Google Scholar]
- Hong, K.-R. Typical Underwater Tunnels in the Mainland of China and Related Tunneling Technologies. Engineering 2017, 3, 871–879. [Google Scholar] [CrossRef]
- Song, E.; Li, P.; Lin, M.; Liu, X. The rationality of semi-rigid immersed tunnel element structure scheme and its first application in Hong Kong Zhuhai Macao bridge project. Tunn. Undergr. Space Technol. 2018, 82, 6–169. [Google Scholar] [CrossRef]
- Lin, W.; Liang, J.; Liu, L.; Zou, W.; Lin, M. Development and prospect of immersed tunnel and artificial island technology. Tunn. Constr. 2021, 41, 2029–2036. [Google Scholar]
- Lin, M.; Lin, W. Hong Kong-Zhuhai-Macao Island and Tunnel Project; Engineering: Beijing, China, 2017. [Google Scholar]
- Liu, S.; Wang, L.; Yu, M.; Jiang, Y. Optimization of smoke exhaust efficiency under a lateral central exhaust ventilation mode in an extra-wide immersed tunnel. J. Zhejiang Univ.-Sci. A 2021, 22, 396–406. [Google Scholar] [CrossRef]
- Wu, X.; Xi, J.; Liu, H.; Su, Z.; Liang, J.; Liu, S. Intelligent casting technology of self-compacting concrete for steel-shells of Shenzhen-Zhongshan link immersed tunnel tubes. Tunn. Constr. 2022, 42, 328. [Google Scholar]
- Gokce, A.; Koyama, F.; Tsuchiya, M.; Gencoglu, T. The challenges involved in concrete works of Marmaray immersed tunnel with service life beyond 100 years. Tunn. Undergr. Space Technol. 2009, 24, 592–601. [Google Scholar] [CrossRef]
- Salet, T.; Schlangen, E. Early-age crack control in tunnels. In Proceedings of the 5th European Conference on Advanced Materials and Processes and Applications (EUROMAT 97), Maastricht, The Netherlands, 21–23 April 1997; Volume 4, pp. 367–377. [Google Scholar]
- Richard, L.; Jonathan, B. Immersed Tunnels; CRC Press: Boca Raton, MA, USA, 2013; pp. 5–44, 57. [Google Scholar]
- Liu, P.; Chen, J.; Chen, Y.; Yang, J.; Tang, Q. Mechanical model forjoints of immersed tunnel considering the influence of jointdifferential settlement. Int. J. Geosynth. Ground Eng. 2020, 6, 57. [Google Scholar] [CrossRef]
- Li, L.; Liu, F. Crack resistance design for a pre-stress RC structure. In Proceedings of the 9th International Symposium on Structural Engineering for Young Experts, Advances in Structural Engineering: Theory and Applications, Nanchang, China, 18–21 August 2006; Volumes 1 and 2, pp. 1848–1854. [Google Scholar]
- Zhou, M.; Su, X.; Chen, Y.; An, L. New Technologies and Challenges in the Construction of the Immersed Tube Tunnel of the Hong Kong-Zhuhai-Macao Link. Struct. Eng. Int. 2021, 32, 455–464. [Google Scholar] [CrossRef]
- Zhou, X.; Sun, X.; Jiao, Y.; Zeng, B.; Tan, F.; Li, T.; Wei, P. Development and application of a new ballast water system for immersed tunnel installation: A case study of the Yuliangzhou tunnel in Xiangyang, China. Tunn. Undergr. Space Technol. 2022, 119, 104261. [Google Scholar] [CrossRef]
- Gong, J.; Cui, W.J.; Yuan, Y.; Wu, X.P. Numerical Simulation of Temperature Gradients for the Mass Concrete Foundation Slab of Shanghai Tower. Int. J. High-Rise Build. 2015, 4, 283–290. [Google Scholar]
- Gilbert, R.I. Cracking Caused by Early-age Deformation of Concrete-Prediction and Control. Procedia Eng. 2017, 172, 13–22. [Google Scholar] [CrossRef]
- Xin, I.D.; Zhang, G.X.; Liu, Y.; Wang, Z.; Wu, Z. Effect of Temperature History and Restraint Degree on Cracking Behavior of Early-age Concrete. Constr. Build. Mater. 2018, 192, 381–390. [Google Scholar] [CrossRef]
- Huang, Y.; Liu, G.; Huang, S.; Rao, R.; Hu, C. Experimental and finite element investigations on the temperature field of a massive bridge pier caused by the hydration heat of concrete. Constr. Build. Mater. 2018, 192, 240–252. [Google Scholar] [CrossRef]
- Lim, J.S.; Moon, K.H.; Falchetto, A.C.; Jeong, J.-H. Testing and Modelling of Hygro-thermal Expansion Properties of Concrete. KSCE J. Civ. Eng. 2015, 20, 709–717. [Google Scholar] [CrossRef]
- Jiang, W.; Liu, X.; Yuan, Y.; Wang, S.; Su, Q.; Taerwe, L. Towards early-age performance control in precast concrete immersed tunnels. Struct. Concr. 2015, 15, 558–571. [Google Scholar] [CrossRef]















| Experimental Specimen Number | Cement | Fly Ash | Expansive Agent | Sand | Small Stone | Big Stone | Water | Water Reducer | ||
|---|---|---|---|---|---|---|---|---|---|---|
| CaO | MgO 90s | MgO 200s | ||||||||
| C5M32 | 302 | 84 | 17 | 10.2 | 6.8 | 677 | 211 | 833 | 159.6 | 4.2 |
| Experimental Group | Reinforcement | Expansive Agent | Fly Ash Ratio | Curing Method | ||||
|---|---|---|---|---|---|---|---|---|
| Experimental Objective | Number | Experimental Specimen Number | Ratio | Stress (MPa) | Ratio | CaO:MgO 90s:MgO 200s | ||
| Study on the effect of different reinforcement ratios on the expansion effect. | 1 | C5M32(0) | 0 | 0 | 8% | 5:3:2 | 20% | Curing in water at 20 °C |
| 2 | C5M32(0.5) | 0.5% | ||||||
| 3 | C5M32(0.8) | 0.8% | ||||||
| 4 | C5M32(1.5) | 1.5% | ||||||
| 5 | C5M32(3) | 3% | ||||||
| 6 | C5M32(5) | 5% | ||||||
| Study on the effect of different reinforcement stresses on the expansion effect. | 7 | C5M32-0 | 0.8% | 0 | 8% | 5:3:2 | 20% | Curing in water at 20 °C |
| 8 | C5M32-5 | 5 | ||||||
| 9 | C5M32-10 | 10 | ||||||
| 10 | C5M32-15 | 15 | ||||||
| 11 | C5M32-20 | 20 | ||||||
| Study on the effect of different expansive agent composition contents on the expansion effect. | 12 | C8M11 | 0.8% | 0 | 8% | 8:1:1 | 20% | Curing in water at 20 °C |
| 13 | C7M12 | 7:1:2 | ||||||
| 14 | C6M13 | 6:1:3 | ||||||
| 15 | C5M14 | 5:1:4 | ||||||
| 16 | C7M21 | 7:2:1 | ||||||
| 17 | C6M22 | 6:2:2 | ||||||
| 18 | C5M23 | 5:2:3 | ||||||
| 19 | C6M31 | 6:3:1 | ||||||
| 20 | C5M32 | 5:3:2 | ||||||
| 21 | C5M41 | 5:4:1 | ||||||
| Study on the effect of different expansive agent contents on the expansion effect. | 22 | C5M32-P6 | 0.8% | 0 | 6% | 5:3:2 | 20% | The first 7 days involve water curing at 40 °C, followed by air curing with 60% humidity |
| 23 | C5M32-P8 | 8% | ||||||
| 24 | C5M32-P10 | 10% | ||||||
| 25 | C5M32-P12 | 12% | ||||||
| 26 | C5M32-P14 | 14% | ||||||
| Study on the effect of different fly ash contents on the expansion effect. | 27 | C5M32-F0 | 0.8% | 0 | 6% | 5:3:2 | 0 | Curing in water at 40 °C |
| 28 | C5M32-F10 | 10% | ||||||
| 29 | C5M32-F20 | 20% | ||||||
| 30 | C5M32-F30 | 30% | ||||||
| Study on the effect of different composition contents on the expansion effect. | 31 | CHJ1 | 0.8% | 0 | 8% | 5:3:2 | 20% | Curing in air with 85% humidity at 30 °C |
| 32 | CHJ2 | 6:3:1 | ||||||
| 33 | CHJ3 | 7:2:1 | ||||||
| Study on the effect of different curing temperatures on the expansion effect. | 34 | CHJ1-20 | 0.8% | 0 | 8% | 5:3:2 | 20% | Curing in water at 20 °C |
| 35 | CHJ1-40 | Curing in water at 40 °C | ||||||
| 36 | CHJ1-60 | Curing in water at 60 °C | ||||||
| 37 | CHJ1-80 | Curing in water at 80 °C | ||||||
| Study on the effect of different curing humidities on the expansion effect. | 38 | CHJ1-RH1 | 0.8% | 0 | 8% | 5:3:2 | 20% | Curing in water at 30 °C |
| 39 | CHJ1-RH2 | Curing in air with 95% humidity at 30 °C | ||||||
| 40 | CHJ1-RH3 | Curing in air with 75% humidity at 30 °C | ||||||
| 41 | CHJ1-RH4 | Curing in air with 60% humidity at 30 °C | ||||||
Disclaimer/Publisher’s Note: The statements, opinions and data contained in all publications are solely those of the individual author(s) and contributor(s) and not of MDPI and/or the editor(s). MDPI and/or the editor(s) disclaim responsibility for any injury to people or property resulting from any ideas, methods, instructions or products referred to in the content. |
© 2025 by the authors. Licensee MDPI, Basel, Switzerland. This article is an open access article distributed under the terms and conditions of the Creative Commons Attribution (CC BY) license (https://creativecommons.org/licenses/by/4.0/).
Share and Cite
Liang, B.-Y.; Sun, W.-H.; Deng, C.-L.; Hu, Q.; Huang, Y.-H. Experimental Study on Low-Shrinkage Concrete Mix Proportion for Post-Casting Belt of Full-Section Casting in Immersed Tube. Materials 2025, 18, 3315. https://doi.org/10.3390/ma18143315
Liang B-Y, Sun W-H, Deng C-L, Hu Q, Huang Y-H. Experimental Study on Low-Shrinkage Concrete Mix Proportion for Post-Casting Belt of Full-Section Casting in Immersed Tube. Materials. 2025; 18(14):3315. https://doi.org/10.3390/ma18143315
Chicago/Turabian StyleLiang, Bang-Yan, Wen-Huo Sun, Chun-Lin Deng, Qian Hu, and Yong-Hui Huang. 2025. "Experimental Study on Low-Shrinkage Concrete Mix Proportion for Post-Casting Belt of Full-Section Casting in Immersed Tube" Materials 18, no. 14: 3315. https://doi.org/10.3390/ma18143315
APA StyleLiang, B.-Y., Sun, W.-H., Deng, C.-L., Hu, Q., & Huang, Y.-H. (2025). Experimental Study on Low-Shrinkage Concrete Mix Proportion for Post-Casting Belt of Full-Section Casting in Immersed Tube. Materials, 18(14), 3315. https://doi.org/10.3390/ma18143315

