Effects of Moisture Infiltration on Interfacial Characteristics of Fiber Asphalt Mastic-Aggregate and the Cracking Resistance of Mixture
Abstract
1. Introduction
2. Materials and Methods
2.1. Raw Materials
2.2. Preparation for Fiber-Reinforced Asphalt Mixture and Asphalt Binder
2.3. Test Methods
2.3.1. Binder Bond Strength Test (BBS)
- (1)
- Heat the spindle in the oven at 170 °C for 1 h, and the substrate in the oven at 50 °C for 2 h.
- (2)
- Place the silicone ring in the middle of the substrate to prevent the overflow of samples.
- (3)
- Apply pressure to the center of the spindle for 5 min to make it fully bonded.
- (4)
- Clean excess residual asphalt, and carry out the test after 2 h of heat preservation.
2.3.2. Disk-Shaped Compact Tension Test (DCT)
2.3.3. Interface Image Processing Method
2.3.4. Moisture Infiltration Treatment Method
3. Results and Discussion
3.1. Interfacial Strength of Fiber Asphalt Mastic and Aggregate
3.1.1. Effect of Fiber and Aggregate on the Interfacial Strength
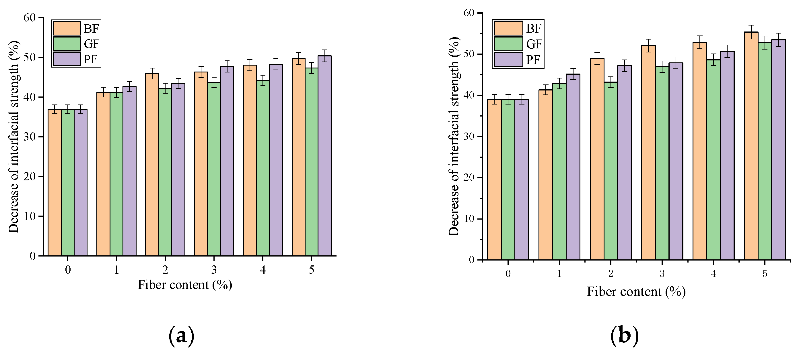
3.1.2. Effect of Moisture Infiltration on Interfacial Strength
3.2. Effect of Moisture Infiltration on Failure Mode of Fiber Asphalt Mastic and Aggregate Interface
3.3. Cracking Resistance of Fiber-Reinforced Asphalt Mixture
3.3.1. Effect of Fiber and Aggregate on Cracking Resistance
3.3.2. Effect of Moisture Infiltration on Cracking Resistance
3.3.3. Effect of Moisture Infiltration on Failure Mode of the Mixture
3.3.4. Correlation Analysis of Interfacial Properties and Cracking Resistance of Mixture Under Moisture Infiltration
4. Conclusions
- (1)
- The addition of fibers could enhance fiber asphalt mastic-aggregate interfacial strength. Among the three kinds of fibers, basalt fiber has the most effective effect on interfacial strength; compared with basalt aggregate, limestone aggregate has a greater impact on interfacial strength.
- (2)
- Under the influence of moisture infiltration, the interfacial strength between fiber asphalt mastic and aggregate shows a significant decrease, especially in the interfacial properties of PF asphalt mastic and aggregate. Compared to basalt aggregate, limestone aggregate is able to resist moisture infiltration more effectively, thus reducing the decline in interfacial strength.
- (3)
- The addition of fibers can effectively improve the cracking resistance of asphalt mixture. BF can effectively increase the peak load and fracture energy, and PF can effectively increase the P-CMOD.
- (4)
- The interface between asphalt mastic and aggregate is more prone to spalling after being subjected to moisture infiltration, resulting in a decrease in cracking resistance. Compared with basalt aggregate, the cracking resistance of limestone aggregate asphalt mixture is not significantly reduced under the influence of moisture infiltration. Limestone aggregates have better resistance to moisture infiltration, so they can be used in rainy regions.
- (5)
- Compared with the dry environment, after moisture infiltration, the correlation index between interfacial strength and fracture energy is much higher than other influencing factors. The interfacial strength is still an important factor affecting the fracture energy of the asphalt mixture even though it is affected by moisture infiltration.
- (6)
- The mechanism of asphalt peeling from the aggregate surface under moisture infiltration can be studied by means of analytical dynamic simulation.
Author Contributions
Funding
Institutional Review Board Statement
Informed Consent Statement
Data Availability Statement
Conflicts of Interest
References
- Wang, W.; Wang, L.; Xiong, H.; Luo, R. A review and perspective for research on moisture damage in asphalt pavement induced by dynamic pore water pressure. Constr. Build. Mater. 2019, 204, 631–642. [Google Scholar] [CrossRef]
- Saeed, F.; Rahman, M.; Chamberlain, D.; Collins, P. Asphalt surface damage due to combined action of water and dynamic loading. Constr. Build. Mater. 2019, 196, 530–538. [Google Scholar] [CrossRef]
- Hung, M.A.; Goodwin, A.; Fini, H.E. Effects of water exposure on bitumen surface microstructure. Constr. Build. Mater. 2017, 135, 682–688. [Google Scholar] [CrossRef]
- Muhammad, R.K.; Meor, O.H.; Jan, V. A review on moisture damages of hot and warm mix asphalt and related investigations. J. Clean. Prod. 2015, 99, 39–58. [Google Scholar]
- Sun, E.; Zhao, Y.; Cai, R. Characterization of microstructural evolution of asphalt due to water damage using atomic force microscopy. Constr. Build. Mater. 2024, 438, 137175. [Google Scholar] [CrossRef]
- Zhang, Y.; Yao, K.; Yi, Z.; Li, Z.; Li, H.; Zang, W.; Zhang, Y. Evaluation for water stability of bitumen mixture with multi-scale method. Constr. Build. Mater. 2024, 412, 134836. [Google Scholar] [CrossRef]
- Guo, M.J.; Neng, T.F.; Ling, P.; Kovalskiy, V.P. Exploring the short-term water damage characteristics of asphalt mixtures: The combined effect of salt erosion and dynamic water scouring. Constr. Build. Mater. 2024, 411, 134310. [Google Scholar] [CrossRef]
- Wu, H.; Ji, X.; Song, W.; Wei, J.; Sun, Y.; Zhan, Y.; Zou, X. Mechanical behaviors and meso analysis of asphalt mixtures under moisture damage induced by hydrodynamic impacts. Constr. Build. Mater. 2024, 438, 137048. [Google Scholar] [CrossRef]
- Zhang, K.; Lu, H.; Zhu, R.; Weng, L.; Zhou, X.; Kong, X.; Liu, C.; Jiang, Y. Study on pore structure evolution and water damage of asphalt mixture under cyclic loading. Constr. Build. Mater. 2024, 440, 137461. [Google Scholar] [CrossRef]
- Hui, Y.; Men, G.; Xiao, P.; Tang, Q.; Han, F.; Kang, A.; Wu, Z. Recent Advances in Basalt Fiber Reinforced Asphalt Mixture for Pavement Applications. Materials 2022, 15, 6826. [Google Scholar] [CrossRef]
- Slebi-Acevedo, J.C.; Lastra-González, P.; Pascual-Muñoz, P.; Castro-Fresno, D. Mechanical performance of fibers in hot mix asphalt: A review. Constr. Build. Mater. 2019, 200, 756–769. [Google Scholar] [CrossRef]
- Klinsky, L.; Kaloush, K.; Faria, V.; Bardini, V. Performance characteristics of fiber modified hot mix asphalt. Constr. Build. Mater. 2018, 176, 747–752. [Google Scholar] [CrossRef]
- Wu, J.; Zhao, Z.; Jiang, C.; Yang, Y.; Sun, Z.; Yuang, J.; Xiao, F. Recent development and application of natural fiber in asphalt pavement. J. Clean. Prod. 2024, 449, 141832. [Google Scholar] [CrossRef]
- Sato, A.; Yoshimura, T.; Kabusaki, D.; Okumura, H.; Homma, Y.; Sano, H.; Nakatsubo, F.; Kuboki, T.; Yano, H. Influences of dispersion media for chemically modified cellulose nanofibers on rheological and mechanical properties of cellulose nanofiber reinforced high-density polyethylene. Cellulose 2021, 28, 4719–4728. [Google Scholar] [CrossRef]
- Shanbara, K.H.; Ruddock, F.; Atherton, W. A laboratory study of high-performance cold mix asphalt mixtures reinforced with natural and synthetic fibres. Constr. Build. Mater. 2018, 172, 166–175. [Google Scholar] [CrossRef]
- Xu, J.Y.; Ma, B.; Mao, W.J.; Si, W.; Wang, X. Review of interfacial adhesion between asphalt and aggregate based on molecular dynamics. Constr. Build. Mater. 2023, 362, 129642. [Google Scholar] [CrossRef]
- Jiao, B.; Pan, B.; Liu, F.; Yin, P.; Li, Z. Evaluating the interfacial properties between crumb rubber modified asphalt and aggregates using molecular dynamics simulation methods. Constr. Build. Mater. 2023, 400, 132809. [Google Scholar] [CrossRef]
- Zhang, J.Z.; Apeagyei, A.K.; Airey, G.D.; Grenfell, J.R. Influence of aggregate mineralogical composition on water resistance of aggregate–bitumen adhesion. Int. J. Adhes. Adhes. 2015, 62, 45–54. [Google Scholar] [CrossRef]
- Curtis, C.W. Investigation of Asphalt-Aggregate Interactions in Asphalt Pavements. Am. Chem. Society. 1992, 37, 1292–1297. [Google Scholar]
- Huang, W.; Zhou, L. Evaluation of adhesion properties of modified asphalt binders with use of binder bond strength test. Transp. Res. Rec. J. Transp. Res. Board 2017, 2632, 88–98. [Google Scholar] [CrossRef]
- Cala, A.; Caro, S.; Lleras, M.; Rojas-Agramonte, Y. Impact of the chemical composition of aggregates on the adhesion quality and durability of asphalt-aggregate systems. Constr. Build. Mater. 2019, 216, 661–672. [Google Scholar] [CrossRef]
- Aguiarmoya, J.P.; Salazardelgado, J.; Baldisevilla, A.; Leiva-Villacorta, F.; Loria-Salazar, L. Effect of Aging on Adhesion Properties of Asphalt Mixtures with the Use of Bitumen Bond Strength and Surface Energy Measurement Tests. Transp. Res. Rec. 2015, 2505, 57–65. [Google Scholar] [CrossRef]
- Xu, Y.; Zhang, C.F.; Feng, Y.P.; Guo, X. Low-temperature cohesive and adhesive strength testing of contact surface between bitumen and mineral aggregates by image analysis. Constr. Build. Mater. 2018, 183, 95–101. [Google Scholar] [CrossRef]
- Guo, M.; Tan, Y.; Zhou, S. Multiscale test research on interfacial adhesion property of cold mix asphalt. Constr. Build. Mater. 2014, 68, 769–776. [Google Scholar] [CrossRef]
- Tan, Y.; Guo, M. Using surface free energy method to study the cohesion and adhesion of asphalt mastic. Constr. Build. Mater. 2013, 47, 254–260. [Google Scholar] [CrossRef]
- Rossi, C.O.; Caputo, P.; Baldino, N.; Szerb, E.I.; Teltayev, B. Quantitative evaluation of organosilane-based adhesion promoter effect on bitumen-aggregate bond by contact angle test. Int. J. Adhes. Adhes. 2016, 72, 117–122. [Google Scholar] [CrossRef]
- Safaei, F.; Castorena, C.; Kim, Y.R. Linking asphalt binder fatigue to asphalt mixture fatigue performance using viscoelastic continuum damage modeling. Mech. Time-Depend. Mater. 2016, 20, 299–323. [Google Scholar] [CrossRef]
- Rahman, M.N.; Castro, S.; Noorvand, H.; Kaloush, K.; Mamlouk, M.; Ozer, H. Effect of low dosage fiber reinforcement on cracking performance of asphalt concrete. Constr. Build. Mater. 2024, 411, 134380. [Google Scholar] [CrossRef]
- Li, Z.; Zhang, X.; Fa, C.; Zhang, Y.; Xiong, J.; Chen, H. Investigation on characteristics and properties of bagasse fibers: Performances of asphalt mixtures with bagasse fibers. Constr. Build. Mater. 2020, 248, 118648. [Google Scholar] [CrossRef]
- Wang, S.; Mallick, B.R.; Rahbar, N. Toughening mechanisms in polypropylene fiber-reinforced asphalt mastic at low temperature. Constr. Build. Mater. 2020, 248, 118690. [Google Scholar] [CrossRef]
- Zhang, Y.; Sang, T.; Kang, A.; Wang, B.; Wu, X.; Zhao, Y. Investigation of fiber length distribution on crack resistance mechanism of basalt fiber asphalt mixture based on digital image processing technology. Constr. Build. Mater. 2023, 401, 132753. [Google Scholar] [CrossRef]
- Tang, Q.; Xiao, P.; Lou, K.; Wu, Y. Interfacial characteristics of fiber asphalt mastic and aggregates. Impact on mixture crack resistance performance. Constr. Build. Mater. 2024, 414, 134866. [Google Scholar] [CrossRef]
- Yin, Y.; Chen, H.; Kuang, D.; Song, L.; Wang, L. Effect of chemical composition of aggregate on interfacial adhesion property between aggregate and asphalt. Constr. Build. Mater. 2017, 146, 231–237. [Google Scholar] [CrossRef]
- JTG E20-2011; Test Rules for Asphalt and Asphalt Mixtures for Highway Engineering. Sheben: Benjing, China, 2011.
- Pipintakos, G.; Sreeram, A.; Mirwald, J.; Bhasin, A. Engineering bitumen for future asphalt pavements: A review of chemistry, structure and rheology. Mater. Des. 2024, 244, 113157. [Google Scholar] [CrossRef]





















| Fiber Type | Basalt Fiber | Glass Fiber | Polyester Fiber |
|---|---|---|---|
| Tensile strength MPa | 2561 | 2318 | 979 |
| Oil absorption rate/times | 1.04 | 0.5 | 3.43 |
| Fiber Type | Fiber Content/% | ||||
|---|---|---|---|---|---|
| 0.1 | 0.2 | 0.3 | 0.4 | 0.5 | |
| BF | 4.9 | 5.0 | 5.1 | 5.2 | 5.2 |
| GF | 4.9 | 5.0 | 5.1 | 5.2 | 5.2 |
| PF | 5.0 | 5.1 | 5.2 | 5.3 | 5.3 |
| Spindle Diameter/mm | Resolution/MPa | Accuracy | Range/MPa |
|---|---|---|---|
| 20 | 0.01 | ±1% | 0–20 |
Disclaimer/Publisher’s Note: The statements, opinions and data contained in all publications are solely those of the individual author(s) and contributor(s) and not of MDPI and/or the editor(s). MDPI and/or the editor(s) disclaim responsibility for any injury to people or property resulting from any ideas, methods, instructions or products referred to in the content. |
© 2024 by the authors. Licensee MDPI, Basel, Switzerland. This article is an open access article distributed under the terms and conditions of the Creative Commons Attribution (CC BY) license (https://creativecommons.org/licenses/by/4.0/).
Share and Cite
Lou, K.; Jia, S.; Xiao, P.; Wu, H.; Wu, Y. Effects of Moisture Infiltration on Interfacial Characteristics of Fiber Asphalt Mastic-Aggregate and the Cracking Resistance of Mixture. Materials 2025, 18, 53. https://doi.org/10.3390/ma18010053
Lou K, Jia S, Xiao P, Wu H, Wu Y. Effects of Moisture Infiltration on Interfacial Characteristics of Fiber Asphalt Mastic-Aggregate and the Cracking Resistance of Mixture. Materials. 2025; 18(1):53. https://doi.org/10.3390/ma18010053
Chicago/Turabian StyleLou, Keke, Silin Jia, Peng Xiao, Haochen Wu, and Yuhao Wu. 2025. "Effects of Moisture Infiltration on Interfacial Characteristics of Fiber Asphalt Mastic-Aggregate and the Cracking Resistance of Mixture" Materials 18, no. 1: 53. https://doi.org/10.3390/ma18010053
APA StyleLou, K., Jia, S., Xiao, P., Wu, H., & Wu, Y. (2025). Effects of Moisture Infiltration on Interfacial Characteristics of Fiber Asphalt Mastic-Aggregate and the Cracking Resistance of Mixture. Materials, 18(1), 53. https://doi.org/10.3390/ma18010053
