Research on a Low-Cost, Low-Waste Method for Surface Flatness Improvement of WAAM Components Based on Tungsten Inert Gas Arc Remelting (TIGAR)
Highlights
- The TIG arc remelting process can improve WAAM parts’ surface flatness by over 65%.
- It is extremely low-cost and can reduce the cutting waste of post-machining.
- It adapts to rough production environments even with varying remelting space.
- The strong adaptability was revealed by analyzing the forces and flow in molten pool.
Abstract
1. Introduction
2. Materials and Methods
3. Results and Discussion
3.1. Surface Flatness Improvement Under Different TIGAR Currents
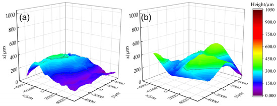
3.1.1. Surface Morphology Before and After Remelting
3.1.2. Mechanism for Flatness Improvement
3.1.3. Quantified Surface Flatness
3.1.4. Quantity of Cutting Waste After Remelting
3.2. Changes in Surface Characteristics with Various Remelting Spacing
3.3. Changes in Surface Characteristics with Various Remelting Directions
3.4. Comparison of the Surface Improving Methods from Existing Research
3.5. Microstructure and Hardness of Remelted Surface
4. Conclusions
- The improvement effect on surface flatness is enhanced as the remelting current increases. When the current is set to 80 A, TIGAR can effectively reduce the maximum height difference in the surface by 65%, the standard deviation of surface height by 66%, and the cutting waste by 72%.
- The analysis of the forces and flow within the molten pool explains this counterintuitive phenomenon—regardless of whether the axis of the tungsten electrode is aligned with the ridges or valleys of the original additive surface, the arc can flatten the surface. This characteristic ensures that when there is some deviation in the remelting spacing, such as in a rough production environment, the TIGAR process demonstrates robustness and adaptability.
- The proper overlap of remelted passes is a critical condition for effective improvement in flatness. When the remelting spacing is too large, or when the deviation in the arc’s trajectory from the WAAM deposition direction leads to variations in the molten pool size, the resulting poor overlap can negatively affect the surface improvement.
- The TIGAR process has a minimal impact on the surface microstructure and hardness of the additive part, which does not affect service performance and the machining post-processing, if necessary.
- The TIGAR process shows great potential for enhancing surface quality of WAAM parts due to its low cost. However, there is still room for improvement in its processing efficiency. Another key limitation is that the surface flatness after processing is still far from the precision achieved by machining.
5. Outlook for Future Research
- Enhancing process efficiency by employing multiple tungsten electrodes or special-shaped electrodes to melt a wider width or area of the deposited surface of WAAM parts within the same unit of time would be valuable.
- Investigating the suitable remelting process parameters for additive parts’ surfaces of different types or in different orientations would make the process more feasible.
- Discussing the potential of combining TIGAR with other post-processing techniques or adapting the method to new materials could broaden its applicability.
Author Contributions
Funding
Institutional Review Board Statement
Informed Consent Statement
Data Availability Statement
Conflicts of Interest
References
- Gisario, A.; Kazarian, M.; Martina, F.; Mehrpouya, M. Metal Additive Manufacturing in the Commercial Aviation Industry: A Review. J. Manuf. Syst. 2019, 53, 124–149. [Google Scholar] [CrossRef]
- Rodrigues, T.A.; Duarte, V.; Miranda, R.M.; Santos, T.G.; Oliveira, J.P. Current Status and Perspectives on Wire and Arc Additive Manufacturing (WAAM). Materials 2019, 12, 1121. [Google Scholar] [CrossRef] [PubMed]
- Uralde, V.; Suarez, A.; Aldalur, E.; Veiga, F.; Ballesteros, T. Wall Fabrication by Direct Energy Deposition (DED) Combining Mild Steel (ER70) and Stainless Steel (SS 316L): Microstructure and Mechanical Properties. Materials 2022, 15, 5828. [Google Scholar] [CrossRef]
- Chen, X.; Chen, B.; Cheng, X.; Li, G.; Huang, Z. Microstructure and Properties of Hybrid Additive Manufacturing 316L Component by Directed Energy Deposition and Laser Remelting. J. Iron Steel Res. Int. 2020, 27, 842–848. [Google Scholar] [CrossRef]
- Wu, B.; Pan, Z.; Ding, D.; Cuiuri, D.; Li, H.; Xu, J.; Norrish, J. A Review of the Wire Arc Additive Manufacturing of Metals: Properties, Defects and Quality Improvement. J. Manuf. Process. 2018, 35, 127–139. [Google Scholar] [CrossRef]
- Liu, L.; Xu, W.; Zhao, Y.; Lin, Z.; Liu, Z.; Dong, Y.; Dong, C. Tailoring the Microstructure and Mechanical Properties of Wire and Arc Additive Manufactured Al–Mg Alloy via Interlayer Friction Stir Processing. J. Mater. Res. Technol. 2023, 25, 1055–1068. [Google Scholar] [CrossRef]
- Cai, X.; Chen, F.; Dong, B.; Lin, S.; Yang, C. Microstructure and Mechanical Properties of GTA-Based Wire Arc Additive Manufactured AZ91D Magnesium Alloy. J. Magnes. Alloys 2024, 12, 3180–3192. [Google Scholar] [CrossRef]
- Carvalho, G.H.S.F.L.; Venturini, G.; Campatelli, G.; Galvanetto, E. Development of Optimal Deposition Strategies for Cladding of Inconel 625 on Carbon Steel Using Wire Arc Additive Manufacturing. Surf. Coat. Technol. 2023, 453, 129128. [Google Scholar] [CrossRef]
- Cong, B.; Qi, Z.; Qi, B.; Sun, H.; Zhao, G.; Ding, J. A Comparative Study of Additively Manufactured Thin Wall and Block Structure with Al-6.3%Cu Alloy Using Cold Metal Transfer Process. Appl. Sci. 2017, 7, 275. [Google Scholar] [CrossRef]
- Mohd Mansor, M.S.; Raja, S.; Yusof, F.; Muhamad, M.R.; Manurung, Y.H.P.; Adenan, M.S.; Hussein, N.I.S.; Ren, J. Integrated Approach to Wire Arc Additive Manufacturing (WAAM) Optimization: Harnessing the Synergy of Process Parameters and Deposition Strategies. J. Mater. Res. Technol. 2024, 30, 2478–2499. [Google Scholar] [CrossRef]
- Yuan, L.; Pan, Z.; Polden, J.; Ding, D.; van Duin, S.; Li, H. Integration of a Multi-Directional Wire Arc Additive Manufacturing System with an Automated Process Planning Algorithm. J. Ind. Inf. Integr. 2022, 26, 100265. [Google Scholar] [CrossRef]
- Ding, J.; Colegrove, P.; Mehnen, J.; Ganguly, S.; Sequeira Almeida, P.M.; Wang, F.; Williams, S. Thermo-Mechanical Analysis of Wire and Arc Additive Layer Manufacturing Process on Large Multi-Layer Parts. Comput. Mater. Sci. 2011, 50, 3315–3322. [Google Scholar] [CrossRef]
- Qiu, Z.; Dong, B.; Wu, B.; Wang, Z.; Carpenter, K.; Wu, T.; Zhang, J.; Wexler, D.; Zhu, H.; Li, H. Tailoring the Surface Finish, Dendritic Microstructure and Mechanical Properties of Wire Arc Additively Manufactured Hastelloy C276 Alloy by Magnetic Arc Oscillation. Addit. Manuf. 2021, 48, 102397. [Google Scholar] [CrossRef]
- Wang, J.; Zhao, B.; Liu, Y.; Zhao, J.; Ma, G. Research Progress in Shape-Control Methods for Wire-Arc-Directed Energy Deposition. Materials 2024, 17, 5704. [Google Scholar] [CrossRef]
- Jia, C.; Liu, W.; Chen, M.; Guo, M.; Wu, S.; Wu, C. Investigation on Arc Plasma, Droplet, and Molten Pool Behaviours in Compulsively Constricted WAAM. Addit. Manuf. 2020, 34, 101235. [Google Scholar] [CrossRef]
- Wang, Y.; Xu, X.; Zhao, Z.; Deng, W.; Han, J.; Bai, L.; Liang, X.; Yao, J. Coordinated Monitoring and Control Method of Deposited Layer Width and Reinforcement in WAAM Process. J. Manuf. Process. 2021, 71, 306–316. [Google Scholar] [CrossRef]
- Mu, H.; Polden, J.; Li, Y.; He, F.; Xia, C.; Pan, Z. Layer-by-Layer Model-Based Adaptive Control for Wire Arc Additive Manufacturing of Thin-Wall Structures. J. Intell. Manuf. 2022, 33, 1165–1180. [Google Scholar] [CrossRef]
- Diao, Z.; Yang, F.; Zhang, Y.; Wang, R.; Chen, L.; He, F.; Wu, Y.; Rong, M. Height Stability Control of CuCrZr Alloy Based on Forming Characteristics and Droplet Transfer Behaviors in Wire Arc Additive Manufacturing. J. Mater. Eng. Perform. 2024, 33, 3237–3248. [Google Scholar] [CrossRef]
- Yang, Z.; Wang, T.; Li, L.; Li, T. Forming method and technology of arc additive manufacturing for thick wall structural parts. Trans. China Weld. Inst. 2019, 40, 100–105. [Google Scholar] [CrossRef]
- Alhakeem, M.M.; Mollamahmutoglu, M.; Yilmaz, O.; Bol, N.; Kara, O.E. A Deposition Strategy for Wire Arc Additive Manufacturing Based on Temperature Variance Analysis to Minimize Overflow and Distortion. J. Manuf. Process. 2023, 85, 1208–1220. [Google Scholar] [CrossRef]
- Spencer, J.D.; Dickens, P.M.; Wykes, C.M. Rapid Prototyping of Metal Parts by Three-Dimensional Welding. Proc. Inst. Mech. Eng. Part B J. Eng. Manuf. 1998, 212, 175–182. [Google Scholar] [CrossRef]
- Xiong, J.; Li, Y.; Li, R.; Yin, Z. Influences of Process Parameters on Surface Roughness of Multi-Layer Single-Pass Thin-Walled Parts in GMAW-Based Additive Manufacturing. J. Mater. Process. Technol. 2018, 252, 128–136. [Google Scholar] [CrossRef]
- Lopes, J.G.; Machado, C.M.; Duarte, V.R.; Rodrigues, T.A.; Santos, T.G.; Oliveira, J.P. Effect of Milling Parameters on HSLA Steel Parts Produced by Wire and Arc Additive Manufacturing (WAAM). J. Manuf. Process. 2020, 59, 739–749. [Google Scholar] [CrossRef]
- Song, Y.-A.; Park, S.; Choi, D.; Jee, H. 3D Welding and Milling: Part I–a Direct Approach for Freeform Fabrication of Metallic Prototypes. Int. J. Mach. Tools Manuf. 2005, 45, 1057–1062. [Google Scholar] [CrossRef]
- Li, B.; Nagaraja, K.M.; Zhang, R.; Malik, A.; Lu, H.; Li, W. Integrating Robotic Wire Arc Additive Manufacturing and Machining: Hybrid WAAM Machining. Int. J. Adv. Manuf. Technol. 2023, 129, 3247–3259. [Google Scholar] [CrossRef]
- Zhong, L.; Feng, T.; Guo, Z.; Jin, B. Research and application of arc additive technology in runner body overflow surface of large hydraulic turbin. Electr. Weld. Mach. 2021, 51, 63–66. [Google Scholar] [CrossRef]
- Fu, Y.; Zhang, H.; Wang, G.; Wang, H. Investigation of Mechanical Properties for Hybrid Deposition and Micro-Rolling of Bainite Steel. J. Mater. Process. Technol. 2017, 250, 220–227. [Google Scholar] [CrossRef]
- Liang, H.; Li, P.; Shen, X.; Chen, L.; Dai, J.; Li, D.; Yang, D. Finite element analysis of the effect of ultrasonic impact on the stress of aluminum alloy arc additive manufacturing. Trans. China Weld. Inst. 2023, 44, 79–85+119. [Google Scholar] [CrossRef]
- Hönnige, J.R.; Colegrove, P.A.; Ganguly, S.; Eimer, E.; Kabra, S.; Williams, S. Control of Residual Stress and Distortion in Aluminium Wire + Arc Additive Manufacture with Rolling. Addit. Manuf. 2018, 22, 775–783. [Google Scholar] [CrossRef]
- Xie, Y.; Zhang, H.; Zhou, F. Improvement in Geometrical Accuracy and Mechanical Property for Arc-Based Additive Manufacturing Using Metamorphic Rolling Mechanism. J. Manuf. Sci. Eng. 2016, 138, 111002. [Google Scholar] [CrossRef]
- Xue, F.; Cui, X.; Zheng, L.; Li, M.; Fang, X. Effects of Laser Remelting on Microstructure and Shear Properties of Bonding Interface in Hybrid Metal Additive Manufacturing Process. Int. J. Adv. Manuf. Technol. 2022, 119, 1267–1281. [Google Scholar] [CrossRef]
- Ko, M.-U.; Da Silveira, M.B.; Gasser, A.; Teichmann, E.; Schopphoven, T.; Häfner, C.L. Investigation and Characterization of a Local Remelting Process for the Improvement of Surface Properties Resulting from Extreme High-Speed Directed Energy Deposition. J. Laser Appl. 2024, 36, 042078. [Google Scholar] [CrossRef]
- GB/T 700–2006; Carbon Structures Steel. General Administration of Quality Supervision, Inspection and Quarantine of the People’s Republic of China & Standardization Administration of the People’s Republic of China: Beijing, China, 2006.
- GB/T 29713-2013; Wire electrodes, strip electrodes, wires and rods for arc welding of stainless and heat resisting steels. Standardization Administration of the People’s Republic of China: Beijing, China, 2013.
- Le, V.T.; Doan, Q.T.; Mai, D.S.; Bui, M.C.; Tran, H.S.; Van Tran, X.; Nguyen, V.A. Prediction and Optimization of Processing Parameters in Wire and Arc-Based Additively Manufacturing of 316L Stainless Steel. J. Braz. Soc. Mech. Sci. Eng. 2022, 44, 394. [Google Scholar] [CrossRef]
- Rodrigues, T.A.; Escobar, J.D.; Shen, J.; Duarte, V.R.; Ribamar, G.G.; Avila, J.A.; Maawad, E.; Schell, N.; Santos, T.G.; Oliveira, J.P. Effect of Heat Treatments on 316 Stainless Steel Parts Fabricated by Wire and Arc Additive Manufacturing: Microstructure and Synchrotron X-Ray Diffraction Analysis. Addit. Manuf. 2021, 48, 102428. [Google Scholar] [CrossRef]
- Shao, T.; Yang, K.; Xia, M.; Guo, W. Techniques and Applications of Chromatic Confocal Microscopy. Lop 2023, 60, 1200001. [Google Scholar] [CrossRef]
- Han, S.-W.; Cho, W.-I.; Na, S.-J.; Kim, C.-H. Influence of Driving Forces on Weld Pool Dynamics in GTA and Laser Welding. Weld World 2013, 57, 257–264. [Google Scholar] [CrossRef]
- Meng, X.; Qin, G.; Zou, Z. Sensitivity of Driving Forces on Molten Pool Behavior and Defect Formation in High-Speed Gas Tungsten Arc Welding. Int. J. Heat Mass Transf. 2017, 107, 1119–1128. [Google Scholar] [CrossRef]
- Wu, F.; Falch, K.V.; Guo, D.; English, P.; Drakopoulos, M.; Mirihanage, W. Time Evolved Force Domination in Arc Weld Pools. Mater. Des. 2020, 190, 108534. [Google Scholar] [CrossRef]
- McKelliget, J.; Szekely, J. Heat Transfer and Fluid Flow in the Welding Arc. Met. Trans A 1986, 17, 1139–1148. [Google Scholar] [CrossRef]
- Mohebbi, M.S.; Kühl, M.; Ploshikhin, V. A Thermo-Capillary-Gravity Model for Geometrical Analysis of Single-Bead Wire and Arc Additive Manufacturing (WAAM). Int. J. Adv. Manuf. Technol. 2020, 109, 877–891. [Google Scholar] [CrossRef]
- Brooks, R.F.; Quested, P.N. The Surface Tension of Steels. J. Mater. Sci. 2005, 40, 2233–2238. [Google Scholar] [CrossRef]
- Li, Z.; Mukai, K.; Zeze, M.; Mills, K.C. Determination of the Surface Tension of Liquid Stainless Steel. J. Mater. Sci. 2005, 40, 2191–2195. [Google Scholar] [CrossRef]
- Su, Y.; Li, Z.; Mills, K.C. Equation to Estimate the Surface Tensions of Stainless Steels. J. Mater. Sci 2005, 40, 2201–2205. [Google Scholar] [CrossRef]
- Ozawa, S.; Morohoshi, K.; Hibiya, T. Influence of Oxygen Partial Pressure on Surface Tension of Molten Type 304 and 316 Stainless Steels Measured by Oscillating Droplet Method Using Electromagnetic Levitation. ISIJ Int. 2014, 54, 2097–2103. [Google Scholar] [CrossRef]
- Kim, C.S. Thermophysical Properties of Stainless Steels; Argonne National Lab: Lemont, IL, USA, 1975. [Google Scholar]
- Tanaka, M.; Lowke, J.J. Predictions of Weld Pool Profiles Using Plasma Physics. J. Phys. D Appl. Phys. 2006, 40, R1. [Google Scholar] [CrossRef]
- Boone, N.; Davies, M.; Willmott, J.R.; Marin-Reyes, H.; French, R. High-Resolution Thermal Imaging and Analysis of TIG Weld Pool Phase Transitions. Sensors 2020, 20, 6952. [Google Scholar] [CrossRef] [PubMed]
- Yang, Y.; Gong, Y.; Li, C.; Wen, X.; Sun, J. Mechanical Performance of 316 L Stainless Steel by Hybrid Directed Energy Deposition and Thermal Milling Process. J. Mater. Process. Technol. 2021, 291, 117023. [Google Scholar] [CrossRef]
- Gong, Y.; Li, P. Analysis of Tool Wear Performance and Surface Quality in Post Milling of Additive Manufactured 316L Stainless Steel. J. Mech. Sci. Technol. 2019, 33, 2387–2395. [Google Scholar] [CrossRef]
- Dabwan, A.; Anwar, S.; Al-Samhan, A.M.; AlFaify, A.; Nasr, M.M. Investigations on the Effect of Layers’ Thickness and Orientations in the Machining of Additively Manufactured Stainless Steel 316 L. Materials 2021, 14, 1797. [Google Scholar] [CrossRef] [PubMed]
- Abbas, A.T.; El Rayes, M.M.; Luqman, M.; Naeim, N.; Hegab, H.; Elkaseer, A. On the Assessment of Surface Quality and Productivity Aspects in Precision Hard Turning of AISI 4340 Steel Alloy: Relative Performance of Wiper vs. Conventional Inserts. Materials 2020, 13, 2036. [Google Scholar] [CrossRef]
- Matsunawa, A.; Ohji, T. Role of Surface Tension in Fusion Welding (Part 1): Hydrostatic Effect. Trans. JWRI 1982, 11, 145–154. [Google Scholar] [CrossRef]
- Zhang, G.; Shi, Y.; Zhu, M.; Fan, D. Arc Characteristics and Metal Transfer Behavior in Narrow Gap Gas Metal Arc Welding Process. J. Mater. Process. Technol. 2017, 245, 15–23. [Google Scholar] [CrossRef]
















| Element | Cr | Ni | Mo | Mn | Si | P | S |
|---|---|---|---|---|---|---|---|
| Content (wt%) | 18.0~20.0 | 10.0~14.0 | 2.0~3.0 | 1.0~2.5 | ≤1.0 | ≤0.045 | ≤0.030 |
| Welding Current (A) | Arc Voltage (V) | Travel Speed (mm/s) | Inter-Layer Cooling Time (s) | Number of WAAM Layers |
|---|---|---|---|---|
| 120 | 18.5 | 5 | 60 | 30 |
| Test No. | Remelting Current (A) | Arc Voltage (V) | Travel Speed (mm/s) | Remelting Spacing (mm) | Remelting Directions |
|---|---|---|---|---|---|
| A1 | 40 | 14 | 1 | 4 | 0° |
| A2 | 60 | 14 | 1 | 4 | 0° |
| A3 | 80 | 14 | 1 | 4 | 0° |
| A4 | 100 | 14 | 1 | 4 | 0° |
| B1 | 80 | 14 | 1 | 3 | 0° |
| B2 | 80 | 14 | 1 | 5 | 0° |
| C1 | 80 | 14 | 1 | 4 | 45° |
| C2 | 80 | 14 | 1 | 4 | 90° |
| Methods | Machining | Laser Remelting | TIGAR | Controlling the WAAM Process | Rolling |
|---|---|---|---|---|---|
| Advantages | High surface quality | Convenient for regulating the heat source | Low cost Robust as discussed in Section 3.2 Similar surface quality as expensive laser remelting method Flexibility and adaptability | No additional processes or time other than WAAM itself are required. | 1. It can improve microstructure and properties; 2. It is more suitable for eliminating deformation of parts. |
| Limitations | 1. It cannot be easily applied to large-scale components, as discussed in the 5th paragraph of Section 1. 2. It produces cutting waste. | 1. Difficult to make the surface look “flat” to the naked eye 2. Expensive | Difficult to make the surface look “flat” to the naked eye | It is hard to eliminate the undulating profile with alternating ridges and valleys on the surface of the WAAM parts because the inherent characteristics of the WAAM process. | 1. It Is hard to be applied to complex shapes that involve close features and intersections; 2. It cannot be easily applied to large-scale components; 3. It is difficult to make the surface look “flat” to the naked eye, (for the cooled sides of wall parts). |
| Efficiency | Calculated via Equation (10): NG × 16/(H/0.3) mm2/s [51]; NG × 0.2/(H/0.5) mm2/s with thermal milling [50]; 2.4 × 0.83/(H/0.4) mm2/s [52]. (NG means “Not Given”.) | Similarly to or faster than TIGAR | Calculated via Equation (11): 1 × 4 mm2/s | No additional time other than WAAM itself, but some methods, such as utilizing lower current, will decrease the WAAM efficiency. | Faster than remelting, but there is a lack of specific data on the processing efficiency. |
| Post-processing quality (the maximum height difference in surface) | In the range of several micrometers | Similarly to TIGAR [31,32] | Less than 300 micrometers | In the range of several millimeters | In the range of several hundred micrometers (1~2 hundred micrometers for hot rolling [30]) |
| Cost | Operating power: tens of kilowatts | Cost for equipment: tens of thousands of dollars Operating power: several kilowatts | Cost for equipment: tens of thousands of dollars Operating power: 1~2 kilowatts | 0~thousands of dollars | Cost for equipment: thousands of dollars Operating power: several kilowatts |
Disclaimer/Publisher’s Note: The statements, opinions and data contained in all publications are solely those of the individual author(s) and contributor(s) and not of MDPI and/or the editor(s). MDPI and/or the editor(s) disclaim responsibility for any injury to people or property resulting from any ideas, methods, instructions or products referred to in the content. |
© 2024 by the authors. Licensee MDPI, Basel, Switzerland. This article is an open access article distributed under the terms and conditions of the Creative Commons Attribution (CC BY) license (https://creativecommons.org/licenses/by/4.0/).
Share and Cite
Zhao, B.; Liu, Y.; Kang, Q.; Zhao, J.; Ma, G.; Wang, J. Research on a Low-Cost, Low-Waste Method for Surface Flatness Improvement of WAAM Components Based on Tungsten Inert Gas Arc Remelting (TIGAR). Materials 2025, 18, 127. https://doi.org/10.3390/ma18010127
Zhao B, Liu Y, Kang Q, Zhao J, Ma G, Wang J. Research on a Low-Cost, Low-Waste Method for Surface Flatness Improvement of WAAM Components Based on Tungsten Inert Gas Arc Remelting (TIGAR). Materials. 2025; 18(1):127. https://doi.org/10.3390/ma18010127
Chicago/Turabian StyleZhao, Bo, Yuanlin Liu, Qingyuan Kang, Junjie Zhao, Guangyu Ma, and Jie Wang. 2025. "Research on a Low-Cost, Low-Waste Method for Surface Flatness Improvement of WAAM Components Based on Tungsten Inert Gas Arc Remelting (TIGAR)" Materials 18, no. 1: 127. https://doi.org/10.3390/ma18010127
APA StyleZhao, B., Liu, Y., Kang, Q., Zhao, J., Ma, G., & Wang, J. (2025). Research on a Low-Cost, Low-Waste Method for Surface Flatness Improvement of WAAM Components Based on Tungsten Inert Gas Arc Remelting (TIGAR). Materials, 18(1), 127. https://doi.org/10.3390/ma18010127

