Comparative Analysis of Temperature and Stress Simulations in Mass Concrete for Sluice Gate Structures Based on Chinese and American Standards
Abstract
1. Introduction
2. Calculation Parameters Under Chinese and U.S. Standards
2.1. Surface Heat Dissipation Coefficient
2.2. Creep Model
2.3. Adiabatic Temperature Rise Model
3. Temperature and Stress Field Simulation
3.1. Project Overview
3.2. Calculation Parameters
3.3. Boundary Conditions
3.4. Construction Schedule
3.5. Finite Element Model
3.6. Selection of Key Points
4. Comparison of Calculation Results
4.1. Temperature Field Calculation Results
4.1.1. Temperature Field Contour Plot
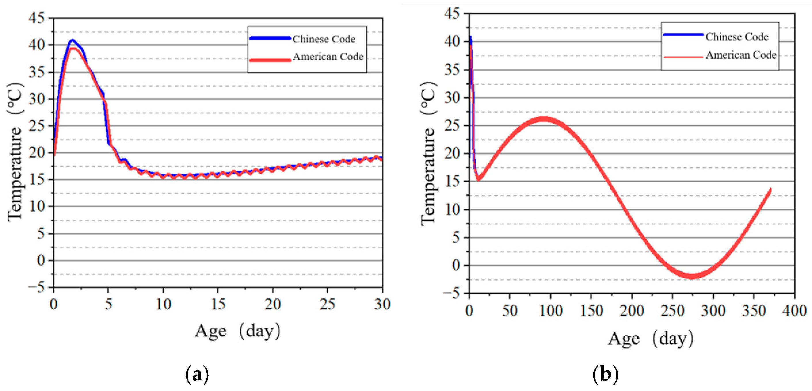
4.1.2. Temperature–Time History Curve Analysis of Key Points
4.2. Comparison of Stress Field Calculation Results
4.2.1. Stress Field Contour Plot
4.2.2. Stress–Time History Curve Analysis of Key Points
5. Conclusions
- (1)
- The temperature field calculation results show that the temperature difference between the interior and exterior of the structure calculated according to the Chinese code is higher than that calculated according to the U.S. code, with a difference range of 0.18 °C to 1.25 °C. This discrepancy is mainly attributed to the higher surface heat dissipation coefficient in the Chinese code, which results in a greater temperature gradient. Additionally, the maximum temperature of the structure calculated under the Chinese code is also higher than that under the U.S. code. The temperature field calculations indicate that the Chinese code exhibits greater sensitivity in predicting high-temperature risks, and has a greater safety margin, providing stricter temperature control guidelines for mass concrete projects with potential high-temperature hazards.
- (2)
- Compared with the Chinese code, the American code incorporates the concept of the aging coefficient in its creep calculation model. This coefficient increases the creep of concrete, thereby indirectly raising the tensile stress of the structure. The stress field calculations show that the maximum tensile stress of the structure under the American code are higher than those under the Chinese code, with an increase ranging from 0.02 to 0.56 MPa. This suggests that the American code places greater emphasis on the potential impact of long-term concrete creep on structural performance.
- (3)
- The temperature and stress field calculations under both codes exhibit similar overall trends. Both codes effectively capture the variations in the temperature and stress fields of the water gate during the early-age period and throughout the entire calculation duration. These findings provide safer and more cost-effective temperature control design solutions for international engineering projects. Furthermore, the results serve as foundational data to support the optimization of national codes and the future development of more unified and universally applicable international standards.
Author Contributions
Funding
Institutional Review Board Statement
Informed Consent Statement
Data Availability Statement
Conflicts of Interest
Appendix A
| ABAQUS Installation Version | Compatible IVF Versions | Compatible vs. Versions |
|---|---|---|
| 6.13 | V10.1, v11.0, v11.1 and above | 2008, 2010, 2012 |
| 6.14 | 2011, 2013 | 2010, 2012, 2013 |
| 2016 | 2013 | 2012, 2013 |
| 2017 | 2013 | 2012, 2013 |
| 2018, 2019, 2020 | 2016 | 2015 |



| Age | 1 d | 3 d | 5 d | 7 d | 14 d | 28 d | 56 d | 90 d |
|---|---|---|---|---|---|---|---|---|
| Numerical Solution of Temperature | 8.62 | 15.35 | 18.46 | 18.58 | 13.71 | 6.18 | 1.23 | 0.173 |
| Theoretical Solution of Temperature | 8.74 | 15.94 | 19.24 | 19.27 | 14.01 | 6.29 | 1.25 | 0.177 |
| Error | 0.12 | 0.59 | 0.78 | 0.69 | 0.3 | 0.11 | 0.02 | 0.004 |
| Relative Error | 1.37% | 3.70% | 4.05% | 3.58% | 2.14% | 1.74% | 1.60% | 2.25% |
| Indicator | Value | Unit |
|---|---|---|
| Density | 2400 | kg/m3 |
| Average Compressive Strength | MPa | |
| Poisson’s Ratio | 0.167 | |
| Linear Expansion Coefficient | 0.000008 | 10−6/°C |
| Thermal Conductivity | 9.18 | kJ/(m h·°C) |
| Specific Heat | 0.887 | kJ/(kg·°C) |
| Hydration Temperature Rise Model | °C | |
| Young’s Modulus | MPa |



References
- Li, B.; Wang, Z.; Jiang, Y.; Zhu, Z. Temperature control and crack prevention during construction in steep slope dams and stilling basins in high-altitude areas. Adv. Mech. Eng. 2018, 10, 1–15. [Google Scholar] [CrossRef]
- Gagg, C.R. Cement and Concrete as an Engineering Material: An Historic Appraisal and Case Study Analysis. Eng. Fail. Anal. 2014, 40, 114–140. [Google Scholar] [CrossRef]
- Sayed-Ahmed, E.Y.; Abdelrahman, A.A.; Embaby, R.A.; Mahabad, N.M.; Imam, R.; Javanmardi, Y.; Jalali, H.; Quivik, F.L.; Zhu, B. Concrete Dams: Thermal-Stress and Construction Stage Analysis. Dams Reserv. 2017, 28, 12–30. [Google Scholar] [CrossRef]
- GB 50496-2018; Standard for Construction of Mass Concrete. China Architecture and Building Press: Beijing, China, 2018. (In Chinese)
- BS 882:1992; Specification for Aggregates from Natural Sources for Concrete. British Standards Institution: London, UK, 1992.
- DIN 1045-1:2008; Concrete, Reinforced and Prestressed Concrete Structures-Part 1: Design and Construction. German Institute for Standardization: Berlin, Germany, 2008.
- ACI 116R-00; Cement and Concrete Terminology. American Concrete Institute: Indianapolis, MI, USA, 2020.
- JGCE Guidelines for Concrete No.15; Standard Specifications for Concrete Structures-2007 “Design”. Japan Society of Civil Engineers: Tokyo, Japan, 2010.
- Zhu, B. Thermal Stresses and Temperature Control of Mass Concrete; Butterworth-Heinemann: Oxford, UK, 2013. [Google Scholar]
- Zhu, J.; Wang, Z. Experimental Modeling and Quantitative Evaluation of Mitigating Cracks in Early-Age Mass Concrete by Regulating Heat Transfer. J. Build. Eng. 2024, 96, 110641. [Google Scholar] [CrossRef]
- Bourchy, A.; Barnes, L.; Bessette, L.; Chalencon, F.; Joron, A.; Torrenti, J.M. Optimization of Concrete Mix Design to Account for Strength and Hydration Heat in Massive Concrete Structures. Cem. Concr. Compos. 2019, 103, 233–241. [Google Scholar] [CrossRef]
- Li, M.; Xu, W.; Wang, Y.; Tian, Q.; Liu, J. Shrinkage Crack Inhibiting of Cast in Situ Tunnel Concrete by Double Regulation on Temperature and Deformation of Concrete at Early Age. Constr. Build. Mater. 2020, 240, 117834. [Google Scholar] [CrossRef]
- Hu, Y.; Chen, J.; Zou, F.; He, M.; Mao, J.; Liu, X.; Zhou, C.; Yuan, Z. A Comparative Study of Temperature of Mass Concrete Placed in August and November Based on On-Site Measurement. Case Stud. Constr. Mater. 2021, 15, e00694. [Google Scholar] [CrossRef]
- El-Mir, A.; Assaad, J.J.; Nehme, S.G.; El-Hassan, H. Correlating Strength and Durability to Time-Temperature Profiles of High-Performance Mass Concrete. Case Stud. Constr. Mater. 2022, 16, e01055. [Google Scholar] [CrossRef]
- Younis, K.H.; Pilakoutas, K. Assessment of Post-Restrained Shrinkage Mechanical Properties of Concrete. ACI Mater. J. 2016, 113, 267–276. [Google Scholar] [CrossRef][Green Version]
- Hong, Y.; Lin, J.; Chang, A. Numerical Analysis of Heat Transfer in Mass Concrete Embedded with Multi-Pipes via a Fast Double-Layer Model Based on Generalized Finite Difference Method. Int. Commun. Heat Mass Transf. 2024, 158, 107911. [Google Scholar] [CrossRef]
- Ma, J.; He, Z. Business Environment and Quality of Economic Development–Evidence from Countries along the Belt and Road. Financ. Res. Lett. 2024, 69, 106021. [Google Scholar] [CrossRef]
- Sharma, S.; Waldman, J.; Afshari, S.; Fekete, B. Status, Trends and Significance of American Hydropower in the Changing Energy Landscape. Renew. Sustain. Energy Rev. 2019, 101, 112–122. [Google Scholar] [CrossRef]
- Chen, B.; He, M.; Huang, Z.; Wu, Z. Long-Tern Field Test and Numerical Simulation of Foamed Polyurethane Insulation on Concrete Dam in Severely Cold Region. Constr. Build. Mater. 2019, 212, 618–634. [Google Scholar] [CrossRef]
- FCR COE ETL 1110-2-542; Thermal Studies of Mass Concrete Structures. United States Army Corps of Engineers: Washington, DC, USA, 2006.
- Zhu, B. Implicit solutions for the analysis of creep stresses in concrete structures. J. Hydraul. Eng. 1983, 5, 40–46. (In Chinese) [Google Scholar]
- ACI 209.2R; Guide for Modeling and Calculating Shrinkage and Creep in Hardened Concrete. American Concrete Institute: Indianapolis, MI, USA, 2008; Volume 209, p. 76.
- ACI 209R-92; Prediction of Creep, Shrinkage, and Temperature Effects in Concrete Structures. American Concrete Institute: Indianapolis, MI, USA, 1997.
- Bazant, Z.P.; Baweja, S. Creep and shrinkage prediction model for analysis and design of concrete structures: Model B3. ACI Spec. Publ. 2000, 194, 1–84. [Google Scholar]
- Gardner, N.J.; Lockman, M.J. Design provisions for drying shrinkage and creep of normal-strength concrete. Mater. J. 2001, 98, 159–167. [Google Scholar]
- Zhang, R. Evaluation of Current Concrete Creep Prediction Models. Master’s Thesis, University of Toledo, Toledo, OH, USA, 2016. [Google Scholar]
- Riding, K.A.; Poole, J.L.; Schindler, A.K.; Juenger, M.C.; Folliard, K.J. Evaluation of temperature prediction methods for mass concrete members. ACI Mater. J. 2006, 103, 357–365. [Google Scholar]
- Kosmatka, S.H.; Wilson, M.L. Design and Control of Concrete Mixtures: The guide to applications, methods, and materials. Air Entrain. Concr. 2011, 358, 323–325. [Google Scholar]
- ACI Committee 207; Tatro, S.B. Report on Thermal and Volume Change Effects on Cracking of Mass Concrete. American Concrete Institute: Indianapolis, MI, USA, 2007.
- ACI 207.1R; Guide to Mass Concrete. American Concrete Institute: Indianapolis, MI, USA, 2006.


























| Calculation Formula | ||
|---|---|---|
| Chinese Standard [4] | (2) | |
| American Standard (ACI 209) [22] | (3) | |
| American Standard (B3) [22] | (4) | |
| American Standard (GL 2000) [22] | (5) | |
| Calculation Formula | ||
|---|---|---|
| Chinese standard (Exponential model) [4] | (6) | |
| Chinese standard (Hyperbolic model) [4] | (7) | |
| Chinese standard (Composite exponential model) [4] | (8) | |
| American standard (Maximum Allowable Temperature Difference Method) [23] | (9) | |
| American standard (PCA Method) [23] | (10) | |
| American standard (Schmidt Temperature Gradient Method) [23] | (11) | |
| Cement Type | ||
|---|---|---|
| Ordinary Portland Cement 425# | 0.69 | 0.56 |
| Ordinary Portland Cement 525# | 0.36 | 0.74 |
| Slag Portland Cement for Dams 425# | 0.29 | 0.76 |
| Ordinary Portland Cement for Dams 525# | 0.79 | 0.70 |
| Cement Type | Fineness (cm2/g) | Heat of Hydration Calories per g |
|---|---|---|
| I | 1790 | 87 |
| Ⅱ | 1890 | 76 |
| Ⅲ | 2030 | 106 |
| Ⅳ | 1910 | 60 |
| Material | Thermal Conductivity (kJ/(m· h·°C)) | Specific Heat (kJ/(kg·°C)) | Thermal Diffusivity (m2/h) | Linear Expansion Coefficient (10−6/°C) | Poisson’s Ratio | Density (kg/m3) | Young’s Modulus (GPa) | |
|---|---|---|---|---|---|---|---|---|
| Foundation | Soil | 2.41 | 1.91 | 0.0012 | 0.80 × 10−5 | 0.22 | 1830 | 0.1 |
| Rock | 10.50 | 0.81 | 0.0055 | 0.85 × 10−5 | 0.19 | 2680 | 20 | |
| Concrete | C15 | 9.663 | 0.924 | 0.00445 | 8.6 × 10−6 | 0.167 | 2350 | |
| C30 | 9.465 | 0.913 | 0.00439 | 9.0 × 10−6 | 0.167 | 2360 | ||
| C35 | 9.381 | 0.902 | 0.00437 | 9.5 × 10−6 | 0.167 | 2381 | ||
| Month | 1 | 2 | 3 | 4 | 5 | 6 | 7 | 8 | 9 | 10 | 11 | 12 |
|---|---|---|---|---|---|---|---|---|---|---|---|---|
| Measured values (°C) | −3 | −1.4 | 5.8 | 11.5 | 17.2 | 21.8 | 25.9 | 27.2 | 20.5 | 13.2 | 7.5 | 0 |
| No. | Name | Schedule | Initial Temperature (°C) |
|---|---|---|---|
| 1 | Cushion | 12.20 | 8 |
| 2 | Base plate | 12.30 | 8 |
| 3 | Gate pier | 4.10 | 19.5 |
| Key Points | A | B | C | D | E | F | G |
|---|---|---|---|---|---|---|---|
| X | 2.95 | 3.75 | 0.35 | 0.00 | 0.75 | 0.00 | 0.00 |
| Y | 9.73 | 8.25 | 9.73 | 9.73 | 12.93 | 13.87 | 3.10 |
| Z | 2.00 | 1.47 | 3.38 | 3.86 | 2.90 | 3.38 | 3.38 |
| Section | Internal Maximum Temperature | Temperature Difference Between Surface and Interior | ||
|---|---|---|---|---|
| Chinese Code | American Code | Chinese Code | American Code | |
| X = 0 (1 day after pier pouring) | 56.16 | 55.93 | 17.55 | 17.37 |
| Y = 10 (1 day after pier pouring) | 47.52 | 46.21 | 8.68 | 7.43 |
| Y = 10 (5 days after slab pouring) | 33.16 | 32.79 | 19.18 | 18.84 |
| Z = 0.95 (5 days after slab pouring) | 34.16 | 33.48 | 20.44 | 19.80 |
| Section | Maximum Tensile Stress (MPa) | ||
|---|---|---|---|
| Chinese Code | U.S. Code | Difference | |
| X = 0 | 6.95 | 7.39 | 0.44 |
| Y = 10 | 4.94 | 5.20 | 0.26 |
| Z = 0.95 | 1.62 | 1.83 | 0.21 |
Disclaimer/Publisher’s Note: The statements, opinions and data contained in all publications are solely those of the individual author(s) and contributor(s) and not of MDPI and/or the editor(s). MDPI and/or the editor(s) disclaim responsibility for any injury to people or property resulting from any ideas, methods, instructions or products referred to in the content. |
© 2024 by the authors. Licensee MDPI, Basel, Switzerland. This article is an open access article distributed under the terms and conditions of the Creative Commons Attribution (CC BY) license (https://creativecommons.org/licenses/by/4.0/).
Share and Cite
Zhang, J.; Zhou, D.; He, X.; Hu, X.; Qiang, S. Comparative Analysis of Temperature and Stress Simulations in Mass Concrete for Sluice Gate Structures Based on Chinese and American Standards. Materials 2025, 18, 100. https://doi.org/10.3390/ma18010100
Zhang J, Zhou D, He X, Hu X, Qiang S. Comparative Analysis of Temperature and Stress Simulations in Mass Concrete for Sluice Gate Structures Based on Chinese and American Standards. Materials. 2025; 18(1):100. https://doi.org/10.3390/ma18010100
Chicago/Turabian StyleZhang, Jiaming, Dan Zhou, Xiangyu He, Xing Hu, and Sheng Qiang. 2025. "Comparative Analysis of Temperature and Stress Simulations in Mass Concrete for Sluice Gate Structures Based on Chinese and American Standards" Materials 18, no. 1: 100. https://doi.org/10.3390/ma18010100
APA StyleZhang, J., Zhou, D., He, X., Hu, X., & Qiang, S. (2025). Comparative Analysis of Temperature and Stress Simulations in Mass Concrete for Sluice Gate Structures Based on Chinese and American Standards. Materials, 18(1), 100. https://doi.org/10.3390/ma18010100
