Theoretical Study of the Phonon and Electrical Conductivity Properties of Pure and Sr-Doped LaMnO3 Thin Films
Abstract
1. Introduction
2. The Model
3. Numerical Results and Discussion
3.1. Film Thickness Dependence of the Phonon Energy and Damping of the A1g Mode 495 cm−1 in Pure and Sr-Doped LMO Thin Films
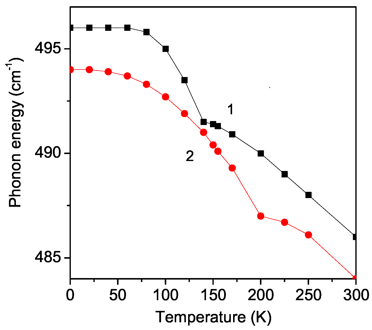
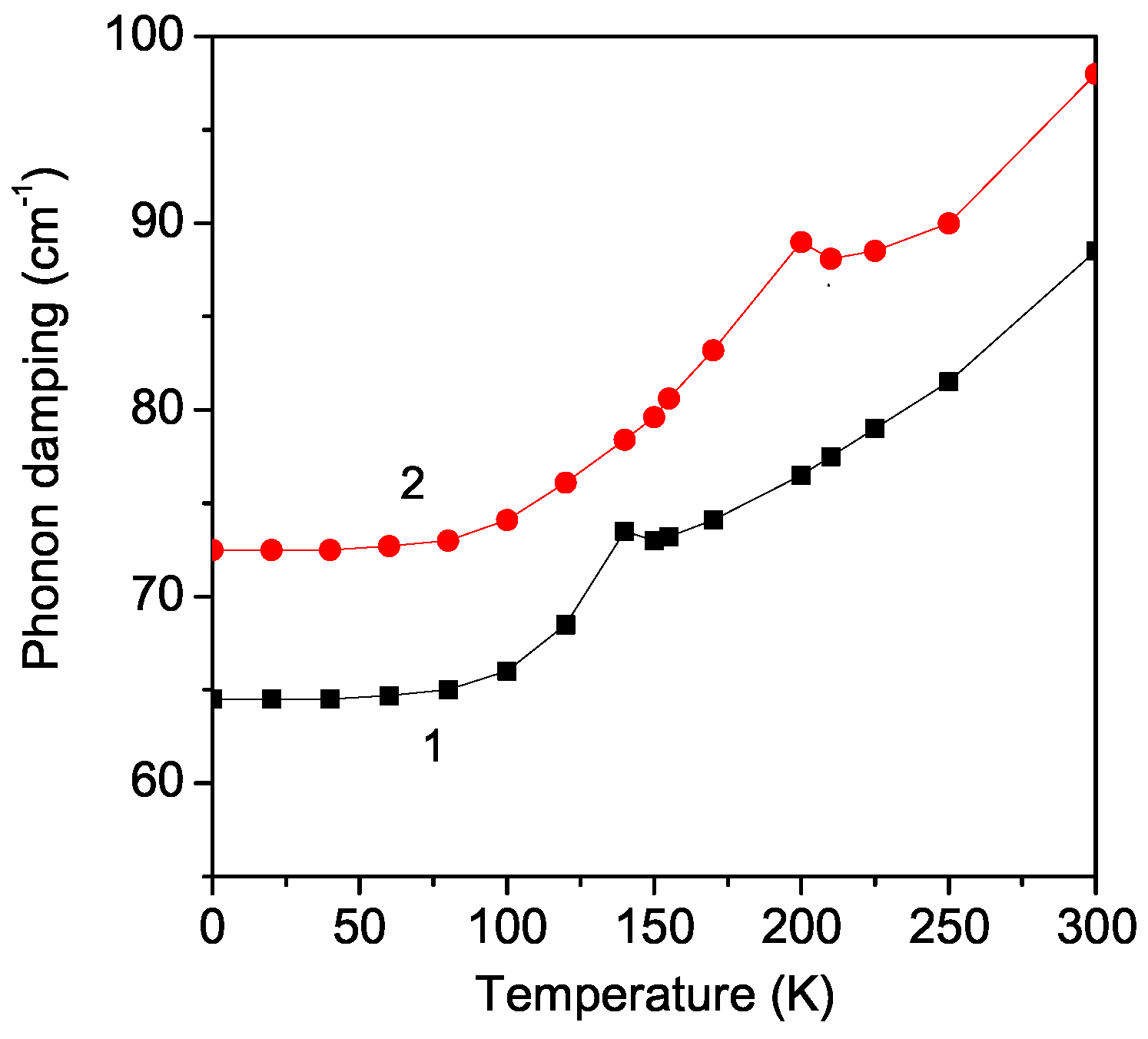
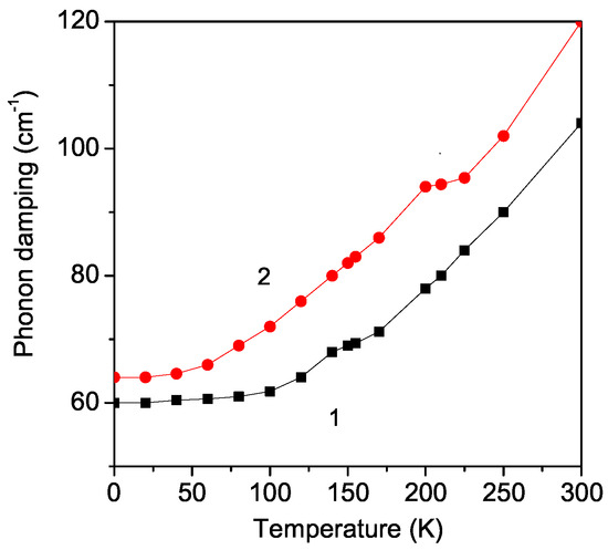
3.2. Temperature Dependence of the Phonon Energy and Damping of the A1g Mode 495 cm−1 in Pure and Sr-Doped LMO Thin Films
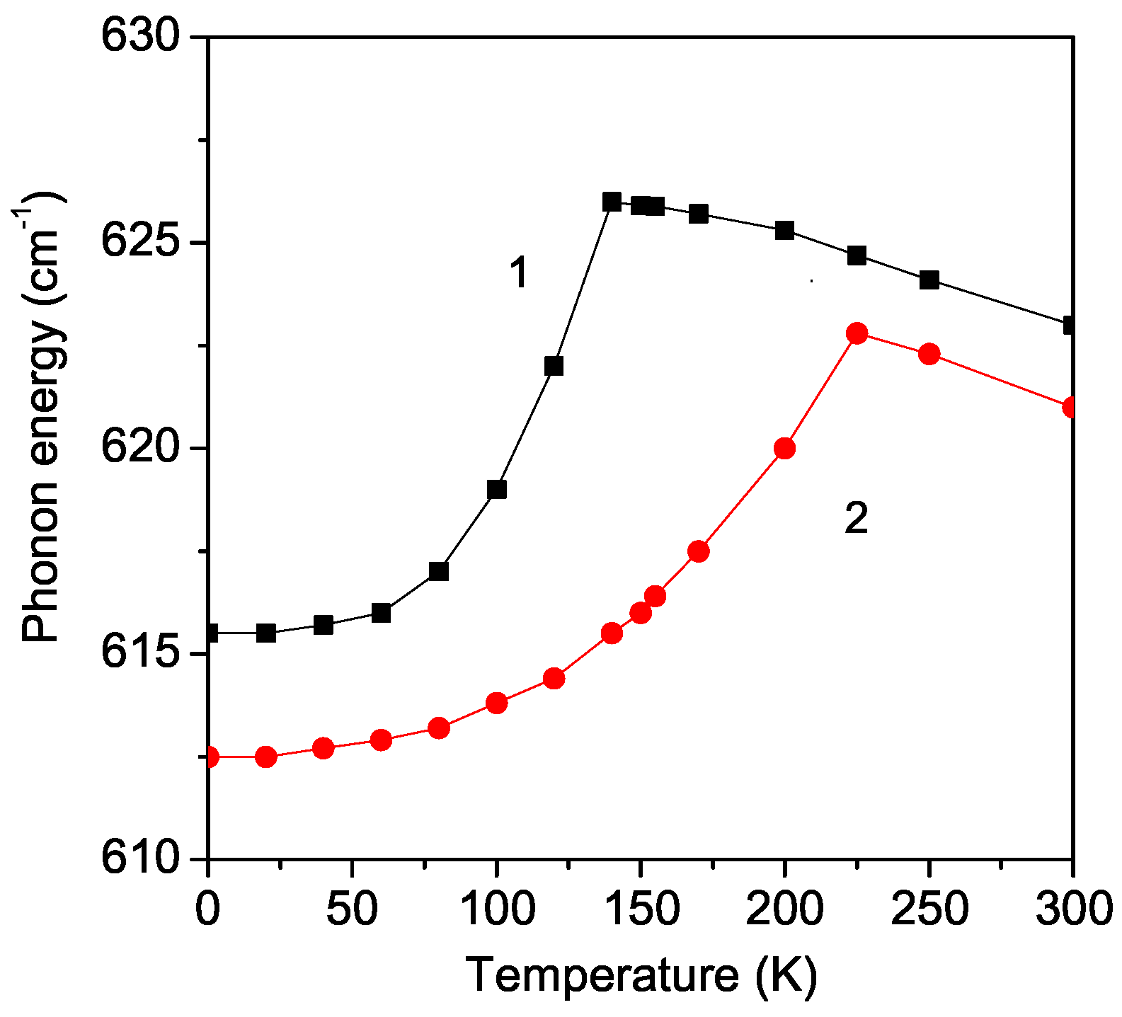
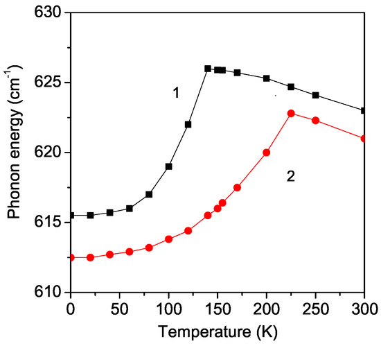
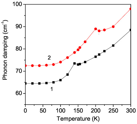
3.3. Temperature Dependence of the Phonon Energy and Damping of the B2g Mode 614 cm−1 in Pure and Sr-Doped LMO Thin Films
3.4. Sr Doping Effect in LMO Thin Films on the Electrical Conductivity
4. Conclusions
Author Contributions
Funding
Institutional Review Board Statement
Informed Consent Statement
Data Availability Statement
Conflicts of Interest
References
- Koriba, I.; Lagoun, B.; Guibadj, A.; Belhadj, S.; Ameur, A.; Cheriet, A. Structural, electronic, magnetic and mechanical properties of three LaMnO3 phases: Theoretical investigations. Comput. Condens. Matter 2021, 29, e00592. [Google Scholar] [CrossRef]
- Khomskii, D.I.; Sawatzky, G.A. Interplay between spin, charge and orbital degrees of freedom in magnetic oxides. Solid State Commun. 1997, 102, 87. [Google Scholar] [CrossRef]
- Hess, F.; Yildiz, B. Precipitation of dopants on acceptor-doped LaMnO3 revealed by defect chemistry from first principles. J. Chem. Phys. 2021, 154, 064702. [Google Scholar] [CrossRef] [PubMed]
- Gupta, K.; Thakur, O.P.; Kumar, M. Effect of A-Site Substitution on LaMnO3 Perovskite via Sr Ions for Energy Applications. J. Electron. Mater. 2023, 52, 4279–4288. [Google Scholar] [CrossRef]
- Marton, Z.; Seo, S.S.A.; Egami, T.; Lee, H.N. Growth control of stoichiometry in LaMnO3 epitaxial thin films by pulsed laser deposition. J. Cryst. Growth 2010, 312, 2923. [Google Scholar] [CrossRef]
- Wesselinowa, J.M. Size and anisotropy effects on magnetic properties of antiferromagnetic nanoparticles. J. Magn. Magn. Mater. 2010, 322, 234. [Google Scholar] [CrossRef]
- Jonker, G.; van Santen, J. Ferromagnetic compounds of manganese with perovskite structure. Physica 1950, 16, 337. [Google Scholar] [CrossRef]
- Kovaleva, N.N.; Kusmartseva, O.E.; Kugel, K.I.; Maksimov, A.A.; Nuzhnyy, D.; Balbashov, A.M.; Demikhov, E.I.; Dejneka, A.; Trepakov, V.A.; Kusmartsev, F.V.; et al. Anomalous multi-order Raman scattering in LaMnO3: A signature of quantum lattice effects in a Jahn–Teller crystal. J. Phys. Condens. Matter 2013, 25, 155602. [Google Scholar] [CrossRef] [PubMed]
- Sidorov, T.A. Identification of complex anions in La1-xAxMnO3 manganites (A = Ca, Sr) from neutron diffraction data and refinement of their structures on the basis of raman spectroscopy data. Russian J. Inorg. Chem. 2013, 58, 706. [Google Scholar] [CrossRef]
- Podobedov, V.B.; Weber, A.; Romero, D.B.; Rice, J.P.; Drew, H.D. Raman scattering in La1-xSrxMnO3 single crystals (x = 0, 0.1, 0.2, 0.3). Solid State Commun. 1998, 105, 589. [Google Scholar] [CrossRef]
- Choi, K.-Y.; Lemmens, P.; Sahaoui, T.; Güntherodt, G.; Pashkevich, Y.G.; Gnezdilov, V.P.; Reutler, P.; Pinsard-Gaudart, L.; Buechner, B.; Revcolevschi, A. Existence of orbital polarons in ferromagnetic insulating La1-xSrxMnO3(0.11 < x < 0.14) revealed by giant phonon softening. Phys. Rev. B 2005, 71, 174402. [Google Scholar] [CrossRef]
- Aruta, C.; Angeloni, M.; Balestrino, G.; Boggio, N.G.; Medaglia, P.G.; Tebano, A.; Davidson, B.; Baldini, M.; Di Castro, D.; Postorino, P.; et al. Preparation and characterization of LaMnO3 thin films grown by pulsed laser deposition. J. Appl. Phys. 2006, 100, 023910. [Google Scholar] [CrossRef]
- Safarina, G.A.; Kim, Y.-J.; Park, H.-S.; Yang, C.-H. Raman spectroscopy of the Jahn-Teller phonons in a magnetic LaMnO3 thin film grown on KTaO3. J. Appl. Phys. 2022, 131, 025302. [Google Scholar] [CrossRef]
- Chaturvedi, A.; Sathe, V. Thickness dependent Raman study of epitaxial LaMnO3 thin films. Thin Solid Films 2013, 548, 75. [Google Scholar] [CrossRef]
- Dubey, A.; Sathe, V.G. The effect of magnetic order and thickness in the Raman spectra of oriented thin films of LaMnO3. J. Phys. Condens. Matter 2007, 19, 346232. [Google Scholar] [CrossRef]
- Hernandez, E.; Sagredo, V.; Delgado, G.E. Synthesis and magnetic characterization of LaMnO3 nanoparticles. Rev. Mex. Fis. 2015, 61, 166. Available online: https://api.semanticscholar.org/CorpusID:56081270 (accessed on 22 April 2024).
- Rodriguez-Lamas, R.; Pla, D.; Chaix-Pluchery, O.; Meunier, B.; Wilhelm, F.; Rogalev, A.; Rapenne, L.; Mescot, X.; Rafhay, O.; Roussel, H.; et al. Integration of LaMnO3 films on platinized silicon substrates for resistive switching applications by PI-MOCVD. Beilstein J. Nanotechn. 2019, 10, 389. [Google Scholar] [CrossRef]
- Saleem, M.; Varshney, D. Structural, thermal, and transport properties of La0.67Sr0.33MnO3 nanoparticles synthesized via the sol-gel auto-combustion technique. RSC Adv. 2018, 8, 1600. [Google Scholar] [CrossRef]
- Helton, J.S.; Zhao, Y.; Shulyatev, D.A.; Lynn, J.W. Damping and softening of transverse acoustic phonons in colossal magnetoresistive La0.7Ca0.3MnO3 and La0.7Sr0.3MnO3. Phys. Rev. B 2019, 99, 024407. [Google Scholar] [CrossRef]
- Mayr, F.; Hartinger, C.; Loidl, A. Structural aspects of the phonon spectra of La1-xSrxMnO3. Phys. Rev. B 2005, 72, 024425. [Google Scholar] [CrossRef]
- Bjornsson, P.; Ruebhausen, M.; Backstrom, J.; Kall, M.; Eriksson, S.; Eriksen, J.; Borjesson, L. Lattice and charge excitations in La1-xSrxMnO3. Phys. Rev. B 2000, 61, 1193. [Google Scholar] [CrossRef]
- Wdowik, U.D.; Koza, M.M.; Chatterji, T. Phonons in lanthanum manganite: Inelastic neutron scattering and density functional theory studies. Phys. Rev. B 2012, 86, 174305. [Google Scholar] [CrossRef]
- Talati, M.; Jha, P.K. Structure dependent phonon properties of LaMnO3. Comput. Mater. Sci. 2006, 37, 64. [Google Scholar] [CrossRef]
- Rini, E.G.; Rao, M.N.; Chaplot, S.L.; Gaur, N.K.; Singh, R.K. Phonon dynamics of lanthanum manganite LaMnO3 using an interatomic shell model potential. Phys. Rev. B 2007, 75, 214301. [Google Scholar] [CrossRef]
- Tserkovnikov, Y.A. Decoupling of chains of equations for two-time Green’s functions. Theor. Math. Phys. 1971, 7, 511. [Google Scholar] [CrossRef]
- Naji, S.; Benyoussef, A.; El Kenz, A.; Ez-Zahraouy, H.; Loulidi, M. Monte Carlo study of phase transitions and magnetic properties of LaMnO3. Phys. Stat. Mech. Its Appl. 2011, 13, 38. [Google Scholar]
- Zheng, F.; Pederson, L.R. Phase Behavior of Lanthanum Strontium Manganites. J. Electrochem. Soc. 1999, 146, 2810. [Google Scholar] [CrossRef]
- Wang, T.; Wu, H.-Y.; Sun, Y.-B.; Xing, R.; Xv, B.; Zhao, J.-J. Physical Properties of Sr-Doped Double Perovskite La2NiMnO6. J. Supercond. Nov. Magn. 2020, 33, 727. [Google Scholar] [CrossRef]
- Kharlamova, M.V.; Arulraj, A. Phase transition in nanostructured LaMnO3. JETP Lett. 2009, 89, 301–305. [Google Scholar] [CrossRef]
- Vukmirovic, J.; Joksovic, S.; Piper, D.; Nesterovic, A.; Novakovic, M.; Rakic, S.; Milanovic, M.; Srdic, V.V. Epitaxial growth of LaMnO3 thin films on different single crystal substrates by polymer assisted deposition. Ceram. Int. 2023, 49, 2366–2372. [Google Scholar] [CrossRef]
- Daoudi, K.; El-Helali, S.; Othmen, Z.; Suleiman, B.M.; Tsuchiya, T. Microstructure and electrical transport mechanisms of the Ca-doped LaMnO3 films grown on MgO substrate. J. Mater. 2020, 6, 17–23. [Google Scholar] [CrossRef]
- Dore, P.; Postorino, P.; Sacchetti, A.; Baldini, M.; Giambelluca, R.; Angeloni, M.; Balestrino, G. Raman measurements on thin films of the La0.7Sr0.3MnO3 manganite: A probe of substrate-induced effects. Eur. Phys. J. B 2005, 48, 255. [Google Scholar] [CrossRef]
- Dimri, M.C.; Khanduri, H.; Mere, A.; Stern, R. Studies of doped LaMnO3 samples prepared by citrate combustion process. AIP Conf. Proc. 2018, 1942, 130015. [Google Scholar] [CrossRef]
- Dimri, M.C.; Khanduri, H.; Stern, R. Effects of aliovalent dopants in LaMnO3: Magnetic, structural and transport properties. J. Magn. Magn. Mater. 2021, 536, 168111. [Google Scholar] [CrossRef]
- Ahmad, T.; Ramanujachary, K.V.; Lofland, S.E.; Ganguli, A.K. Reverse micellar synthesis and properties of nanocrystalline GMR materials (LaMnO3, La0.67Sr0.33MnO3 and La0.67Ca0.33MnO3): Ramifications of size considerations. J. Chem. Sci. 2006, 118, 513–518. [Google Scholar] [CrossRef]
- Granado, E.; Sanjurjo, J.A.; Rettori, C.; Neumeier, J.J.; Oseroff, S.B. Order-disorder in the Jahn-Teller transition of LaMnO3: A Raman scattering study. Phys. Rev. B 2000, 62, 11304. [Google Scholar] [CrossRef]
- Podobedov, V.B.; Weber, A.; Romero, D.L.; Rice, J.P.; Drew, H.D. Effect of structural and magnetic transitions in La1-xMxMnO3 (M = Sr, Ca) single crystals in Raman scattering. Phys. Rev. B 1998, 58, 43. [Google Scholar] [CrossRef]
- Wesselinowa, J.M.; Apostolov, A.T. Anharmonic effects in ferromagnetic semiconductors. J. Phys. Condens. Matter 1996, 8, 473. [Google Scholar] [CrossRef]
- Paul, S.; Anand, V.; Noorjahan; Duggal, V.; Manokamna. Preparation and performance of a Sr2+ doped LaMnO3 cathode for low temperature solid oxide fuel cells. Mater. Today Proc. 2023. [Google Scholar] [CrossRef]
- Shafi, P.M.; Mohapatra, D.; Reddy, V.P.; Dhakal, G.; Kumar, D.R.; Tuma, D.; Brousse, T.; Shim, J.-J. Sr- and Fe-substituted LaMnO3 Perovskite: Fundamental insight and possible use in asymmetric hybrid supercapacitor. Energy Storage Mater. 2022, 45, 119–129. [Google Scholar] [CrossRef]
- Okuyucu, H.; Cinici, H.; Konak, T. Coating of nano-sized ionically conductive Sr and Ca doped LaMnO3 films by sol–gel route. Ceram. Int. 2013, 39, 903. [Google Scholar] [CrossRef]
- He, C.; Wu, J.; Lee, Y. Correlation between conductivity and structural parameters in Sr-doped LaMO3 (M = Al, Ga, In, Er, and Y) for solid oxide membranes. Solid State Ionics 2023, 399, 116315. [Google Scholar] [CrossRef]
- Tran, T.H.; Phi, T.H.; Nguyen, H.N.; Pham, N.H.; Nguyen, C.V.; Ho, K.H.; Doan, Q.K.; Le, V.Q.; Nguyen, T.T.; Nguyen, V.T. Sr doped LaMnO3 nanoparticles prepared by microwave combustion method: A recyclable visible light photocatalyst. Results Phys. 2020, 19, 103417. [Google Scholar] [CrossRef]






Disclaimer/Publisher’s Note: The statements, opinions and data contained in all publications are solely those of the individual author(s) and contributor(s) and not of MDPI and/or the editor(s). MDPI and/or the editor(s) disclaim responsibility for any injury to people or property resulting from any ideas, methods, instructions or products referred to in the content. |
© 2024 by the authors. Licensee MDPI, Basel, Switzerland. This article is an open access article distributed under the terms and conditions of the Creative Commons Attribution (CC BY) license (https://creativecommons.org/licenses/by/4.0/).
Share and Cite
Apostolov, A.T.; Apostolova, I.N.; Wesselinowa, J.M. Theoretical Study of the Phonon and Electrical Conductivity Properties of Pure and Sr-Doped LaMnO3 Thin Films. Materials 2024, 17, 1995. https://doi.org/10.3390/ma17091995
Apostolov AT, Apostolova IN, Wesselinowa JM. Theoretical Study of the Phonon and Electrical Conductivity Properties of Pure and Sr-Doped LaMnO3 Thin Films. Materials. 2024; 17(9):1995. https://doi.org/10.3390/ma17091995
Chicago/Turabian StyleApostolov, Angel T., Iliana N. Apostolova, and Julia Mihailowa Wesselinowa. 2024. "Theoretical Study of the Phonon and Electrical Conductivity Properties of Pure and Sr-Doped LaMnO3 Thin Films" Materials 17, no. 9: 1995. https://doi.org/10.3390/ma17091995
APA StyleApostolov, A. T., Apostolova, I. N., & Wesselinowa, J. M. (2024). Theoretical Study of the Phonon and Electrical Conductivity Properties of Pure and Sr-Doped LaMnO3 Thin Films. Materials, 17(9), 1995. https://doi.org/10.3390/ma17091995

