Tribological Performance of a Paraffinic Base Oil Additive with Coated and Uncoated SiO2 Nanoparticles
Abstract
1. Introduction
2. Materials and Methods
2.1. Base Oil and Nanoparticles
2.2. Formulation of Nanolubricants
2.3. Thermophysical Characterization
2.4. Tribological Characterization
3. Results
3.1. Stability of the Dispersions
3.2. Thermophysical Results
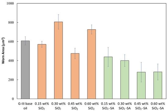
3.3. Tribological Results
4. Conclusions
- -
- Good stability against sedimentation was achieved with SiO2 nanoparticles, coated with stearic acid and dispersed in a paraffinic base oil.
- -
- Friction coefficients found with the SiO2-SA nanolubricants are reduced in comparison with the neat G-III base oil.
- -
- The wear produced in the pins is lower than that found with G-III base oil; the optimal nanolubricant is the G-III base oil + 0.60 wt% SiO2-SA, with reductions of up to 21, 22, and 54% in terms of width, depth, and area, respectively.
- -
- The tribological lubrication mechanisms can be justified by the rolling and tribofilm formation of the SiO2-SA nanoparticles.
- -
- Before applying these nanolubricants in EVs, more studies are needed, such as tribological tests for extended times to estimate their possible degradation and the study of other key properties, such as thermal or electrical conductivity, and the compatibility and synergies with other additives used in the lubricant formulation.
Supplementary Materials
Author Contributions
Funding
Institutional Review Board Statement
Informed Consent Statement
Data Availability Statement
Acknowledgments
Conflicts of Interest
References
- Liu, Z.; Ciais, P.; Deng, Z.; Davis, S.J.; Zheng, B.; Wang, Y.; Cui, D.; Zhu, B.; Dou, X.; Ke, P.; et al. Carbon Monitor, a near-real-time daily dataset of global CO2 emission from fossil fuel and cement production. Sci. Data 2020, 7, 392. [Google Scholar] [CrossRef] [PubMed]
- Alanazi, F. Electric Vehicles: Benefits, Challenges, and Potential Solutions for Widespread Adaptation. Appl. Sci. 2023, 13, 6016. [Google Scholar] [CrossRef]
- Cao, J.; Chen, X.; Qiu, R.; Hou, S. Electric vehicle industry sustainable development with a stakeholder engagement system. Technol. Soc. 2021, 67, 101771. [Google Scholar] [CrossRef]
- Xu, L.; Yilmaz, H.Ü.; Wang, Z.; Poganietz, W.-R.; Jochem, P. Greenhouse gas emissions of electric vehicles in Europe considering different charging strategies. Transp. Res. Part D Transp. Environ. 2020, 87, 102534. [Google Scholar] [CrossRef]
- Fusco Rovai, F.; Regina da Cal Seixas, S.; Keutenedjian Mady, C.E. Regional energy policies for electrifying car fleets. Energy 2023, 278, 127908. [Google Scholar] [CrossRef]
- Holmberg, K.; Erdemir, A. The impact of tribology on energy use and CO2 emission globally and in combustion engine and electric cars. Tribol. Int. 2019, 135, 389–396. [Google Scholar] [CrossRef]
- Farfan-Cabrera, L.I. Tribology of electric vehicles: A review of critical components, current state and future improvement trends. Tribol. Int. 2019, 138, 473–486. [Google Scholar] [CrossRef]
- Martí-Florences, M.; Cecilia, A.; Costa-Castelló, R. Modelling and Estimation in Lithium-Ion Batteries: A Literature Review. Energies 2023, 16, 6846. [Google Scholar] [CrossRef]
- Ahmed Abdalglil Mustafa, W.; Dassenoy, F.; Sarno, M.; Senatore, A. A review on potentials and challenges of nanolubricants as promising lubricants for electric vehicles. Lubr. Sci. 2022, 34, 1–29. [Google Scholar] [CrossRef]
- Parenago, O.P.; Lyadov, A.S.; Maksimov, A.L. Development of Lubricant Formulations for Modern Electric Vehicles. Russ. J. Appl. Chem. 2022, 95, 765–774. [Google Scholar] [CrossRef]
- Narita, K.; Takekawa, D. Lubricants Technology Applied to Transmissions in Hybrid Electric Vehicles and Electric Vehicles; SAE Technical Paper; SAE International: Warrendale, PA, USA, 2019. [Google Scholar] [CrossRef]
- Tung, S.C.; Woydt, M.; Shah, R. Global Insights on Future Trends of Hybrid/EV Driveline Lubrication and Thermal Management. Front. Mech. Eng. 2020, 6, 571786. [Google Scholar] [CrossRef]
- Chen, Y.; Jha, S.; Raut, A.; Zhang, W.; Liang, H. Performance Characteristics of Lubricants in Electric and Hybrid Vehicles: A Review of Current and Future Needs. Front. Mech. Eng. 2020, 6, 571464. [Google Scholar] [CrossRef]
- Kim, H.-J.; Seo, K.-J.; Kang, K.H.; Kim, D.-E. Nano-lubrication: A review. Int. J. Precis. Eng. Manuf. 2016, 17, 829–841. [Google Scholar] [CrossRef]
- Dai, W.; Kheireddin, B.; Gao, H.; Liang, H. Roles of nanoparticles in oil lubrication. Tribol. Int. 2016, 102, 88–98. [Google Scholar] [CrossRef]
- Berman, D.; Erdemir, A.; Sumant, A.V. Graphene: A new emerging lubricant. Mater. Today 2014, 17, 31–42. [Google Scholar] [CrossRef]
- Peng, D.X.; Kang, Y.; Hwang, R.M.; Shyr, S.S.; Chang, Y.P. Tribological properties of diamond and SiO2 nanoparticles added in paraffin. Tribol. Int. 2009, 42, 911–917. [Google Scholar] [CrossRef]
- Azman, N.F.; Samion, S. Dispersion Stability and Lubrication Mechanism of Nanolubricants: A Review. Int. J. Precis. Eng. Manuf.-Green Technol. 2019, 6, 393–414. [Google Scholar] [CrossRef]
- Mariño, F.; Liñeira del Río, J.M.; López, E.R.; Fernández, J. Chemically modified nanomaterials as lubricant additive: Time stability, friction, and wear. J. Mol. Liq. 2023, 382, 121913. [Google Scholar] [CrossRef]
- Liñeira del Río, J.M.; López, E.R.; Fernández, J.; García, F. Tribological properties of dispersions based on reduced graphene oxide sheets and trimethylolpropane trioleate or PAO 40 oils. J. Mol. Liq. 2019, 274, 568–576. [Google Scholar] [CrossRef]
- Wang, B.; Qiu, F.; Barber, G.C.; Zou, Q.; Wang, J.; Guo, S.; Yuan, Y.; Jiang, Q. Role of nano-sized materials as lubricant additives in friction and wear reduction: A review. Wear 2022, 490–491, 204206. [Google Scholar] [CrossRef]
- Singh, A.; Chauhan, P.; Mamatha, T.G. A review on tribological performance of lubricants with nanoparticles additives. Mater. Today Proc. 2020, 25, 586–591. [Google Scholar] [CrossRef]
- Chou, R.; Battez, A.H.; Cabello, J.J.; Viesca, J.L.; Osorio, A.; Sagastume, A. Tribological behavior of polyalphaolefin with the addition of nickel nanoparticles. Tribol. Int. 2010, 43, 2327–2332. [Google Scholar] [CrossRef]
- Dubey, R.S.; Rajesh, Y.B.R.D.; More, M.A. Synthesis and Characterization of SiO2 Nanoparticles via Sol-gel Method for Industrial Applications. Mater. Today Proc. 2015, 2, 3575–3579. [Google Scholar] [CrossRef]
- Cortes, V.; Sanchez; Gonzalez, R.; Alcoutlabi, M.; Ortega, J. The Performance of SiO2 and TiO2 Nanoparticles as Lubricant Additives in Sunflower Oil. Lubricants 2020, 8, 10. [Google Scholar] [CrossRef]
- Sui, T.; Song, B.; Wen, Y.-h.; Zhang, F. Bifunctional hairy silica nanoparticles as high-performance additives for lubricant. Sci. Rep. 2016, 6, 22696. [Google Scholar] [CrossRef]
- Jiao, D.; Zheng, S.; Wang, Y.; Guan, R.; Cao, B. The tribology properties of alumina/silica composite nanoparticles as lubricant additives. Appl. Surf. Sci. 2011, 257, 5720–5725. [Google Scholar] [CrossRef]
- Peng, D.X.; Chen, C.H.; Kang, Y.; Chang, Y.P.; Chang, S.Y. Size effects of SiO nanoparticles as oil additives on tribology of lubricant. Ind. Lubr. Tribol. 2010, 62, 111–120. [Google Scholar] [CrossRef]
- Sanukrishna, S.S.; Shafi, M.; Murukan, M.; Jose Prakash, M. Effect of SiO2 nanoparticles on the heat transfer characteristics of refrigerant and tribological behaviour of lubricant. Powder Technol. 2019, 356, 39–49. [Google Scholar] [CrossRef]
- Mohan Rastogi, P.; Kumar, R.; Kumar, N. Effect of SiO2 nanoparticles on the tribological characteristics of jatropha oil. Mater. Today Proc. 2021, 46, 10109–10112. [Google Scholar] [CrossRef]
- Liñeira del Río, J.M.; Rial, R.; López, E.R.; Fernández, J. Tribological enhancement using Mn3O4-Graphene nanocomposites as additives for potential transmission fluids of electric vehicles. J. Mol. Liq. 2022, 366, 120271. [Google Scholar] [CrossRef]
- Mariño, F.; Liñeira del Río, J.M.; Gonçalves, D.E.P.; Seabra, J.H.O.; López, E.R.; Fernández, J. Effect of the addition of coated SiO2 nanoparticles on the tribological behavior of a low-viscosity polyalphaolefin base oil. Wear 2023, 530–531, 205025. [Google Scholar] [CrossRef]
- Liñeira del Río, J.M.; Mariño, F.; López, E.R.; Gonçalves, D.E.P.; Seabra, J.H.O.; Fernández, J. Tribological enhancement of potential electric vehicle lubricants using coated TiO2 nanoparticles as additives. J. Mol. Liq. 2023, 371, 121097. [Google Scholar] [CrossRef]
- Kannaiyan, S.; Boobalan, C.; Umasankaran, A.; Ravirajan, A.; Sathyan, S.; Thomas, T. Comparison of experimental and calculated thermophysical properties of alumina/cupric oxide hybrid nanofluids. J. Mol. Liq. 2017, 244, 469–477. [Google Scholar] [CrossRef]
- Ali, M.K.A.; Xianjun, H.; Mai, L.; Qingping, C.; Turkson, R.F.; Bicheng, C. Improving the tribological characteristics of piston ring assembly in automotive engines using Al2O3 and TiO2 nanomaterials as nano-lubricant additives. Tribol. Int. 2016, 103, 540–554. [Google Scholar] [CrossRef]
- Kato, H.; Komai, K. Tribofilm formation and mild wear by tribo-sintering of nanometer-sized oxide particles on rubbing steel surfaces. Wear 2007, 262, 36–41. [Google Scholar] [CrossRef]
- Zhang, L.; Chen, L.; Wan, H.; Chen, J.; Zhou, H. Synthesis and Tribological Properties of Stearic Acid-Modified Anatase (TiO2) Nanoparticles. Tribol. Lett. 2011, 41, 409–416. [Google Scholar] [CrossRef]
- Zachariah, Z.; Nalam, P.C.; Ravindra, A.; Raju, A.; Mohanlal, A.; Wang, K.; Castillo, R.V.; Espinosa-Marzal, R.M. Correlation Between the Adsorption and the Nanotribological Performance of Fatty Acid-Based Organic Friction Modifiers on Stainless Steel. Tribol. Lett. 2019, 68, 11. [Google Scholar] [CrossRef]
- Sahoo, R.R.; Biswas, S.K. Frictional response of fatty acids on steel. J. Colloid Interface Sci. 2009, 333, 707–718. [Google Scholar] [CrossRef]
- Xie, H.; Jiang, B.; He, J.; Xia, X.; Pan, F. Lubrication performance of MoS2 and SiO2 nanoparticles as lubricant additives in magnesium alloy-steel contacts. Tribol. Int. 2016, 93, 63–70. [Google Scholar] [CrossRef]










| Sample | μ | σ | WSD/μm | σ/μm | WTD/μm | σ/μm | Area/μm2 | σ/μm2 | 
|---|---|---|---|---|---|---|---|---|
| G-III base oil [31] | 0.1351 | 0.0014 | 366 | 18 | 2.11 | 0.19 | 607 | 44 | 
| +0.15 wt% SiO2 | 0.1319 | 0.0011 | 380 | 23 | 2.76 | 0.72 | 571 | 31 | 
| +0.30 wt% SiO2 | 0.1370 | 0.0010 | 422 | 53 | 3.37 | 0.67 | 806 | 76 | 
| +0.45 wt% SiO2 | 0.1410 | 0.0011 | 352 | 31 | 2.61 | 0.45 | 476 | 55 | 
| +0.60 wt% SiO2 | 0.1332 | 0.0012 | 372 | 8.3 | 2.67 | 0.46 | 726 | 49 | 
| +0.15 wt% SiO2-SA | 0.0989 | 0.0014 | 356 | 23 | 2.00 | 0.49 | 439 | 99 | 
| +0.30 wt% SiO2-SA | 0.0905 | 0.0011 | 371 | 18 | 1.60 | 0.19 | 401 | 62 | 
| +0.45 wt% SiO2-SA | 0.0927 | 0.0010 | 296 | 54 | 1.80 | 0.38 | 279 | 98 | 
| +0.60 wt% SiO2-SA | 0.0766 | 0.0011 | 289 | 25 | 1.64 | 0.47 | 281 | 84 | 
| Disclaimer/Publisher’s Note: The statements, opinions and data contained in all publications are solely those of the individual author(s) and contributor(s) and not of MDPI and/or the editor(s). MDPI and/or the editor(s) disclaim responsibility for any injury to people or property resulting from any ideas, methods, instructions or products referred to in the content. | 
© 2024 by the authors. Licensee MDPI, Basel, Switzerland. This article is an open access article distributed under the terms and conditions of the Creative Commons Attribution (CC BY) license (https://creativecommons.org/licenses/by/4.0/).
Share and Cite
Liñeira del Río, J.M.; Guimarey, M.J.G.; Somoza, V.; Mariño, F.; Comuñas, M.J.P. Tribological Performance of a Paraffinic Base Oil Additive with Coated and Uncoated SiO2 Nanoparticles. Materials 2024, 17, 1993. https://doi.org/10.3390/ma17091993
Liñeira del Río JM, Guimarey MJG, Somoza V, Mariño F, Comuñas MJP. Tribological Performance of a Paraffinic Base Oil Additive with Coated and Uncoated SiO2 Nanoparticles. Materials. 2024; 17(9):1993. https://doi.org/10.3390/ma17091993
Chicago/Turabian StyleLiñeira del Río, José M., María J. G. Guimarey, Vanesa Somoza, Fátima Mariño, and María J. P. Comuñas. 2024. "Tribological Performance of a Paraffinic Base Oil Additive with Coated and Uncoated SiO2 Nanoparticles" Materials 17, no. 9: 1993. https://doi.org/10.3390/ma17091993
APA StyleLiñeira del Río, J. M., Guimarey, M. J. G., Somoza, V., Mariño, F., & Comuñas, M. J. P. (2024). Tribological Performance of a Paraffinic Base Oil Additive with Coated and Uncoated SiO2 Nanoparticles. Materials, 17(9), 1993. https://doi.org/10.3390/ma17091993
 
        



 
       