Removal of Organic Dyes, Polymers and Surfactants Using Carbonaceous Materials Derived from Walnut Shells
Abstract
1. Introduction
2. Materials and Methods
2.1. Preparation of Carbonaceous Adsorbents
- (1)
- Heating the impregnated material to a temperature of 200 °C (heating rate of 5 °C/min);
- (2)
- Annealing the material at 200 °C for a period of 30 min;
- (3)
- Further heating the material to a final activation temperature of 500 °C (heating rate of 5 °C/min);
- (4)
- Annealing the carbonaceous material at 500 °C for a period of 30 min;
- (5)
- Cooling the activation product to room temperature.
2.2. Physicochemical Characterization of the Precursor and Carbonaceous Adsorbents
2.2.1. Proximate and Elemental Analysis
2.2.2. Textural Studies
2.2.3. Acid–Base Properties of the Surface
2.2.4. Thermogravimetric Studies
2.2.5. Surface Charge Density Determination
2.2.6. Electrophoretic Mobility Measurements
2.3. Adsorption Studies
- (1)
- A synthetic cationic dye with an aromatic character: methylene blue—MB (Avantor Performance Materials, Gliwice, Poland);
- (2)
- Two water-soluble polymers of different ionic character: an anionic poly(acrylic acid)—PAA (Fluka, Saint Louis, MO, USA) and nonionic poly(ethylene glycol)—PEG (Sigma-Aldrich, Saint Louis, MO, USA), both with an average molecular weight equal to 2 kDa. PAA belongs to the group of weak polyelectrolytes and its carboxyl functional groups undergo a dissociation with the increasing solution pH. The pKa value for PAA chains occurs at a pH of about 4.5 [32], at which the number of dissociated -COO− and undissociated -COOH groups is the same (the dissociation degree is 0.5). At pH 3, the dissociation degree of PAA functional groups is minimal (about 0.03), so that the conformation of macromolecules is coiled [33]. In turn, starting from pH 6 towards higher pH values, the polyelectrolyte dissociation reaches a value close to 1 and polymeric chains assume a considerably developed conformation in the solution. In the case of nonionic PEG, whose chains contain ether oxygen atoms having free electron pairs and terminal hydroxyl groups, its conformation in solution is unchanged over the wide pH range.
- (3)
- A nonionic surfactant, Triton TM X-100 (t-octylphenoxypolyethoxyethanol)—TX (Sigma-Aldrich, Saint Louis, MO, USA) with a molar mass in the range 602.80–646.85 g/mol. In its molecule, two parts can be distinguished: the hydrophobic substituent containing the phenolic ring and the hydrophilic polyoxyethylene fragment [34].
3. Results and Discussion
3.1. Proximate and Elemental Analysis of the Starting Walnut Shells and Products of Their Thermochemical Conversion
3.2. Textural and Surface Properties of Activated Biocarbons Derived from Walnut Shells
3.3. Thermal Stability of Activated Biocarbons Derived from Walnut Shells
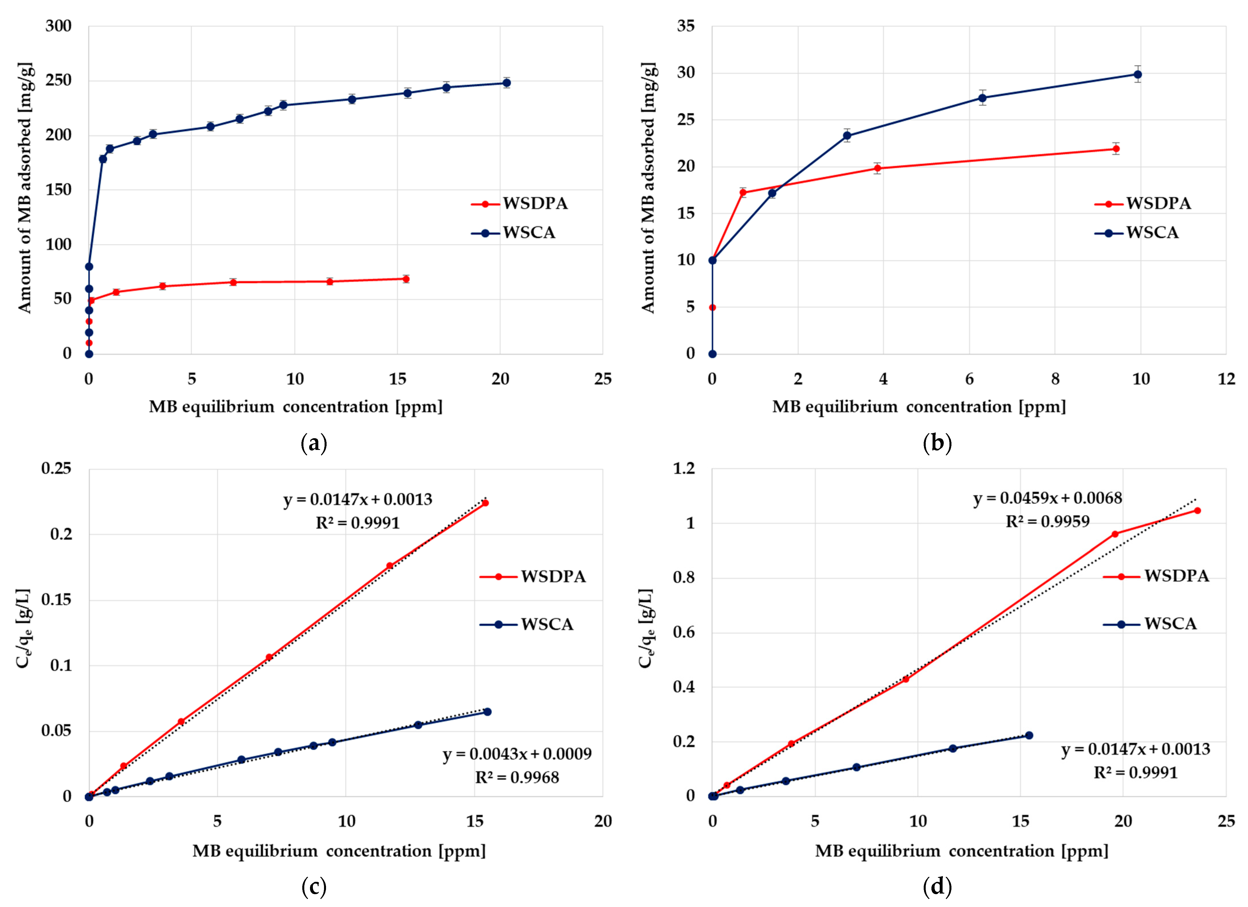
3.4. Adsorption of a Cationic Synthetic Dye from an Aqueous and Alcoholic Solution
3.5. Adsorption and Electrokinetic Properties of Activated Biocarbons in the Polymers and Surfactant Presence
4. Conclusions
Author Contributions
Funding
Institutional Review Board Statement
Informed Consent Statement
Data Availability Statement
Conflicts of Interest
References
- Bhatnagar, A.; Hogland, W.; Marques, M.; Sillanpää, M. An overview of the modification methods of activated carbon for its water treatment applications. Chem. Eng. J. 2013, 219, 499–511. [Google Scholar] [CrossRef]
- Gęca, M.; Wiśniewska, M.; Nowicki, P. Biochars and activated carbons as adsorbents of inorganic and organic compounds from multicomponent systems—A review. Adv. Colloid Interf. Sci. 2022, 305, 102687. [Google Scholar] [CrossRef] [PubMed]
- Hassan, M.F.; Sabri, M.A.; Fazal, H.; Hafeez, A.; Shezad, N.; Hussain, M. Recent trends in activated carbon fibers production from various precursors and applications—A comparative review. J. Analyt. Appl. Pyrol. 2020, 145, 104715. [Google Scholar] [CrossRef]
- Nor, N.M.; Lau, L.C.; Lee, K.T.; Mohamed, A.R. Synthesis of activated carbon from lignocellulosic biomass and its applications in air pollution control—A review. J. Environ. Chem. Eng. 2013, 1, 658–666. [Google Scholar] [CrossRef]
- Feng, P.; Li, J.; Wang, H.; Xu, Z. Biomass-Based Activated Carbon and Activators: Preparation of Activated Carbon from Corncob by Chemical Activation with Biomass Pyrolysis Liquids. ACS Omega 2020, 5, 24064–24072. [Google Scholar] [CrossRef] [PubMed]
- Gan, Y.X. Activated Carbon from Biomass Sustainable Sources. C J. Carbon Res. 2021, 7, 39. [Google Scholar] [CrossRef]
- Sultana, M.; Rownok, M.H.; Sabrin, M.; Rahaman, M.H.; Alam, S.N. A review on experimental chemically modified activated carbon to enhance dye and heavy metals adsorption. Clean. Eng. Technol. 2022, 6, 100382. [Google Scholar] [CrossRef]
- Kosheleva, R.I.; Mitropoulos, A.C.; Kyzas, G.Z. Synthesis of activated carbon from food waste. Environ. Chem. Lett. 2019, 17, 429–438. [Google Scholar] [CrossRef]
- Heidarinejad, Z.; Dehghani, M.H.; Heidari, M.; Javedan, G.; Ali, I.; Sillanpää, M. Methods for preparation and activation of activated carbon: A review. Environ. Chem. Lett. 2020, 18, 393–415. [Google Scholar] [CrossRef]
- Nowicki, P. Effect of heat treatment on the physicochemical properties of nitrogen-enriched activated carbons. J. Therm. Anal. Calorim. 2016, 125, 1017–1024. [Google Scholar] [CrossRef]
- Ahmad, A.A.; Hameed, B.H. Effect of preparation conditions of activated carbon from bamboo waste for real textile wastewater. J. Hazard. Mat. 2010, 173, 487–493. [Google Scholar] [CrossRef] [PubMed]
- Serafin, J.; Dziejarski, B. Activated carbons—Preparation, characterization and their application in CO2 capture: A review. Environ. Sci. Pollut. Res. 2023. Available online: https://link.springer.com/article/10.1007/s11356-023-28023-9 (accessed on 10 February 2024).
- Goren, A.Y.; Erdemir, D.; Dincer, I. Comprehensive review and assessment of carbon capturing methods and technologies: An environmental research. Environ. Res. 2024, 240, 117503. [Google Scholar] [CrossRef] [PubMed]
- Gęca, M.; Wiśniewska, M.; Nowicki, P.; Jędruchniewicz, K. Cd(II) and As(V) removal from the multicomponent solutions in the presence of ionic polymers using carbonaceous adsorbents obtained from herbs. Pure Appl. Chem. 2023, 95, 563–578. [Google Scholar] [CrossRef]
- Korotta-Gamage, S.M.; Sathasivan, A. A review: Potential and challenges of biologically activated carbon to remove natural organic matter in drinking water purification process. Chemosphere 2017, 167, 120–138. [Google Scholar] [CrossRef]
- Lotfy, H.R.; Roubik, H. Water purification using activated carbon prepared from agriculture waste—Overview of a recent development. Biomass. Conv. Bioref. 2023, 13, 15577–15590. [Google Scholar] [CrossRef]
- Mudoga, H.L.; Yucel, H.; Kincal, N.S. Decolorization of sugar syrups using commercial and sugar beet pulp based activated carbons. Biores. Tech. 2008, 99, 3528–3533. [Google Scholar] [CrossRef] [PubMed]
- Roy, G.M. Activated Carbon Applications in the Food and Pharmaceutical Industries; Routledge: New York, NY, USA, 2023. [Google Scholar] [CrossRef]
- Sun, B.; Ma, J.; Sedlak, D.L. Chemisorption of perfluorooctanoic acid on powdered activated carbon initiated by persulfate in aqueous solution. Environ. Sci. Technol. 2016, 50, 7618–7624. [Google Scholar] [CrossRef]
- Dobre, T.; Parvulescu, O.C.; Iavorschi, G.; Stroescu, M.; Stoica, A. Volatile organic compounds removal from gas streams by adsorption onto activated carbon. Ind. Eng. Chem. Res. 2014, 53, 3622–3628. [Google Scholar] [CrossRef]
- Ma, X.; Yang, L.; Wu, H. Removal of volatile organic compounds from the coal-fired flue gas by adsorption on activated carbon. J. Clean. Prod. 2021, 302, 126925. [Google Scholar] [CrossRef]
- Aslam, Z.; Shawabkeh, R.A.; Hussein, I.A.; Al-Baghli, N.; Eic, M. Synthesis of activated carbon from oil fly ash for removal of H2S from gas stream. Appl. Surf. Sci. 2015, 327, 107–115. [Google Scholar] [CrossRef]
- Wright, I.A.; Davies, P.J.; Findlay, S.J.; Jonasson, O.J. A new type of water pollution: Concrete drainage infrastructure and geochemical contamination of urban waters. Mar. Freshw. Res. 2011, 62, 1355–1361. [Google Scholar] [CrossRef]
- Shahrokhi-Shahraki, R.; Benally, C.; El-Din, M.G.; Park, J. High efficiency removal of heavy metals using tire-derived activated carbon vs. commercial activated carbon: Insights into the adsorption mechanisms. Chemosphere 2021, 264, 128455. [Google Scholar] [CrossRef] [PubMed]
- Alsukaibi, A.K.D. Various Approaches for the Detoxification of Toxic Dyes in Wastewater. Processes 2022, 10, 1968. [Google Scholar] [CrossRef]
- Nasr, M. Aquatic pollution and wastewater treatment system. In Algae and Aquatic Macrophytes in Cities; Pandey, V.C., Ed.; Elsevier: Amsterdam, The Netherlands, 2022; pp. 23–37. [Google Scholar] [CrossRef]
- Wiśniewska, M.; Rejer, K.; Pietrzak, R.; Nowicki, P. Biochars and activated biocarbons prepared via conventional pyrolysis and chemical or physical activation of mugwort herb as potential adsorbents and renewable fuels. Molecules 2022, 27, 8597. [Google Scholar] [CrossRef] [PubMed]
- PN-ISO 579:2002 Standard; Coke — Determination of Total Moisture. Polish Committee for Standardization: Warsaw, Poland, 2002.
- PN-G-04516:1998 Standard; Solid fuels — Determination of Volatile Matter Content Using the Gravimetric Method. Polish Committee for Standardization: Warsaw, Poland, 1998.
- Janusz, W. Electrical double layer in the system TiO2 (anathase)/aqueous solution of NaCl. Pol. J. Chem. 1994, 68, 1871–1880. [Google Scholar]
- Ohshima, H.A. Simple Expression for Henry’s Function for the Retardation Effect in Electrophoresis of Spherical Colloidal Particles. J. Colloid Interf. Sci. 1994, 168, 269–271. [Google Scholar] [CrossRef]
- Chibowski, S.; Wiśniewska, M.; Marczewski, A.W.; Pikus, S. Application of the SAXS and viscometry for determination of the thickness of adsorbed polymer layers at the ZrO2 polymer solution interface. J. Colloid Interf. Sci. 2003, 267, 1–8. [Google Scholar] [CrossRef] [PubMed]
- Wiśniewska, M.; Nowicki, P. Peat-based activated carbons as adsorbents for simultaneous separation of organic molecules from mixed solution of poly (acrylic acid) polymer and sodium dodecyl sulfate surfactant. Colloids Surf. A 2020, 585, 124179. [Google Scholar] [CrossRef]
- Wiśniewska, M.; Nowicki, P.; Urban, T. Influence of surfactants with different ionic character on the structure of poly(acrylic acid) adsorption layer on the activated biocarbons surface—Electrokinetic and stability studies. J. Mol. Liq. 2021, 332, 115872. [Google Scholar] [CrossRef]
- Szymańska, M.; Nowicki, P. Used filter cartridges as potential adsorbents of organic pollutants. Water 2023, 15, 714. [Google Scholar] [CrossRef]
- Crummett, W.B.; Hummel, R.A. The determination of traces of polyacrylamides in water. J. Am. Water Work. Assoc. 1963, 1, 209–219. [Google Scholar] [CrossRef]
- Nuysink, J.; Koopal, L.K. The effect of polyethylene oxide molecular weight on determination of its concentration in aqueous solutions. Talanta 1982, 29, 495–501. [Google Scholar] [CrossRef] [PubMed]
- Goodarzi, M.; Goodarzi, T. Spectrophotometric Determination of Acidity Constants of Thiamine in Water, Water-Triton X-100 Micellar Media Solutions. Iran. J. Chem. Chem. Eng. 2008, 27, 15–20. [Google Scholar] [CrossRef]
- Wiśniewska, M.; Nowicki, P.; Szewczuk-Karpisz, K.; Gęca, M.; Jędruchniewicz, K.; Oleszczuk, P. Simultaneous removal of toxic Pb(II) ions, poly(acrylic acid) and Triton X-100 from their mixed solution using engineered biochars obtained from horstail herb precursor—Impact of post-activation treatment. Sep. Purif. Tech. 2021, 276, 119297. [Google Scholar] [CrossRef]
- Marsh, H.; Rodriguez-Reinoso, F. Activated Carbon; Elsevier: Oxford, UK, 2006. [Google Scholar] [CrossRef]
- Nowicki, P.; Pietrzak, R.; Wachowska, H. Sorption properties of active carbons obtained from walnut shells by chemical and physical activation. Catal. Today 2010, 150, 107–114. [Google Scholar] [CrossRef]
- González, J.F.; Román, S.; González-García, C.M.; Nabais, J.M.V.; Ortiz, A.L. Porosity development in activated carbons prepared from walnut shells by carbon dioxide or steam activation. Ind. Eng. Chem. Res. 2009, 48, 7474–7481. [Google Scholar] [CrossRef]
- Elanthamilan, E.; Meena, M.C.; Renuka, N.; Santhiya, M.; George, J.; Kanimozhi, E.P.; Ezhilarasi, J.C.; Merlin, J.P. Walnut shell derived mesoporous activated carbon for high performance electrical double layer capacitors. J. Electroanal. Chem. 2021, 901, 115762. [Google Scholar] [CrossRef]
- Davidi, S.; Lashanizadegan, A.; Sharififard, H. Walnut shell activated carbon: Optimization of synthesis process, characterization and application for Zn (II) removal in batch and continuous process. Mater. Res. Express. 2019, 6, 085621. [Google Scholar] [CrossRef]
- Chomiak, K.; Gryglewicz, S.; Kierzek, K.; Machnikowski, J. Optimizing the properties of granular walnut-shell based KOH activated carbons for carbon dioxide adsorption. J. CO2 Util. 2017, 21, 436–443. [Google Scholar] [CrossRef]
- Al Mesfer, M.K. Synthesis and characterization of high-performance activated carbon from walnut shell biomass for CO2 capture. Environ. Sci. Pollut. Res. 2020, 27, 15020–15028. [Google Scholar] [CrossRef]
- Yang, X.; Xie, D.; Wang, W.; Li, S.; Tang, Z.; Dai, S. An activated carbon from walnut shell for dynamic capture of high concentration gaseous iodine. Chem. Eng. J. 2023, 454, 140365. [Google Scholar] [CrossRef]
- Thommes, M.; Kaneko, K.; Neimark, A.V.; Olivier, J.P.; Rodriguez-Reinoso, F.; Rouquerol, J.; Sing, K.S. Physisorption of gases, with special reference to the evaluation of surface area and pore size distribution (IUPAC technical report). Pure Appl. Chem. 2015, 87, 1051. [Google Scholar] [CrossRef]
- Serafin, J.; Dziejarski, B. Application of isotherms models and error functions in activated carbon CO2 sorption processes. Micropor. Mesopor. Mat. 2023, 354, 112513. [Google Scholar] [CrossRef]
- Kosmulski, M. The pH dependent surface charging and points of zero charge. VII. Update. Adv. Colloid Interf. Sci. 2018, 251, 115–138. [Google Scholar] [CrossRef] [PubMed]
- Janusz, W.; Klymenko, N.Y.; Skwarek, E.; Chibowski, S.; Skubiszewska-Zięba, J.; Galagan, N.P.; Jurewnoy, K.N.; Zarko, V. Structure of electrical double layer at the metal oxide with proteins/NaCl electrolyte solution interface. Ads. Sci. Technol. 2015, 33, 567–574. [Google Scholar] [CrossRef]
- Sutar, S.; Jadhav, J. A comparative assessment of the methylene blue dye adsorption capacity of natural biochar versus chemically altered activated carbons. Bioresour. Technol. Rep. 2024, 25, 101726. [Google Scholar] [CrossRef]
- Ahmad, A.; Khan, N.; Shekher Giri, B.; Chowdhary, P.; Chaturvedi, P. Removal of methylene blue dye using rice husk, cow dung and sludge biochar: Characterization, application, and kinetic studies. Bioresour. Technol. 2020, 306, 123202. [Google Scholar] [CrossRef]
- Gęca, M.; Wiśniewska, M.; Nowicki, P. Simultaneous Removal of Polymers with Different Ionic Character from Their Mixed Solutions Using Herb-Based Biochars and Activated Carbons. Molecules 2022, 27, 7557. [Google Scholar] [CrossRef]
- Liu, L.; Luo, S.Z.; Wang, B.; Guo, Z.H. Investigation of small molecular weight poly(acrylic acid) adsorption on γ-alumina. Appl. Surf. Sci. 2015, 345, 116–121. [Google Scholar] [CrossRef]
- Wiśniewska, M.; Chibowski, S.; Urban, T. Effect of the type of polymer functional groups on the structure of its film formed on the alumina surface—Suspension stability. Reac. Funct. Polym. 2012, 72, 791–798. [Google Scholar] [CrossRef]
- Whitby, C.P.; Krebsz, M.; Booty, S.J. Understanding the role of hydrogen bonding in the aggregation of fumed silica particles in triglyceride solvents. J. Colloid Interf. Sci. 2018, 527, 1–9. [Google Scholar] [CrossRef] [PubMed]
- Wiśniewska, M.; Urban, T.; Grządka, E.; Zarko, V.I.; Gun’ko, V.M. Comparison of adsorption affinity of polyacrylic acid for surfaces of mixed silica-alumina. Colloid Polym. Sci. 2014, 292, 699–705. [Google Scholar] [CrossRef] [PubMed]
- Lunardi, C.N.; Gomes, A.J.; Rocha, F.S.; De Tommaso, J.; Patience, G.S. Experimental methods in chemical engineering: Zeta potential. Can. J. Chem. Eng. 2021, 99, 627–639. [Google Scholar] [CrossRef]
- Ostolska, I.; Wiśniewska, M. Application of the zeta potential measurements to explanation of colloidal Cr2O3 stability mechanism in the presence of the ionic polyamino acids. Colloid Polym. Sci. 2014, 292, 2453–2464. [Google Scholar] [CrossRef] [PubMed]
- Jawad, A.H.; Rashid, R.A.; Ishak, M.A.M.; Wilson, L.D. Adsorption of methylene blue onto activated carbon developed from biomass waste by H2SO4 activation: Kinetic, equilibrium and thermodynamic studies. Desal. Water Treat. 2016, 57, 25194–25206. [Google Scholar] [CrossRef]
- Jawad, A.H.; Malek, N.N.A.; Khadiran, T.; AL Othman, Z.A.; Yaseen, Z.M. Mesoporous high-surface-area activated carbon from biomass waste via microwave-assisted-H3PO4 activation for methylene blue dye adsorption: An optimized process. Diam. Relat. Mat. 2022, 128, 109288. [Google Scholar] [CrossRef]
- Jasri, K.; Abdulhameed, A.S.; Jawad, A.H.; AL Othman, Z.A.; Yousef, T.A.; Al Duaij, O.K. Mesoporous activated carbon produced from mixed wastes of oil palm frond and palm kernel shell using microwave radiation-assisted K2CO3 activation for methylene blue dye removal: Optimization by response surface methodology. Diam. Relat. Mat. 2023, 131, 109581. [Google Scholar] [CrossRef]
- Khanday, W.A.; Marrakchi, F.; Asif, M.; Hameed, B.H. Mesoporous zeolite–activated carbon composite from oil palm ash as an effective adsorbent for methylene blue. J. Taiwan Inst. Chem. Eng. 2017, 70, 32–41. [Google Scholar] [CrossRef]
- Huang, Y.; Zhu, J.; Liu, H.; Wang, Z.; Zhang, X. Preparation of porous graphene/carbon nanotube composite and adsorption mechanism of methylene blue. SN Appl. Sci. 2019, 1, 37. [Google Scholar] [CrossRef]
- Kandasamy, S.; Madhusoodanan, N.; Senthilkumar, P.; Muneeswaran, V.; Manickam, N.; Myneni, V.R. Adsorption of methylene blue dye by animal dung biomass–derived activated carbon: Optimization, isotherms and kinetic studies. Biomass Conv. Bioref. 2023. [Google Scholar] [CrossRef]
- Szewczuk-Karpisz, K.; Wiśniewska, M.; Medykowska, M.; Galaburda, M.V.; Bogatyrov, V.M.; Oranska, O.I.; Błachnio, M.; Oleszczuk, P. Simultaneous adsorption of Cu(II) ions and poly(acrylic acid) on the hybrid carbon-mineral nanocomposites with metallic elements. J. Hazard. Mat. 2021, 412, 125138. [Google Scholar] [CrossRef] [PubMed]
- Pietrelli, L. Effect of MW and pH on poly(ethylene glycol) adsorption onto carbon. Adsorption 2013, 19, 897–902. [Google Scholar] [CrossRef]
- Chang, C.F.; Chang, C.Y.; Tsai, W.T.; Wu, S.C. Adsorption Equilibrium of Polyethylene Glycol in the Copper Electroplating Solution on Activated Carbon. J. Colloid Interf. Sci. 2000, 232, 207–209. [Google Scholar] [CrossRef]
- Gajdo, L.; Pietrelli, L.; Ciccarello, A.; Derco, J. Elimination of Polyethylene Glycol from Aqueous Solution Using Activated Carbon. Pol. J. Environ. Stud. 2007, 16, 385–388. [Google Scholar]
- Chang, C.F.; Chang, C.Y.; Höll, W.; Ulmer, M.; Chen, Y.H.; Groß, H.J. Adsorption kinetics of polyethylene glycol from aqueous solution onto activated carbon. Water Res. 2004, 38, 2559–2570. [Google Scholar] [CrossRef] [PubMed]
- Ramírez-Arias, A.M.; Moreno-Piraján, J.C.; Giraldo, L. Adsorption of Triton X-100 in aqueous solution on activated carbon obtained from waste tires for wastewater decontamination. Adsorption 2020, 26, 303–316. [Google Scholar] [CrossRef]
- Marcus, L.; Prusky, D. Effect of particle size of activated charcoal on separation of Triton X-100 from protein, liver cytosol, and lipoxygenase extracts. Analyt. Biochem. 1987, 163, 112–116. [Google Scholar] [CrossRef]
- Almanassra, I.W.; Kochkodan, V.; Mckay, G.; Atieh, M.A.; Al-Ansari, T. Kinetic and thermodynamic investigations of surfactants adsorption from water by carbide-derived carbon. J. Environ. Sci. Health Part A 2021, 56, 1206–1220. [Google Scholar] [CrossRef]










| Sample | Moisture | Volatile Matter | Ash | Cdaf 1 | Hdaf | Ndaf | Sdaf | Odiff 2 |
|---|---|---|---|---|---|---|---|---|
| WS | 0.7 | 80.9 | 0.9 | 48.6 | 5.1 | 0.3 | 0.5 | 45.5 |
| WSDPA | 0.0 | N/A | 3.2 | 94.2 | 0.5 | 0.3 | 0.0 | 5.0 |
| WSCA | 0.0 | N/A | 1.8 | 89.9 | 2.2 | 0.1 | 0.0 | 7.8 |
| Sample | St [m2/g] | Smicr [m2/g] | Vt [cm3/g] | Vmicr [cm3/g] | Vmicr/Vt [%] | D [nm] | Acidic Groups [mmol/g] | Basic Groups [mmol/g] |
|---|---|---|---|---|---|---|---|---|
| WSDPA | 401 | 361 | 0.27 | 0.20 | 74 | 2.67 | 0.007 | 0.949 |
| WSCA | 1361 | 993 | 1.25 | 0.56 | 45 | 3.68 | 0.705 | 0.099 |
| Activation Procedure | Surface Area [m2/g] | Total Pore Volume [cm3/g] | Reference |
|---|---|---|---|
| H3PO4 (wt. ratio 2:1), 500 °C, 30 min, grain size 2–4 mm | 1361 | 1.25 | Present study |
| CO2, 850 °C, 30 min, grain size 2–4 mm | 401 | 0.27 | Present study |
| KOH (wt. ratio 4:1), 500–800 °C, 30 min, grain size 1.5–2.5 mm | 490–2305 | 0.25–1.13 | [41] |
| CO2, 500–800 °C, 60 min, grain size 1.5–2.5 mm | 165–697 | 0.08–0.37 | [41] |
| H2O, 700–900 °C, 60–120 min, grain size 1–2 mm | 542–1361 | 0.34–0.74 | [42] |
| CO2, 850 °C, 60–480 min, grain size 1–2 mm | 542–1304 | 0.35–0.93 | [42] |
| KOH (wt. ratio ~2.5:1), 800 °C, 180 min, grain size—finely powdered | 860 | 0.45 | [43] |
| H3PO4 (wt. ratio 7:1), 450 °C, 180 min, grain size 0.5–0.8 mm | 1388 | 1.64 | [44] |
| KOH (wt. ratio 2:1), 800 °C, 60 min, grain size 0.63–1.25 mm | 2000 | 0.82 | [45] |
| CO2, 500 °C, 360 min, grain size 4 mm | 905 | 0.34 | [46] |
| ZnCl2 (wt. ratio 1:1), 750 °C, 120 min, grain size 0.5–1.0 mm | 1360 | 0.68 | [47] |
| Sample | qexp | Langmuir Model | Freundlich Model | ||||
|---|---|---|---|---|---|---|---|
| qmax | KL | R2 | KF | 1/n | R2 | ||
| Aqueous solution | |||||||
| WSDPA | 68.5 ± 2.7 | 68.9 | 5.41 | 0.999 | 56.9 | 0.067 | 0.989 |
| WSCA | 247.1 ± 6.1 | 248.4 | 1.60 | 0.997 | 182.9 | 0.095 | 0.979 |
| Ethanolic solution | |||||||
| WSDPA | 21.9 ± 0.8 | 22.5 | 152.30 | 0.992 | 19.3 | 0.050 | 0.476 |
| WSCA | 29.7 ± 1.4 | 28.2 | 2.19 | 0.995 | 17.7 | 0.194 | 0.832 |
| Sample | qexp | Model PFO | Model PSO | ||||||
|---|---|---|---|---|---|---|---|---|---|
| qcal | k1 | R2 | MPSD | qcal | k2 | R2 | MPSD | ||
| Linear fitting | |||||||||
| Aqueous solution | |||||||||
| WSDPA | 65.2 ± 3.3 | 15.6 | 0.0076 | 0.972 | 153.1655 | 65.8 | 0.0013 | 0.998 | 41832.5702 |
| WSCA | 214.1 ± 6.4 | 54.7 | 0.0187 | 0.881 | 1931.868 | 217.4 | 0.0009 | 0.999 | 537239.1705 |
| Ethanolic solution | |||||||||
| WSDPA | 14.3 ± 0.7 | 3.9 | 0.0046 | 0.480 | 0.6886 | 13.7 | 0.0045 | 0.977 | 1534.3967 |
| WSCA | 24.9 ± 1.2 | 8.4 | 0.0088 | 0.752 | 88.2837 | 25.1 | 0.0027 | 0.979 | 5344.2634 |
| Non-linear fitting | |||||||||
| Aqueous solution | |||||||||
| WSDPA | 65.2 ± 3.3 | 57.9 | 0.1293 | 0.969 | 0.0240 | 60.7 | 0.0044 | 0.992 | 0.0085 |
| WSCA | 214.1 ± 6.4 | 204.1 | 0.1910 | 0.988 | 0.0082 | 209.2 | 0.0029 | 0.996 | 0.0048 |
| Ethanolic solution | |||||||||
| WSDPA | 14.3 ± 0.7 | 11.3 | 0.2668 | 0.819 | 0.1364 | 12.0 | 0.0310 | 0.880 | 0.1462 |
| WSCA | 24.9 ± 1.2 | 22.2 | 0.0532 | 0.954 | 0.0436 | 24.9 | 0.0029 | 0.985 | 0.0191 |
| Adsorbent | Adsorbed Amount [mg/g] | Reference |
|---|---|---|
| Methylene blue | ||
| WSDPA | 68 | This study |
| WSCA | 247 | This study |
| Activated carbon derived from coconut leaves (chemically activated by H2SO4) | 127 | [61] |
| Mesoporous high-surface-area activated carbon from rubber seed pericarp biomass wastes (microwave-assisted H3PO4 activation) | 348 | [62] |
| Mesoporous activated carbon from agricultural wastes including oil palm frond and palm kernel shell (microwave radiation-assisted K2CO3 activation) | 332 | [63] |
| Zeolite-activated carbon composite from oil palm ash (chemical activation with NaOH and hydrothermal treatment) | 144 | [64] |
| Porous graphene–carbon nanotubes composite (hydrothermal reaction) | 232 | [65] |
| Sheep and goat dung-derived activated carbon (chemical activation by KOH) | 25 | [66] |
| Poly(acrylic acid) | ||
| WSDPA | 29 | This study |
| WSCA | 38 | This study |
| Peat-based activated carbon (chemical activation with K2CO3) | 265 | [33] |
| Activated carbon obtained from horsetail herb (physical activation with steam and HCl washing) | 196 | [39] |
| Nettle herb-based activated carbon (chemical activation with H3PO4) | 273 | [54] |
| Hybrid carbon–mineral nanocomposites with metallic Mn elements | 35 | [67] |
| Poly(ethylene glycol) | ||
| WSDPA | 43 | This study |
| WSCA | 680 | This study |
| Commercial granular activated carbon 207-EA | 350 | [68] |
| Commercial activated carbon, Calgon Filtrasob 400 | 196 | [69] |
| Commercial activated carbon | 189 | [70] |
| Commercial activated carbon F-400 | 480 | [71] |
| Triton X-100 | ||
| WSDPA | 48 | This study |
| WSCA | 62 | This study |
| Activated carbon prepared from waste tires (chemical activation with KOH) | 220 | [72] |
| Commercial activated charcoal | 230 | [73] |
| Activated carbon obtained from horsetail herb (physical activation with steam and HCl washing) | 20 | [39] |
| Carbide-derived carbon | 578 | [74] |
Disclaimer/Publisher’s Note: The statements, opinions and data contained in all publications are solely those of the individual author(s) and contributor(s) and not of MDPI and/or the editor(s). MDPI and/or the editor(s) disclaim responsibility for any injury to people or property resulting from any ideas, methods, instructions or products referred to in the content. |
© 2024 by the authors. Licensee MDPI, Basel, Switzerland. This article is an open access article distributed under the terms and conditions of the Creative Commons Attribution (CC BY) license (https://creativecommons.org/licenses/by/4.0/).
Share and Cite
Wiśniewska, M.; Urban, T.; Tokarska, K.; Marciniak, P.; Giel, A.; Nowicki, P. Removal of Organic Dyes, Polymers and Surfactants Using Carbonaceous Materials Derived from Walnut Shells. Materials 2024, 17, 1987. https://doi.org/10.3390/ma17091987
Wiśniewska M, Urban T, Tokarska K, Marciniak P, Giel A, Nowicki P. Removal of Organic Dyes, Polymers and Surfactants Using Carbonaceous Materials Derived from Walnut Shells. Materials. 2024; 17(9):1987. https://doi.org/10.3390/ma17091987
Chicago/Turabian StyleWiśniewska, Małgorzata, Teresa Urban, Karina Tokarska, Paulina Marciniak, Anna Giel, and Piotr Nowicki. 2024. "Removal of Organic Dyes, Polymers and Surfactants Using Carbonaceous Materials Derived from Walnut Shells" Materials 17, no. 9: 1987. https://doi.org/10.3390/ma17091987
APA StyleWiśniewska, M., Urban, T., Tokarska, K., Marciniak, P., Giel, A., & Nowicki, P. (2024). Removal of Organic Dyes, Polymers and Surfactants Using Carbonaceous Materials Derived from Walnut Shells. Materials, 17(9), 1987. https://doi.org/10.3390/ma17091987

