Preparation of CS-LS/AgNPs Composites and Photocatalytic Degradation of Dyes
Abstract
1. Introduction
2. Materials and Methods
2.1. Materials
2.2. Preparation Methods
2.3. Material Characterization
2.4. Adsorption Experiments
2.5. Photocatalytic Experiments
3. Results
3.1. Characterization of CS-LS/AgNPs Composites
3.2. Catalytic Degradation Performance
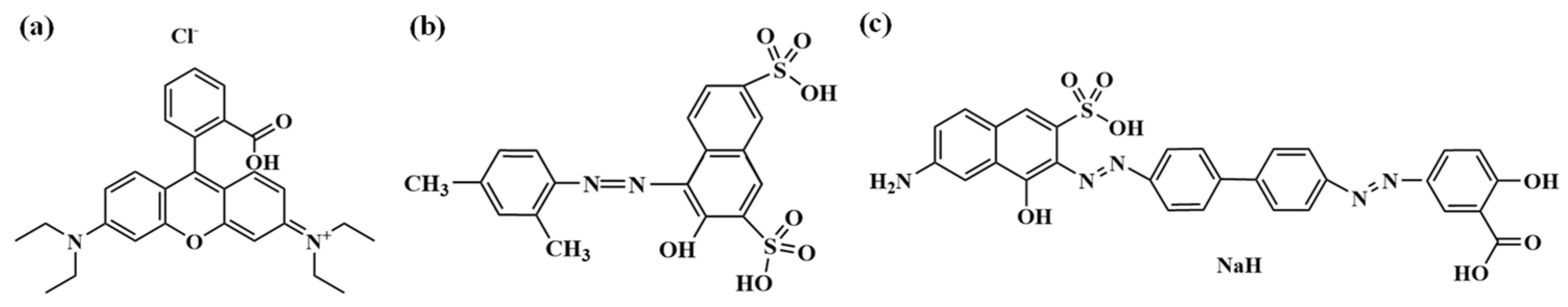
3.3. Applicability of CS-LS/AgNPs to a Variety of Dyes
3.4. Kinetics Research
3.5. Reusability of CS-LS/AgNPs
3.6. Photoadsorption Mechanism
4. Conclusions
Author Contributions
Funding
Institutional Review Board Statement
Informed Consent Statement
Data Availability Statement
Conflicts of Interest
References
- Slama, H.B.; Chenari Bouket, A.; Pourhassan, Z.; Alenezi, F.N.; Silini, A.; Cherif-Silini, H.; Oszako, T.; Luptakova, L.; Golińska, P.; Belbahri, L. Diversity of synthetic dyes from textile industries, discharge impacts and treatment methods. Appl. Sci. 2021, 11, 6255. [Google Scholar] [CrossRef]
- Adekunle, A.S.; Oyekunle, J.A.O.; Durodola, S.S.; Durosinmi, L.M.; Doherty, W.O.; Olayiwola, M.O.; Adegboyega, B.C.; Ajayeoba, T.A.; Akinyele, O.F.; Oluwafemi, O.S. Photocatalytic Degradation of dyes in wastewater using solar enhanced nickel oxide (NiO) nanocatalysts prepared by chemical methods. J. Fluoresc. 2023. [Google Scholar] [CrossRef]
- Kaur, Y.; Jasrotia, T.; Kumar, R.; Chaudhary, G.R.; Chaudhary, S. Adsorptive removal of eriochrome black T (EBT) dye by using surface active low cost zinc oxide nanoparticles: A comparative overview. Chemosphere 2021, 278, 130366. [Google Scholar] [CrossRef]
- Hao, P.V.; Minh, P.N.; Hong, P.N.; Huy, N.N.; Oanh, P.T.; Nguyen, H.T.; Tran, T.D.; Van Thanh, D.; Nguyen, V.T.K.; Dang, N.V. Gram-scale synthesis of electrochemically oxygenated graphene nanosheets for removal of methylene blue from aqueous solution. Nanotechnology 2021, 32, 16LT0. [Google Scholar] [CrossRef]
- Nagajyothi, P.C.; Ramaraghavulu, R.; Pavani, K.; Shim, J. Catalytic reduction of methylene blue and rhodamine B using Ce-MOF-derived CeO2 catalyst. Mater. Lett. 2023, 336, 133837. [Google Scholar] [CrossRef]
- Sirajudheen, P.; Karthikeyan, P.; Vigneshwaran, S.; Meenakshi, S. Complex interior and surface modified alginate reinforced reduced graphene oxide-hydroxyapatite hybrids: Removal of toxic azo dyes from the aqueous solution. Int. J. Biol. Macromol. 2021, 175, 361–371. [Google Scholar] [CrossRef]
- Algarni, T.S.; Al-Mohaimeed, A.M. Water purification by adsorption of pigments or pollutants via metaloxide. J. King. Saud. Univ. Sci. 2022, 34, 102339. [Google Scholar] [CrossRef]
- Yabalak, E.; Aminzai, M.T.; Gizir, A.M.; Yang, Y. A review: Subcritical water extraction of organic pollutants from environmental matrices. Molecules 2024, 29, 258. [Google Scholar] [CrossRef] [PubMed]
- Somma, S.; Reverchon, E.; Baldino, L. Water purification of classical and emerging organic pollutants: An extensive review. ChemEngineering 2021, 5, 47. [Google Scholar] [CrossRef]
- Shangguan, W.; Liu, Q.; Wang, Y.; Sun, N.; Liu, Y.; Zhao, R.; Li, Y.; Wang, C.; Zhao, J. Molecular-level insight into photocatalytic CO2 reduction with H2O over Au nanoparticles by interband transitions. Nat. Commun. 2022, 13, 3894–3904. [Google Scholar] [CrossRef] [PubMed]
- Belessiotis, G.V.; Kontos, A.G. Plasmonic silver (Ag)-based photocatalysts for H2 production and CO2 conversion: Review, analysis and perspectives. Renew. Energ. 2022, 195, 497–515. [Google Scholar] [CrossRef]
- Roman Castellanos, L.; Hess, O.; Lischner, J. Dielectric engineering of hot-carrier generation by quantized plasmons in embedded silver nanoparticles. J. Phys. Chem. C 2021, 125, 3081–3087. [Google Scholar] [CrossRef] [PubMed]
- Piao, H.; Zhao, J.; Liu, M.; Zhang, S.; Huang, Q.; Liu, Y.; Xiao, C. Ultra-low power light driven lycopodium-like nanofiber membrane reinforced by PET braid tube with robust pollutants removal and regeneration capacity based on photo-Fenton catalysis. Chem. Eng. J. 2022, 450, 138204. [Google Scholar] [CrossRef]
- Baig, U.; Waheed, A. A Facile strategy for fabrication of nanocomposite ultrafiltration membrane: Oily wastewater treatment and photocatalytic self-cleaning. npj Clean Water 2023, 6, 68. [Google Scholar] [CrossRef]
- Kolya, H.; Kuila, T.; Kim, N.H.; Lee, J.H. Bioinspired silver nanoparticles/reduced graphene oxide nanocomposites for catalytic reduction of 4-nitrophenol, organic dyes and act as energy storage electrode material. Compos. Part B Eng. 2019, 173, 106924. [Google Scholar] [CrossRef]
- Bagheri, M.; Heydari, M.; Sangpour, P.; Rabieh, S. In situ green synthesis of cellulose nanocomposite films incorporated with silver/silver chloride particles: Characterization and antibacterial performance. Chem. Pap. 2022, 76, 6223–6233. [Google Scholar] [CrossRef]
- Alamier, W.M.; Ottef, M.D.Y.; Bakry, A.M.; Hasan, N.; Ismail, K.S.; Awad, F.S. Green synthesis of silver nanoparticles using acacia ehrenbergiana plant cortex extract for efficient removal of rhodamine B cationic dye from wastewater and the evaluation of antimicrobial activity. ACS Omega 2023, 8, 18901–18914. [Google Scholar] [CrossRef]
- Kim, J.C.; Kim, J.; Park, J.; Oh, J.K.; Choi, I.G.; Kwak, H.W. Highly efficient and sustainable alginate/carboxylated lignin hybrid beads as adsorbent for cationic dye removal. React. Funct. Polym. 2021, 161, 104839. [Google Scholar] [CrossRef]
- Chen, Y.X.; Yuan, Y.M.; Yang, H.Y.; Wang, Q.; Ren, Y.; Guo, X.H.; Zhang, P.; Zhang, M.J.; Wang, W.; Chu, L.Y. Hierarchical porous tannic-acid-modified MOFs/alginate particles with synergized adsorption-photocatalysis for water remediation. Sep. Purif. Technol. 2024, 330, 125435. [Google Scholar] [CrossRef]
- Wang, P.; Chen, C.; Shen, H.; Wei, J.; Lan, Y.; Liao, X.; Fan, H.; Hu, H.; Zhang, Y.; Huang, Z. In situ immobilization of ZIF-8 on sodium lignosulfonate/chitosan foams for the efficient removal of ciprofloxacin from water. Cellulose 2023, 30, 4353–4371. [Google Scholar] [CrossRef]
- Sirajudheen, P.; Poovathumkuzhi, N.C.; Vigneshwaran, S.; Chelaveettil, B.M.; Meenakshi, S. Applications of chitin and chitosan based biomaterials for the adsorptive removal of textile dyes from water—A comprehensive review. Carbohyd. Polym. 2021, 273, 118604. [Google Scholar] [CrossRef]
- Saigl, Z.; Tifouti, O.; Alkhanbashi, B.; Alharbi, G.; Algamdi, H. Chitosan as adsorbent for removal of some organic dyes: A review. Chem. Pap. 2023, 77, 2363–2405. [Google Scholar] [CrossRef]
- Kumar, S.; Tiwari, A.; Chaudhari, C.V.; Bhardwaj, Y.K. Chitosan based radiation crosslinked and grafted matrix: An environment friendly adsorbent for dye uptake. Radiat. Phys. Chem. 2023, 208, 110876. [Google Scholar] [CrossRef]
- Liu, C.; Yuan, B.; Guo, M.; Yang, Q.; Nguyen, T.T.; Ji, X. Effect of sodium lignosulfonate on bonding strength and chemical structure of a lignosulfonate/chitosan-glutaraldehyde medium-density fiberboard adhesive. Adv. Compos. Hybrid Mater. 2021, 4, 1176–1184. [Google Scholar] [CrossRef]
- Zhang, Y.; Wang, D.; Bai, X.; Xu, J.; Zhang, J.; Zhang, G.; Huang, C.; Liu, W.; Huang, C.; Xiong, X. Microfluidic preparation of magnetic chitosan microsphere and its adsorption towards Congo red. J. Polym. Res. 2023, 30, 77. [Google Scholar] [CrossRef]
- Welchoff, M.A.; Wittenberg, A.T.; Jimenez, J.C.; Kamireddi, D.; Snelling, E.K.; Street, R.M.; Schauer, C.L. Post-modification of electrospun chitosan fibers. Polym. Eng. Sci. 2023, 63, 1921–1931. [Google Scholar] [CrossRef]
- Marković, D.; Petkovska, J.; Mladenovic, N.; Radoičić, M.; Rodriguez-Melendez, D.; Ilic-Tomic, T.; Radetić, M.; Grunlan, J.C.; Jordanov, I. Antimicrobial and UV protective chitosan/lignin multilayer nanocoating with immobilized silver nanoparticles. J. Appl. Polym. Sci. 2023, 140, e53823. [Google Scholar] [CrossRef]
- Jia, B.; Fei, C.; Hao, D.; Qiao, F.; Hu, H. Preparation of chitosan/sodium lignosulfonate/Ag NPs: A potent and green bio-nanocomposite for the treatment of glucocorticoid induced osteoporosis in rats. Inorg. Chem. Commun. 2022, 143, 109782. [Google Scholar] [CrossRef]
- Abdelrahman, N.S.; Galiwango, E.; Al-Marzouqi, A.H.; Mahmoud, E. Sodium lignosulfonate: A renewable corrosion inhibitor extracted from lignocellulosic waste. Biomass Convers. Biorefin. 2022, 2022, 1–11. [Google Scholar] [CrossRef]
- Jeong, H.; Lee, J. Ag/AgCl nanoparticles embedded in porous TiO2: Defect formation triggered by light irradiation. New J. Chem. 2021, 45, 11160–11166. [Google Scholar] [CrossRef]
- Daraei, P.; Rostami, E.; Nasirmanesh, F.; Nobakht, V. Preparation of pH-sensitive composite polyethersulfone membranes embedded by Ag(I) coordination polymer for the removal of cationic and anionic dyes. J. Environ. Manag. 2023, 347, 119083. [Google Scholar] [CrossRef]
- Yadav, V.; Banerjee, S.; Bairagi, S.; Baisoya, S. Green synthesis of sodium lignosulfonate nanoparticles using chitosan for significantly enhanced multifunctional characteristics. Int. J. Biol. Macromol. 2022, 211, 380–389. [Google Scholar] [CrossRef] [PubMed]
- Li, Y.; Sun, H.; Peng, T.; Qing, X. Effect of temperature on the synthesis of g-C3N4/montmorillonite and its visible-light photocatalytic properties. Clays Clay Miner. 2022, 70, 555–565. [Google Scholar] [CrossRef]
- Zhang, T.; Maihemllti, M.; Okitsu, K.; Talifur, D.; Tursun, Y.; Abulizi, A. In situ self-assembled S-scheme BiOBr/pCN hybrid with enhanced photocatalytic activity for organic pollutant degradation and CO2 reduction. Appl. Surf. Sci. 2021, 556, 149828. [Google Scholar] [CrossRef]









Disclaimer/Publisher’s Note: The statements, opinions and data contained in all publications are solely those of the individual author(s) and contributor(s) and not of MDPI and/or the editor(s). MDPI and/or the editor(s) disclaim responsibility for any injury to people or property resulting from any ideas, methods, instructions or products referred to in the content. |
© 2024 by the authors. Licensee MDPI, Basel, Switzerland. This article is an open access article distributed under the terms and conditions of the Creative Commons Attribution (CC BY) license (https://creativecommons.org/licenses/by/4.0/).
Share and Cite
Wu, J.; Chen, X.; Li, A.; Xing, T.; Chen, G. Preparation of CS-LS/AgNPs Composites and Photocatalytic Degradation of Dyes. Materials 2024, 17, 1214. https://doi.org/10.3390/ma17051214
Wu J, Chen X, Li A, Xing T, Chen G. Preparation of CS-LS/AgNPs Composites and Photocatalytic Degradation of Dyes. Materials. 2024; 17(5):1214. https://doi.org/10.3390/ma17051214
Chicago/Turabian StyleWu, Jiabao, Xinpeng Chen, Aijing Li, Tieling Xing, and Guoqiang Chen. 2024. "Preparation of CS-LS/AgNPs Composites and Photocatalytic Degradation of Dyes" Materials 17, no. 5: 1214. https://doi.org/10.3390/ma17051214
APA StyleWu, J., Chen, X., Li, A., Xing, T., & Chen, G. (2024). Preparation of CS-LS/AgNPs Composites and Photocatalytic Degradation of Dyes. Materials, 17(5), 1214. https://doi.org/10.3390/ma17051214

