Dislocation Hardening in a New Manufacturing Route of Ferritic Oxide Dispersion-Strengthened Fe-14Cr Cladding Tube
Abstract
1. Introduction
2. Materials and Methods
2.1. Materials and Shaping
2.2. Experimental Techniques
3. Results and Discussion
3.1. Hardness Evolution during the Manufacturing Route
3.2. Microstructural Evolution
3.2.1. Nano-Oxides
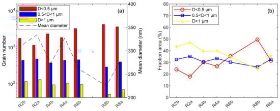
3.2.2. Grain Size, Texture and Dislocation Density
3.2.3. Hardening Contributions
3.2.4. Heat Treatment Behavior
- From room temperature to 400 °C, decreases and increases (Figure 10c). The latter describes the average dislocation [28]. The increase in both and can be understood in terms of the annihilation of dislocation dipoles for which Re is small [28]. Although both the dipoles and sub-grain boundaries have a small , the latter are stable structures at high temperatures, as seen before with evolution.
- From 400 to 600 °C, both and decline slightly. This means that SSD start to annihilate with a faster kinetics than bellow 400 °C. Since and are decreasing (Figure 10d), assumption can be made on the disappearance of dislocations with longer screening length. In addition, some dislocations can rearrange into GND structures (with lower energy), also leading to a decrease in and .
- The 650–700 °C temperature range corresponds to the sample Curie point measured by calorimetry for this sample. Anomalous behavior in the lattice parameters [55] and also in diffusion kinetics are well known around the Curie point in ferritic stainless steels. In the studied alloy, these changes are local and since the material did not transform completely to the FCC phase (small austenite peak is visible near the 110 refection above 800 °C, Figure 9), they could induce extra strain, affecting peak broadening. As the measurements were acquired during heating, crossing the Curie point, this anomalous behavior could lead to the observed increase in and , describing the dislocation rearrangement. The interpretation of these parameters above 600 °C is not possible. This austenitic phase disappears again after cooling.
- Hardening models
- Microstructural evolution
4. Conclusions
Author Contributions
Funding
Institutional Review Board Statement
Informed Consent Statement
Data Availability Statement
Acknowledgments
Conflicts of Interest
References
- DOENE (USDOE Office of Nuclear Energy, Science and Technology (NE)). A Technology Roadmap for Generation IV Nuclear Energy Systems; GIF-002-00, 859029; DOENE: Washington, DC, USA, 2002.
- Carré, F.; Yvon, P.; Chaix, P. Innovative Reactor Systems and Requirements for Structural Materials. In Proceedings of the Workshop Proceedings of the Structural Materials for Innovative Nuclear Systems, Karlsruhe, Germany, 4–6 June 2008; pp. 39–47. [Google Scholar]
- Yvon, P.; Carré, F. Structural Materials Challenges for Advanced Reactor Systems. J. Nucl. Mater. 2009, 385, 217–222. [Google Scholar] [CrossRef]
- Huet, J.-J. Possible Fast-Reactor Canning Material Strenghtened and Stabilized by Dispersion. Powder Metall. 1967, 10, 208–215. [Google Scholar] [CrossRef]
- Narita, T.; Ukai, S.; Kaito, T.; Ohtsuka, S.; Kobayashi, T. Development of Two-Step Softening Heat Treatment for Manufacturing 12Cr-ODS Ferritic Steel Tubes. J. Nucl. Sci. Technol. 2004, 41, 1008–1012. [Google Scholar] [CrossRef]
- De Bremaecker, A. Past Research and Fabrication Conducted at SCK•CEN on Ferritic ODS Alloys Used as Cladding for FBR’s Fuel Pins. J. Nucl. Mater. 2012, 428, 13–30. [Google Scholar] [CrossRef]
- Toualbi, L.; Olier, P.; Rouesne, E.; Bossu, D.; de Carlan, Y. On the Influence of Cold Rolling Parameters for 14CrW-ODS Ferritic Steel Claddings. KEM 2013, 554–557, 118–126. [Google Scholar] [CrossRef]
- Massey, C.P.; Edmondson, P.D.; Gussev, M.N.; Mao, K.; Gräning, T.; Nizolek, T.J.; Maloy, S.A.; Sornin, D.; De Carlan, Y.; Dryepondt, S.N.; et al. Insights from Microstructure and Mechanical Property Comparisons of Three Pilgered Ferritic ODS Tubes. Mater. Des. 2022, 213, 110333. [Google Scholar] [CrossRef]
- Kim, Y.C.; Jin, H.J.; Noh, S.H.; Kang, S.H.; Choi, B.K.; Kim, K.B.; Kim, G.E.; Kim, T.K. Microhardness and Microstructure of Ferritic-Martensitic ODS Steel Tube Fabricated by a Pilger Process. In Proceedings of the Transactions of the Korean Nuclear Society Spring Meeting, Jeju, Republic of Korea, 11–13 May 2016. [Google Scholar]
- Aghamiri, S.M.S.; Sowa, T.; Ukai, S.; Oono, N.; Sakamoto, K.; Yamashita, S. Microstructure and Texture Evolution and Ring-Tensile Properties of Recrystallized FeCrAl ODS Cladding Tubes. Mater. Sci. Eng. A 2020, 771, 138636. [Google Scholar] [CrossRef]
- Parida, P.K.; Dasgupta, A.; Sinha, S.K. Comparison of Microstructure and Microtexture Evolution in 9Cr and 18Cr Oxide Dispersion-Strengthened Steels during Fuel Clad Tube Fabrication. J. Mater. Eng. Perform. 2021, 30, 9227–9236. [Google Scholar] [CrossRef]
- Inoue, M.; Kaito, T.; Ohtsuka, S. Research and Development of Oxide Dispersion Strengthened Ferritic Steels for Sodium Cooled Fast Breeder Reactor Fuels. In Materials Issues for Generation IV Systems; Ghetta, V., Gorse, D., Mazière, D., Pontikis, V., Eds.; NATO Science for Peace and Security Series B: Physics and Biophysics; Springer: Dordrecht, The Netherlands, 2008; pp. 311–325. ISBN 978-1-4020-8421-8. [Google Scholar]
- Alamo, A.; Regle, H.; Pons, G.; Béchade, J.L. Microstructure and Textures of Ods Ferritic Alloys Obtained by Mechanical Alloying. MSF 1992, 88–90, 183–190. [Google Scholar] [CrossRef]
- Ukai, S.; Nishida, T.; Okada, H.; Okuda, T.; Fujiwara, M.; Asabe, K. Development of Oxide Dispersion Strengthened Ferritic Steels for FBR Core Application, (I): Improvement of Mechanical Properties by Recrystallization Processing. J. Nucl. Sci. Technol. 1997, 34, 256–263. [Google Scholar] [CrossRef]
- Ukai, S.; Nishida, T.; Okuda, T.; Yoshitake, T. Development of Oxide Dispersion Strengthened Steels for FBR Core Application, (II): Morphology Improvement by Martensite Transformation. J. Nucl. Sci. Technol. 1998, 35, 294–300. [Google Scholar] [CrossRef]
- Fournier, B.; Steckmeyer, A.; Rouffie, A.-L.; Malaplate, J.; Garnier, J.; Ratti, M.; Wident, P.; Ziolek, L.; Tournie, I.; Rabeau, V.; et al. Mechanical Behaviour of Ferritic ODS Steels—Temperature Dependancy and Anisotropy. J. Nucl. Mater. 2012, 430, 142–149. [Google Scholar] [CrossRef]
- Narita, T.; Ukai, S.; Leng, B.; Ohtsuka, S.; Kaito, T. Characterization of Recrystallization of 12Cr and 15Cr ODS Ferritic Steels. J. Nucl. Sci. Technol. 2013, 50, 314–320. [Google Scholar] [CrossRef]
- Leng, B.; Ukai, S.; Sugino, Y.; Tang, Q.; Narita, T.; Hayashi, S.; Wan, F.; Ohtsuka, S.; Kaito, T. Recrystallization Texture of Cold-Rolled Oxide Dispersion Strengthened Ferritic Steel. ISIJ Int. 2011, 51, 951–957. [Google Scholar] [CrossRef]
- Autones, L.; Aubry, P.; Ribis, J.; Leguy, H.; Legris, A.; de Carlan, Y. Assessment of Ferritic ODS Steels Obtained by Laser Additive Manufacturing. Materials 2023, 16, 2397. [Google Scholar] [CrossRef]
- Allen, A.J.; Zhang, F.; Kline, R.J.; Guthrie, W.F.; Ilavsky, J. NIST Standard Reference Material 3600: Absolute Intensity Calibration Standard for Small-Angle X-ray Scattering. J Appl Crystallogr 2017, 50, 462–474. [Google Scholar] [CrossRef]
- Spartacus, G.; Malaplate, J.; De Geuser, F.; Sornin, D.; Gangloff, A.; Guillou, R.; Deschamps, A. Nano-Oxide Precipitation Kinetics during the Consolidation Process of a Ferritic Oxide Dispersion Strengthened Steel. Scr. Mater. 2020, 188, 10–15. [Google Scholar] [CrossRef]
- Deschamps, A.; De Geuser, F. On the Validity of Simple Precipitate Size Measurements by Small-Angle Scattering in Metallic Systems. J. Appl. Crystallogr. 2011, 44, 343–352. [Google Scholar] [CrossRef]
- Gerold, V.; Kostorz, G. Small-Angle Scattering Applications to Materials Science. J. Appl. Crystallogr. 1978, 11, 376–404. [Google Scholar] [CrossRef]
- Dumont, M.; Commin, L.; Morfin, I.; DeGeuser, F.; Legendre, F.; Maugis, P. Chemical Composition of Nano-Phases Studied by Anomalous Small-Angle X-ray Scattering: Application to Oxide Nano-Particles in ODS Steels. Mater. Charact. 2014, 87, 138–142. [Google Scholar] [CrossRef]
- Ungár, T.; Borbély, A. The Effect of Dislocation Contrast on X-ray Line Broadening: A New Approach to Line Profile Analysis. Appl. Phys. Lett. 1996, 69, 3173–3175. [Google Scholar] [CrossRef]
- Zhang, H.; Johansson, B.; Vitos, L. Ab Initio Calculations of Elastic Properties of Bcc Fe-Mg and Fe-Cr Random Alloys. Phys. Rev. B 2009, 79, 224201. [Google Scholar] [CrossRef]
- Borbély, A. The Modified Williamson-Hall Plot and Dislocation Density Evaluation from Diffraction Peaks. Scr. Mater. 2022, 217, 114768. [Google Scholar] [CrossRef]
- Borbély, A.; Aoufi, A.; Becht, D. X-ray Methods for Strain Energy Evaluation of Dislocated Crystals. J. Appl. Crystallogr. 2023, 56, 254–262. [Google Scholar] [CrossRef]
- Hull, D.; Bacon, D.J. Introduction to Dislocations, 5th ed.; Elsevier: Amsterdam, The Netherlands; Butterworth Heinemann: Heidelberg, Germany, 2011; ISBN 978-0-08-096672-4. [Google Scholar]
- Okuda, T.; Fujiwara, M. Dispersion Behaviour of Oxide Particles in Mechanically Alloyed ODS Steel. J. Mater. Sci. Lett. 1995, 14, 1600–1603. [Google Scholar] [CrossRef]
- Ribis, J.; de Carlan, Y. Interfacial Strained Structure and Orientation Relationships of the Nanosized Oxide Particles Deduced from Elasticity-Driven Morphology in Oxide Dispersion Strengthened Materials. Acta Mater. 2012, 60, 238–252. [Google Scholar] [CrossRef]
- Spartacus, G.; Malaplate, J.; De Geuser, F.; Mouton, I.; Sornin, D.; Perez, M.; Guillou, R.; Arnal, B.; Rouesne, E.; Deschamps, A. Chemical and Structural Evolution of Nano-Oxides from Mechanical Alloying to Consolidated Ferritic Oxide Dispersion Strengthened Steel. Acta Mater. 2022, 233, 117992. [Google Scholar] [CrossRef]
- Zhong, S.Y.; Ribis, J.; Klosek, V.; De Carlan, Y.; Lochet, N.; Ji, V.; Mathon, M.H. Study of the Thermal Stability of Nanoparticle Distributions in an Oxide Dispersion Strengthened (ODS) Ferritic Alloys. J. Nucl. Mater. 2012, 428, 154–159. [Google Scholar] [CrossRef]
- Humphreys, F.J.; Hatherly, M. Recrystallization and Related Annealing Phenomena; Elsevier Science: Amsterdam, The Netherlands, 2012; ISBN 978-0-08-098388-2. [Google Scholar]
- Serrano, M.; García-Junceda, A.; Hernández, R.; Mayoral, M.H. On Anisotropy of Ferritic ODS Alloys. Mater. Sci. Technol. 2014, 30, 1664–1668. [Google Scholar] [CrossRef]
- Ukai, S.; Mizuta, S.; Yoshitake, T.; Okuda, T.; Fujiwara, M.; Hagi, S.; Kobayashi, T. Tube Manufacturing and Characterization of Oxide Dispersion Strengthened Ferritic Steels. J. Nucl. Mater. 2000, 283–287, 702–706. [Google Scholar] [CrossRef]
- Raabe, D.; Lücke, K. Rolling and Annealing Textures of BCC Metals. MSF 1994, 157–162, 597–610. [Google Scholar] [CrossRef]
- Kestens, L.A.I.; Pirgazi, H. Texture Formation in Metal Alloys with Cubic Crystal Structures. Mater. Sci. Technol. 2016, 32, 1303–1315. [Google Scholar] [CrossRef]
- Pantleon, W. Resolving the Geometrically Necessary Dislocation Content by Conventional Electron Backscattering Diffraction. Scr. Mater. 2008, 58, 994–997. [Google Scholar] [CrossRef]
- Ashby, M.F. The Deformation of Plastically Non-Homogeneous Materials. Philos. Mag. 1970, 21, 399–424. [Google Scholar] [CrossRef]
- Field, D.P.; Trivedi, P.B.; Wright, S.I.; Kumar, M. Analysis of Local Orientation Gradients in Deformed Single Crystals. Ultramicroscopy 2005, 103, 33–39. [Google Scholar] [CrossRef]
- Kocks, U.F.; Argon, A.S.; Ashby, M.F. Thermodynamics and Kinetics of Slip; Pergamon Press: Oxford, UK, 1975. [Google Scholar]
- Fribourg, G.; Bréchet, Y.; Deschamps, A.; Simar, A. Microstructure-Based Modelling of Isotropic and Kinematic Strain Hardening in a Precipitation-Hardened Aluminium Alloy. Acta Mater. 2011, 59, 3621–3635. [Google Scholar] [CrossRef]
- Tabor, D. The Hardness of Metals; Oxford Classic Texts in the Physical Sciences; Oxford University Press: Oxford, UK; Clarendon Press: New York, NY, USA, 2000; ISBN 978-0-19-850776-5. [Google Scholar]
- Cahoon, J.R.; Broughton, W.H.; Kutzak, A.R. The Determination of Yield Strength from Hardness Measurements. Metall. Trans. 1971, 2, 1979–1983. [Google Scholar] [CrossRef]
- Lacy, C.E.; Gensamer, M. The Tensile Properties of Alloyed Ferrites. Trans. Am. Soc. Met. 1944, 32, 88–110. [Google Scholar]
- Martin, J.W. Micromechanisms in Particle-Hardened Alloys; Cambridge University Press: Cambridge, UK, 1980; ISBN 0-521-22623-6. [Google Scholar]
- Dangwal, S.; Edalati, K.; Valiev, R.Z.; Langdon, T.G. Breaks in the Hall–Petch Relationship after Severe Plastic Deformation of Magnesium, Aluminum, Copper, and Iron. Crystals 2023, 13, 413. [Google Scholar] [CrossRef]
- Srinivasarao, B.; Oh-Ishi, K.; Ohkubo, T.; Hono, K. Bimodally Grained High-Strength Fe Fabricated by Mechanical Alloying and Spark Plasma Sintering. Acta Mater. 2009, 57, 3277–3286. [Google Scholar] [CrossRef]
- Kubin, L.P.; Mortensen, A. Geometrically Necessary Dislocations and Strain-Gradient Plasticity: A Few Critical Issues. Scr. Mater. 2003, 48, 119–125. [Google Scholar] [CrossRef]
- Ateba Betanda, Y.; Helbert, A.-L.; Brisset, F.; Mathon, M.-H.; Waeckerlé, T.; Baudin, T. Measurement of Stored Energy in Fe–48%Ni Alloys Strongly Cold-Rolled Using Three Approaches: Neutron Diffraction, Dillamore and KAM Approaches. Mater. Sci. Eng. A 2014, 614, 193–198. [Google Scholar] [CrossRef]
- Birosca, S.; Liu, G.; Ding, R.; Jiang, J.; Simm, T.; Deen, C.; Whittaker, M. The Dislocation Behaviour and GND Development in a Nickel Based Superalloy during Creep. Int. J. Plast. 2019, 118, 252–268. [Google Scholar] [CrossRef]
- Zhu, C.; Harrington, T.; Gray, G.T.; Vecchio, K.S. Dislocation-Type Evolution in Quasi-Statically Compressed Polycrystalline Nickel. Acta Mater. 2018, 155, 104–116. [Google Scholar] [CrossRef]
- Wilkens, M. Fundamental Aspects of Dislocation Theory; Simmons, J.A., de Wit, R., Bullough, R., Eds.; National Bureau of Standards Special Publication 317; U. S. Government Printing Office: Washington, DC, USA, 1970; Volume 2.
- Ridley, N.; Stuart, H. Lattice Parameter Anomalies at the Curie Point of Pure Iron. J. Phys. D Appl. Phys. 1968, 1, 1291–1295. [Google Scholar] [CrossRef]
- Kozlov, E.V.; Koneva, N.A. Internal Fields and Other Contributions to Flow Stress. Mater. Sci. Eng. A 1997, 234–236, 982–985. [Google Scholar] [CrossRef]
- Mughrabi, H. The α-Factor in the Taylor Flow-Stress Law in Monotonic, Cyclic and Quasi-Stationary Deformations: Dependence on Slip Mode, Dislocation Arrangement and Density. Curr. Opin. Solid State Mater. Sci. 2016, 20, 411–420. [Google Scholar] [CrossRef]











| Content (wt.%) | |||||||||||
|---|---|---|---|---|---|---|---|---|---|---|---|
| Fe | C | Cr | Mn | Mo | Ni | Si | Ti | W | Y | N | O |
| Bal. | 0.013 | 14 | 0.25 | 0.005 | 0.33 | 0.28 | 0.27 | 1.1 | 0.15 | 0.015 | 0.13 |
| ±0.001 | ±0.6 | ±0.02 | ±0.001 | ±0.05 | ±0.01 | ±0.01 | ±0.27 | ±0.04 | ±0.0005 | ±0.01 | |
| MT | R2a | R8* | |
|---|---|---|---|
| Volume fraction (%) | 0.36 ± 0.09 | 0.33 ± 0.08 | 0.26 ± 0.07 |
| Mean radius (nm) | 1.4 ± 0.2 | 1.8 ± 0.2 | 2.0 ± 0.1 |
| R8b | R8a | |
|---|---|---|
| (1015 m−2) | 1.0 ± 0.6 | 0.8 ± 0.5 |
| (1015 m−2) | 3.8 ± 0.2 | 0.5 ± 0.2 |
Disclaimer/Publisher’s Note: The statements, opinions and data contained in all publications are solely those of the individual author(s) and contributor(s) and not of MDPI and/or the editor(s). MDPI and/or the editor(s) disclaim responsibility for any injury to people or property resulting from any ideas, methods, instructions or products referred to in the content. |
© 2024 by the authors. Licensee MDPI, Basel, Switzerland. This article is an open access article distributed under the terms and conditions of the Creative Commons Attribution (CC BY) license (https://creativecommons.org/licenses/by/4.0/).
Share and Cite
Salliot, F.; Borbély, A.; Sornin, D.; Logé, R.; Spartacus, G.; Leguy, H.; Baudin, T.; de Carlan, Y. Dislocation Hardening in a New Manufacturing Route of Ferritic Oxide Dispersion-Strengthened Fe-14Cr Cladding Tube. Materials 2024, 17, 1146. https://doi.org/10.3390/ma17051146
Salliot F, Borbély A, Sornin D, Logé R, Spartacus G, Leguy H, Baudin T, de Carlan Y. Dislocation Hardening in a New Manufacturing Route of Ferritic Oxide Dispersion-Strengthened Fe-14Cr Cladding Tube. Materials. 2024; 17(5):1146. https://doi.org/10.3390/ma17051146
Chicago/Turabian StyleSalliot, Freddy, András Borbély, Denis Sornin, Roland Logé, Gabriel Spartacus, Hadrien Leguy, Thierry Baudin, and Yann de Carlan. 2024. "Dislocation Hardening in a New Manufacturing Route of Ferritic Oxide Dispersion-Strengthened Fe-14Cr Cladding Tube" Materials 17, no. 5: 1146. https://doi.org/10.3390/ma17051146
APA StyleSalliot, F., Borbély, A., Sornin, D., Logé, R., Spartacus, G., Leguy, H., Baudin, T., & de Carlan, Y. (2024). Dislocation Hardening in a New Manufacturing Route of Ferritic Oxide Dispersion-Strengthened Fe-14Cr Cladding Tube. Materials, 17(5), 1146. https://doi.org/10.3390/ma17051146

