Influence of Grain-Growth Inhibitors on Modified (Ba,Sr)(Sn,Ti)O3 for Electrocaloric Application
Abstract
1. Introduction
2. Materials and Methods
3. Results and Discussion
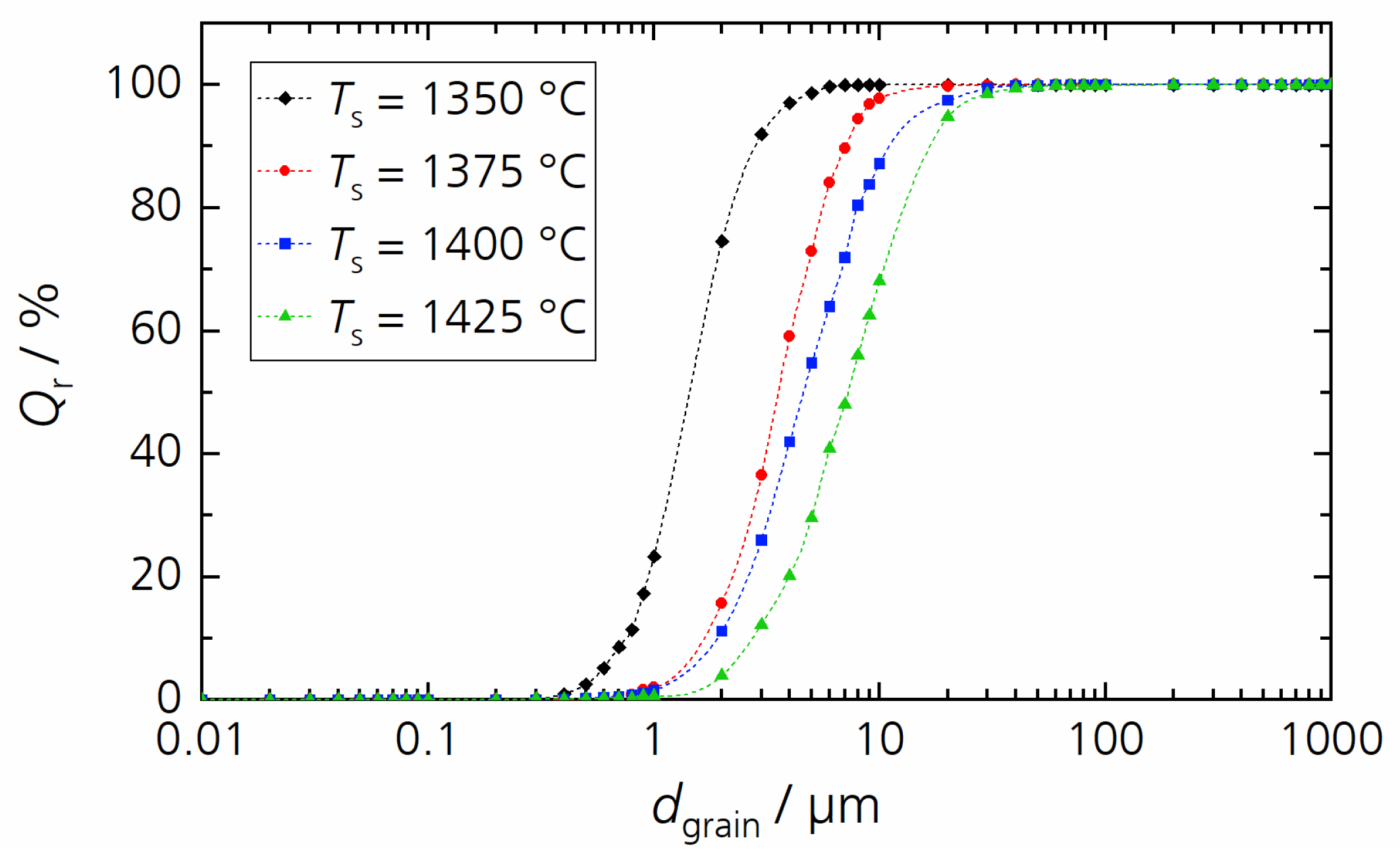
3.1. Microstructural Analysis
3.2. Phase Anaylsis
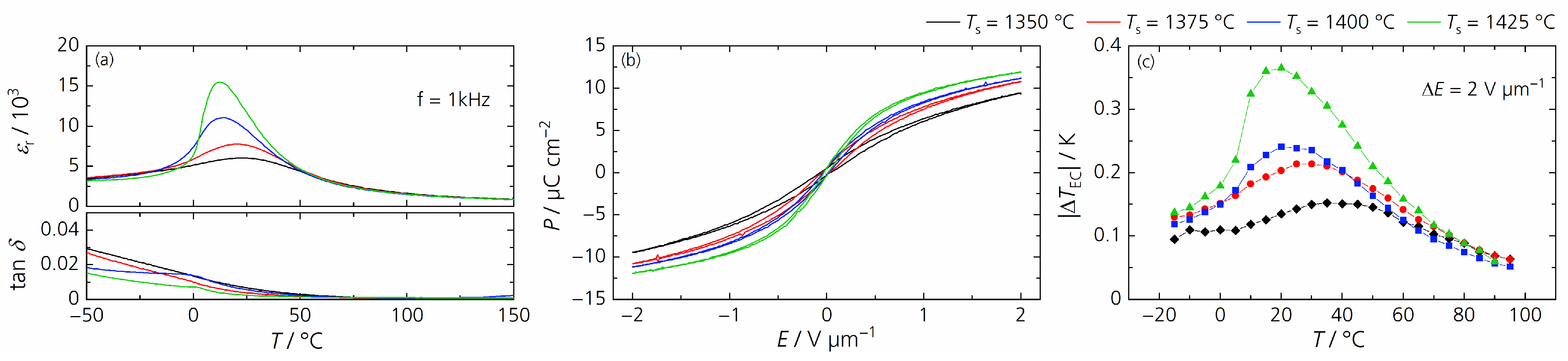
3.3. Dielectric Properties
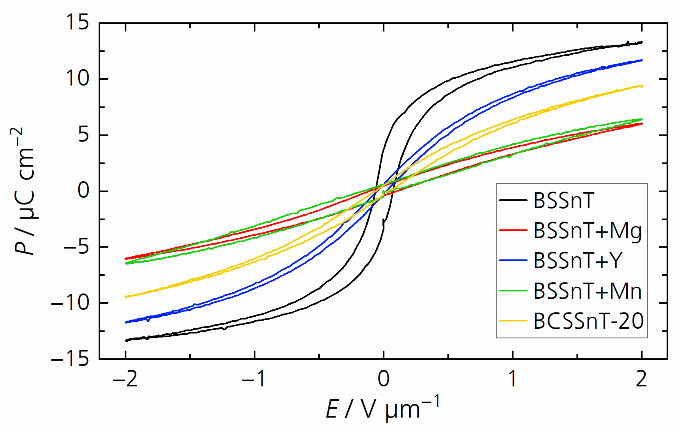
3.4. Ferroelectric Properties
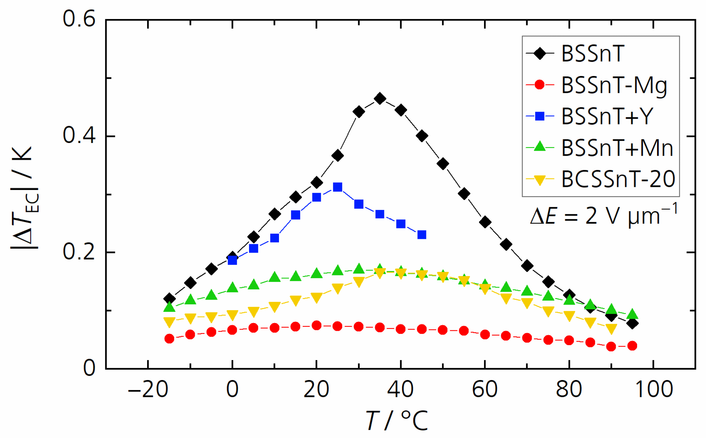
3.5. Electrocaloric Properties
3.6. Influence of Sintering Time and Temprature on BCSSnT-20 Bulk Ceramics
| Material | T/ °C | ΔE/ V µm−1 | |ΔTEC|/ K | ΔT/ΔE/ 10−6 K m V−1 | Measurement | Ref. |
|---|---|---|---|---|---|---|
| Ba0.62Ca0.20Sr0.18Sn0.065Ti0.935O3 | 20 | 2 | 0.37 | 0.19 | thermocouple | This work |
| (Ba0.8Ca0.2)1−xLa2x/3TiO3 | 77 | 2.5 | 0.3 | 0.12 | calorimeter | [39] |
| Ba0.95Ca0.05Ti0.92Sn0.08O3 | 55 | 2 | 0.32 | 0.16 | DSC | [40] |
| Ba1−xCaxTi0.9Zr0.1O3 | 90 | 1.6 | 0.29 | 0.18 | Pt100 | [41] |
| Ba0.9Sr0.1Ti0.95Sn0.05O3 | 67 | 0.7 | 0.19 | 0.27 | thermistor | [42] |
| Ba0.77Ca0.21Sn0.02Ti0.94Nb0.04Sn0.02O3 | 17 | 5 | 0.18 | 0.04 | thermistor | [43] |
| Ba0.87Ca0.13Ti0.87Hf0.13O3 | 65 | 1 | 0.30 | 0.30 | DSC | [44] |
| Ba0.82Sr0.18Sn0.065Ti0.935O3 | 31 | 2 | 0.49 | 0.25 | thermocouple | [15] |
| (Ba0.82Sr0.18)x(Sn0.65Ti0.935)yO3 | 30 | 5 | 0.59 | 0.12 | thermoelement | [22] |
| Ba1−yCayTi1−xHfxO3 | 57 | 1.6 | 0.20 | 0.13 | thermocouple | [45] |
4. Conclusions
Supplementary Materials
Author Contributions
Funding
Institutional Review Board Statement
Informed Consent Statement
Data Availability Statement
Conflicts of Interest
References
- Correia, T.; Zhang, Q. Electrocaloric Materials; Springer: Berlin/Heidelberg, Germany, 2014. [Google Scholar]
- Mischenko, A.S.; Zhang, Q.; Scott, J.F.; Whatmore, R.W.; Mathur, N.D. Giant Electrocaloric Effect in Thin-Film PbZr0.95Ti0.05O3. Science 2006, 311, 1270–1271. [Google Scholar] [CrossRef]
- Nouchokgwe, Y.; Lheritier, P.; Hong, C.-H.; Torelló, A.; Faye, R.; Jo, W.; Bahl, C.R.H.; Defay, E. Giant electrocaloric materials energy efficiency in highly ordered lead scandium tantalate. Nat. Commun. 2021, 12, 3298. [Google Scholar] [CrossRef] [PubMed]
- Xiao, D.Q.; Wang, Y.C.; Zhang, R.L.; Peng, S.Q.; Zhu, J.G.; Yang, B. Electrocaloric properties of (1 − x)Pb(Mg1/3Nb2/3)O3–xPbTiO3 ferroelectric ceramics near room temperature. Mater. Chem. Phys. 1998, 57, 182–185. [Google Scholar] [CrossRef]
- Asbani, B.; Dellis, J.-L.; Lahmar, A.; Courty, M.; Amjoud, M.; Gagou, Y.; Djellab, K.; Mezzane, D.; Kutnjak, Z.; El Marssi, M. Lead-free Ba 0.8Ca0.2(ZrxTi1−x)O3 ceramics with large electrocaloric effect. Appl. Phys. Lett. 2015, 106, 042902. [Google Scholar] [CrossRef]
- Asbani, B.; Gagou, Y.; Ben Moumen, S.; Dellis, J.-L.; Lahmar, A.; Amjoud, M.; Mezzane, D.; El Marssi, M.; Rozic, B.; Kutnjak, Z. Large Electrocaloric Responsivity and Energy Storage Response in the Lead-Free Ba(GexTi1−x)O3 Ceramics. Materials 2022, 15, 5227. [Google Scholar] [CrossRef] [PubMed]
- Bondarev, V.S.; Flerov, I.N.; Gorev, M.V.; Pogoreltsev, E.I.; Molokeev, M.S.; Mikhaleva, E.A.; Shabanov, A.V.; Es’kov, A.V. Influence of thermal conditions on the electrocaloric effect in a multilayer capacitor based on doped BaTiO3. J. Adv. Dielectr. 2017, 7, 1750041. [Google Scholar] [CrossRef]
- Guvenc, C.M.; Adem, U. Influence of aging on electrocaloric effect in Li+ doped BaTiO3 ceramics. J. Alloys Compd. 2019, 791, 674–680. [Google Scholar] [CrossRef]
- Bai, Y.; Zheng, G.-P.; Shi, S.-Q. Abnormal electrocaloric effect of Na0.5Bi0.5TiO3–BaTiO3 lead-free ferroelectric ceramics above room temperature. Mater. Res. Bull. 2011, 46, 1866–1869. [Google Scholar] [CrossRef]
- Kandula, K.R.; Banerjee, K.; Raavi, S.S.K.; Asthana, S. Enhanced Electrocaloric Effect and Energy Storage Density of Nd-Substituted 0.92NBT-0.08BT Lead Free Ceramic. Phys. Status Solidi A 2018, 215, 1700915. [Google Scholar] [CrossRef]
- Wei, Q.; Fulanovic, L.; Lalitha, K.V.; Zheng, M.; Hou, Y.; Zhu, M.; Liu, L.; Chang, Y.; Xue, R. Large electrocaloric effect with ultrawide temperature span in Na1/2Bi1/2TiO3-based lead-free ceramics. J. Am. Ceram. Soc. 2022, 105, 3312–3321. [Google Scholar] [CrossRef]
- Feng, X.; Zhao, Y.; Wang, Y.; Xie, Y.; Han, P.; Li, Y.; Hao, X. Enhanced electrocaloric effect in KNN-based ceramic via polymorphic phase transition. Ceram. Int. 2023, 50, 1788–1794. [Google Scholar] [CrossRef]
- Aissa, M.; Zannen, M.; Benyoussef, M.; Belhadi, J.; Spreitzer, M.; Kutnjak, Z.; El Marssi, M.; Lahmar, A. Large direct and inverse electrocaloric effects in lead-free Dy doped 0.975KNN-0.025NBT ceramics. Ceram. Int. 2021, 47, 31286–31293. [Google Scholar] [CrossRef]
- Molin, C.; Neumeister, P.; Neubert, H.; Gebhardt, S.E. Multilayer Ceramics for Electrocaloric Cooling Applications. Energy Technol. 2018, 6, 1543–1552. [Google Scholar] [CrossRef]
- Molin, C.; Richter, T.; Gebhardt, S. Tailoring electrocaloric properties of Ba1-xSrxSnyTi1-yO3 ceramics by compositional modification. J. Eur. Ceram. Soc. 2022, 42, 140–146. [Google Scholar] [CrossRef]
- Li, Z.; Molin, C.; Gebhardt, S.E. Influence of Sintering Additives on Modified (Ba,Sr)(Sn,Ti)O3 for Electrocaloric Application. Inorganics 2023, 11, 151. [Google Scholar] [CrossRef]
- Kim, J.H.; Yoon, S.H.; Han, Y.H. Effects of Y2O3 addition on electrical conductivity and dielectric properties of Ba-excess BaTiO3. J. Eur. Ceram. Soc. 2007, 27, 1113–1116. [Google Scholar] [CrossRef]
- Zhang, L.; Jiang, S.; Zeng, Y.; Fu, M.; Han, K.; Li, Q.; Wang, Q.; Zhang, G. Y doping and grain size co-effects on the electrical energy storage performance of (Pb0.87Ba0.1La0.02) (Zr0.65Sn0.3Ti0.05)O3 anti-ferroelectric ceramics. Ceram. Int. 2014, 40, 5455–5460. [Google Scholar] [CrossRef]
- Chen, W.; Zhao, X.; Sun, J.; Zhang, L.; Zhong, L. Effect of the Mn doping concentration on the dielectric and ferroelectric properties of different-routes-fabricated BaTiO3-based ceramics. J. Alloys Compd. 2016, 670, 48–54. [Google Scholar] [CrossRef]
- Wang, X.; Liang, P.; Chao, X.; Yang, Z. Dielectric Properties and Impedance Spectroscopy of MnCO3-Modified (Ba0.85Ca0.15)(Zr0.1Ti0.9)O3 Lead-Free Ceramics. J. Am. Ceram. Soc. 2015, 98, 1506–1514. [Google Scholar] [CrossRef]
- Na Zhu, X.; Zhang, W.; Chen, X.M. Enhanced dielectric and ferroelectric characteristics in Ca-modified BaTiO3 ceramics. AIP Adv. 2013, 3, 082125. [Google Scholar] [CrossRef]
- Li, Z.; Molin, C.; Michaelis, A.; Gebhardt, S.E. Modified (Ba,Sr)(Sn,Ti)O3 via hydrothermal synthesis for electrocaloric application. Open Ceram. 2023, 16, 100502. [Google Scholar] [CrossRef]
- Jeong, J.; Han, Y.H. Effects of MgO-Doping on Electrical Properties and Microstructure of BaTiO3. Jpn. J. Appl. Phys. 2004, 43, 5373–5377. [Google Scholar] [CrossRef]
- Kim, C.-H.; Park, K.-J.; Yoon, Y.-J.; Hong, M.-H.; Hong, J.-O.; Hur, K.-H. Role of yttrium and magnesium in the formation of core-shell structure of BaTiO3 grains in MLCC. J. Eur. Ceram. Soc. 2008, 28, 1213–1219. [Google Scholar] [CrossRef]
- Shannon, R.D. Revised effective ionic radii and systematic studies of interatomic distances in halides and chalcogenides. Acta Cryst. 1976, 32, 751–766. [Google Scholar] [CrossRef]
- Tang, B.; Zhang, S.; Zhou, X.; Yuan, Y. Doping effects of Mn2+ on the dielectric properties of glass-doped BaTiO3-based X8R materials. J. Mater. Sci. Mater. Electron. 2006, 18, 541–545. [Google Scholar] [CrossRef]
- Niu, X.; Jian, X.; Chen, X.; Li, H.; Liang, W.; Yao, Y.; Tao, T.; Liang, B.; Lu, S.-G. Enhanced electrocaloric effect at room temperature in Mn2+ doped lead-free (BaSr)TiO3 ceramics via a direct measurement. J. Adv. Ceram. 2021, 10, 482–492. [Google Scholar] [CrossRef]
- Uchino, K.; Nomura, S. Critical exponents of the dielectric constants in diffused-phase-transition crystals. Ferroelectrics 1982, 44, 55–61. [Google Scholar] [CrossRef]
- Raddaoui, Z.; El Kossi, S.; Dhahri, J.; Abdelmoula, N.; Taibi, K. Study of diffuse phase transition and relaxor ferroelectric behavior of Ba0.97Bi0.02Ti0.9Zr0.05Nb0.04O3 ceramic. RSC Adv. 2019, 9, 2412–2425. [Google Scholar] [CrossRef] [PubMed]
- Kumar, N.K.; Jayakrishnan, A.; Silva, J.; Sekhar, K. Effect of MgO doping on energy storage and electrocaloric properties of ferroelectric 0.6Ba(Zr0.2Ti0.8)O3–0.4(Ba0.7Ca0.3)TiO3 ceramics. Mater. Today Commun. 2023, 35, 105754. [Google Scholar] [CrossRef]
- Uršič, H.; Fulanović, L.; Vrabelj, M.; Kutnjak, Z.; Rožič, B.; Drnovšek, S.; Malič, B. Electrocaloric properties of 0.7Pb(Mg1/3Nb2/3)O3–0.3PbTiO3ceramics with different grain sizes. Adv. Appl. Ceram. 2016, 115, 77–80. [Google Scholar] [CrossRef]
- Vrabelj, M.; Uršič, H.; Kutnjak, Z.; Rožič, B.; Drnovšek, S.; Benčan, A.; Bobnar, V.; Fulanović, L.; Malič, B. Large electrocaloric effect in grain-size-engineered 0.9Pb(Mg1/3Nb2/3)O3–0.1PbTiO3. J. Eur. Ceram. Soc. 2016, 36, 75–80. [Google Scholar] [CrossRef]
- Mao, C.; Yan, S.; Cao, S.; Yao, C.; Cao, F.; Wang, G.; Dong, X.; Hu, X.; Yang, C. Effect of grain size on phase transition, dielectric and pyroelectric properties of BST ceramics. J. Eur. Ceram. Soc. 2014, 34, 2933–2939. [Google Scholar] [CrossRef]
- Mudinepalli, V.R.; Feng, L.; Lin, W.-C.; Murty, B.S. Effect of grain size on dielectric and ferroelectric properties of nanostructured Ba0.8Sr0.2TiO3 ceramics. J. Adv. Ceram. 2015, 4, 46–53. [Google Scholar] [CrossRef]
- Fang, C.; Zhou, D.; Gong, S. Core-shell structure and size effect in barium titanate nanoparticle. Phys. B Condens. Matter 2011, 406, 1317–1322. [Google Scholar] [CrossRef]
- Qiu, J.H.; Jiang, Q. Grain size effect on the electrocaloric effect of dense BaTiO3 nanoceramics. J. Appl. Phys. 2009, 105, 034110. [Google Scholar] [CrossRef]
- Chen, X.; Fang, C. Study of electrocaloric effect in barium titanate nanoparticle with core–shellmodel. Phys. B Condens. Matter 2013, 415, 14–17. [Google Scholar] [CrossRef]
- Tunkasiri, T.; Rujijanagul, G. Dielectric strength of fine grained barium titanate ceramics. J. Mater. Sci. Lett. 1996, 15, 1767–1769. [Google Scholar] [CrossRef]
- Asbani, B.; Gagou, Y.; Trček, M.; Dellis, J.-L.; Amjoud, M.; Lahmar, A.; Mezzane, D.; Kutnjak, Z.; El Marssi, M. Dielectric permittivity enhancement and large electrocaloric effect in the lead free (Ba0.8Ca0.2)1-xLa2x/3TiO3 ferroelectric ceramics. J. Alloys Compd. 2018, 730, 501–508. [Google Scholar] [CrossRef]
- Gaied, A.I.; Dahri, A.; Perrin, V.; Seveyrat, L.; Sassi, Z.; Khemakhem, H.; Abdelmoula, N.; Benzarti, Z. Synergistic effects of Zn B-site substitution in lead-free Ba0.95Ca0.05Ti0.92Sn0.08O3 ferroelectric ceramics for enhancing piezoelectric properties in energy harvesting applications. J. Alloys Compd. 2023, 958, 170419. [Google Scholar] [CrossRef]
- Zhao, Y.; Xian, F.-Z.; Wang, Q.; Wang, C.-M. Electrocaloric effects of Ba1−xCaxTi0.9Zr0.1O3 through both direct and indirect measurements. Ceram. Int. 2023, 50, 5104–5110. [Google Scholar] [CrossRef]
- Zaitouni, H.; Hajji, L.; Mezzane, D.; Choukri, E.; Alimoussa, A.; Ben Moumen, S.; Rožič, B.; El Marssi, M.; Kutnjak, Z. Direct electrocaloric, structural, dielectric, and electric properties of lead-free ferroelectric material Ba0.9Sr0.1Ti1−xSnxO3 synthesized by semi-wet method. Phys. B Condens. Matter 2019, 566, 55–62. [Google Scholar] [CrossRef]
- Venkateshwarlu, S.; Nayak, S.; Marlton, F.P.; Weyland, F.; Novak, N.; Maurya, D.; Veerabhadraiah, Y.; Borkiewicz, O.; Beyer, K.A.; Jørgensen, M.R.V.; et al. Relaxor behavior and electrothermal properties of Sn- and Nb-modified (Ba,Ca)TiO3 Pb-free ferroelectric. J. Mater. Res. 2020, 35, 1017–1027. [Google Scholar] [CrossRef]
- Zhao, L.; Ke, X.; Zhou, Z.; Liao, X.; Li, J.; Wang, Y.; Wu, M.; Li, T.; Bai, Y.; Ren, X. Large electrocaloric effect over a wide temperature range in BaTiO3-modified lead-free ceramics. J. Mater. Chem. C 2019, 7, 1353–1358. [Google Scholar] [CrossRef]
- Gracia, D.; Lafuerza, S.; Blasco, J.; Evangelisti, M. The electrocaloric effect of lead-free Ba1−yCayTi1−xHfxO3 from direct and indirect measurements. APL Mater. 2023, 11, 12110. [Google Scholar] [CrossRef]














| Sample | Additive | xadditive/% | TS/°C | d50/µm |
|---|---|---|---|---|
| BSSnT | - | - | 1400 | 40 |
| BSSnT + Mg | MgO | 0.5, 1 | 1400 | 0.4 |
| BSSnT + Y | Y2O3 | 0.25, 0.5, 1 | 1350 | 0.8 |
| BSSnT + Mn | MnCO3 | 0.5, 1, 1.5, 2 | 1350 | 0.4 |
| BCSSnT-20 | CaCO3 | 10, 20 | 1350 | 1.5 |
| Sample | Tm/°C | εr,m | tan δm | γ |
|---|---|---|---|---|
| BSSnT | 27 | 25,300 | 0.0041(1) | 1.65 (6) |
| BSSnT + Mg | −11 | 4900 | 0.0119(1) | 1.89 (9) |
| BSSnT + Y | 20 | 11,000 | 0.0111(3) | 1.47 (2) |
| BSSnT + Mn | 14 | 3400 | 0.0158(1) | 1.87 (5) |
| BCSSnT-20 | 23 | 6000 | 0.0074(2) | 1.90 (4) |
| Sample | Pm/µC cm−2 | Pr/µC cm−2 | Ec/10−2 V µm−1 |
|---|---|---|---|
| BSSnT | 13.4 | 3.3 | 4.7 |
| BSSnT + Mg | 6.1 | 0.4 | 8.6 |
| BSSnT + Y | 11.7 | 0.3 | 0.6 |
| BSSnT + Mn | 6.5 | 0.6 | 3.5 |
| BCSSnT-20 | 9.5 | 0.5 | 1.6 |
| ts/ h | d50/ µm | Φ/ % | Tm/ °C | εr,m | tan δm | γ | Pm/ µC cm−2 | Pr/ µC cm−2 | Ec/ 10−2 V µm−1 | T/ °C | |ΔTEC|/ K |
|---|---|---|---|---|---|---|---|---|---|---|---|
| 1 | 1.5 | 0.6 | 23 | 6000 | 0.0074 (2) | 1.90 (4) | 9.5 | 0.5 | 1.6 | 35 | 0.15 |
| 2 | 1.9 | 0.7 | 23 | 6200 | 0.0068 (2) | 1.93 (8) | 10.1 | 0.6 | 5.5 | 35 | 0.15 |
| 4 | 1.9 | 1.0 | 23 | 7300 | 0.0055 (2) | 1.89 (7) | 10.6 | 0.6 | 2.2 | 35 | 0.17 |
| Ts/ °C | d50/µm | Φ/ % | Tm/ °C | εr,m | tan δm | γ | Pm/ µC cm−2 | Pr/ µC cm−2 | Ec/ 10−2 V µm−1 | T/ °C | |ΔTEC|/ K |
|---|---|---|---|---|---|---|---|---|---|---|---|
| 1350 | 1.5 | 0.6 | 23 | 6000 | 0.0074 (2) | 1.90 (4) | 9.5 | 0.5 | 1.6 | 35 | 0.15 |
| 1375 | 3.6 | 1.2 | 20 | 7800 | 0.0045 (1) | 1.86 (2) | 10.8 | 0.5 | 2.0 | 25 | 0.21 |
| 1400 | 4.7 | 2.4 | 13 | 11,000 | 0.0080 (10) | 1.77 (6) | 11.4 | 0.4 | 0.2 | 20 | 0.24 |
| 1425 | 7.3 | 2.2 | 13 | 15,000 | 0.0045 (9) | 1.72 (5) | 12.0 | 0.2 | 0.1 | 20 | 0.37 |
Disclaimer/Publisher’s Note: The statements, opinions and data contained in all publications are solely those of the individual author(s) and contributor(s) and not of MDPI and/or the editor(s). MDPI and/or the editor(s) disclaim responsibility for any injury to people or property resulting from any ideas, methods, instructions or products referred to in the content. |
© 2024 by the authors. Licensee MDPI, Basel, Switzerland. This article is an open access article distributed under the terms and conditions of the Creative Commons Attribution (CC BY) license (https://creativecommons.org/licenses/by/4.0/).
Share and Cite
Li, Z.; Molin, C.; Gebhardt, S.E. Influence of Grain-Growth Inhibitors on Modified (Ba,Sr)(Sn,Ti)O3 for Electrocaloric Application. Materials 2024, 17, 1036. https://doi.org/10.3390/ma17051036
Li Z, Molin C, Gebhardt SE. Influence of Grain-Growth Inhibitors on Modified (Ba,Sr)(Sn,Ti)O3 for Electrocaloric Application. Materials. 2024; 17(5):1036. https://doi.org/10.3390/ma17051036
Chicago/Turabian StyleLi, Zhenglyu, Christian Molin, and Sylvia E. Gebhardt. 2024. "Influence of Grain-Growth Inhibitors on Modified (Ba,Sr)(Sn,Ti)O3 for Electrocaloric Application" Materials 17, no. 5: 1036. https://doi.org/10.3390/ma17051036
APA StyleLi, Z., Molin, C., & Gebhardt, S. E. (2024). Influence of Grain-Growth Inhibitors on Modified (Ba,Sr)(Sn,Ti)O3 for Electrocaloric Application. Materials, 17(5), 1036. https://doi.org/10.3390/ma17051036

