Resonant Tunnelling and Intersubband Optical Properties of ZnO/ZnMgO Semiconductor Heterostructures: Impact of Doping and Layer Structure Variation
Abstract
1. Introduction
2. Methods
3. Results and Discussion
3.1. Multiple-Quantum-Well Structure
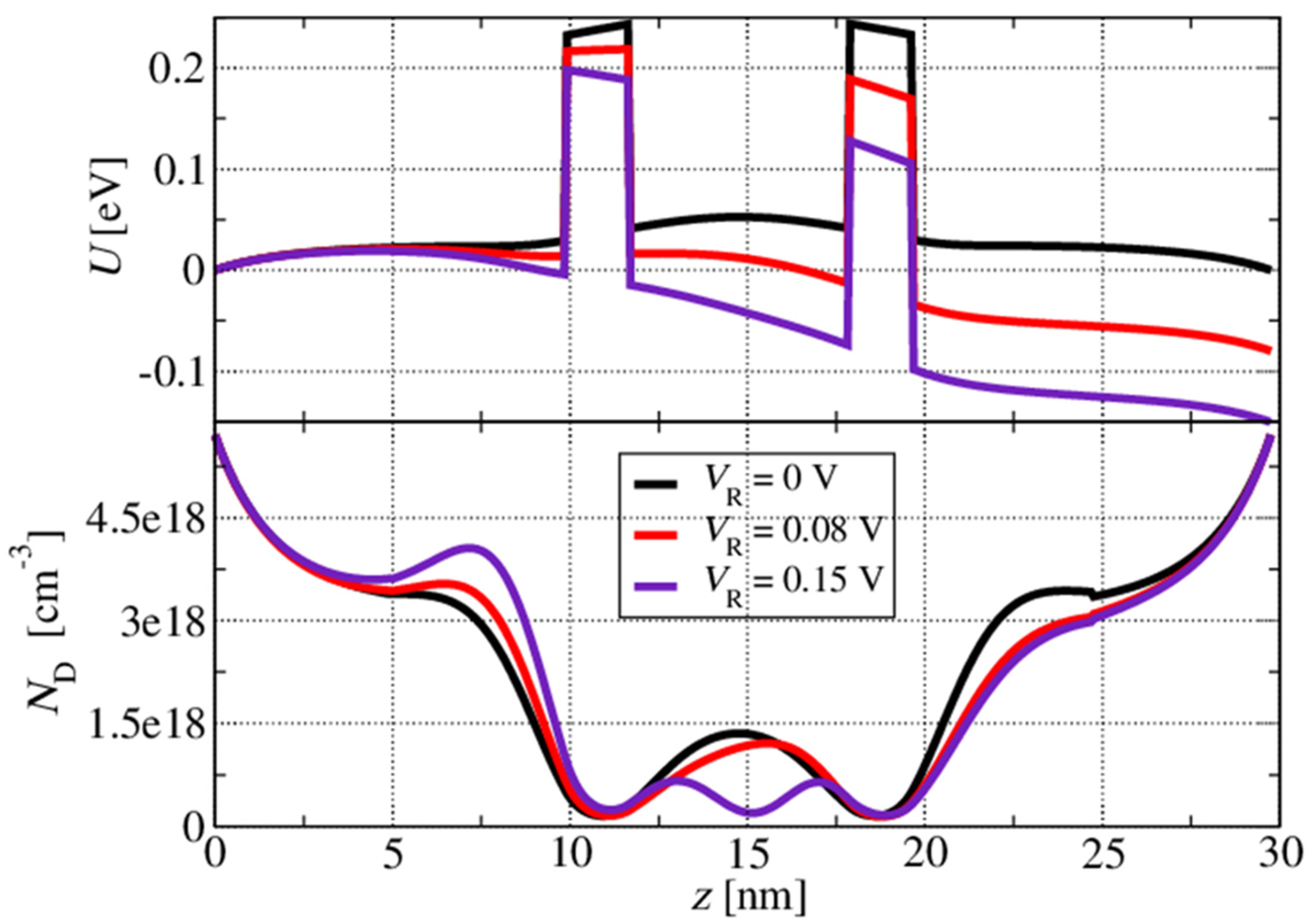
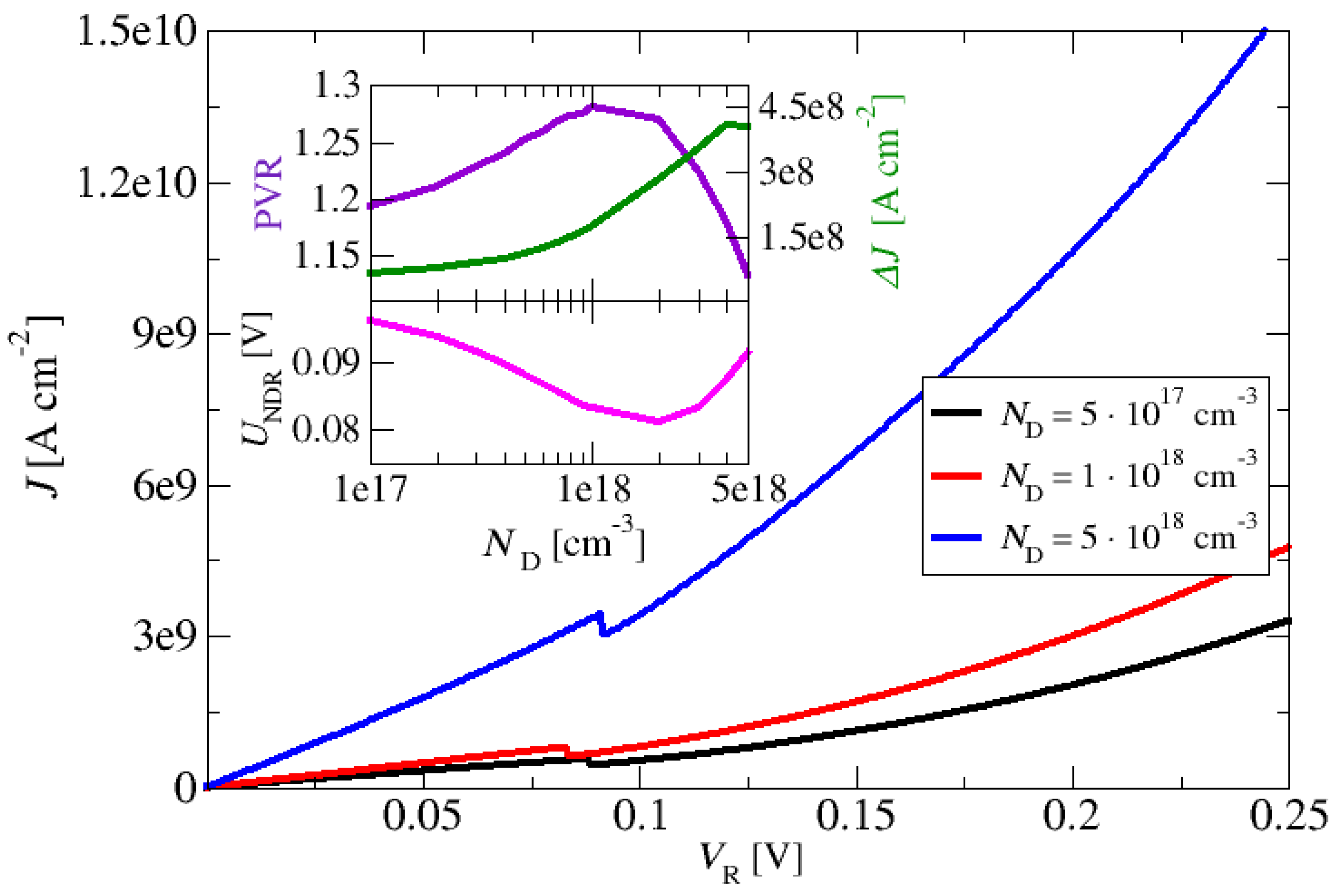
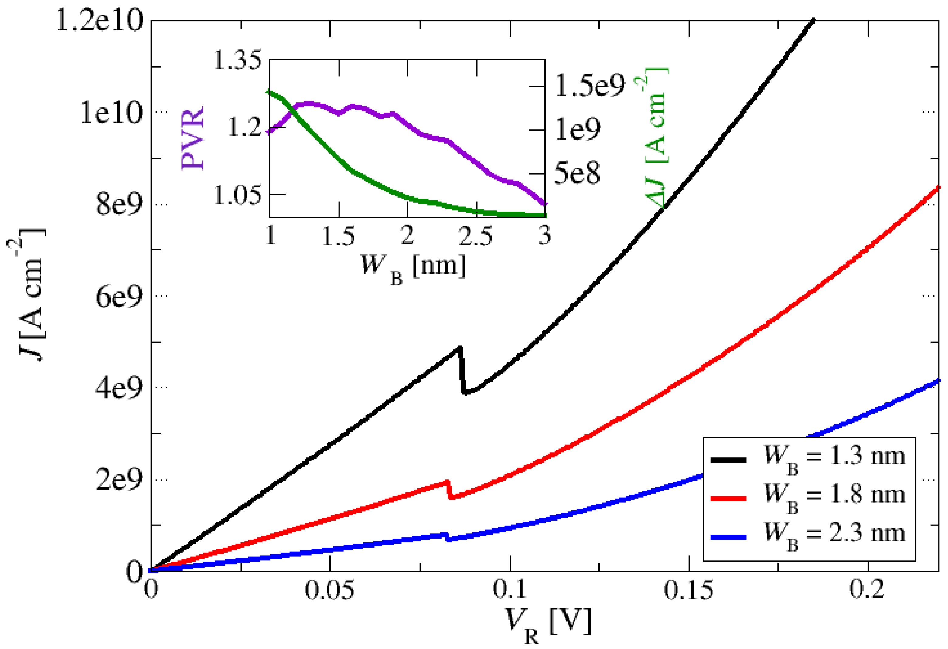
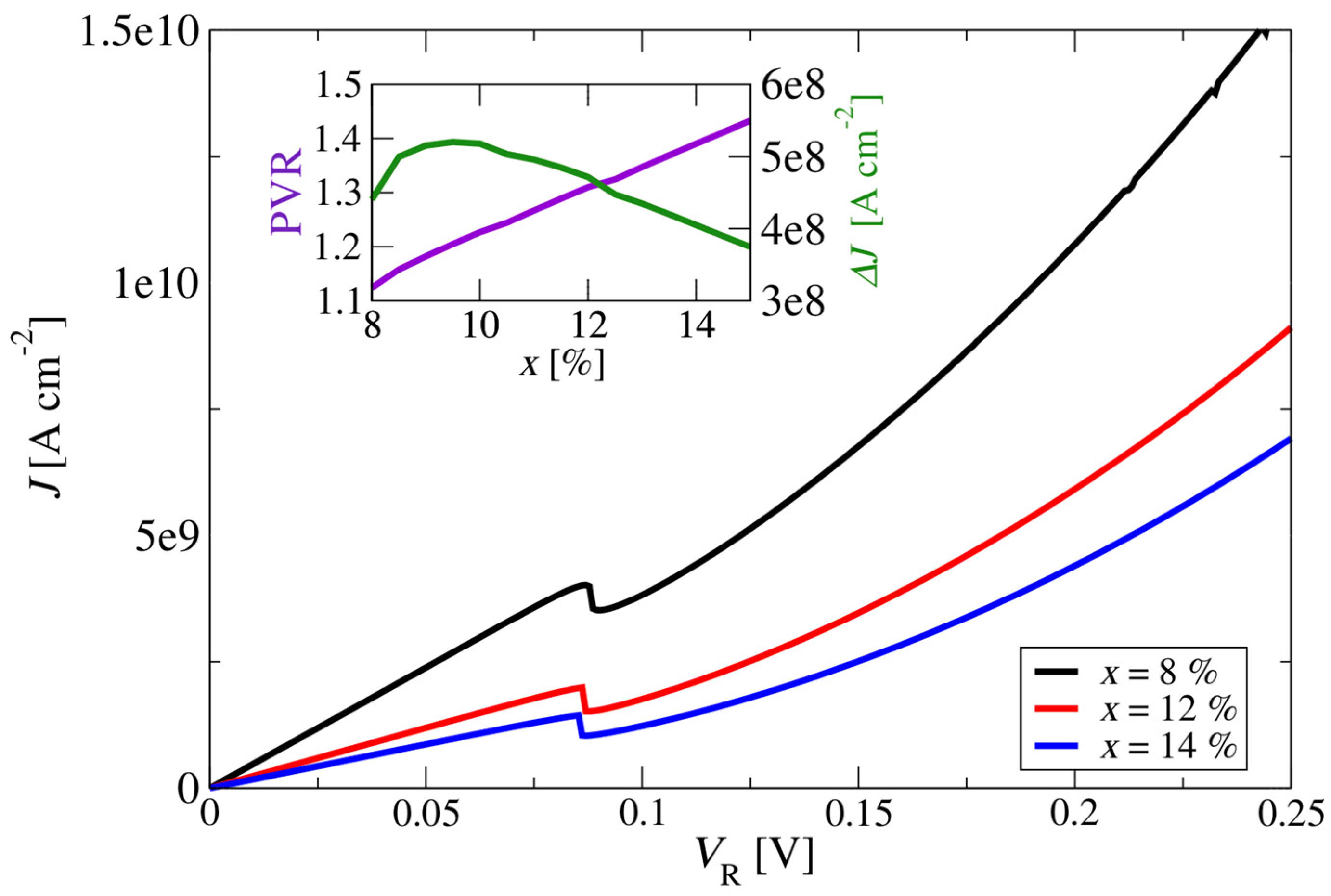
3.2. Resonant Tunnelling Structures
4. Conclusions
Author Contributions
Funding
Data Availability Statement
Conflicts of Interest
Correction Statement
Appendix A
Appendix B
References
- Faist, J. Quantum Cascade Lasers; EBSCO Ebook Academic Collection; OUP Oxford: Oxford, UK, 2013; ISBN 9780198528241. [Google Scholar]
- Terahertz and Mid Infrared Radiation: Detection of Explosives and CBRN (Using Terahertz); NATO Science for Peace and Security Series B: Physics and Biophysics; Pereira, M.F., Shulika, O., Eds.; Springer Netherlands: Dordrecht, the Netherlands, 2014; ISBN 978-94-017-8571-6. [Google Scholar]
- Sirtori, C. Terahertz Race Heats Up. Nat. Photonics 2021, 15, 1–2. [Google Scholar] [CrossRef]
- Williams, B.S. Terahertz Quantum-Cascade Lasers. Nat. Photonics 2007, 1, 517–525. [Google Scholar] [CrossRef]
- Mid-Infrared and Terahertz Quantum Cascade Lasers; Botez, D., Belkin, M.A., Eds.; Cambridge University Press: Cambridge, UK, 2023; ISBN 9781108552066. [Google Scholar]
- Pereira, M. Analytical Expressions for Numerical Characterization of Semiconductors per Comparison with Luminescence. Materials 2017, 11, 2. [Google Scholar] [CrossRef] [PubMed]
- Oriaku, C.I.; Pereira, M.F. Analytical Solutions for Semiconductor Luminescence Including Coulomb Correlations with Applications to Dilute Bismides. J. Opt. Soc. Am. B 2017, 34, 321. [Google Scholar] [CrossRef]
- Pereira, M.F.; Henneberger, K. Microscopic Theory for the Optical Properties of Coulomb-Correlated Semiconductors. Phys. Status Solidi 1998, 206, 477–491. [Google Scholar] [CrossRef]
- Pereira, M.F.; Zubelli, J.P.; Winge, D.; Wacker, A.; Rodrigues, A.S.; Anfertev, V.; Vaks, V. Theory and Measurements of Harmonic Generation in Semiconductor Superlattices with Applications in the 100 GHz to 1 THz Range. Phys. Rev. B 2017, 96, 045306. [Google Scholar] [CrossRef]
- Pereira, M.F.; Anfertev, V.; Shevchenko, Y.; Vaks, V. Giant Controllable Gigahertz to Terahertz Nonlinearities in Superlattices. Sci. Rep. 2020, 10, 15950. [Google Scholar] [CrossRef]
- Vaks, V.; Anfertev, V.; Chernyaeva, M.; Domracheva, E.; Yablokov, A.; Maslennikova, A.; Zhelesnyak, A.; Baranov, A.; Schevchenko, Y.; Pereira, M.F. Sensing Nitriles with THz Spectroscopy of Urine Vapours from Cancers Patients Subject to Chemotherapy. Sci. Rep. 2022, 12, 18117. [Google Scholar] [CrossRef]
- Pereira, M.F.; Anfertev, V.A.; Zubelli, J.P.; Vaks, V.L. Terahertz Generation by Gigahertz Multiplication in Superlattices. J. Nanophotonics 2017, 11, 046022. [Google Scholar] [CrossRef]
- Apostolakis, A.; Pereira, M.F. Potential and Limits of Superlattice Multipliers Coupled to Different Input Power Sources. J. Nanophotonics 2019, 13, 036017. [Google Scholar] [CrossRef]
- Apostolakis, A.; Pereira, M.F. Superlattice Nonlinearities for Gigahertz-Terahertz Generation in Harmonic Multipliers. Nanophotonics 2020, 9, 3941–3952. [Google Scholar] [CrossRef]
- Apostolakis, A.; Pereira, M.F. Controlling the Harmonic Conversion Efficiency in Semiconductor Superlattices by Interface Roughness Design. AIP Adv. 2019, 9, 015022. [Google Scholar] [CrossRef]
- Pereira, M.F. Harmonic Generation in Biased Semiconductor Superlattices. Nanomaterials 2022, 12, 1504. [Google Scholar] [CrossRef]
- Hillbrand, J.; Matthieu Krüger, L.; Dal Cin, S.; Knötig, H.; Heidrich, J.; Maxwell Andrews, A.; Strasser, G.; Keller, U.; Schwarz, B. High-Speed Quantum Cascade Detector Characterized with a Mid-Infrared Femtosecond Oscillator. Opt. Express 2021, 29, 5774. [Google Scholar] [CrossRef]
- Zafar, H.; Pereira, M.F.; Kennedy, K.L.; Anjum, D.H. Fabrication-Tolerant and CMOS-Compatible Polarization Splitter and Rotator Based on a Compact Bent-Tapered Directional Coupler. AIP Adv. 2020, 10, 125214. [Google Scholar] [CrossRef]
- Zafar, H.; Zhai, Y.; Villegas, J.E.; Ravaux, F.; Kennedy, K.L.; Pereira, M.F.; Rasras, M.; Shamim, A.; Anjum, D.H. Compact Broadband (O, E, S, C, L & U Bands) Silicon TE-Pass Polarizer Based on Ridge Waveguide Adiabatic S-Bends. Opt. Express 2022, 30, 10087. [Google Scholar] [CrossRef] [PubMed]
- Zafar, H.; Paredes, B.; Taha, I.; Villegas, J.E.; Rasras, M.; Pereira, M.F. Compact and Broadband Adiabatically Bent Superlattice-Waveguides With Negligible Insertion Loss and Ultra-Low Crosstalk. IEEE J. Sel. Top. Quantum Electron. 2023, 29, 4400109. [Google Scholar] [CrossRef]
- Zafar, H.; Paredes, B.; Villegas, J.; Rasras, M.; Pereira, M.F. O-Band TE- and TM-Mode Densely Packed Adiabatically Bent Waveguide Arrays on the Silicon-on-Insulator Platform. Opt. Express 2023, 31, 21389–21398. [Google Scholar] [CrossRef]
- Cardilli, M.C.; Dabbicco, M.; Mezzapesa, F.P.; Scamarcio, G. Linewidth Measurement of Mid Infrared Quantum Cascade Laser by Optical Feedback Interferometry. Appl. Phys. Lett. 2016, 108, 031105. [Google Scholar] [CrossRef]
- Li, L.H.; Zhu, J.X.; Chen, L.; Davies, A.G.; Linfield, E.H. The MBE Growth and Optimization of High Performance Terahertz Frequency Quantum Cascade Lasers. Opt. Express 2015, 23, 2720. [Google Scholar] [CrossRef]
- Winge, D.O.; Franckié, M.; Verdozzi, C.; Wacker, A.; Pereira, M.F. Simple Electron-Electron Scattering in Non-Equilibrium Green’s Function Simulations. J. Phys. Conf. Ser. 2016, 696, 012013. [Google Scholar] [CrossRef]
- Leitenstorfer, A.; Moskalenko, A.S.; Kampfrath, T.; Kono, J.; Castro-Camus, E.; Peng, K.; Qureshi, N.; Turchinovich, D.; Tanaka, K.; Markelz, A.G.; et al. The 2023 Terahertz Science and Technology Roadmap. J. Phys. D Appl. Phys. 2023, 56, 223001. [Google Scholar] [CrossRef]
- Wang, R.; Täschler, P.; Wang, Z.; Gini, E.; Beck, M.; Faist, J. Monolithic Integration of Mid-Infrared Quantum Cascade Lasers and Frequency Combs with Passive Waveguides. ACS Photonics 2022, 9, 426–431. [Google Scholar] [CrossRef]
- Dakhlaoui, H.; Nefzi, M. Enhancement of the Optical Absorption in MgZnO/ZnO Quantum Well under External Electric Field. Optik 2018, 157, 1342–1349. [Google Scholar] [CrossRef]
- Jirauschek, C.; Kubis, T. Modeling Techniques for Quantum Cascade Lasers. Appl. Phys. Rev. 2014, 1, 011307. [Google Scholar] [CrossRef]
- Vukovic, N.; Radovanovic, J.; Milanovic, V.; Boiko, D.L. Numerical Study of Risken–Nummedal–Graham–Haken Instability in Mid-Infrared Fabry–Pérot Quantum Cascade Lasers. Opt. Quantum Electron. 2020, 52, 91. [Google Scholar] [CrossRef]
- Isić, G.; Radovanović, J.; Milanović, V. Anisotropic Spin-Dependent Electron Tunneling in a Triple-Barrier Resonant Tunneling Diode. J. Appl. Phys. 2007, 102, 123704. [Google Scholar] [CrossRef]
- Ando, T.; Fowler, A.B.; Stern, F. Electronic Properties of Two-Dimensional Systems. Rev. Mod. Phys. 1982, 54, 437–672. [Google Scholar] [CrossRef]
- Pegolotti, G.; Vasanelli, A.; Todorov, Y.; Sirtori, C. Quantum Model of Coupled Intersubband Plasmons. Phys. Rev. B 2014, 90, 035305. [Google Scholar] [CrossRef]
- Khalatpour, A.; Tam, M.C.; Addamane, S.J.; Reno, J.; Wasilewski, Z.; Hu, Q. Enhanced Operating Temperature in Terahertz Quantum Cascade Lasers Based on Direct Phonon Depopulation. Appl. Phys. Lett. 2023, 122, 161101. [Google Scholar] [CrossRef]
- Demić, A.; Ikonić, Z.; Dean, P.; Indjin, D. Dual Resonance Phonon–Photon–Phonon Terahertz Quantum-Cascade Laser: Physics of the Electron Transport and Temperature Performance Optimization. Opt. Express 2020, 28, 38788. [Google Scholar] [CrossRef] [PubMed]
- Demić, A.; Ikonić, Z.; Dean, P.; Indjin, D. Prospects of Temperature Performance Enhancement through Higher Resonant Phonon Transition Designs in GaAs-Based Terahertz Quantum-Cascade Lasers. New J. Phys. 2022, 24, 033047. [Google Scholar] [CrossRef]
- Pearton, S.; Ren, F. Advances in ZnO-Based Materials for Light Emitting Diodes. Curr. Opin. Chem. Eng. 2014, 3, 51–55. [Google Scholar] [CrossRef]
- Huang, J.; Yin, Z.; Zheng, Q. Applications of ZnO in Organic and Hybrid Solar Cells. Energy Environ. Sci. 2011, 4, 3861. [Google Scholar] [CrossRef]
- Ma, A.M.; Gupta, M.; Chowdhury, F.R.; Shen, M.; Bothe, K.; Shankar, K.; Tsui, Y.; Barlage, D.W. Zinc Oxide Thin Film Transistors with Schottky Source Barriers. Solid-State Electron. 2012, 76, 104–108. [Google Scholar] [CrossRef]
- Di Russo, E.; Mancini, L.; Moyon, F.; Moldovan, S.; Houard, J.; Julien, F.H.; Tchernycheva, M.; Chauveau, J.M.; Hugues, M.; Da Costa, G.; et al. Three-Dimensional Atomic-Scale Investigation of ZnO-MgxZn1−x O m-Plane Heterostructures. Appl. Phys. Lett. 2017, 111, 032108. [Google Scholar] [CrossRef]
- Pan, X.Q.H.; Guo, W.; Tian, W.; He, H.P.; Ye, Z.Z.; Gu, X.Q.; Schlom, D.G.; Pan, X.Q.H. Optical Properties of ZnO/Zn0.9Mg0.1O Multiple Quantum Wells Grown on (111) Si Using Buffer Assisted Pulsed-Laser Deposition. J. Appl. Phys. 2010, 107, 033102. [Google Scholar] [CrossRef]
- Zhu, J.; Kuznetsov, A.Y.; Han, M.-S.; Park, Y.-S.; Ahn, H.-K.; Ju, J.-W.; Lee, I.-H. Structural and Optical Properties of ZnO∕Mg0.1Zn0.9O Multiple Quantum Wells Grown on ZnO Substrates. Appl. Phys. Lett. 2007, 90, 211909. [Google Scholar] [CrossRef]
- Chen, H.R.; Tsai, C.Y.; Huang, Y.C.; Kuo, C.C.; Hsu, H.C.; Hsieh, W.F. Optical Properties of One- and Two-Dimensional Excitons in m -Plane ZnO/MgZnO Multiple Quantum Wells. J. Phys. D Appl. Phys. 2016, 49, 095105. [Google Scholar] [CrossRef]
- Mohammed Ali, M.J.; Chauveau, J.M.; Bretagnon, T. Anisotropic Optical Properties of a Homoepitaxial (Zn,Mg)O/ZnO Quantum Well Grown on a-plane ZnO Substrate. Phys. Status Solidi c 2016, 13, 598–601. [Google Scholar] [CrossRef]
- Chauveau, J.-M.; Laügt, M.; Venneguès, P.; Teisseire, M.; Lo, B.; Deparis, C.; Morhain, C.; Vinter, B. Non-Polar a -Plane ZnMgO/ZnO Quantum Wells Grown by Molecular Beam Epitaxy. Semicond. Sci. Technol. 2008, 23, 035005. [Google Scholar] [CrossRef]
- Chauveau, J.-M.; Teisseire, M.; Kim-Chauveau, H.; Deparis, C.; Morhain, C.; Vinter, B. Benefits of Homoepitaxy on the Properties of Nonpolar (Zn,Mg)O/ZnO Quantum Wells on a-Plane ZnO Substrates. Appl. Phys. Lett. 2010, 97, 081903. [Google Scholar] [CrossRef]
- Meng, B.; Hinkov, B.; Biavan, N.M.L.; Hoang, H.T.; Lefebvre, D.; Hugues, M.; Stark, D.; Franckié, M.; Torres-Pardo, A.; Tamayo-Arriola, J.; et al. Terahertz Intersubband Electroluminescence from Nonpolar M-Plane ZnO Quantum Cascade Structures. ACS Photonics 2021, 8, 343–349. [Google Scholar] [CrossRef]
- Le Biavan, N.; Hugues, M.; Montes Bajo, M.; Tamayo-Arriola, J.; Jollivet, A.; Lefebvre, D.; Cordier, Y.; Vinter, B.; Julien, F.-H.; Hierro, A.; et al. Homoepitaxy of Non-Polar ZnO/(Zn,Mg)O Multi-Quantum Wells: From a Precise Growth Control to the Observation of Intersubband Transitions. Appl. Phys. Lett. 2017, 111, 231903. [Google Scholar] [CrossRef]
- Sirkeli, V.P.; Vatavu, S.A.; Yilmazoglu, O.; Preu, S.; Hartnagel, H.L. Negative Differential Resistance in ZnO-Based Resonant Tunneling Diodes. In Proceedings of the 2019 44th International Conference on Infrared, Millimeter, and Terahertz Waves (IRMMW-THz), Paris, France, 1–6 September 2019; pp. 1–2. [Google Scholar]
- Liu, D. Theoretical Calculations of THz Intersubband Absorption in Step Quantum Well Structures Based on MgZnO/ZnO Materials at 77 K. Opt. Quantum Electron. 2023, 55, 1038. [Google Scholar] [CrossRef]
- Janotti, A.; Van de Walle, C.G. Fundamentals of Zinc Oxide as a Semiconductor. Rep. Prog. Phys. 2009, 72, 126501. [Google Scholar] [CrossRef]
- Ekenberg, U. Enhancement of Nonparabolicity Effects in a Quantum Well. Phys. Rev. B 1987, 36, 6152–6155. [Google Scholar] [CrossRef] [PubMed]
- Sirtori, C.; Capasso, F.; Faist, J.; Scandolo, S. Nonparabolicity and a Sum Rule Associated with Bound-to-Bound and Bound-to-Continuum Intersubband Transitions in Quantum Wells. Phys. Rev. B 1994, 50, 8663–8674. [Google Scholar] [CrossRef]
- Chang, L.L.; Esaki, L.; Tsu, R. Resonant Tunneling in Semiconductor Double Barriers. Appl. Phys. Lett. 1974, 24, 593–595. [Google Scholar] [CrossRef]
- Mizuta, H.; Tanoue, T. The Physics and Applications of Resonant Tunnelling Diodes; Cambridge University Press: Cambridge, UK, 1995; ISBN 9780521432184. [Google Scholar]
- Sakr, S.; Warde, E.; Tchernycheva, M.; Julien, F.H. Ballistic Transport in GaN/AlGaN Resonant Tunneling Diodes. J. Appl. Phys. 2011, 109, 023717. [Google Scholar] [CrossRef]
- Indjin, M.; Griffiths, J. Coherent Electron Quantum Transport in In0.53Ga0.47As/GaA0.51Sb0.49 Double Barrier Resonant Tunnelling Structures. Opt. Quantum Electron. 2020, 52, 265. [Google Scholar] [CrossRef]
- Blakemore, J.S. Semiconducting and Other Major Properties of Gallium Arsenide. J. Appl. Phys. 1982, 53, R123–R181. [Google Scholar] [CrossRef]
- Montes Bajo, M.; Chauveau, J.-M.; Vasanelli, A.; Delteil, A.; Todorov, Y.; Sirtori, C.; Hierro, A. Perspectives and Opportunities with Multisubband Plasmonics. J. Appl. Phys. 2023, 134, 010901. [Google Scholar] [CrossRef]
- Ribeiro, S.; Vasanelli, A.; Todorov, Y.; Sirtori, C. Quantum Theory of Multisubband Plasmon– Phonon Coupling. Photonics 2020, 7, 19. [Google Scholar] [CrossRef]
- Le Biavan, N. Toward a Zinc Oxide Based Quantum Cascade Laser, COMUE Université Côte d’Azur (2015–2019). 2019. Available online: https://theses.hal.science/tel-02736475 (accessed on 26 January 2024).
- Meng, B.; Tamayo-Arriola, J.; Le Biavan, N.; Montes Bajo, M.; Torres-Pardo, A.; Hugues, M.; Lefebvre, D.; Hierro, A.; Chauveau, J.M.; Faist, J. Observation of Intersubband Absorption in ZnO Coupled Quantum Wells. Phys. Rev. Appl. 2019, 12, 054007. [Google Scholar] [CrossRef]
- Atić, A.; Vuković, N.; Radovanović, J. Calculation of Intersubband Absorption in ZnO/ZnMgO Asymmetric Double Quantum Wells. Opt. Quantum Electron. 2022, 54, 810. [Google Scholar] [CrossRef]
- Ayoub, I.; Kumar, V.; Abolhassani, R.; Sehgal, R.; Sharma, V.; Sehgal, R.; Swart, H.C.; Mishra, Y.K. Advances in ZnO: Manipulation of Defects for Enhancing Their Technological Potentials. Nanotechnol. Rev. 2022, 11, 575–619. [Google Scholar] [CrossRef]
- Liu, D. Intersubband Optical Absorption in ZnO/MgZnO Triple Quantum Well Structures. Appl. Phys. B 2022, 128, 74. [Google Scholar] [CrossRef]









Disclaimer/Publisher’s Note: The statements, opinions and data contained in all publications are solely those of the individual author(s) and contributor(s) and not of MDPI and/or the editor(s). MDPI and/or the editor(s) disclaim responsibility for any injury to people or property resulting from any ideas, methods, instructions or products referred to in the content. |
© 2024 by the authors. Licensee MDPI, Basel, Switzerland. This article is an open access article distributed under the terms and conditions of the Creative Commons Attribution (CC BY) license (https://creativecommons.org/licenses/by/4.0/).
Share and Cite
Atić, A.; Wang, X.; Vuković, N.; Stanojević, N.; Demić, A.; Indjin, D.; Radovanović, J. Resonant Tunnelling and Intersubband Optical Properties of ZnO/ZnMgO Semiconductor Heterostructures: Impact of Doping and Layer Structure Variation. Materials 2024, 17, 927. https://doi.org/10.3390/ma17040927
Atić A, Wang X, Vuković N, Stanojević N, Demić A, Indjin D, Radovanović J. Resonant Tunnelling and Intersubband Optical Properties of ZnO/ZnMgO Semiconductor Heterostructures: Impact of Doping and Layer Structure Variation. Materials. 2024; 17(4):927. https://doi.org/10.3390/ma17040927
Chicago/Turabian StyleAtić, Aleksandar, Xizhe Wang, Nikola Vuković, Novak Stanojević, Aleksandar Demić, Dragan Indjin, and Jelena Radovanović. 2024. "Resonant Tunnelling and Intersubband Optical Properties of ZnO/ZnMgO Semiconductor Heterostructures: Impact of Doping and Layer Structure Variation" Materials 17, no. 4: 927. https://doi.org/10.3390/ma17040927
APA StyleAtić, A., Wang, X., Vuković, N., Stanojević, N., Demić, A., Indjin, D., & Radovanović, J. (2024). Resonant Tunnelling and Intersubband Optical Properties of ZnO/ZnMgO Semiconductor Heterostructures: Impact of Doping and Layer Structure Variation. Materials, 17(4), 927. https://doi.org/10.3390/ma17040927

