Effect of Porosity/Binder Index on Strength, Stiffness and Microstructure of Cemented Clay: The Impact of Sustainable Development Geomaterials
Abstract
1. Introduction
2. Experimental Program
2.1. Materials
2.2. Specimen Molding and Preparation
2.3. UCS and Stiffness (Non-Destructive) Program
2.4. Microstructural Analysis
3. Results and Discussions
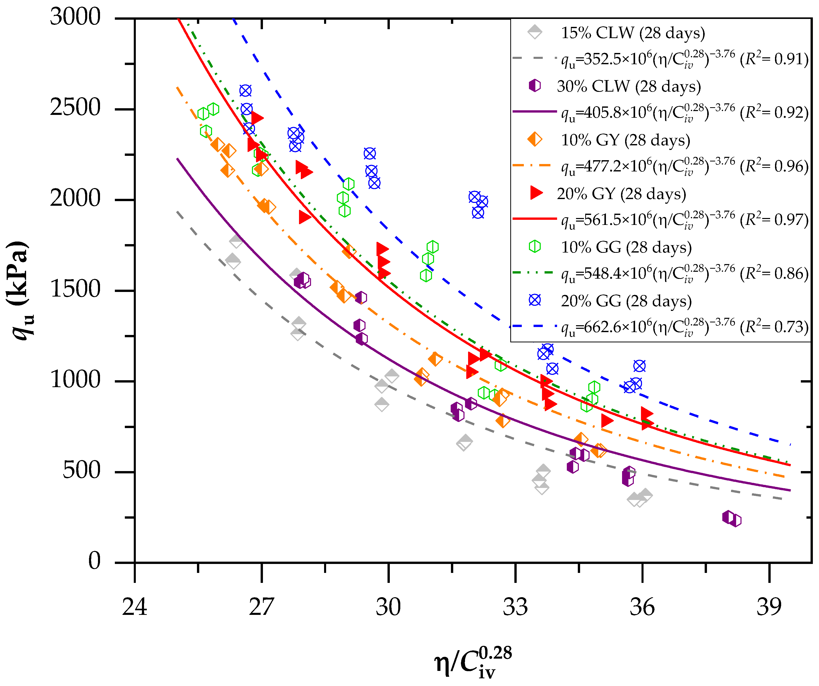
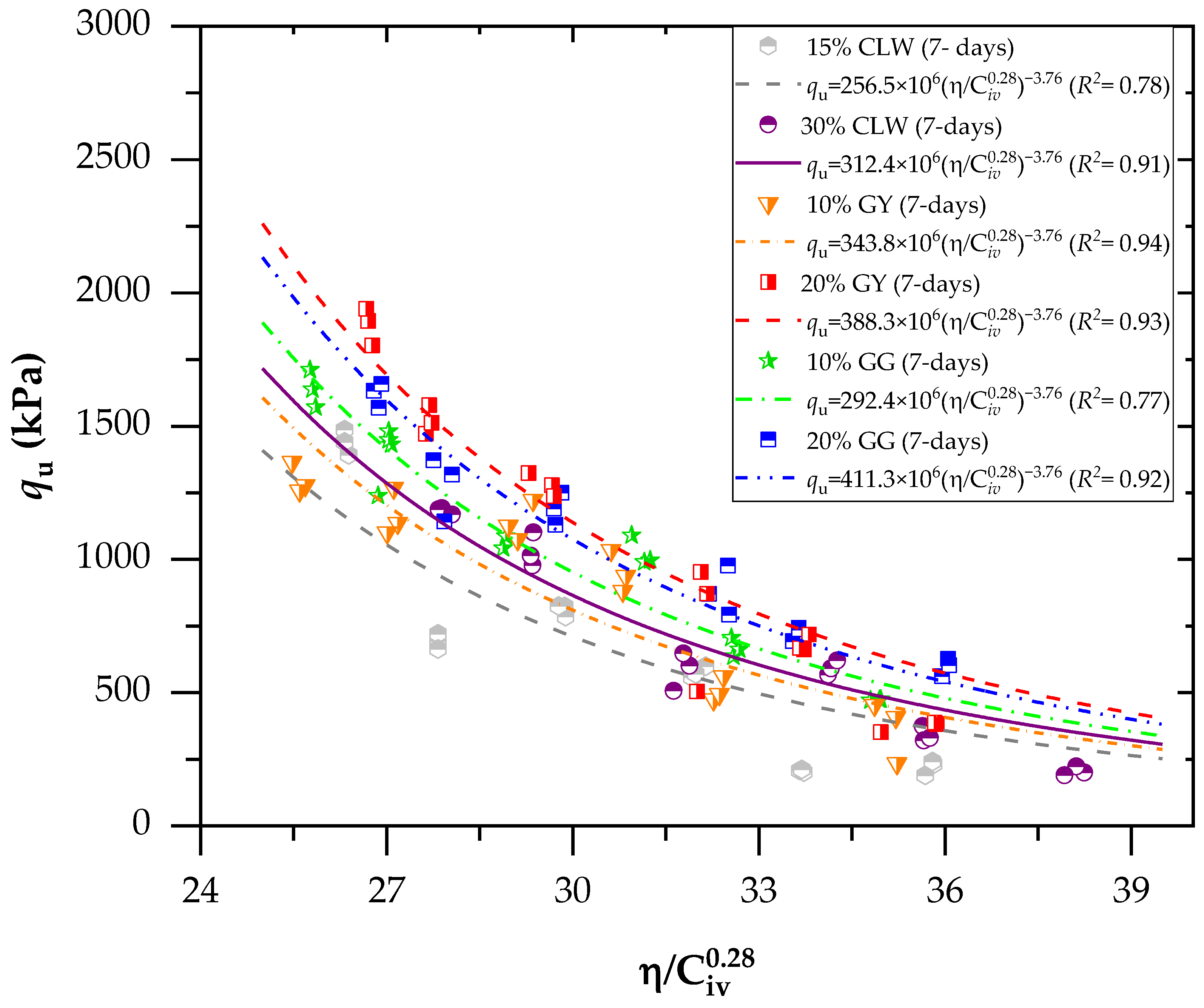
3.1. Effects of Porosity/Cement Index and Curing Periods on Strength for Soil–CLW–Cement Blends
3.2. Effects of Porosity/Cement Index and Curing Periods on Stiffness for Soil–CLW–Cement Blends
3.3. Normalization of Strength and Stiffness
3.4. Microstructure and Microanalysis of Compacted Blends
4. Conclusions
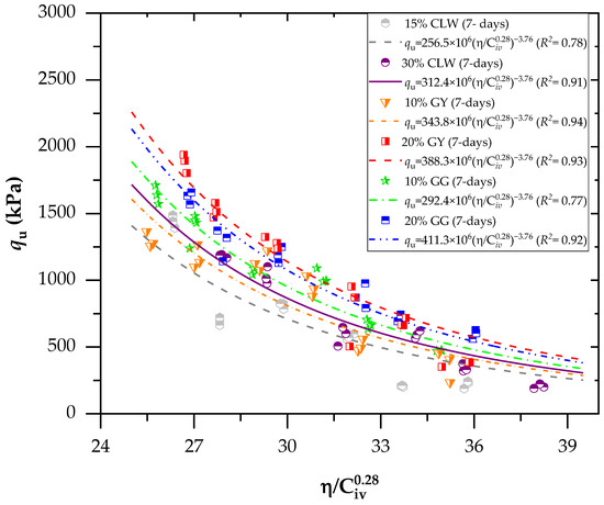
- The 7-day curing period results indicate significant strength improvements in CLW-stabilized mixes (22% increase from 15% to 30% CLW), GY-stabilized mixes (13% increase from 10% to 20% GY) and GG-stabilized mixes (40% increase from 10% to 20% GG). GG showed the most substantial enhancement in unconfined compressive strength, highlighting its reactivity in the soil–cement mixture. Moreover, adding 10% GY accelerated the reaction more than 10% GG, underscoring gypsum’s catalytic role. The strong correlation between unconfined compressive strength and η/ is evident, with R2 values ranging from 0.77 to 0.94, emphasizing the reliability of qu concerning void content relative to binder quantity.
- This research introduces promising materials for stabilizing clayey soils, particularly from northern Colombia. The research introduces alternatives: crushed ground glass (GG), recycled gypsum (GY) and waste from limestone quarry crushing (CLW), which are construction byproducts. Testing revealed a direct correlation between compressive strength (qu), initial stiffness (Go) and porosity/cement index η/, providing valuable insights into the performance of these novel geomaterials.
- The SEM micrographs in Figure 15, Figure 16 and Figure 17 reveal critical structural changes in soil–cement blends with CLW, GY and GG. Figure 15 shows hydration product formation, densifying soil for increased strength. Figure 16 highlights crystal agglutination, nuclei formation and entanglement of CaSO4 crystals in recycled gypsum, suggesting unique agglomerates. Figure 17 depicts densified calcium-silicate-hydrate structures, implying improved structural integrity and reduced porosity. These findings offer valuable insights into the mechanical and permeability characteristics of the developed materials.
Author Contributions
Funding
Institutional Review Board Statement
Informed Consent Statement
Data Availability Statement
Acknowledgments
Conflicts of Interest
References
- Kua, T.-A.; Arulrajah, A.; Mohammadinia, A.; Horpibulsuk, S.; Mirzababaei, M. Stiffness and Deformation Properties of Spent Coffee Grounds Based Geopolymers. Constr. Build. Mater. 2017, 138, 79–87. [Google Scholar] [CrossRef]
- Nie, R.; Mei, H.; Leng, W.; Ruan, B.; Li, Y.; Chen, X. Characterization of Permanent Deformation of Fine-Grained Subgrade Soil under Intermittent Loading. Soil Dyn. Earthq. Eng. 2020, 139, 106395. [Google Scholar] [CrossRef]
- Güllü, H.; Canakci, H.; Al Zangana, I.F. Use of Cement Based Grout with Glass Powder for Deep Mixing. Constr. Build. Mater. 2017, 137, 12–20. [Google Scholar] [CrossRef]
- Mosavat, N.; Oh, E.; Chai, G. A Review of Electrokinetic Treatment Technique for Improving the Engineering Characteristics of Low Permeable Problematic Soils. Int. J. GEOMATE 2012, 2, 266–272. [Google Scholar] [CrossRef]
- Miraki, H.; Shariatmadari, N.; Ghadir, P.; Jahandari, S.; Tao, Z.; Siddique, R. Clayey Soil Stabilization Using Alkali-Activated Volcanic Ash and Slag. J. Rock Mech. Geotech. Eng. 2021, 14, 576–591. [Google Scholar] [CrossRef]
- MolaAbasi, H.; Saberian, M.; Li, J. Prediction of Compressive and Tensile Strengths of Zeolite-Cemented Sand Using Porosity and Composition. Constr. Build. Mater. 2019, 202, 784–795. [Google Scholar] [CrossRef]
- Li, L.; Aubertin, M. A General Relationship between Porosity and Uniaxial Strength of Engineering Materials. Can. J. Civ. Eng. 2003, 30, 644–658. [Google Scholar] [CrossRef]
- Cardoso, R. Porosity and Tortuosity Influence on Geophysical Properties of an Artificially Cemented Sand. Eng. Geol. 2016, 211, 198–207. [Google Scholar] [CrossRef]
- Horpibulsuk, S.; Rachan, R.; Chinkulkijniwat, A.; Raksachon, Y.; Suddeepong, A. Analysis of Strength Development in Cement-Stabilized Silty Clay from Microstructural Considerations. Constr. Build. Mater. 2010, 24, 2011–2021. [Google Scholar] [CrossRef]
- Kim, J.; Tae, S.; Kim, R. Theoretical Study on the Production of Environment-Friendly Recycled Cement Using Inorganic Construction Wastes as Secondary Materials in South Korea. Sustainability 2018, 10, 4449. [Google Scholar] [CrossRef]
- Edora, A. Strength and Permeability Characteristics of Expansive Soil with Gypsum and Rice Husk Ash. Int. J. GEOMATE 2021, 21, 28–34. [Google Scholar] [CrossRef]
- Degirmenci, N.; Okucu, A.; Turabi, A. Application of Phosphogypsum in Soil Stabilization. Build. Environ. 2007, 42, 3393–3398. [Google Scholar] [CrossRef]
- Yilmaz, I.; Civelekoglu, B. Gypsum: An Additive for Stabilization of Swelling Clay Soils. Appl. Clay Sci. 2009, 44, 166–172. [Google Scholar] [CrossRef]
- Ibrahim, H.H.; Mawlood, Y.I.; Alshkane, Y.M. Using Waste Glass Powder for Stabilizing High-Plasticity Clay in Erbil City-Iraq. Int. J. Geotech. Eng. 2021, 15, 496–503. [Google Scholar] [CrossRef]
- Jalal, F.E.; Zahid, A.; Iqbal, M.; Naseem, A.; Nabil, M. Sustainable Use of Soda Lime Glass Powder (SLGP) in Expansive Soil Stabilization. Case Stud. Constr. Mater. 2022, 17, e01559. [Google Scholar] [CrossRef]
- Ramezani, S.J.; Toufigh, M.M.; Toufigh, V. Utilization of Glass Powder and Silica Fume in Sugarcane Bagasse Ash-Based Geopolymer for Soil Stabilization. J. Mater. Civ. Eng. 2023, 35, 04023042. [Google Scholar] [CrossRef]
- Más-López, M.I.; García del Toro, E.M.; Luizaga Patiño, A.; García, L.J.M. Eco-Friendly Pavements Manufactured with Glass Waste: Physical and Mechanical Characterization and Its Applicability in Soil Stabilization. Materials 2020, 13, 3727. [Google Scholar] [CrossRef]
- Omran, A.F.; D.-Morin, E.; Harbec, D.; Tagnit-Hamou, A. Long-Term Performance of Glass-Powder Concrete in Large-Scale Field Applications. Constr. Build. Mater. 2017, 135, 43–58. [Google Scholar] [CrossRef]
- Arulrajah, A.; Disfani, M.M.; Haghighi, H.; Mohammadinia, A.; Horpibulsuk, S. Modulus of Rupture Evaluation of Cement Stabilized Recycled Glass/Recycled Concrete Aggregate Blends. Constr. Build. Mater. 2015, 84, 146–155. [Google Scholar] [CrossRef]
- Baldovino, J.; Izzo, R.; Rose, J.L.; Avanci, M.A. Geopolymers Based on Recycled Glass Powder for Soil Stabilization. Geotech. Geol. Eng. 2020, 38, 4013–4031. [Google Scholar] [CrossRef]
- Blayi, R.A.; Sherwani, A.F.H.; Mahmod, F.H.R.; Ibrahim, H.H. Influence of Rock Powder on the Geotechnical Behaviour of Expansive Soil. Int. J. Geosynth. Ground Eng. 2021, 7, 14. [Google Scholar] [CrossRef]
- Rahhal, V.; Bonavetti, V.; Delgado, A.; Pedrajas, C.; Talero, R. Scheme of the Portland Cement Hydration with Crystalline Mineral Admixtures and Other Aspects. Silic. Ind. 2009, 74, 347. [Google Scholar]
- Rahhal, V.; Bonavetti, V.; Trusilewicz, L.; Pedrajas, C.; Talero, R. Role of the Filler on Portland Cement Hydration at Early Ages. Constr. Build. Mater. 2012, 27, 82–90. [Google Scholar] [CrossRef]
- Larnach, W.J. Relationship between Dry Density, Voids/Cement Ratio and the Strength of Soil-Cement Mixtures. Civ. Eng. Public Work. Rev. 1960, 60, 903–905. [Google Scholar]
- Consoli, N.C.; Foppa, D.; Festugato, L.; Heineck, K.S. Key Parameters for Strength Control of Artificially Cemented Soils. J. Geotech. Geoenviron. Eng. 2007, 133, 197–205. [Google Scholar] [CrossRef]
- Diambra, A.; Festugato, L.; Ibraim, E.; Peccin da Silva, A.; Consoli, N.C. Modelling Tensile/Compressive Strength Ratio of Artificially Cemented Clean Sand. Soils Found. 2018, 58, 199–211. [Google Scholar] [CrossRef]
- Diambra, A.; Ibraim, E.; Peccin, A.; Consoli, N.C.; Festugato, L. Theoretical Derivation of Artificially Cemented Granular Soil Strength. J. Geotech. Geoenviron. Eng. 2017, 143, 04017003. [Google Scholar] [CrossRef]
- Scheuermann Filho, H.C.; Dias Miguel, G.; Cesar Consoli, N. Porosity/Cement Index over a Wide Range of Porosities and Cement Contents. J. Mater. Civ. Eng. 2022, 34, 06021011. [Google Scholar] [CrossRef]
- Acuña, C.; Betancur, J.; Baldovino, J.A.; Barboza, G.; Saba, M. Analysis of Dispersivity in Marine Clays of Cartagena de Indias, Colombia. Geosciences 2023, 13, 162. [Google Scholar] [CrossRef]
- Skempton, A.W. The Colloidal “Activity” of Clays. In Proceedings of the 3rd International Conference on Soil Mechanics 1, Zurich, Switzerland, 16–27 August 1953; pp. 57–61. [Google Scholar]
- ASTM 4318; Standard Test Methods for Liquid Limit, Plastic Limit and Plasticity Index of Soils. ASTM International: West Conshohocken, PA, USA, 2010.
- ASTM D854; Standard Test Methods for Specific Gravity of Soil Solids by Water Pycnometer. ASTM International: West Conshohocken, PA, USA, 2014.
- ASTM D2487; Standard Practice for Classification of Soils for Engineering Purposes (Unified Soil Classification System). ASTM International: West Conshohocken, PA, USA, 2011; pp. 1–16. [CrossRef]
- ASTM D7928; Standard Test Method for Particle-Size Distribution (Gradation) of Fine-Grained Soils Using the Sedimentation (Hydrometer) Analysis. ASTM International: West Conshohocken, PA, USA, 2021.
- Baldovino, J.A.; Izzo, R.; Ekinci, A. Strength Relationship Equation for Artificially Stabilized Rammed Sedimentary Soils. Buildings 2022, 12, 1433. [Google Scholar] [CrossRef]
- Filho, H.C.S.; Dias Miguel, G.; Cesar Consoli, N. Durability Response of a Cemented Clayey Sand over a Wide Range of Porosities and Cement Contents. Clean. Mater. 2022, 5, 100117. [Google Scholar] [CrossRef]
- Hanafi, M.; Ekinci, A.; Aydin, E. Engineering and Microstructural Properties of Alluvium Clay Stabilized with Portland Cement and Coal Bottom Ash for Sustainable Future. KSCE J. Civ. Eng. 2022, 26, 5049–5066. [Google Scholar] [CrossRef]
- ASTM D 2166-03; Standard Test Method for Unconfined Compressive Strength of Cohesive Soil 1. ASTM International: West Conshohocken, PA, USA, 2003.
- Consoli, N.C.; da Fonseca, A.V.; Cruz, R.C.; Silva, S.R. Voids/Cement Ratio Controlling Tensile Strength of Cement-Treated Soils. J. Geotech. Geoenviron. Eng. 2011, 137, 1126–1131. [Google Scholar] [CrossRef]
- Ekinci, A.; Abki, A.; Mirzababaei, M. Parameters Controlling Strength, Stiffness and Durability of a Fibre-Reinforced Clay. Int. J. Geosynth. Ground Eng. 2022, 8, 6. [Google Scholar] [CrossRef]
- Henzinger, C.; Schuhmacher, S.A.; Festugato, L. Applicability of the Porosity/Binder Index to Nonhomogeneous Mixtures of Fine-Grained Soil with Lignite Fly Ash. J. Mater. Civ. Eng. 2018, 30, 06018013. [Google Scholar] [CrossRef]
- Consoli, N.C.; Quiñónez, R.A.; González, L.E.; López, R.A. Influence of Molding Moisture Content and Porosity/Cement Index on Stiffness, Strength, and Failure Envelopes of Artificially Cemented Fine-Grained Soils. J. Mater. Civ. Eng. 2016, 29, 04016277. [Google Scholar] [CrossRef]
- ASTM D2845-00; Laboratory Determination of Pulse Velocities and Ultrasonic Elastic Constants of Rock. ASTM International: West Conshohocken, PA, USA, 2017.
- Pasche, E.; Bruschi, G.J.; Specht, L.P.; Aragão, F.T.S.; Consoli, N.C. Fiber-Reinforcement Effect on the Mechanical Behavior of Reclaimed Asphalt Pavement–Powdered Rock–Portland Cement Mixtures. Transp. Eng. 2022, 9, 100121. [Google Scholar] [CrossRef]
- Baldovino, J.d.J.A.; Izzo, R.L.d.S.; Pereira, M.D.; Rocha, E.V.d.G.; Rose, J.L.; Bordignon, V.R. Equations Controlling Tensile and Compressive Strength Ratio of Sedimentary Soil–Cement Mixtures under Optimal Compaction Conditions. J. Mater. Civ. Eng. 2020, 32, 04019320. [Google Scholar] [CrossRef]
- Pham, T.A.; Kyokawa, H.; Koseki, J.; Dias, D. A New Index for the Strength Analysis and Prediction of Cement-Mixed Soils. Eur. J. Environ. Civ. Eng. 2023, 27, 1512–1534. [Google Scholar] [CrossRef]
- Liu, L.; Zhou, A.; Deng, Y.; Cui, Y.; Yu, Z.; Yu, C. Strength Performance of Cement/Slag-Based Stabilized Soft Clays. Constr. Build. Mater. 2019, 211, 909–918. [Google Scholar] [CrossRef]
- Consoli, N.C.; Marques, S.F.V.; Floss, M.F.; Festugato, L. Broad-Spectrum Empirical Correlation Determining Tensile and Compressive Strength of Cement-Bonded Clean Granular Soils. J. Mater. Civ. Eng. 2017, 29, 06017004. [Google Scholar] [CrossRef]
- de Rezende, L.R.; Curado, T.d.S.; Silva, M.V.; Mascarenha, M.M.d.A.; Metogo, D.A.N.; Neto, M.P.C.; Bernucci, L.L.B. Laboratory Study of Phosphogypsum, Stabilizers, and Tropical Soil Mixtures. J. Mater. Civ. Eng. 2017, 29, 04016188. [Google Scholar] [CrossRef]
- Farroukh, H.; Mnif, T.; Kamoun, F.; Kamoun, L.; Bennour, F. Stabilization of Clayey Soils with Tunisian Phosphogypsum: Effect on Geotechnical Properties. Arab. J. Geosci. 2018, 11, 760. [Google Scholar] [CrossRef]
- Pu, S.; Zhu, Z.; Huo, W. Evaluation of Engineering Properties and Environmental Effect of Recycled Gypsum Stabilized Soil in Geotechnical Engineering: A Comprehensive Review. Resour. Conserv. Recycl. 2021, 174, 105780. [Google Scholar] [CrossRef]
- Baldovino, J.J.A.; Izzo, R.L.S.; Rose, J.L.; Domingos, M.D.I. Strength, Durability, and Microstructure of Geopolymers Based on Recycled-Glass Powder Waste and Dolomitic Lime for Soil Stabilization. Constr. Build. Mater. 2021, 271, 121874. [Google Scholar] [CrossRef]
- Jani, Y.; Hogland, W. Waste Glass in the Production of Cement and Concrete—A Review. J. Environ. Chem. Eng. 2014, 2, 1767–1775. [Google Scholar] [CrossRef]

















| Property | Standard/Reference | Unit | Value | |||
|---|---|---|---|---|---|---|
| Soil | CLW | GG | GY | |||
| Limit Liquid, L.L. | [31] | % | 42.0 | - | - | - |
| Plasticity Index, P.I. | [31] | % | 15.9 | NP | NP | NP |
| Specific Gravity, Gs | [32] | - | 2.80 | 2.52 | 2.40 | 2.33 |
| Gravel (4.75–76.2 mm) | [33,34] | % | 0 | 10 | 0 | 0 |
| Coarse Sand (2.00–4.75 mm) | [33,34] | % | 0 | 30 | 0 | 0 |
| Medium Sand (0.425–2.0 mm) | [33,34] | % | 0 | 38 | 0 | 6 |
| Fine Sand (0.075–0.425 mm) | [33,34] | % | 8 | 17 | 13 | 59 |
| Silt (0.002–0.075 mm) | [33,34] | % | 82 | 15 | 83 | 32 |
| Clay (<0.002 mm) | [33,34] | % | 10 | 0 | 4 | 3 |
| Mean Diameter (d50) | [33,34] | mm | 0.011 | 1.6 | 0.016 | 0.98 |
| Effective Diameter (d10) | [33,34] | mm | 0.0021 | 0.15 | 0.0035 | 0.007 |
| Uniformity Coefficient Cu | [33,34] | - | 7.14 | 13.67 | 5.71 | 18.50 |
| Coefficient of Cuvature Cc | [33,34] | - | 0.96 | 1.59 | 1.03 | 1.76 |
| Activity of Clay | [30] | - | 1.60 | - | - | - |
| USCS Classification | [33] | - | CL | SW | ML | SW |
| Color | Munsell Chart | - | Black | Gray | White | White |
| Compound | Chemical Contents by Weight (%) | ||||
|---|---|---|---|---|---|
| Soil | Cement | CLW | GG | GY | |
| CaO | 3.0 | 62.7 | 72.4 | 7.1 | 50.5 |
| MgO | - | 3.8 | 2.1 | 2.2 | - |
| SiO2 | 66.0 | 21.1 | 9.0 | 78.2 | 0.4 |
| Al2O3 | 21.1 | 5.2 | 1.3 | 2.2 | - |
| Fe2O3 | 0.9 | 2.6 | 0.9 | 0.19 | 0.3 |
| TiO2 | 0.3 | - | - | - | - |
| K2O | 3.1 | - | - | - | - |
| SO3 | 4.0 | 3.5 | - | - | 37.6 |
| Na2O | - | 0.1 | - | 9.3 | 1.3 |
| MnO | - | 0.2 | 14.3 | - | - |
| P2O5 | - | - | 72.4 | - | 1.9 |
| LOI | 1.6 | 0.8 | 2.1 | 0.7 | 8.0 |
| Mix | Weight (%) | Curing Times (d) | Molding γd (kN/m3) | Number of Specimens | ||||
|---|---|---|---|---|---|---|---|---|
| Soil | Cement | CLW | GG | GY | ||||
| Soil–cement–CLW | 100 | 3 | 15 | - | - | 7, 28 | 17, 17.6, 18 | 18 |
| 100 | 3 | 30 | - | - | 7, 28 | 17, 17.6, 18 | 18 | |
| 100 | 6 | 15 | - | - | 7, 28 | 17, 17.6, 18 | 18 | |
| 100 | 6 | 30 | - | - | 7, 28 | 17, 17.6, 18 | 18 | |
| Soil–cement–GG | 100 | 3 | - | 10 | - | 7, 28 | 17, 17.6, 18 | 18 |
| 100 | 3 | - | 20 | - | 7, 28 | 17, 17.6, 18 | 18 | |
| 100 | 6 | - | 10 | - | 7, 28 | 17, 17.6, 18 | 18 | |
| 100 | 6 | - | 20 | - | 7, 28 | 17, 17.6, 18 | 18 | |
| Soil–cement–GY | 100 | 3 | - | - | 10 | 7, 28 | 17, 17.6, 18 | 18 |
| 100 | 3 | - | - | 20 | 7, 28 | 17, 17.6, 18 | 18 | |
| 100 | 6 | - | - | 10 | 7, 28 | 17, 17.6, 18 | 18 | |
| 100 | 6 | - | - | 20 | 7, 28 | 17, 17.6, 18 | 18 | |
Disclaimer/Publisher’s Note: The statements, opinions and data contained in all publications are solely those of the individual author(s) and contributor(s) and not of MDPI and/or the editor(s). MDPI and/or the editor(s) disclaim responsibility for any injury to people or property resulting from any ideas, methods, instructions or products referred to in the content. |
© 2024 by the authors. Licensee MDPI, Basel, Switzerland. This article is an open access article distributed under the terms and conditions of the Creative Commons Attribution (CC BY) license (https://creativecommons.org/licenses/by/4.0/).
Share and Cite
Baldovino, J.d.J.A.; Nuñez de la Rosa, Y.E.; Calabokis, O.P. Effect of Porosity/Binder Index on Strength, Stiffness and Microstructure of Cemented Clay: The Impact of Sustainable Development Geomaterials. Materials 2024, 17, 921. https://doi.org/10.3390/ma17040921
Baldovino JdJA, Nuñez de la Rosa YE, Calabokis OP. Effect of Porosity/Binder Index on Strength, Stiffness and Microstructure of Cemented Clay: The Impact of Sustainable Development Geomaterials. Materials. 2024; 17(4):921. https://doi.org/10.3390/ma17040921
Chicago/Turabian StyleBaldovino, Jair de Jesús Arrieta, Yamid E. Nuñez de la Rosa, and Oriana Palma Calabokis. 2024. "Effect of Porosity/Binder Index on Strength, Stiffness and Microstructure of Cemented Clay: The Impact of Sustainable Development Geomaterials" Materials 17, no. 4: 921. https://doi.org/10.3390/ma17040921
APA StyleBaldovino, J. d. J. A., Nuñez de la Rosa, Y. E., & Calabokis, O. P. (2024). Effect of Porosity/Binder Index on Strength, Stiffness and Microstructure of Cemented Clay: The Impact of Sustainable Development Geomaterials. Materials, 17(4), 921. https://doi.org/10.3390/ma17040921

