Fabrication and Characterization of an Electrochemical Platform for Formaldehyde Oxidation, Based on Glassy Carbon Modified with Multi-Walled Carbon Nanotubes and Electrochemically Generated Palladium Nanoparticles
Abstract
1. Introduction
2. Materials and Methods
2.1. Chemical Reagents
- -
- hydrochloric acid solution (HCl, 35–38%, Avantor Performance, Gliwice, Poland) at a concentration of 0.1 mol L−1, containing ammonium tetrachloropalladate(II) ((NH4)2PdCl4, Ventron GMBH, Karlsruhe, Germany) at a concentration of 1.0 mmol L−1;
- -
- perchloric acid solution (HClO4, 95%, Avantor Performance) at a concentration of 0.1 mol L−1 both without and with the addition of formaldehyde (HCHO, 37%, Avantor Performance) at a concentration of 0.1 mol L−1.
2.2. Preparation of Electrodes
2.3. The Research Methodology
3. Results
3.1. Microscopic Characterization of the Working Electrodes
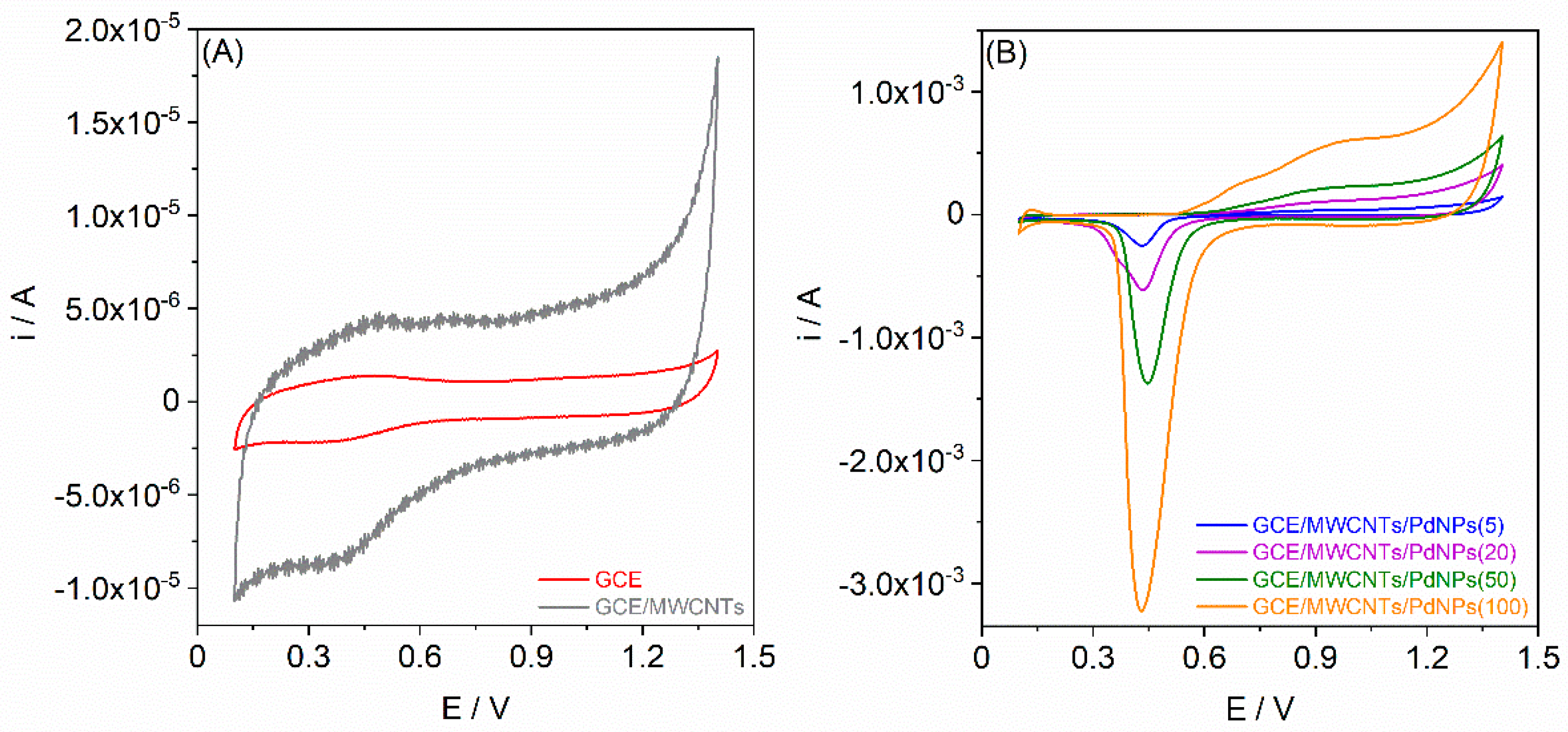
3.2. Electrochemical Characterization of the Working Electrodes
3.3. The Electrocatalytic Activity of Each Electrode in the Process of Formaldehyde Oxidation
3.4. The Long-Term Stability Study
4. Conclusions
- (i)
- the amount of Pd deposited on the electrode depends on the charge utilized during electrodeposition: higher charges lead to a greater amount of Pd on the electrode;
- (ii)
- the electrodeposition process produced PdNPs, and their size varied depending on the applied charge (amount of deposited Pd): a higher deposition charge (amount of deposited Pd) resulted in larger PdNPs;
- (iii)
- small deposition charges result in surface smoothing, while very large deposition charges lead to a significant development of the surface;
- (iv)
- the resistance of the GCE/MWCNTs/PdNPs was lower compared with that of the GCE and GCE/MWCNTs, and it decreased with an increase in the amount of Pd on the electrode;
- (v)
- GCE and GCE/MWCNTs exhibited no electrocatalytic activity in the formaldehyde electrooxidation;
- (vi)
- GCE/MWCNTs/PdNPs demonstrated electrocatalytic activity in the formaldehyde electrooxidation. This activity increased with the growth of PdNP size (amount of deposited Pd).
Author Contributions
Funding
Institutional Review Board Statement
Informed Consent Statement
Data Availability Statement
Conflicts of Interest
References
- Hassaninejad-Darzi, S.K. A Novel, Effective and Low Cost Catalyst for Formaldehyde Electrooxidation Based on Nickel Ions Dispersed onto Chitosan-Modified Carbon Paste Electrode for Fuel Cell. J. Electroceramics 2014, 33, 252–263. [Google Scholar] [CrossRef]
- Samjeské, G.; Miki, A.; Osawa, M. Electrocatalytic Oxidation of Formaldehyde on Platinum under Galvanostatic and Potential Sweep Conditions Studied by Time-Resolved Surface-Enhanced Infrared Spectroscopy. J. Phys. Chem. C 2007, 111, 15074. [Google Scholar] [CrossRef]
- Weng, X.; Chon, C.H.; Jiang, H.; Li, D. Rapid Detection of Formaldehyde Concentration in Food on a Polydimethylsiloxane (PDMS) Microfluidic Chip. Food Chem. 2009, 114, 1079–1082. [Google Scholar] [CrossRef]
- Zhang, Y.; Yang, Y.; He, X.; Yang, P.; Zong, T.; Sun, P.; Sun, R.C.; Yu, T.; Jiang, Z. The Cellular Function and Molecular Mechanism of Formaldehyde in Cardiovascular Disease and Heart Development. J. Cell. Mol. Med. 2021, 25, 5358–5371. [Google Scholar] [CrossRef]
- Kang, D.S.; Kim, H.S.; Jung, J.H.; Lee, C.M.; Ahn, Y.S.; Seo, Y.R. Formaldehyde Exposure and Leukemia Risk: A Comprehensive Review and Network-Based Toxicogenomic Approach. Genes Environ. 2021, 43, 13. [Google Scholar] [CrossRef]
- Möhner, M.; Liu, Y.; Marsh, G.M. New Insights into the Mortality Risk from Nasopharyngeal Cancer in the National Cancer Institute Formaldehyde Worker Cohort Study. J. Occup. Med. Toxicol. 2019, 14, 4. [Google Scholar] [CrossRef] [PubMed]
- Kwak, K.; Paek, D.; Park, J.T. Occupational Exposure to Formaldehyde and Risk of Lung Cancer: A Systematic Review and Meta-Analysis. Am. J. Ind. Med. 2020, 63, 312–327. [Google Scholar] [CrossRef] [PubMed]
- Habibi, B.; Delnavaz, N. Electrocatalytic Oxidation of Formic Acid and Formaldehyde on Platinum Nanoparticles Decorated Carbon-Ceramic Substrate. Int. J. Hydrogen Energy 2010, 35, 8831. [Google Scholar] [CrossRef]
- Karczmarska, A.; Adamek, M.; El Houbbadi, S.; Kowalczyk, P.; Laskowska, M. Carbon-Supported Noble-Metal Nanoparticles for Catalytic Applications—A Review. Crystals 2022, 12, 584. [Google Scholar] [CrossRef]
- Senila, M.; Cadar, O.; Senila, L.; Böringer, S.; Seaudeau-Pirouley, K.; Ruiu, A.; Lacroix-Desmazes, P. Performance Parameters of Inductively Coupled Plasma Optical Emission Spectrometry and Graphite Furnace Atomic Absorption Spectrometry Techniques for Pd and Pt Determination in Automotive Catalysts. Materials 2020, 13, 5136. [Google Scholar] [CrossRef]
- Xu, B.; Chen, Y.; Zhou, Y.; Zhang, B.; Liu, G.; Li, Q.; Yang, Y.; Jiang, T. A Review of Recovery of Palladium from the Spent Automobile Catalysts. Metals 2022, 12, 533. [Google Scholar] [CrossRef]
- Priskila Rahael, K.; Penina Tua Rahantoknam, S.; Kahfi Hamid, S.; Kuo, Y.; Lin, C.-C.; Nigussa, K.N. A Study of Properties of Palladium Metal as a Component of Fuel Cells. Mater. Res. Express 2019, 6, 105540. [Google Scholar] [CrossRef]
- Noroozifar, M.; Khorasani-Motlagh, M.; Ekrami-Kakhki, M.S.; Khaleghian-Moghadam, R. Electrochemical Investigation of Pd Nanoparticles and MWCNTs Supported Pd Nanoparticles-Coated Electrodes for Alcohols (C1–C3) Oxidation in Fuel Cells. J. Appl. Electrochem. 2014, 44, 233. [Google Scholar] [CrossRef]
- Eshagh-Nimvari, S.; Hassaninejad-Darzi, S.K. Electrocatalytic Performance of Nickel Hydroxide-Decorated Microporous Nanozeolite Beta-Modified Carbon Paste Electrode for Formaldehyde Oxidation. Electrocatalysis 2023, 14, 365–380. [Google Scholar] [CrossRef]
- Su, L.; Cheng, Y.; Shi, J.; Wang, X.; Xu, P.; Chen, Y.; Zhang, Y.; Zhang, S.; Xinxin, L. Electrochemical Sensor with Bimetallic Pt–Ag Nanoparticle as Catalyst for the Measurement of Dissolved Formaldehyde. J. Electrochem. Soc. 2022, 169, 047507. [Google Scholar] [CrossRef]
- Xu, S.; Jiang, L.; Huang, X.; Ju, W.; Liang, Y.; Tao, Z.; Yang, Y.; Zhu, B.; Wei, G. Efficient Formaldehyde Sensor Based on PtPd Nanoparticles-Loaded Nafion-Modified Electrodes. Nanotechnology 2023, 35, 025704. [Google Scholar] [CrossRef] [PubMed]
- Hosseini, S.R.; Raoof, J.B.; Ghasemi, S.; Gholami, Z. Pd-Cu/Poly (o-Anisidine) Nanocomposite as an Efficient Catalyst for Formaldehyde Oxidation. Mater. Res. Bull. 2016, 80, 107–119. [Google Scholar] [CrossRef]
- Xue, J.; Li, X.; Jin, X.; Wang, X.; Zhen, N.; Song, T.; Lan, T.; Qian, S.; Zhang, H.; Liu, J. Electrocatalytic Oxidation of Formaldehyde Using Electrospinning Porous Zein-Based Polyimide Fibers. Mater. Lett. 2022, 320, 132318. [Google Scholar] [CrossRef]
- Pötzelberger, I.; Mardare, C.C.; Burgstaller, W.; Hassel, A.W. Maximum Electrocatalytic Oxidation Performance for Formaldehyde in a Combinatorial Copper-Palladium Thin Film Library. Appl. Catal. A-Gen. 2016, 525, 110–118. [Google Scholar] [CrossRef]
- Cremers, C.; Jurzinsky, T.; Bach Delpeuch, A.; Niether, C.; Jung, F.; Pinkwart, K.; Tübke, J. Electrocatalyst for Direct Alcohol Fuel Cells. ECS Trans. 2015, 69, 795–807. [Google Scholar] [CrossRef]
- Wieckowski, A. (Ed.) Interfacial Electrochemistry, 1st ed.; Routledge: New York, NY, USA, 2017; ISBN 9780203750469. [Google Scholar]
- Soleh, A.; Saisahas, K.; Promsuwan, K.; Saichanapan, J.; Thavarungkul, P.; Kanatharana, P.; Meng, L.; Mak, W.C.; Limbut, W. A Wireless Smartphone-Based “Tap-and-Detect” Formaldehyde Sensor with Disposable Nano-Palladium Grafted Laser-Induced Graphene (NanoPd@LIG) Electrodes. Talanta 2023, 254, 124169. [Google Scholar] [CrossRef]
- Tsuji, J. Palladium Reagents and Catalysts; Wiley: Hoboken, NJ, USA, 2004; ISBN 9780470850329|Online: 9780470021200. [Google Scholar]
- Baldauf, M.; Kolb, D.M. Formic Acid Oxidation on Ultrathin Pd Films on Au(Hkl) and Pt(Hkl) Electrodes. J. Phys. Chem. 1996, 100, 11375–11381. [Google Scholar] [CrossRef]
- Lu, Q.; Wei, X.Z.; Zhang, Q.; Zhang, X.; Chen, L.; Liu, J.; Chen, Y.; Ma, L. Efficient Selective Hydrogenation of Terminal Alkynes over Pd–Ni Nanoclusters Encapsulated inside S-1 Zeolite. Microporous Mesoporous Mater. 2024, 365, 112883. [Google Scholar] [CrossRef]
- Mansy, H.E.; Khedr, M.H.; Abdelwahab, A. Palladium Functionalized Carbon Xerogel Nanocomposite for Oxygen Reduction Reaction. Mater. Chem. Phys. 2024, 313, 128797. [Google Scholar] [CrossRef]
- Xu, S.; Kim, E.H.; Wei, A.; Negishi, E.I. Pd- and Ni-Catalyzed Cross-Coupling Reactions in the Synthesis of Organic Electronic Materials. Sci. Technol. Adv. Mater. 2014, 15, 044201. [Google Scholar] [CrossRef]
- Xu, W.; Liu, C.; Xiang, D.; Luo, Q.; Shu, Y.; Lin, H.; Hu, Y.; Zhang, Z.; Ouyang, Y. Palladium Catalyst Immobilized on Functionalized Microporous Organic Polymers for C–C Coupling Reactions. RSC Adv. 2019, 9, 34595–34600. [Google Scholar] [CrossRef] [PubMed]
- Lee, S.; Cho, H.; Kim, H.J.; Hong, J.W.; Lee, Y.W. Shape-and Size-Controlled Palladium Nanocrystals and Their Electrocatalytic Properties in the Oxidation of Ethanol. Materials 2021, 14, 2970. [Google Scholar] [CrossRef] [PubMed]
- Khoperia, T.N.; Tabatadze, T.J.; Zedgenidze, T.I. Formation of Microcircuits in Microelectronics by Electroless Deposition. Electrochim. Acta 1997, 42, 3049–3055. [Google Scholar] [CrossRef]
- Antolini, E. Palladium in Fuel Cell Catalysis. Energy Environ. Sci. 2009, 2, 915–931. [Google Scholar] [CrossRef]
- Eswaran, M.; Rahimi, S.; Pandit, S.; Chokkiah, B.; Mijakovic, I. A Flexible Multifunctional Electrode Based on Conducting PANI/Pd Composite for Non-Enzymatic Glucose Sensor and Direct Alcohol Fuel Cell Applications. Fuel 2023, 345, 128182. [Google Scholar] [CrossRef]
- Sikeyi, L.L.; Matthews, T.; Adekunle, A.S.; Maxakato, N.W. Electro-Oxidation of Ethanol and Methanol on Pd/C, Pd/CNFs and Pd−Ru/CNFs Nanocatalysts in Alkaline Direct Alcohol Fuel Cell. Electroanalysis 2020, 32, 2681–2692. [Google Scholar] [CrossRef]
- Nachaki, E.O.; Ndangili, P.M.; Naumih, N.M.; Masika, E. Nickel-Palladium-Based Electrochemical Sensor for Quantitative Detection of Formaldehyde. ChemistrySelect 2018, 3, 384–392. [Google Scholar] [CrossRef]
- He, K.; Jin, Z.; Chu, X.; Bi, W.; Wang, W.; Wang, C.; Liu, S. Fast Response-Recovery Time toward Acetone by a Sensor Prepared with Pd Doped WO3 Nanosheets. RSC Adv. 2019, 9, 28439–28450. [Google Scholar] [CrossRef]
- Yao, G.; Zou, W.; Yu, J.; Zhu, H.; Wu, H.; Huang, Z.; Chen, W.; Li, X.; Liu, H.; Qin, K. Pd/PdO Doped WO3 with Enhanced Selectivity and Sensitivity for Ppb Level Acetone and Ethanol Detection. Sens. Actuators B Chem. 2024, 401, 135003. [Google Scholar] [CrossRef]
- Lee, B.; Cho, S.; Jeong, B.J.; Lee, S.H.; Kim, D.; Kim, S.H.; Park, J.-H.; Yu, H.K.; Choi, J.-Y. Highly Responsive Hydrogen Sensor Based on Pd Nanoparticle-Decorated Transfer-Free 3D Graphene. Sens. Actuators B Chem. 2024, 401, 134913. [Google Scholar] [CrossRef]
- Joudeh, N.; Saragliadis, A.; Koster, G.; Mikheenko, P.; Linke, D. Synthesis Methods and Applications of Palladium Nanoparticles: A Review. Front. Nanotechnol. 2022, 4, 1062608. [Google Scholar] [CrossRef]
- Haghighi, B.; Hamidi, H.; Bozorgzadeh, S. Sensitive and Selective Determination of Hydrazine Using Glassy Carbon Electrode Modified with Pd Nanoparticles Decorated Multiwalled Carbon Nanotubes. Anal. Bioanal. Chem. 2010, 398, 1411–1416. [Google Scholar] [CrossRef]
- Chen, A.; Ostrom, C. Palladium-Based Nanomaterials: Synthesis and Electrochemical Applications. Chem. Rev. 2015, 115, 11999–12044. [Google Scholar] [CrossRef] [PubMed]
- Scholl, H.; Blaszczyk, T.; Leniart, A.; Polanski, K. Nanotopography and Electrochemical Impedance Spectroscopy of Palladium Deposited on Different Electrode Materials. J. Solid State Electrochem. 2004, 8, 308–315. [Google Scholar] [CrossRef]
- Hubkowska, K.; Pająk, M.; Czerwiński, A. The Effect of the Iridium Alloying and Hydrogen Sorption on the Physicochemical and Electrochemical Properties of Palladium. Materials 2023, 16, 4556. [Google Scholar] [CrossRef]
- Van der Linden, W.E.; Dieker, J.W. Glassy Carbon as Electrode Material in Electro- Analytical Chemistry. Anal. Chim. Acta 1980, 119, 1–24. [Google Scholar] [CrossRef]
- McCreery, R.L. Advanced Carbon Electrode Materials for Molecular Electrochemistry. Chem. Rev. 2008, 108, 2646–2687. [Google Scholar] [CrossRef]
- Zittel, H.E.; Miller, F.J. A Glassy-Carbon Electrode for Voltammetry. Anal. Chem. 1965, 37, 200–203. [Google Scholar] [CrossRef]
- Dekanski, A.; Stevanović, J.; Stevanović, R.; Nikolić, B.Ž.; Jovanović, V.M. Glassy Carbon Electrodes: I. Characterization and Electrochemical Activation. Carbon 2001, 39, 1195–1205. [Google Scholar] [CrossRef]
- Yáñez-Sedeño, P.; Pingarrón, J.M.; Riu, J.; Rius, F.X. Electrochemical Sensing Based on Carbon Nanotubes. TrAC Trends Anal. Chem. 2010, 29, 939–953. [Google Scholar] [CrossRef]
- Pacios Pujadó, M. Carbon Nanotubes as Platforms for Biosensors with Electrochemical and Electronic Transduction; Springer: Berlin/Heidelberg, Germany, 2012; ISBN 978-3-642-31420-9. [Google Scholar]
- Leniart, A.; Brycht, M.; Burnat, B.; Skrzypek, S. An Application of a Glassy Carbon Electrode and a Glassy Carbon Electrode Modified with Multi-Walled Carbon Nanotubes in Electroanalytical Determination of Oxycarboxin. Ionics 2018, 24, 2111–2121. [Google Scholar] [CrossRef]
- Leniart, A.; Brycht, M.; Burnat, B.; Skrzypek, S. Voltammetric Determination of the Herbicide Propham on Glassy Carbon Electrode Modified with Multi-Walled Carbon Nanotubes. Sens. Actuators B Chem. 2016, 231, 54–63. [Google Scholar] [CrossRef]
- Jorio, A.; Dresselhaus, G.; Dresselhaus, M.S. (Eds.) Carbon Nanotubes; Topics in Applied Physics; Springer: Berlin/Heidelberg, Germany, 2008; Volume 111, ISBN 978-3-540-72864-1. [Google Scholar]
- Gao, G.Y.; Guo, D.J.; Li, H.L. Electrocatalytic Oxidation of Formaldehyde on Palladium Nanoparticles Supported on Multi-Walled Carbon Nanotubes. J. Power Sources 2006, 162, 1094–1098. [Google Scholar] [CrossRef]
- Ulas, B. Optimization of Electrode Preparation Conditions by Response Surface Methodology for Improved Formic Acid Electrooxidation on Pd/MWCNT/GCE. Ionics 2023, 29, 4603–4616. [Google Scholar] [CrossRef]
- Zhu, Z.Z.; Wang, Z.; Li, H.L. Self-Assembly of Palladium Nanoparticles on Functional Multi-Walled Carbon Nanotubes for Formaldehyde Oxidation. J. Power Sources 2009, 186, 339. [Google Scholar] [CrossRef]
- Liao, H.; Qiu, Z.; Wan, Q.; Wang, Z.; Liu, Y.; Yang, N. Universal Electrode Interface for Electrocatalytic Oxidation of Liquid Fuels. ACS Appl. Mater. Interfaces 2014, 6, 18055–18062. [Google Scholar] [CrossRef]
- Gamboa, A.; Fernandes, E.C. Resistive Hydrogen Sensors Based on Carbon Nanotubes: A Review. Sens. Actuators A. Phys. 2024, 366, 115013. [Google Scholar] [CrossRef]
- Płócienniczak-Bywalska, P.; Rębiś, T.; Leda, A.; Milczarek, G. Lignosulfonate-Assisted In Situ Deposition of Palladium Nanoparticles on Carbon Nanotubes for the Electrocatalytic Sensing of Hydrazine. Molecules 2023, 28, 7076. [Google Scholar] [CrossRef] [PubMed]
- Ishida, T.; Murayama, T.; Taketoshi, A.; Haruta, M. Importance of Size and Contact Structure of Gold Nanoparticles for the Genesis of Unique Catalytic Processes. Chem. Rev. 2020, 120, 464–525. [Google Scholar] [CrossRef] [PubMed]
- Zhang, X.-G.; Arikawa, T.; Murakami, Y.; Yahikozawa, K.; Takasu, Y. Electrocatalytic Oxidation of Formic Acid on Ultrafine Palladium Particles Supported on a Glassy Carbon. Electrochim. Acta 1995, 40, 1889–1897. [Google Scholar] [CrossRef]
- Safavi, A.; Maleki, N.; Farjami, F.; Farjami, E. Electrocatalytic Oxidation of Formaldehyde on Palladium Nanoparticles Electrodeposited on Carbon Ionic Liquid Composite Electrode. J. Electroanal. Chem. 2009, 626, 75–79. [Google Scholar] [CrossRef]
- Olivi, P.; Bulhões, L.O.S.; Léger, J.M.; Hahn, F.; Beden, B.; Lamy, C. The Electrooxidation of Formaldehyde on Pt(100) and Pt(110) Electrodes in Perchloric Acid Solutions. Electrochim. Acta 1996, 41, 927–932. [Google Scholar] [CrossRef]
- Cai, Z.-X.; Liu, C.-C.; Wu, G.-H.; Chen, X.-M.; Chen, X. Palladium Nanoparticles Deposit on Multi-Walled Carbon Nanotubes and Their Catalytic Applications for Electrooxidation of Ethanol and Glucose. Electrochim. Acta 2013, 112, 756–762. [Google Scholar] [CrossRef]
- Balogun, S.A.; Fayemi, O.E.; Hapeshi, E.; Cannilla, C.; Bonura, G.; Balogun, S.A.; Fayemi, O.E. Effects of Electrolytes on the Electrochemical Impedance Properties of NiPcMWCNTs-Modified Glassy Carbon Electrode. Nanomaterials 2022, 12, 1876. [Google Scholar] [CrossRef]





| Electrodes | Sr (μm2) | SAD (%) | Rq (nm) | Ra (nm) | Rmax (nm) |
|---|---|---|---|---|---|
| GCE | 1.02 | 2.3 | 2.4 | 1.9 | 20.8 |
| GCE/MWCNTs | 1.89 | 88.9 | 25.9 | 20.3 | 204 |
| GCE/MWCNTs/PdNPs(5) | 1.51 | 50.7 | 29.9 | 23.1 | 241 |
| GCE/MWCNTs/PdNPs(20) | 1.48 | 48.2 | 26.7 | 20.8 | 218 |
| GCE/MWCNTs/PdNPs(50) | 1.89 | 88.5 | 51.0 | 40.8 | 304 |
| GCE/MWCNTs/PdNPs(100) | 1.81 | 81.2 | 49.2 | 39.2 | 308 |
| Electrodes | Mass Content (%) | |
|---|---|---|
| C(K) | Pd(L) | |
| GCE/MWCNTs/PdNPs(5) | 90.15 | 9.85 |
| GCE/MWCNTs/PdNPs(20) | 72.99 | 27.01 |
| GCE/MWCNTs/PdNPs(50) | 28.29 | 71.71 |
| GCE/MWCNTs/PdNPs(100) | 11.32 | 88.48 |
| Electrodes | P1 | P2 | P3 | |||
|---|---|---|---|---|---|---|
| E (V) | i (A) | E (V) | i (A) | E (V) | i (A) | |
| GCE/MWCNTs/PdNPs(5) | 0.97 | 3.22 × 10−5 | 0.44 | −1.43 × 10−4 | - | - |
| GCE/MWCNTs/PdNPs(20) | 0.92 | 1.92 × 10−4 | 0.47 | −3.53 × 10−4 | 0.40 | 4.95 × 10−4 |
| GCE/MWCNTs/PdNPs(50) | 0.84 | 4.64 × 10−4 | 0.50 | −4.82 × 10−4 | 0.46 | 2.16 × 10−3 |
| GCE/MWCNTs/PdNPs(100) | 0.81 | 2.02 × 10−3 | 0.57 | −1.63 × 10−4 | 0.50 | 6.97 × 10−3 |
Disclaimer/Publisher’s Note: The statements, opinions and data contained in all publications are solely those of the individual author(s) and contributor(s) and not of MDPI and/or the editor(s). MDPI and/or the editor(s) disclaim responsibility for any injury to people or property resulting from any ideas, methods, instructions or products referred to in the content. |
© 2024 by the authors. Licensee MDPI, Basel, Switzerland. This article is an open access article distributed under the terms and conditions of the Creative Commons Attribution (CC BY) license (https://creativecommons.org/licenses/by/4.0/).
Share and Cite
Leniart, A.; Burnat, B.; Brycht, M.; Dzemidovich, M.-M.; Skrzypek, S. Fabrication and Characterization of an Electrochemical Platform for Formaldehyde Oxidation, Based on Glassy Carbon Modified with Multi-Walled Carbon Nanotubes and Electrochemically Generated Palladium Nanoparticles. Materials 2024, 17, 841. https://doi.org/10.3390/ma17040841
Leniart A, Burnat B, Brycht M, Dzemidovich M-M, Skrzypek S. Fabrication and Characterization of an Electrochemical Platform for Formaldehyde Oxidation, Based on Glassy Carbon Modified with Multi-Walled Carbon Nanotubes and Electrochemically Generated Palladium Nanoparticles. Materials. 2024; 17(4):841. https://doi.org/10.3390/ma17040841
Chicago/Turabian StyleLeniart, Andrzej, Barbara Burnat, Mariola Brycht, Maryia-Mazhena Dzemidovich, and Sławomira Skrzypek. 2024. "Fabrication and Characterization of an Electrochemical Platform for Formaldehyde Oxidation, Based on Glassy Carbon Modified with Multi-Walled Carbon Nanotubes and Electrochemically Generated Palladium Nanoparticles" Materials 17, no. 4: 841. https://doi.org/10.3390/ma17040841
APA StyleLeniart, A., Burnat, B., Brycht, M., Dzemidovich, M.-M., & Skrzypek, S. (2024). Fabrication and Characterization of an Electrochemical Platform for Formaldehyde Oxidation, Based on Glassy Carbon Modified with Multi-Walled Carbon Nanotubes and Electrochemically Generated Palladium Nanoparticles. Materials, 17(4), 841. https://doi.org/10.3390/ma17040841

