Stress and Deformation Analysis of Prestressed Wound Composite Components with an Arch-Shaped Metal Liner
Abstract
1. Introduction
2. Materials and Methods
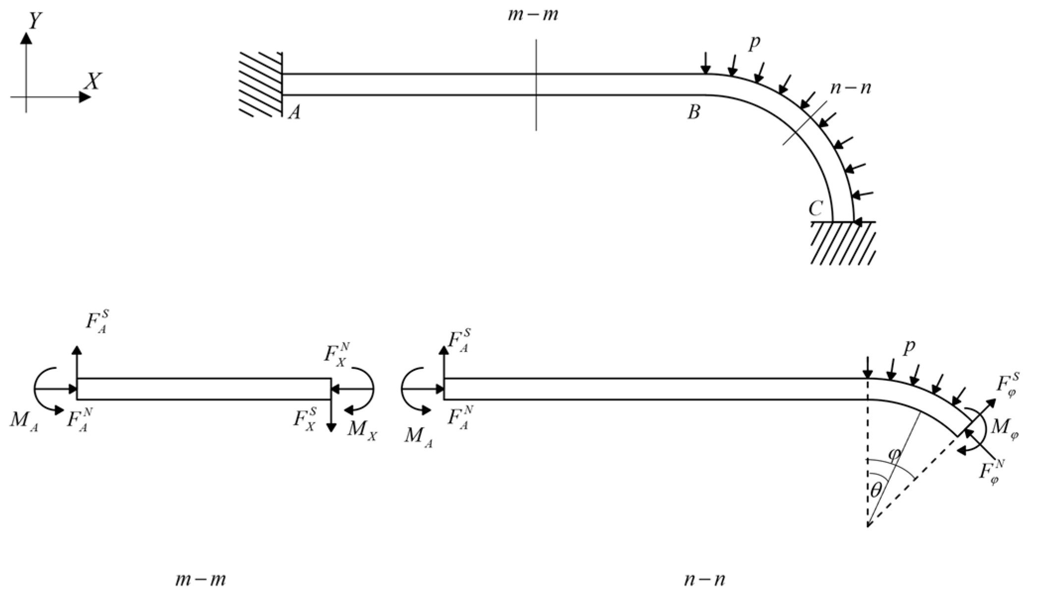
2.1. Stress Distribution of the Prestressed Wound Metal Liner
- Plane assumption—The transverse cross-section is initially a plane before deformation, remains a plane after deformation, and continues to be perpendicular to the deformed axis;
- End effects are neglected, and the component is assumed to be infinitely long;
- Axial stress is neglected, and stress along the axial direction is assumed to be uniformly distributed;
- The applied pressure is a function of the central angle , i.e., .
2.2. FE Modelling
2.3. Experimental Setup
3. Results and Discussion
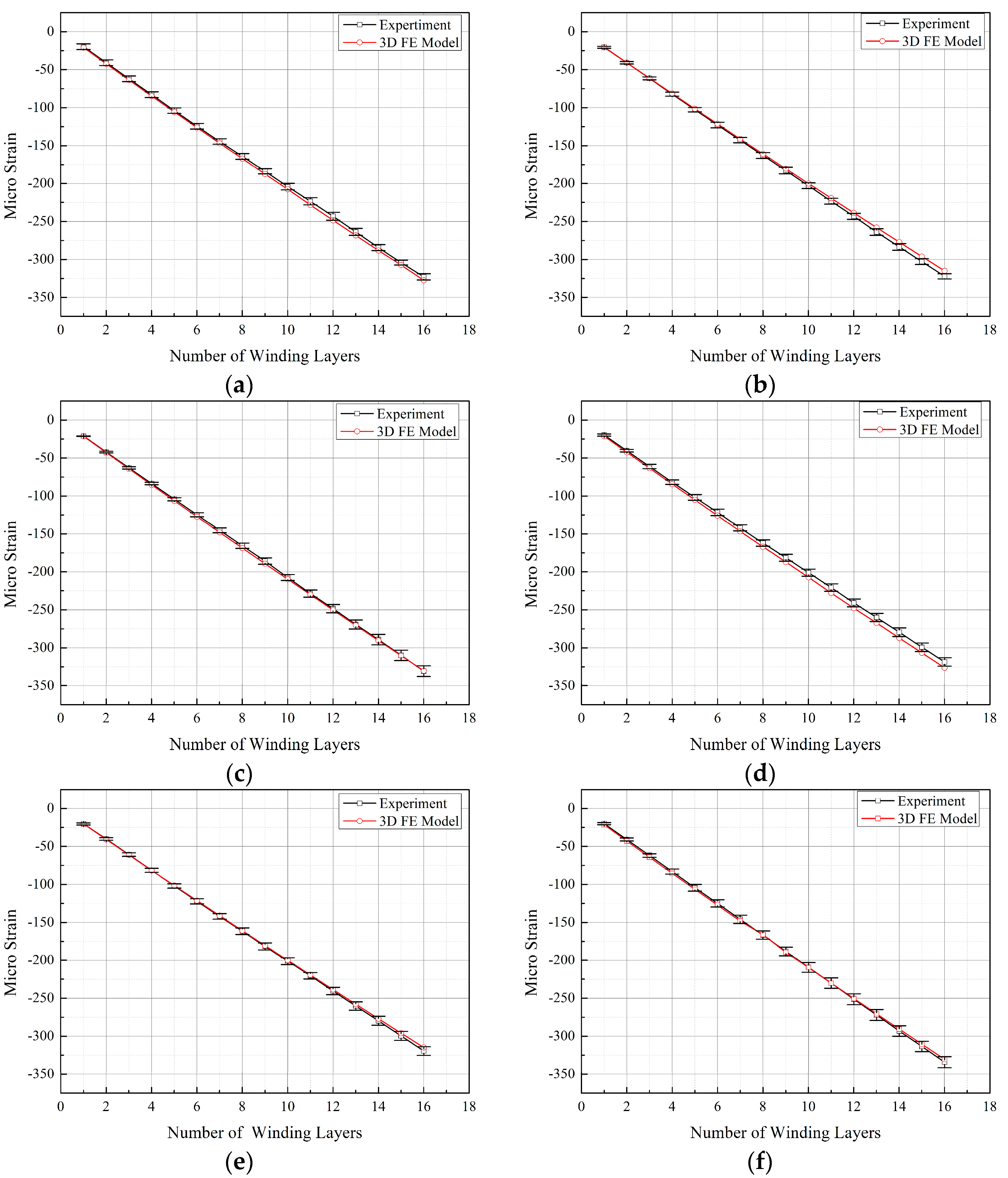
3.1. Experimental Results and Validation of the FE Model
3.2. Stress Analysis of the Prestressed Wound Arch-Shaped Component with a Metal Liner
3.2.1. Establishing a 2D FE Model for the Prestressed Wound Arch-Shaped Component
3.2.2. Comparison of the 2D and 3D Model Results
3.2.3. Analysis of Stress Distribution in the Arch-Shaped Prestressed Wound Components with a Metal Liner
3.3. Deformation Analysis of the Arch-Shaped and Prestressed Wound Component with a Metal Liner
4. Conclusions
- Under the condition where only the arc segment of the arch-shaped component is subjected to external pressure, the straight segment will experience the additional bending moment caused by the non-circular symmetry of the structure. This additional bending moment significantly influences the ultimate deformation of the arch-shaped component.
- Through experiments on the prestressed winding of arch-shaped sections with metal liners, the accuracy of the 3D FE model for prestressed wound components with a metal liner was validated. The error between the simulation results and experimental results is within 2%.
- By comparing the 3D model with the 2D model, it was observed that the end effect of the arch-shaped component will affect its deformation during the winding process. After a certain distance from the end, the end effect can be neglected. At this point, a 2D model can replace the 3D model for the stress and deformation analysis of prestressed wound components with an arched-shaped liner.
- By comparing the stress distributions of the arch-shaped section and the circular section for prestressed wound components, it was observed that although the stress in the arc segment of the arch-shaped section exhibits a “higher in the center, smaller at both ends” phenomenon, the stress distribution is very similar to that of the circular section except in the transition zone between the straight segment and the arc segment, with differences between the two being less than 5%. The stress in the straight segment is mainly composed of compressive stress and bending stress. A comparison of the stress distributions in the winding layer revealed that the stress distribution in the arc segment of the component with an arch-shaped section is similar to the component with a circular section, and the differences are negligible. The radial stress in the straight segment is zero, and the circumferential stress is comparable to that in the arc segment.
- By comparing the deformations of the arch-shaped section and the circular section of prestressed wound components, it was found that when the ratio of the length of the straight segment of the arch-shaped component to the inner diameter of the arc segment is less than 4, the deformation on the symmetric surface of the arc segment of the arch-shaped component can be approximately considered as the superposition of the deformation of a circular section of the same size under the same load. This finding is of significant reference value for analyzing the stress and deformation of wound components with non-circular sections.
Author Contributions
Funding
Institutional Review Board Statement
Informed Consent Statement
Data Availability Statement
Acknowledgments
Conflicts of Interest
References
- Binder, A.; Schneider, T.; Klohr, M. Fixation of Buried and Surface-Mounted Magnets in High-Speed Permanent-Magnet Synchronous Machines. IEEE Trans. Ind. Appl. 2006, 42, 1031–1037. [Google Scholar] [CrossRef]
- Bailey, C.; Saban, D.M.; Guedes-Pinto, P. Design of High-Speed Direct-Connected Permanent-Magnet Motors and Generators for the Petrochemical Industry. IEEE Trans. Ind. Appl. 2009, 45, 1159–1165. [Google Scholar] [CrossRef]
- Portnov, G.; Uthe, A.N.; Cruz, I.; Fiffe, R.P.; Arias, F. Design of Steel-Composite Multirim Cylindrical Flywheels Manufactured by Winding with High Tensioning and in Situ Curing. 1. Basic Relations. Mech. Compos. Mater. 2005, 41, 139–152. [Google Scholar] [CrossRef]
- Skinner, M.; Mertiny, P. Effects of Viscoelasticity on the Stress Evolution over the Lifetime of Filament-Wound Composite Flywheel Rotors for Energy Storage. Appl. Sci. 2021, 11, 9544. [Google Scholar] [CrossRef]
- Mittelstedt, M.; Hansen, C.; Mertiny, P. Design and Multi-Objective Optimization of Fiber-Reinforced Polymer Composite Flywheel Rotors. Appl. Sci. 2018, 8, 1256. [Google Scholar] [CrossRef]
- Sayem Uddin, M.; Morozov, E.V.; Shankar, K. The Effect of Filament Winding Mosaic Pattern on the Stress State of Filament Wound Composite Flywheel Disk. Compos. Struct. 2014, 107, 260–275. [Google Scholar] [CrossRef]
- Yin, D.; Li, B.; Xiao, H. Analysis for the Residual Prestress of Composite Barrel for Railgun with Tension Winding. Def. Technol. 2020, 16, 893–899. [Google Scholar] [CrossRef]
- Reddy, J.N. A Simple Higher-Order Theory for Laminated Composite Plates. J. Appl. Mech. 1984, 51, 745–752. [Google Scholar] [CrossRef]
- Rouzegar, J.; Abad, F. Free Vibration Analysis of FG Plate with Piezoelectric Layers Using Four-Variable Refined Plate Theory. Thin-Walled Struct. 2015, 89, 76–83. [Google Scholar] [CrossRef]
- Schlottermöller, M.; Schledjewski, R.; Mitschang, P. Influence of Process Parameters on Residual Stress in Thermoplastic Filament-Wound Parts. Proc. Inst. Mech. Eng. Part L J. Mater. Des. Appl. 2004, 218, 157–164. [Google Scholar] [CrossRef]
- Błachut, A.; Wollmann, T.; Panek, M.; Vater, M.; Kaleta, J.; Detyna, J.; Hoschützky, S.; Gude, M. Influence of Fiber Tension during Filament Winding on the Mechanical Properties of Composite Pressure Vessels. Compos. Struct. 2023, 304, 116337. [Google Scholar] [CrossRef]
- Srebrenkoska, S.; Kochoski, F.; Srebrenkoska, V.; Risteska, S.; Kotynia, R. Effect of Process Parameters on Thermal and Mechanical Properties of Filament Wound Polymer-Based Composite Pipes. Polymers 2023, 15, 2829. [Google Scholar] [CrossRef]
- de Menezes, E.A.W.; Lisbôa, T.V.; Almeida, J.H.S.; Spickenheuer, A.; Amico, S.C.; Marczak, R.J. On the Winding Pattern Influence for Filament Wound Cylinders under Axial Compression, Torsion, and Internal Pressure Loads. Thin-Walled Struct. 2023, 191, 111041. [Google Scholar] [CrossRef]
- Lee, S.Y.; Springer, G.S. Filament Winding Cylinders: I. Process Model. J. Compos. Mater. 1990, 24, 1270–1298. [Google Scholar] [CrossRef]
- Lee, S.Y.; Springer, G.S. Filament Winding Cylinders: III. Selection of the Process Variables. J. Compos. Mater. 1990, 24, 1344–1366. [Google Scholar] [CrossRef]
- Lu, H.; Schlottermuller, M.; Himmel, N.; Schledjewski, R. Effects of Tape Tension on Residual Stress in Thermoplastic Composite Filament Winding. J. Thermoplast. Compos. Mater. 2005, 18, 469–487. [Google Scholar] [CrossRef]
- Dedieu, C.; Barasinski, A.; Chinesta, F.; Dupillier, J.M. About the Origins of Residual Stresses in in Situ Consolidated Thermoplastic Composite Rings. Int. J. Mater. Form. 2017, 10, 779–792. [Google Scholar] [CrossRef]
- Kang, C.; Shi, Y.; Deng, B.; Yu, T.; Sun, P. Determination of Residual Stress and Design of Process Parameters for Composite Cylinder in Filament Winding. Adv. Mater. Sci. Eng. 2018, 2018, 1821342. [Google Scholar] [CrossRef]
- Liu, C.; Shi, Y. Design Optimization for Filament Wound Cylindrical Composite Internal Pressure Vessels Considering Process-Induced Residual Stresses. Compos. Struct. 2020, 235, 111755. [Google Scholar] [CrossRef]
- Geng, P.; Wang, Q. Hoop Winding Tension Design of Thick-Walled Cylinder Using Superposition and Unloading Methods. Ships Offshore Struct. 2021, 16, 172–183. [Google Scholar] [CrossRef]
- Wang, J.; Xiao, J.; Huan, D.; Liu, Z.; Chen, J.; Yan, L. Analytical Model for Tension-Induced Residual Stress of Pre-stress Filament Hoop Wound Composite Rings by Inverse Iteration Method. J. Mech. Mater. Struct. 2023, 18, 169–189. [Google Scholar] [CrossRef]
- Tannous, M.; Barasinski, A.; Binetruy, C.; Courtemanche, B. Contribution of Thermo-Mechanical Parameters and Friction to the Bonding of Thermoplastic Tapes in the Tape Winding Process. J. Mater. Process. Technol. 2016, 229, 587–595. [Google Scholar] [CrossRef]
- Berger, A.; Pyttel, T.; Duddeck, F. Crash Simulation of Wound Composite Tubes Based on Multi-Level Modelling. Int. J. Crashworthiness 2015, 20, 151–164. [Google Scholar] [CrossRef]
- Ren, M.; Zheng, C. Iterative Search for the Isotension Design of the Band Wound Vessel with Liner. Acta Mater. Compos. Sin. 2004, 5, 153–158. [Google Scholar] [CrossRef]
- Zhang, Z.; Deng, G.; Shou, B.; Li, X. Effect of Winding Tension on Stress of Hoop-wrapped Composite Cylinders. Press. Vessel Technol. 2011, 28, 7–14. [Google Scholar]
- Cheng, Y. Research on Laser-assisted Prestressed Manufacturing Technology of AS4D/PEEK Thermoplastic Composites. Master’s Thesis, Nanjing University of Aeronautics and Astronautics, Nanjing, China, 2020. [Google Scholar]
- Root, J.; Olmstead, V.; Littlefield, A.; Truszkowska, K. An Analysis of EM Railgun Cross Section Designs; Defense Technical Information Center: Fort Belvoir, VA, USA, 2009. [Google Scholar] [CrossRef]
- Zu, L.; Xu, H.; Zhang, B.; Li, D.; Zi, B. Design of Filament-Wound Composite Structures with Arch-Shaped Cross Sections Considering Fiber Tension Simulation. Compos. Struct. 2018, 194, 119–125. [Google Scholar] [CrossRef]
- Wang, J.; Xiao, J.; Huan, D.; Yan, L. Factors Influencing the Expansion of Arch-Shaped Electromagnetic Railguns with Pre-Stressed Composite Barrels. Materials 2023, 16, 5535. [Google Scholar] [CrossRef]
- Li, G.; Hong, X. The Stress Analysis of Obround Cross Section Pressure Vessel. Press. Vessel Technol. 2001, 18, 23–27. [Google Scholar] [CrossRef]



























| Parameter | Value |
|---|---|
| Inner radius of the arc segment in the liner of the arch-shaped section, /mm | 60 |
| Outer radius of the arc segment in the liner of the arch-shaped section, /mm | 75 |
| Length of the straight segment in the liner of the arch-shaped section, /mm | 130 |
| Total number of winding layers, | 16 |
| Thickness of a single winding layer, /mm | 0.14 |
| Width of a single winding layer, /mm | 6.35 |
| Winding tension, /N | 400 |
| Material | Modulus/GPa | Poisson’s Ratio |
|---|---|---|
| Q235 | 210 | 0.34 |
| Parameter | Value |
|---|---|
| Fiber longitudinal elastic modulus, /GPa | 133 |
| Transverse elastic modulus, /GPa | 9.7 |
| Elastic modulus in the thickness direction, /GPa | 9.7 |
| Poisson’s ratio, | 0.29 |
| Poisson’s ratio, | 0.29 |
| Poisson’s ratio, | 0.3 |
| Shear modulus in the 1–2 plane, /GPa | 5.5 |
| Shear modulus in the 1–3 plane, /GPa | 5.5 |
| Shear modulus in the 2–3 plane, /GPa | 3.35 |
| /mm | Additional Bending Moment/(N mm) |
|---|---|
| 30 | 339.9 |
| 60 | 311.4 |
| 120 | 256.9 |
| 240 | 189.2 |
Disclaimer/Publisher’s Note: The statements, opinions and data contained in all publications are solely those of the individual author(s) and contributor(s) and not of MDPI and/or the editor(s). MDPI and/or the editor(s) disclaim responsibility for any injury to people or property resulting from any ideas, methods, instructions or products referred to in the content. |
© 2024 by the authors. Licensee MDPI, Basel, Switzerland. This article is an open access article distributed under the terms and conditions of the Creative Commons Attribution (CC BY) license (https://creativecommons.org/licenses/by/4.0/).
Share and Cite
Wang, J.; Xiao, J.; Huan, D.; Yan, L.; Wang, Z.; Tao, Z. Stress and Deformation Analysis of Prestressed Wound Composite Components with an Arch-Shaped Metal Liner. Materials 2024, 17, 757. https://doi.org/10.3390/ma17030757
Wang J, Xiao J, Huan D, Yan L, Wang Z, Tao Z. Stress and Deformation Analysis of Prestressed Wound Composite Components with an Arch-Shaped Metal Liner. Materials. 2024; 17(3):757. https://doi.org/10.3390/ma17030757
Chicago/Turabian StyleWang, Junsheng, Jun Xiao, Dajun Huan, Lei Yan, Zijie Wang, and Zhiwei Tao. 2024. "Stress and Deformation Analysis of Prestressed Wound Composite Components with an Arch-Shaped Metal Liner" Materials 17, no. 3: 757. https://doi.org/10.3390/ma17030757
APA StyleWang, J., Xiao, J., Huan, D., Yan, L., Wang, Z., & Tao, Z. (2024). Stress and Deformation Analysis of Prestressed Wound Composite Components with an Arch-Shaped Metal Liner. Materials, 17(3), 757. https://doi.org/10.3390/ma17030757

