Study on the Bonding Performance of BFRP Bars with Seawater Sand Concrete
Abstract
1. Introduction
2. Test Overview
2.1. Test Materials
- (1)
- (2)
- Seawater: Seawater from the waters near Bijiashan, Jinzhou, Liaoning is selected. The specific ion components in seawater are shown in Table 2.
- (3)
- Sea sand: The fine aggregate sea sand is obtained by soaking the river sand in undisturbed seawater. The river sand is medium sand with a fineness modulus of 2.36 and a mud content of 2.6% produced by a local company in Jinzhou. The river sand was poured into a steel tank, and the undisturbed seawater was added to cover the upper surface of the river sand by 20 mm. To ensure the seawater is fully immersed in various ion components, it is stipulated that the seawater shall be changed every three days and the sand shall be soaked continuously for 30 days.
- (4)
- (5)
- Coarse aggregate: An aggregate of natural sand and gravel is selected. The basic physical and mechanical properties are shown in Table 5.
- (6)
- Fiber: GF and PPF adopt the fibers produced by Huierjie New Material Technology Co., Ltd. (Xiangyang, China) and Ningxiang Building Materials Co., Ltd. (Changsha, China) respectively. The physical properties and appearance characteristics are shown in Table 6 and Figure 2, where ZrO2 in GF accounts for 16.7%, which is larger than the 14.5% generally found in fiber products in the industry. It enhances the alkali resistance of the fiber and reduces the probability of fiber erosion by alkaline ions in seawater sand.
2.2. Test Parameters
2.3. Preparation of Specimens
2.4. Test Equipment and Loading Methods
3. Test Results
| Group | No. | Surface Treatment Characteristics | Bond Length | P/kN | τ/MPa | s/mm |
|---|---|---|---|---|---|---|
| 1 | SSC | R | 3D | 19.95 | 14.71 | 1.51 |
| 2 | SSC | R | 5D | 34.23 | 15.14 | 1.60 |
| 3 | SSC | R | 7D | 45.01 | 14.2 | 1.54 |
| 4 | SSC | S | 5D | 27.90 | 12.31 | 4.20 |
| 5 | SSC-GF0.1 | R | 5D | 47.93 | 21.20 | 3.51 |
| 6 | SSC-GF0.2 | R | 5D | 42.81 | 18.94 | 3.20 |
| 7 | SSC-GF0.3 | R | 3D | 23.39 | 17.24 | 7.80 |
| 8 | SSC-GF0.3 | R | 5D | 41.90 | 18.53 | 3.06 |
| 9 | SSC-GF0.3 | R | 7D | 52.41 | 16.56 | 2.71 |
| 10 | SSC-GF0.3 | S | 5D | 41.22 | 16.74 | 2.09 |
| 11 | SSC-PPF0.1 | R | 5D | 41.36 | 18.29 | 3.32 |
| 12 | SSC-PPF0.2 | R | 5D | 48.37 | 21.39 | 2.32 |
| 13 | SSC-PPF0.3 | R | 3D | 21.54 | 15.88 | 3.66 |
| 14 | SSC-PPF0.3 | R | 5D | 37.19 | 16.45 | 3.08 |
| 15 | SSC-PPF0.3 | R | 7D | 51.11 | 16.15 | 2.71 |
| 16 | SSC-PPF0.3 | S | 5D | 39.08 | 17.28 | 9.52 |
| 17 | SSC-GF0.1 PPF0.2 | R | 5D | 35.19 | 15.56 | 2.33 |
| 18 | SSC-GF0.15 PPF0.15 | R | 3D | 22.70 | 16.74 | 3.07 |
| 19 | SSC-GF0.15 PPF0.15 | R | 5D | 41.91 | 18.54 | 2.34 |
| 20 | SSC-GF0.15 PPF0.15 | R | 7D | 53.91 | 17.03 | 2.53 |
| 21 | SSC-GF0.15 PPF0.15 | S | 5D | 52.17 | 23.08 | 4.57 |
| 22 | SSC-GF0.2 PPF0.1 | R | 5D | 41.02 | 18.14 | 1.39 |
4. Test Analysis
4.1. Effect of Different Influencing Factors on Bond Strength
4.1.1. Effect of Fibers on Bond Strength
4.1.2. Effect of Bond Length on Bond Strength
4.1.3. Effect of Surface Characteristics on Bond Strength
4.2. Effect of Different Influencing Factors on the Bond–Slip Curve
4.2.1. Effect of Fibers on Bond–Slip Curve
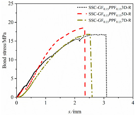
4.2.2. Effect of Bond Length on Bond–Slip Curve
4.2.3. Effect of Surface Characteristics on Bond–Slip Curve
5. SEM Microscopic Mechanism Analysis
6. Bond–Slip Constitutive Relationship Model between BFRP Bars and SSC
6.1. Model of Bond–Slip Constitutive Relationship
6.2. Model Verification
7. Conclusions
- (1)
- Compared with the control group without fiber, the bond strength of the samples doped with fiber is generally better, but the effect of different kinds of fiber on the bond strength is different. Compared with SSC in the control group, the most obvious improvement effect of mono-doped GF and PPF on bond strength was 0.1% and 0.2% content, respectively, which is increased by 40.40% and 41.65%. For blended GF and PPF, the bond strength is increased by 22.51% when the blending ratio is 1:1.
- (2)
- Compared with the control group SSC without fiber doped, it can be seen from the bond–slip curve that the slip time is relatively prolonged after the fiber is doped, leading to enhanced prognostication of failure. However, it is noteworthy that a higher fiber content does not necessarily yield superior outcomes. Excessive fiber content may diminish the bonding characteristic of the specimen due to uneven blending, inadequate compaction, and suboptimal dispersion.
- (3)
- The highest bonding strength is shown when the bond length is 5D. As the bond length increases from 3D and 5D to 7D, the bond strength first increases and then decreases, and the bonding strength of the sandblasted fiber bars after adding fiber was higher than that of the thread group..
- (4)
- It can be seen from the bond–slip curve that most specimens have splitting failure, and a few have pullout failure. The reason is that SSC has a high elastic modulus, and the internal voids or pores are filled with “Fredel salt” generated by the residual salt crystals of seawater sand and the hydration products of chlorine salt, sulfate, and cement. Even if the fiber is doped, due to its low viscosity and high brittleness, the gripping force of the matrix on the fiber is reduced, and the “tension–compression stress” of the specimen on the steel plate counter-force cage is prone to brittle failure.
- (5)
- The combination of the ascending segment of the Malvar model and the descending segment of the improved BPE model is finally obtained through the data fitting of many classical bond–slip constitutive relationship models. The bond–slip curve data of this test have a high degree of fitting, and the correlation coefficients are all greater than 0.98, which has a high correlation and can provide certain theoretical guidance for the engineering applications of BFRP bars and SSC.
- (6)
- In the future, it will be possible to test the effect of compression strength, freeze–thaw cycles, and other factors on the bonding properties of reinforcement materials to seawater sand concrete.
Author Contributions
Funding
Institutional Review Board Statement
Informed Consent Statement
Data Availability Statement
Conflicts of Interest
References
- Miller, S.A.; Horvath, A.; Monteiro, P.J.M. Impacts of booming concrete production on water resources worldwide. Nat. Sustain. 2018, 1, 69–76. [Google Scholar] [CrossRef]
- Rathnarajan, S.; Sikora, P. Seawater-mixed concretes containing natural and sea sand aggregates—A review. Results Eng. 2023, 101457. [Google Scholar] [CrossRef]
- Sayed, U.; Li, H.; Dauletbek, A. Bamboo stick diameter, volume and aspect ratios effect on the compressive behavior of bamboo sticks reinforced concrete mixed with sea sand and seawater. Constr. Build. Mater. 2023, 369, 130437. [Google Scholar] [CrossRef]
- Kryzhanovskyi, V.; Avramidou, A.; Orlowsky, J.; Spyridis, P. Self-Compacting High-Strength Textile-Reinforced Concrete Using Sea Sand and Sea Water. Materials 2023, 16, 4934. [Google Scholar] [CrossRef] [PubMed]
- Yuan, F.; Wang, Y.; Li, P.D.; Li, H.H. Shear behaviour of seawater sea-sand coral aggregate concrete beams reinforced with FRP strip stirrups. Eng. Struct. 2023, 290, 116332. [Google Scholar] [CrossRef]
- Vafaei, D.; Ma, X.; Hassanli, R.; Duan, J.M.; Zhuge, Y. Microstructural and mechanical properties of fiber-reinforced seawater sea-sand concrete under elevated temperatures. J. Build. Eng. 2022, 50, 104140. [Google Scholar] [CrossRef]
- Vafaei, D.; Ma, X.; Hassanli, R.; Duan, J.; Zhuge, Y. Microstructural behaviour and shrinkage properties of high-strength fiber-reinforced seawater sea-sand concrete. Constr. Build. Mater. 2022, 320, 126222. [Google Scholar] [CrossRef]
- Yehia, S.; Tuan, C.Y. Conductive concrete overlay for bridge deck deicing: Mixture proportioning, optimization, and properties. ACI Mater. J. 2000, 97, 172–181. [Google Scholar] [CrossRef]
- Gopalakrishnan, K.; Ceylan, H.; Kim, S. Electrically conductive mortar characterization for self-heating airfield concrete pavement mix design. Int. J. Pavement Res. Technol. 2015, 8, 315–324. [Google Scholar] [CrossRef]
- Xiao, J.Z.; Zhang, Q.T.; Zhang, P.; Shen, L.M.; Qiang, C.B. Mechanical behavior of concrete using seawater and sea-sand with recycled coarse aggregates. Struct. Concr. 2019, 20, 1631–1643. [Google Scholar] [CrossRef]
- Iqbal, M.; Zhang, D.; Khan, K.; Amin, M.N.; Ibrahim, M.; Salami, B.A. Evaluating mechanical, microstructural and durability performance of seawater sea sand concrete modified with silica fume. J. Build. Eng. 2023, 72, 106583. [Google Scholar] [CrossRef]
- Patil, A.; Dwivedi, A. Impact assessment of graphene oxide, sea sand and water on cement mortar characteristics. Innov. Infrastruct. Solut. 2023, 8, 161. [Google Scholar] [CrossRef]
- Wang, J.; Feng, P.; Hao, T.Y.; Yue, Q.R. Axial compressive behavior of seawater coral aggregate concrete-filled FRP tubes. Constr. Build. Mater. 2017, 147, 272–285. [Google Scholar] [CrossRef]
- Dhondy, T.; Remennikov, A.; Shiekh, M.N. Benefits of using sea sand and seawater in concrete: A comprehensive review. Aust. J. Struct. Eng. 2019, 20, 280–289. [Google Scholar] [CrossRef]
- Etman, E.E.; Mahmoud, M.H.; Hassan, A.; Mowafy, M.H. Flexural behaviour of concrete beams reinforced with steel-FRP composite bars. Structures 2023, 50, 1147–1163. [Google Scholar] [CrossRef]
- Kunther, W.; Lothenbach, B.; Skibsted, J. Influence of the Ca/Si ratio of the C–S–H phase on the interaction with sulfate ions and its impact on the ettringite crystallization pressure. Cem. Concr. Res. 2015, 69, 37–49. [Google Scholar] [CrossRef]
- Al-Hamrani, A.; Alnahhal, W. Bond Durability Performance of Sand-Coated BFRP Bars in High-Strength Fiber Reinforced Concrete. Compos. Struct. 2023, 321, 117306. [Google Scholar] [CrossRef]
- Bazli, M.; Heitzmann, M.; Hernandez, B.V. Hybrid fibre reinforced polymer and seawater sea sand concrete structures: A systematic review on short-term and long-term structural performance. Constr. Build. Mater. 2021, 301, 124335. [Google Scholar] [CrossRef]
- Ahmed, A.; Guo, S.C.; Zhang, Z.H.; Shi, C.J.; Zhu, D.J. A review on durability of fiber reinforced polymer (FRP) bars reinforced seawater sea sand concrete. Constr. Build. Mater. 2020, 256, 119484. [Google Scholar] [CrossRef]
- Dias, W.P.S.; Seneviratne, G.; Nanayakkara, S.M.A. Offshore sand for reinforced concrete. Constr. Build. Mater. 2008, 22, 1377–1384. [Google Scholar] [CrossRef]
- Cheung, M.S. Design and construction of building components with fibre reinforced polymers: A new canadian standard. FRP Composites in Civil Engineering. In Proceedings of the International Conference on FRP composites in Civil Engineering Hong Kong Institution of Engineers, Hong Kong Institution of Steel Construction, Hong Kong, China, 12–15 December 2001; Volume 1, pp. 137–145. Available online: https://trid.trb.org/view/709364 (accessed on 1 July 2023).
- Nanni, A. Guide for the design and construction of concrete reinforced with FRP bars (ACI 440.1R-03). In Proceedings of the 2005 Structures Congress and 2005 Forensic Engineering Symposium, New York, NY, USA, 20–24 April 2005; American Society of Civil Engineers: Reston, VA, USA, 2005; pp. 1–6. Available online: https://ascelibrary.org/doi/10.1061/40753%28171%29158 (accessed on 22 July 2023).
- Teng, J.; Yu, T.; Dai, J.G.; Chen, G.M. FRP composites in new construction: Current status and opportunities. In Proceedings of the 7th National Conference on FRP Composites in Infrastructure (Supplementary Issue of Industrial Construction), Keynote Presentation, Hangzhou, China, 14 October 2011. [Google Scholar]
- Zeng, J.; Liao, J.; Zhu, Y. Bond behavior between GFRP bars and seawater sea-sand fiber-reinforced ultra-high strength concrete. Eng. Struct. 2022, 254, 113787. [Google Scholar] [CrossRef]
- Liao, J.J.; Zeng, J.J.; Bai, Y.L.; Zhang, L.H. Bond strength of GFRP bars to high strength and ultra-high strength fiber reinforced seawater sea-sand concrete (SSC). Compos. Struct. 2022, 281, 115013. [Google Scholar] [CrossRef]
- Yu, Q.Q.; Zhao, Y.Z.; Wu, H.; Wang, Z.L.; Zhu, Z.Y. Experimental study on AFRP-to-concrete bond behavior subjected to underground water. Compos. Struct. 2023, 306, 116565. [Google Scholar] [CrossRef]
- Wang, X.; Petrů, M. Experimental study on fracture properties of CFRP-to-concrete interface subject to salt water. Compos. Struct. 2021, 258, 113179. [Google Scholar] [CrossRef]
- Wu, C.; Meng, B.C.; Cheng, X.F.; Korayem, A.H.; Tam, L.H. Bond behavior between BFRP rebar and seawater sea sand concrete. Adv. Civ. Eng. 2020, 2020, 1–10. [Google Scholar] [CrossRef]
- Zhang, B.; Zhu, H.; Chen, J. Bond durability between BFRP bars and seawater coral aggregate concrete under seawater corrosion environments. Constr. Build. Mater. 2023, 379, 131274. [Google Scholar] [CrossRef]
- Li, S.J.; Zhu, D.J.; Guo, S.C.; Xi, H.F.; Rahman, Z.R.; Yi, Y.; Fu, B.; Shi, C.J. Static and dynamic tensile behaviors of BFRP bars embedded in seawater sea sand concrete under marine environment. Compos. Part B Eng. 2022, 242, 110051. [Google Scholar] [CrossRef]
- GB/T 50152—2012; Standard for Test Method of Concrete Structures. China Architecture & Building Press: Beijing, China, 2012.
- Achillides, Z.; Pilakoutas, K. Bond behavior of fiber reinforced polymer bars under direct pullout conditions. J. Compos. Constr. 2004, 8, 173–181. [Google Scholar] [CrossRef]
- Taha, A.; Alnahhal, W. Bond durability and service life prediction of BFRP bars to steel FRC under aggressive environmental conditions. Compos. Struct. 2021, 269, 114034. [Google Scholar] [CrossRef]
- El Refai, A.; Ammar, M.A.; Masmoudi, R. Bond performance of basalt fiber-reinforced polymer bars to concrete. J. Compos. Constr. 2015, 19, 04014050. [Google Scholar] [CrossRef]
- Ulu, A.; Tutar, A.I.; Kurklu, A.; Cakir, F. Effect of excessive fiber reinforcement on mechanical properties of chopped glass fiber reinforced polymer concretes. Constr. Build. Mater. 2022, 359, 129486. [Google Scholar] [CrossRef]
- Pachman, J.; Chapman, D.J.; Foglar, M.; Künzel, M.; Proud, W.G. Shock response of concrete, fibre concrete and ultrahigh performance concrete. Int. J. Impact Eng. 2024, 183, 104787. [Google Scholar] [CrossRef]
- Rashidi, M.; Kargar, S.; Roshani, S. Experimental and numerical investigation of steel fiber concrete fracture energy. Structures 2024, 59, 105792. [Google Scholar] [CrossRef]
- Khan, M.; Cao, M.; Ali, M. Cracking behaviour and constitutive modelling of hybrid fibre reinforced concrete. J. Build. Eng. 2020, 30, 101272. [Google Scholar] [CrossRef]
- Saleh, N.; Ashour, A.; Lam, D.; Sheehan, T. Experimental investigation of bond behaviour of two common GFRP bar types in high–Strength concrete. Constr. Build. Mater. 2019, 201, 610–622. [Google Scholar] [CrossRef]
- El-Nemr, A.; Ahmed, E.A.; Barris, C.; Joyklad, O.; Hussain, Q.; Benmokrane, B. Bond performance of fiber reinforced polymer bars in normal-and high-strength concrete. Constr. Build. Mater. 2023, 393, 131957. [Google Scholar] [CrossRef]
- Ashrafi, H.; Bazli, M.; Oskouei, A.V. Enhancement of bond characteristics of ribbed-surface GFRP bars with concrete by using carbon fiber mat anchorage. Constr. Build. Mater. 2017, 134, 507–519. [Google Scholar] [CrossRef]
- Irshidat, M.R. Improved bond behavior between FRP reinforcing bars and concrete with carbon nanotubes. Constr. Build. Mater. 2020, 257, 119562. [Google Scholar] [CrossRef]
- Solyom, S.; Di Benedetti, M.; Guadagnini, M.; Balázs, G.L. Effect of temperature on the bond behaviour of GFRP bars in concrete. Compos. Part B Eng. 2020, 183, 107602. [Google Scholar] [CrossRef]
- Solyom, S.; Balázs, G.L. Analytical and statistical study of the bond of FRP bars with different surface characteristics. Compos. Struct. 2021, 270, 113953. [Google Scholar] [CrossRef]
- Guan, G.H.; Wang, X.Z.; He, J.J. Research Progress of Seawater Sea-Sand Concrete. Bull. Chin. Ceram. Soc. 2022, 41, 1483–1493. (In Chinese) [Google Scholar] [CrossRef]
- Kim, B.; Lee, J.Y. Resistance of interfacial debonding failure of GFRP bars embedded in concrete reinforced with structural fibers under cycling loads. Compos. Part B: Eng. 2019, 156, 201–211. [Google Scholar] [CrossRef]
- Abolfazli, M.; Reyes, R.I.J.; Choong, D.; Bazli, A.; Rajabipour, A.; Pourasiabi, H.; Arashpour, M. Bond behaviour between CFRP, GFRP, and hybrid C-GFRP tubes and seawater sea sand concrete after exposure to elevated temperatures. Constr. Build. Mater. 2023, 392, 131884. [Google Scholar] [CrossRef]
- Kazemi, H.; Yekrangnia, M.; Shakiba, M.; Bazli, M.; Oskouei, A.V. Bond durability between anchored GFRP bar and seawater concrete under offshore environmental conditions. Mater. Struct. 2023, 56, 64. [Google Scholar] [CrossRef]
- Xiao, J.Z.; Liao, Q.X.; Zhang, Q.T.; Qiang, C.B.; Liu, X. Bond Behavior Between Seawater Sea sand Recycled Aggregate Concrete and Glass-Fiber-Reinforced Polymer Bars. J. Tongji Univ. (Nat. Sci.) 2018, 46, 884–890+971. (In Chinese) [Google Scholar] [CrossRef]
- Malvar, L.J. Tensile and bond properties of GFRP reinforcing bars. ACI Mater. J. 1995, 92, 276. [Google Scholar] [CrossRef]
- Cosenza, E.; Manfredi, G.; Realfonzo, R. Analytical Modelingof Bond Between FRP Reinforcing Bars and Concrete. In Proceedings of the Second International RILEM Symposium; CRC Press: Ghent, Belgium, 1995; pp. 164–171. [Google Scholar]
- Eligehausen, R.; Popov, E.P.; Bertero, V.V. Local Bond Stress-Slip Relationships of Deformed Bars under Generalized Excitations; Rep. No. 83, Earthquake Engrg. Ctr (EERC); University of California: Berkeley, CA, USA, 1982. [Google Scholar] [CrossRef]
- Cosenza, E.; Manfredi, G.; Realfonzo, R. Behavior and modeling of bond of FRP rebars to concrete. J. Compos. Constr. 1997, 1, 40–51. [Google Scholar] [CrossRef]
- Gao, D.Y.; Zhu, H.T.; Xie, J.J. The Constitutive Models for Bond Slip Relation Between FRP Rebars and Concrete. Ind. Constr. 2003, 41–43+82. [Google Scholar] [CrossRef]

















| Reinforcement Type | Length/cm | Elastic Modulus/GPa | Yield Strength/MPa | Diameter/mm | Elongation/% | Density/(g/cm3) |
|---|---|---|---|---|---|---|
| BFRP | 50 | 51.6 | 1266 | 12 | 2.75 | 1.96 |
| Ion Type | Ca2+ | Mg2+ | Na+ | K+ | Cl− | ||
|---|---|---|---|---|---|---|---|
| Ion concentration (mg/L−1) | 264 | 963 | 7848 | 227 | 2014 | 14541 | 335 |
| Item | Chemical Composition Content/% | |||||
|---|---|---|---|---|---|---|
| Al2O3 | CaO | K2O | MgO | SiO2 | TiO2 | |
| Cement | 66.30 | 19.60 | 6.50 | 3.50 | 2.50 | 0.70 |
| 3 d Compressive Strength | 3 d Flexural Strength | 28 d Compressive Strength | 28 d Flexural Strength |
|---|---|---|---|
| 5~20 | 1615 | 2655 | 8.80 |
| Particle Size of Aggregate/mm | Volume Density (kg/m3) | Apparent Density (kg/m3) | Crushing Index/% | Mud Content/% | Needle Flake Content/% |
|---|---|---|---|---|---|
| 5~20 | 1615 | 2655 | 8.80 | 0.32 | 3.65 |
| Fiber Type | Tensile Strength/MPa | Elastic Modulus/GPa | Length/mm | Density/(g/cm3) |
|---|---|---|---|---|
| GF | 1900~2500 | 75~100 | 12 | 2.68 |
| PPF | 400~550 | ≤4 | 12 | 0.91 |
| Group | No. | F | G | P | R2 |
|---|---|---|---|---|---|
| 1 | SSC-R-5D | 0.659 | 0.580 | / | 0.982 |
| 2 | SSC-GF0.1-R-5D | 0.865 | 3.013 | / | 0.990 |
| 3 | SSC-GF0.2-R-5D | 0.730 | 1.950 | / | 0.999 |
| 4 | SSC-GF0.3-R-5D | −0.250 | 4.912 | 0.375 | 0.997 |
| 5 | SSC-PPF0.1-R-5D | 0.802 | 3.517 | 0.511 | 0.997 |
| 6 | SSC-PPF0.2-R-5D | 0.788 | 1.034 | / | 0.985 |
| 7 | SSC-PPF0.3-R-5D | 0.632 | 1.325 | / | 0.981 |
| 8 | SSC-GF0.1 PPF0.2-R-5D | 1.550 | 0.456 | 1.762 | 0.996 |
| 9 | SSC-GF0.15 PPF0.15-R-3D | 1.910 | 0.404 | / | 0.998 |
| 10 | SSC-GF0.15 PPF0.15-R-5D | 0.735 | 1.897 | / | 0.997 |
| 11 | SSC-GF0.15 PPF0.15-R-7D | 0.480 | 2.074 | / | 0.993 |
| 12 | SSC-GF0.15 PPF0.15-S-5D | 1.202 | 3.360 | 0.536 | 0.998 |
| 13 | SSC-GF0.2 PPF0.1-R-5D | 1.588 | −0.366 | / | 0.999 |
Disclaimer/Publisher’s Note: The statements, opinions and data contained in all publications are solely those of the individual author(s) and contributor(s) and not of MDPI and/or the editor(s). MDPI and/or the editor(s) disclaim responsibility for any injury to people or property resulting from any ideas, methods, instructions or products referred to in the content. |
© 2024 by the authors. Licensee MDPI, Basel, Switzerland. This article is an open access article distributed under the terms and conditions of the Creative Commons Attribution (CC BY) license (https://creativecommons.org/licenses/by/4.0/).
Share and Cite
Guan, G.; Wang, X.; Xin, M.; Sun, C.; Zhang, Q.; He, J. Study on the Bonding Performance of BFRP Bars with Seawater Sand Concrete. Materials 2024, 17, 543. https://doi.org/10.3390/ma17030543
Guan G, Wang X, Xin M, Sun C, Zhang Q, He J. Study on the Bonding Performance of BFRP Bars with Seawater Sand Concrete. Materials. 2024; 17(3):543. https://doi.org/10.3390/ma17030543
Chicago/Turabian StyleGuan, Guohao, Xuezhi Wang, Ming Xin, Chuanwu Sun, Qingqing Zhang, and Jingjing He. 2024. "Study on the Bonding Performance of BFRP Bars with Seawater Sand Concrete" Materials 17, no. 3: 543. https://doi.org/10.3390/ma17030543
APA StyleGuan, G., Wang, X., Xin, M., Sun, C., Zhang, Q., & He, J. (2024). Study on the Bonding Performance of BFRP Bars with Seawater Sand Concrete. Materials, 17(3), 543. https://doi.org/10.3390/ma17030543
