Eco-Friendly Synthesis of Quinazoline Derivatives Through Visible Light-Driven Photocatalysis Using Curcumin-Sensitized Titanium Dioxide
Highlights
- Innovative approach: Researchers are expanding eco-friendly chemistry with the development of such new methods as visible-light photography for mild organic reactions.
- Efficient synthesis of quinazoline derivatives: A green synthesis one-pot, three-component reaction method of quinazoline derivatives is described with curcumin dye-sensitized TiO2 nanoparticles and visible light.
- Optimal conditions achieved: This process allows the production of up to 97% of the product in 40 minutes of light and catalyst optimal conditions, presenting high efficiency.
- Sustainable and reusable: The curcumin dye-sensitized photocatalyst was capable of performing for multiple cycles and is potentially reusable.
- Green chemistry milestone: This study is advancing the sustainable and environmentally friendly manufacturing sector due to natural dye sensitization and visible-light photography.
Abstract
1. Introduction
2. Method
2.1. Materials
2.2. Fabrication of Curcumin Dye (Cur Dye)
2.3. Fabrication of Curcumin Dye-Sensitized TiO2 (Cur Dye-TiO2)
2.4. Photocatalytic Synthesis of Quinazoline Derivatives
Spectroscopic Data of Synthesized Compounds
2.5. Characterization
3. Results and Discussion
3.1. Characterization of Curcumin Dye-Sensitized TiO2 Photocatalysts
3.2. Photocatalytic Performance
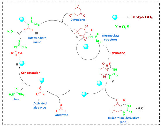
3.2.1. Mechanistic Approach
3.2.2. The Recyclability Studies of Cur Dye-TiO2 as Photocatalyst
4. Conclusions
Supplementary Materials
Author Contributions
Funding
Institutional Review Board Statement
Informed Consent Statement
Data Availability Statement
Acknowledgments
Conflicts of Interest
References
- el-Sabbagh, O.I.; Shabaan, M.A.; Kadry, H.H.; Al-Din, E.S. New Octahydroquinazoline Derivatives: Synthesis and Hypotensive Activity. Eur. J. Med. Chem. 2010, 45, 5390–5396. [Google Scholar] [CrossRef] [PubMed]
- Singh, P.; Kaur, N.; Banerjee, P. Regioselective Brønsted Acid-Catalyzed Annulation of Cyclopropane Aldehydes with N′-Aryl Anthranil Hydrazides: Domino Construction of Tetrahydropyrrolo[1,2-a] Quinazolin-5(1H) Ones. J. Org. Chem. 2020, 85, 3393–3406. [Google Scholar] [CrossRef] [PubMed]
- Mozafari, R.; Gheisvandi, Z.; Ghadermazi, M. Covalently Bonded Sulfonic Acid onto the Surface of Magnetic Nanosilica Obtained from Rice Husk: CoFe2O4@RH-Pr-SO3H as Novel Acid Catalyst for Synthesis of Octahydroquinazolinone and 3,4-Dihydropyrimidinone. J. Mol. Struct. 2022, 1265, 133421. [Google Scholar] [CrossRef]
- Alsibaee, A.M.; Al-Yousef, H.M.; Al-Salem, H.S. Quinazolinones, the Winning Horse in Drug Discovery. Molecules 2023, 28, 978. [Google Scholar] [CrossRef]
- Liu, K.; Li, D.; Zheng, W.; Shi, M.; Chen, Y.; Tang, M.; Yang, T.; Zhao, M.; Deng, D.; Zhang, C.; et al. Discovery, Optimization, and Evaluation of Quinazolinone Derivatives with Novel Linkers as Orally Efficacious Phosphoinositide-3-Kinase Delta Inhibitors for Treatment of Inflammatory Diseases. J. Med. Chem. 2021, 64, 8951–8970. [Google Scholar] [CrossRef]
- Bhat, M.; Belagali, S.L.; Mamatha, S.V.; Sagar, B.K.; Sekhar, E.V. Chapter 7—Importance of Quinazoline and Quinazolinone Derivatives in Medicinal Chemistry. In Studies in Natural Products Chemistry; Atta-ur, R., Ed.; Elsevier: Amsterdam, The Netherlands, 2021; Volume 71, pp. 185–219. [Google Scholar]
- Lei, M.; Ma, L.; Hu, L. An Efficient and Environmentally Friendly Procedure for Synthesis of Pyrimidinone Derivatives by Use of a Biginelli-Type Reaction. Monatsh. Chem. 2010, 141, 1005–1008. [Google Scholar] [CrossRef]
- Bazgiri, A.; Bananejad, B.; Pouramiri, B. Acidic Ionic Liquids Catalyzed One-Pot and Three-Component Synthesis of Octahydroquinazolin-2,5-Dione Derivatives Under Ambient Conditions. Available online: http://www.eurekaselect.com (accessed on 8 August 2017).
- Mishra, S.; Sahu, A. A Review of Magnetically Recyclable Nanocatalysts for the Synthesis of Quinazoline and Its Derivatives. Curr. Org. Chem. 2023, 27, 914–930. [Google Scholar] [CrossRef]
- Dawoud, N.T.A. An Efficient and Environmentally Friendly Procedure for Synthesis of Quinazolinone Derivatives by Use of a Biginelli-Type Reaction. Chem. Sci. Trans. 2013, 2, 129–134. [Google Scholar] [CrossRef]
- Mozafari, R.; Heidarizadeh, F. One Pot Synthesis of Octahydroquinazolinone Derivatives Using (Me (Im)12) H4CuPW11O39 as a Surfactant Type Catalyst. J. Clust. Sci. 2016, 27, 1629–1643. [Google Scholar] [CrossRef]
- Cheng, W.-M.; Shang, R. Transition Metal-Catalyzed Organic Reactions under Visible Light: Recent Developments and Future Perspectives. ACS. Catal. 2020, 10, 9170–9196. [Google Scholar] [CrossRef]
- Prier, C.K.; Rankic, D.A.; MacMillan, D.W.C. Visible Light Photoredox Catalysis with Transition Metal Complexes: Applications in Organic Synthesis. Chem. Rev. 2013, 113, 5322–5363. [Google Scholar] [CrossRef] [PubMed]
- Humayun, M.; Raziq, F.; Khan, A.; Luo, W. Modification Strategies of TiO2 for Potential Applications in Photocatalysis: A Critical Review. Green Chem. Lett. Rev. 2018, 11, 86–102. [Google Scholar] [CrossRef]
- Zhou, Q.; Fang, Z.; Li, J.; Wang, M. Applications of TiO2 Nanotube Arrays in Environmental and Energy Fields: A Review. Micropor. Mesopor. Mater. 2015, 202, 22–35. [Google Scholar] [CrossRef]
- O’Regan, B.; Graetzel, M. A Low-Cost, High-Efficiency Solar Cell Based on Dye-Sensitized Colloidal TiO2 Films. Nature 1991, 353, 737–740. [Google Scholar] [CrossRef]
- Kamat, P.V. Meeting the Clean Energy Demand: Nanostructure Architectures for Solar Energy Conversion. J. Phys. Chem. C 2007, 111, 2834–2860. [Google Scholar] [CrossRef]
- Dong, H.; Zeng, G.; Tang, L.; Fan, C.; Zhang, C.; He, X.; He, Y. An Overview on Limitations of TiO2-Based Particles for Photocatalytic Degradation of Organic Pollutants and the Corresponding Countermeasures. Water Res. 2015, 79, 128–146. [Google Scholar] [CrossRef]
- Zhang, Y.; Wu, L.; Xie, E.; Duan, H.; Han, W.; Zhao, J. A Simple Method to Prepare Uniform-Size Nanoparticle TiO2 Electrodes for Dye-Sensitized Solar Cells. J. Power. Sources 2009, 189, 1256–1263. [Google Scholar] [CrossRef]
- Etacheri, V.; Di Valentin, C.; Schneider, J.; Bahnemann, D.; Pillai, S.C. Visible-Light Activation of TiO2 Photocatalysts: Advances in Theory and Experiments. J. Photochem. Photobiol. C Photochem. Rev. 2015, 25, 1–29. [Google Scholar] [CrossRef]
- Diaz-Angulo, J.; Gomez-Bonilla, I.; Jimenez-Tohapanta, C.; Mueses, M.; Pinzon, M.; Machuca-Martinez, F. Visible-Light Activation of TiO2 by Dye-Sensitization for Degradation of Pharmaceutical Compounds. Photochem. Photobiol. Sci. 2019, 18, 897–904. [Google Scholar] [CrossRef]
- Krishnan, S.; Shriwastav, A. Application of TiO2 Nanoparticles Sensitized with Natural Chlorophyll Pigments as Catalyst for Visible Light Photocatalytic Degradation of Methylene Blue. J. Environ. Chem. Eng. 2021, 9, 104699. [Google Scholar] [CrossRef]
- Buddee, S.; Wongnawa, S.; Sriprang, P.; Sriwong, C. Curcumin-Sensitized TiO2 for Enhanced Photodegradation of Dyes under Visible Light. J. Nanopart. Res. 2014, 16, 2336. [Google Scholar] [CrossRef]
- Erez, Y.; Simkovitch, R.; Shomer, S.; Gepshtein, R.; Huppert, D. Effect of Acid on the Ultraviolet–Visible Absorption and Emission Properties of Curcumin. J. Phys. Chem. A 2014, 118, 872–884. [Google Scholar] [CrossRef] [PubMed]
- Sinha, D.; De, D.; Ayaz, A. Performance and Stability Analysis of Curcumin Dye as a Photo Sensitizer Used in Nanostructured ZnO Based DSSC. Spectrochim. Acta Part A Mol. Biomol. Spectrosc. 2018, 193, 467–474. [Google Scholar] [CrossRef] [PubMed]
- Goulart, S.; Jaramillo Nieves, L.J.; Dal Bó, A.G.; Bernardin, A.M. Sensitization of TiO2 Nanoparticles with Natural Dyes Extracts for Photocatalytic Activity under Visible Light. Dyes. Pigm. 2020, 182, 108654. [Google Scholar] [CrossRef]
- Chawraba, K.; Medlej, H.; Toufaily, J.; Lalevee, J.; Hamieh, T. TiO2 Sensitized by Natural Dye Extracted from Cinnamon Bark for Photodegradation of Methylene Blue in Water Under LED Irradiation. Chem. Afr. 2024, 7, 2087–2101. [Google Scholar] [CrossRef]
- Sanders, A.M.; Magnanelli, T.J.; Bragg, A.E.; Tovar, J.D. Photoinduced Electron Transfer within Supramolecular Donor–Acceptor Peptide Nanostructures under Aqueous Conditions. J. Am. Chem. Soc. 2016, 138, 3362–3370. [Google Scholar] [CrossRef]
- Hardcastle, F. Raman Spectroscopy of Titania (TiO2) Nanotubular Water-Splitting Catalysts. J. Arkansas Acad. Sci. 2011, 65, 43–48. [Google Scholar] [CrossRef]
- Chu, L.; Qin, Z.; Yang, J.; Li, X. Anatase TiO2 Nanoparticles with Exposed {001} Facets for Efficient Dye-Sensitized Solar Cells. Sci. Rep. 2015, 5, 12143. [Google Scholar] [CrossRef]
- Van Nong, H.; Hung, L.X.; Thang, P.N.; Chinh, V.D.; Vu, L.V.; Dung, P.T.; Van Trung, T.; Nga, P.T. Fabrication and Vibration Characterization of Curcumin Extracted from Turmeric (Curcuma Longa) Rhizomes of the Northern Vietnam. Springerplus 2016, 5, 1147. [Google Scholar] [CrossRef]
- Zhu, L.; Lu, Q.; Lv, L.; Wang, Y.; Hu, Y.; Deng, Z.; Lou, Z.; Hou, Y.; Teng, F. Ligand-Free Rutile and Anatase TiO2 Nanocrystals as Electron Extraction Layers for High Performance Inverted Polymer Solar Cells. RSC Adv. 2017, 7, 20084–20092. [Google Scholar] [CrossRef]
- Ben Saber, N.; Mezni, A.; Alrooqi, A.; Altalhi, T. Ternary Pt@TiO2/rGO Nanocomposite to Boost Photocatalytic Activity for Environmental and Energy Use. J. Inorg. Organomet. Polym. 2021, 31, 3802–3809. [Google Scholar] [CrossRef]
- Velmurugan, R.; Krishnakumar, B.; Kumar, R.; Swaminathan, M. Solar Active Nano-TiO2 for Mineralization of Reactive Red 120 and Trypan Blue. Arab. J. Chem. 2012, 5, 447–452. [Google Scholar] [CrossRef]
- Obuya, E.A.; Harrigan, W.; Andala, D.M.; Lippens, J.; Keane, T.C.; Jones, W.E. Photodeposited Pd Nanoparticle Catalysts Supported on Photoactivated TiO2 Nanofibers. J. Mol. Catal. A Chemical. 2011, 340, 89–98. [Google Scholar] [CrossRef]
- Arunkumar, R.; Babu, R.S.; Usha Rani, M. Investigation on Al2O3 Doped PVC–PBMA Blend Polymer Electrolytes. J. Mater. Sci. Mater. Electron. 2017, 28, 3309–3316. [Google Scholar] [CrossRef]
- Alharthi, A.I.; Alotaibi, M.A.; Alansi, A.M.; Qahtan, T.F.; Ali, I.; Al-Shalwi, M.N.; Bakht, M.A. Solar-Driven Thermocatalytic Synthesis of Octahydroquinazolinone Using Novel Polyvinylchloride (PVC)-Supported Aluminum Oxide (Al2O3) Catalysts. Materials 2023, 16, 2835. [Google Scholar] [CrossRef]
- Kuraitheerthakumaran, A.; Pazhamalai, S.; Manikandan, H.; Gopalakrishnan, M. Rapid and Efficient One-Pot Synthesis of Octahydroquinazolinone Derivatives Using Lanthanum Oxide under Solvent-Free Condition. J. Saudi Chem. Soc. 2014, 18, 920–924. [Google Scholar] [CrossRef]
- Karki, B.S.; Verma, S.; Agrwal, A.; Kasana, V. One Pot Three Component Organocatalyzed Synthesis of Octahydroquinazolinones. Int. J. Chem. Stud. 2017, 5, 280–290. [Google Scholar]









| Sample | Surface Area (m2/g) | Pore Volume (cm3/g) | Pore Radius (nm) |
|---|---|---|---|
| P-TiO2 | 50.41 | 1.82 | 28.32 |
| Cur dye-TiO2 | 48.23 | 0.95 | 49.04 |
![]() | ||||||||
|---|---|---|---|---|---|---|---|---|
| Entry | R | X | Product | Time (min) | Yield (%) a, b | M.P (°C) | References | |
| Observed | Reported | |||||||
| 1 | 4-(Cl)-C6H4 | O | 4a | 40 | 97 | 299–300 | 301–303 | [36] |
| 2 | 4-(F)-C6H4 | O | 4b | 45 | 95 | 138–139 | 137–138 | [37] |
| 3 | 4-(OH) 3(OCH3)-C6H3 | O | 4c | 50 | 93 | 188–190 | 185–187 | [37] |
| 4 | 4-(Cl)-C6H4 | S | 4d | 60 | 95 | 219–221 | 218–220 | [38] |
| 5 | 4-(F)-C6H4 | S | 4e | 40 | 95 | 261–263 | 260–262 | [38] |
| 6 | 4-(OH) 3(OCH3)-C6H3 | S | 4f | 50 | 92 | 187–189 | 188–190 | [39] |
Disclaimer/Publisher’s Note: The statements, opinions and data contained in all publications are solely those of the individual author(s) and contributor(s) and not of MDPI and/or the editor(s). MDPI and/or the editor(s) disclaim responsibility for any injury to people or property resulting from any ideas, methods, instructions or products referred to in the content. |
© 2024 by the authors. Licensee MDPI, Basel, Switzerland. This article is an open access article distributed under the terms and conditions of the Creative Commons Attribution (CC BY) license (https://creativecommons.org/licenses/by/4.0/).
Share and Cite
Alotaibi, M.A.; Alharthi, A.I.; F. Qahtan, T.; Bakht, M.A. Eco-Friendly Synthesis of Quinazoline Derivatives Through Visible Light-Driven Photocatalysis Using Curcumin-Sensitized Titanium Dioxide. Materials 2024, 17, 6235. https://doi.org/10.3390/ma17246235
Alotaibi MA, Alharthi AI, F. Qahtan T, Bakht MA. Eco-Friendly Synthesis of Quinazoline Derivatives Through Visible Light-Driven Photocatalysis Using Curcumin-Sensitized Titanium Dioxide. Materials. 2024; 17(24):6235. https://doi.org/10.3390/ma17246235
Chicago/Turabian StyleAlotaibi, Mshari A., Abdulrahman I. Alharthi, Talal F. Qahtan, and Md. Afroz Bakht. 2024. "Eco-Friendly Synthesis of Quinazoline Derivatives Through Visible Light-Driven Photocatalysis Using Curcumin-Sensitized Titanium Dioxide" Materials 17, no. 24: 6235. https://doi.org/10.3390/ma17246235
APA StyleAlotaibi, M. A., Alharthi, A. I., F. Qahtan, T., & Bakht, M. A. (2024). Eco-Friendly Synthesis of Quinazoline Derivatives Through Visible Light-Driven Photocatalysis Using Curcumin-Sensitized Titanium Dioxide. Materials, 17(24), 6235. https://doi.org/10.3390/ma17246235


