Study on Microstructure and Thermal Cracking Sensitivity of Deposited Ti6Al4V/Inconel 718 Composites Made by Two-Wire Arc Additive Manufacturing by Current
Abstract
1. Introduction
2. Experimental Details
3. Results and Discussion
3.1. Single-Layer Deposition Analysis
3.2. XRD Phase Analysis
3.3. Organizational Characterization by Optical Microscopy
3.4. SEM and Element Content Analysis
3.5. Cracks
3.6. Mechanical Properties
4. Discussion
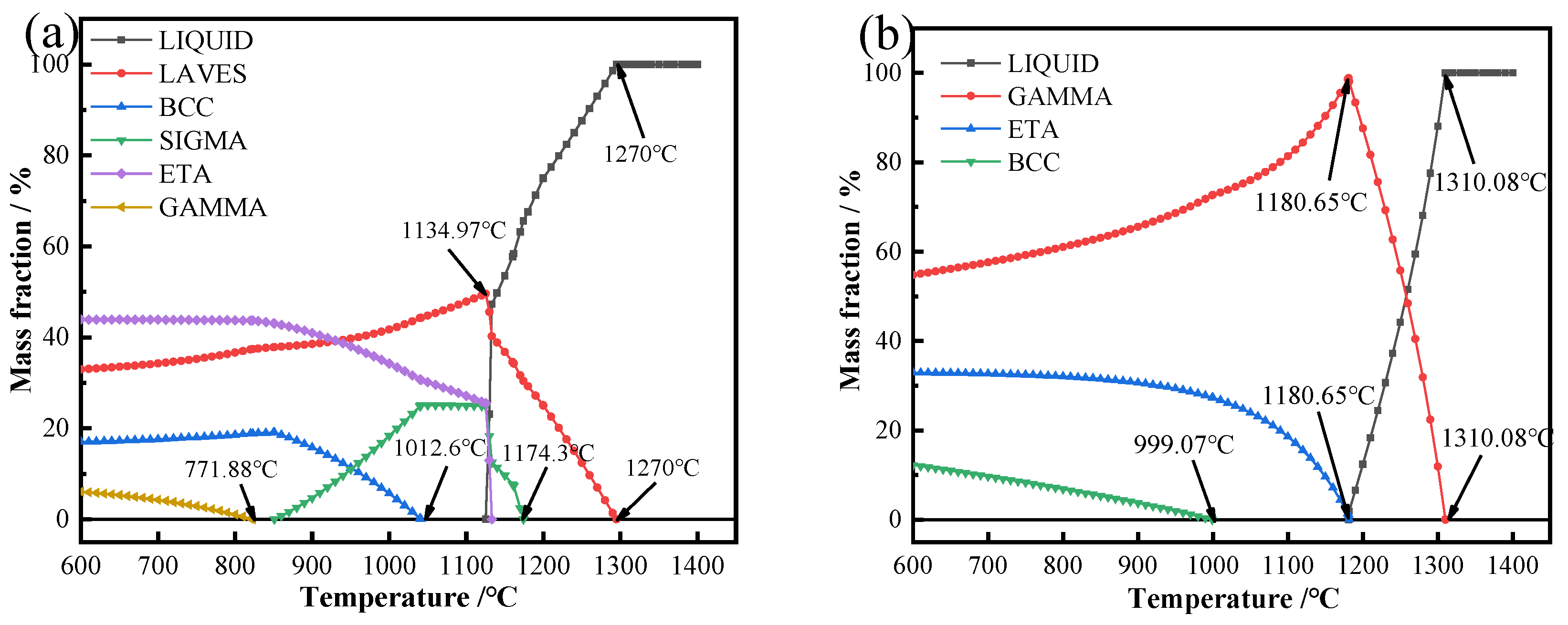
4.1. Solidification of Composite Materials Under Different Deposition Currents

4.2. Crack Analysis
4.3. Hardness Analysis
5. Conclusions
- The Ti6Al4V/Inconel 718 composite material was successfully fabricated using Ti6Al4V and Inconel 718 welding wires as raw materials, employing the double-wire Wire and Arc Additive Manufacturing (WAAM) deposition method at various deposition currents. However, it was observed that an increase in the deposition current correlated with the emergence of cracks within the composite material.
- As the deposition current increases, the secondary dendrite spacing in the deposition samples first increases and then decreases. At a deposition current of 35 A, the secondary dendrite spacing measures 5.16 μm, while at 50 A, it reduces to 3.96 μm. Notably, the samples prepared at a deposition current of 35 A exhibit good morphology, with no visible cracks or defects.
- At a deposition current of 35 A, the microstructure primarily consists of a nickel-based alloy, with Ti elements dispersed along the dendrite axis through diffusion. At deposition currents of 40 A and 45 A, the contents of titanium, nickel, chromium, and iron between the dendrite axis and the dendrites show minimal variation. However, at 50 A, TiNi, Cr2Ti, and Fe2Ti are predominantly deposited on the dendrite axis, while MC carbide is also found there. Additionally, Ni3Ti is mainly deposited between the dendrites.
- At a deposition current of 50 A, cracks appear in the prepared sample, exhibiting a cleavage fracture. The excessive heat input leads to stress concentration in the deposited layer, surpassing the yield strength of the alloy and resulting in a cracked cross-section.
- The hardness data indicate that the microhardness of the sample increases with the current. Specifically, when the current rises to 50 A, the microhardness shows a 31.51% increase compared to the value at 35 A.
Author Contributions
Funding
Data Availability Statement
Acknowledgments
Conflicts of Interest
References
- Sakundarini, N.; Taha, Z.; Abdul-Rashid, S.H.; Ariffin, R.; Ghazila, R. Optimal multimaterial selection for lightweight design of automotive body assembly incorporating recyclability. J. Mater. Des. 2013, 50, 846–857. [Google Scholar] [CrossRef]
- Wargnier, H.; Kromm, F.X.; Danis, M.; Brechet, Y. Proposal for a multi-material design procedure. J. Mater. 2014, 56, 44–49. [Google Scholar] [CrossRef]
- Jeong, H.-I.; Kim, D.-H.; Lee, C.-M. Multi-material deposition of Inconel 718 and Ti-6Al-4V using the Ti-Nb-Cr-V-Ni high entropy alloy intermediate layer. J. Mater. Res. Technol. 2024, 29, 3217–3227. [Google Scholar] [CrossRef]
- Hou, X.; Ye, X.; Qian, X.; Zhang, X.; Zhang, P.; Lu, Q.; Yu, Z.; Shen, C.; Wang, L.; Hua, X. Heat Accumulation, Microstructure Evolution, and Stress Distribution of Ti-Al Alloy Manufactured by Twin-Wire Plasma Arc Additive. J. Adv. Eng. Mater. 2022, 24, 2101151. [Google Scholar] [CrossRef]
- Hadibeyk, S.; Beidokhti, B.; Sajjadi, S.A. Effect of bonding time and homogenization heat treatment on the microstructure and mechanical properties of the transient liquid phase bonded dissimilar GTD-111/FSX-414 TLP superalloys. J. Alloy. Comp. 2018, 731, 929–935. [Google Scholar] [CrossRef]
- Zhang, Y.; Luo, Z.; Li, Y.; Liu, Z.; Huang, Z. Microstructure characterization and tensile properties of Mg/Al dissimilar joints manufactured by thermocompensated resistance spot welding with Zn interlayer. J. Mater. 2015, 75, 166–173. [Google Scholar] [CrossRef]
- Aceves, S.M.; Espinosa-loza, F.; Elmer, J.W.; Huber, R. ScienceDirect Comparison of Cu, Ti and Ta interlayer explosively fabricated aluminum to stainless steel transition joints for cryogenic pressurized hydrogen storage. J. Int. J. Adv. Manuf. Technol. 2014, 40, 1490–1503. [Google Scholar] [CrossRef]
- Oliveira, J.P.; Panton, B.; Zeng, Z.; Andrei, C.M.; Zhou, Y.; Miranda, R.M.; Fernandes, F.M.B. Laser joining of NiTi to Ti6Al4V using a Niobium interlayer. J. Acta Mater. 2016, 105, 9–15. [Google Scholar] [CrossRef]
- Mishra, A.; Paul, A.R.; Sharma, R.; Mukherjee, M.; Singh, R.K. Interfacial characteristics of Ti6Al4V-IN718 dissimilar structure developed by wire-arc additive manufacturing using Monel-400 as an interlayer. J. Mater. Today Proc. 2023, 80, 241–247. [Google Scholar] [CrossRef]
- Song, C.; Ma, G.; He, A.; Li, Y.; Niu, F.; Wu, D. Multi-phases transformation mechanism of Ti6Al4V/Inconel 718 composite by laser additive manufacturing. J. Mater. Charact. 2021, 179, 111363. [Google Scholar] [CrossRef]
- Chatterjee, S.; Abinandanan, T.A.; Chattopadhyay, K. Phase formation in Ti/Nidissimilar welds. J. Mater. Sci. Eng. A 2008, 490, 7–15. [Google Scholar] [CrossRef]
- Chatterjee, S.; Abinandanan, T.A.; Reddy, G.M.; Chattopadhyay, K. Microstructure formation in dissimilar metal welds: Electron beam welding of Ti/Ni. J. Metall. Mater. Trans. A 2016, 47, 769–776. [Google Scholar] [CrossRef]
- Martinsen, K.; Hu, S.J.; Carlson, B.E. Joining of dissimilar materials. J. CIRP Ann.-Manuf. Technol. 2015, 64, 679–699. [Google Scholar] [CrossRef]
- Sun, Z.; Ion, J.C. Laser welding of dissimilar metal combinations. J. Mater. Sci. 1995, 30, 4205–4214. [Google Scholar] [CrossRef]
- Wang, Y.; Ye, X.; Shi, M.; Pan, N.; Xia, P. Study of Phase Evolution Behavior of Ti6Al4V/Inconel 718 by Pulsed Laser Melting Deposition. J. Mater. 2023, 16, 2437. [Google Scholar] [CrossRef]
- Chen, H.C.; Pinkerton, A.J.; Li, L. Fibre laser welding of dissimilar alloys of Ti-6Al-4V and Inconel 718 for aerospace applications. J. Int. J. Adv. Manuf. Technol. 2011, 52, 977–987. [Google Scholar] [CrossRef]
- Peng, Y.; Fu, Z.Y.; Wang, W.M.; Zhang, J.Y.; Wang, Y.C.; Wang, H.; Zhang, Q.J. Welding of Ti-6Al-4V and TiB2-Ni cermet using pulsed current heating. J. Sci. Technol. Weld. Join. 2008, 13, 456–461. [Google Scholar] [CrossRef]
- Sun, Z.; Ji, X.; Zhang, W.; Chang, L.; Xie, G.; Chang, H.; Zhou, L. Microstructure evolution and high temperature resistance of Ti6Al4V/Inconel625 gradient coating fabricated by laser melting deposition. J. Mater. Des. 2020, 191, 108644. [Google Scholar] [CrossRef]
- Meng, W.; Xiaohui, Y.; Zhang, W.; Junfei, F.; Lijie, G.; Qunshuang, M.; Bing, C. Additive manufacturing of a functionally graded material from Inconel625 to Ti6Al4V by laser synchronous preheating. J. Mater. Process. Technol. 2020, 275, 116368. [Google Scholar] [CrossRef]
- Bonny, O.; Amit, B. Additive manufacturing of Inconel 718-Ti6Al4V bimetallic structures. J. Addit. Manuf. 2018, 22, 844–851. [Google Scholar] [CrossRef]
- Huang, J.; Liu, G.; Yu, X.; Guan, Z.; Yu, S.; Fan, D. Characterization of nickel-titanium alloy graded materials using double wire alternating current cross arc additive manufacturing. J. Alloys Compd. 2022, 910, 164912. [Google Scholar] [CrossRef]
- Lu, L.; Tian, Y.; Cai, Y.; Xin, Y.; Chen, X.; Zhang, G.; Han, J. Microstructure and mechanical properties of a functionally graded material from TA1 to Inconel 625 fabricated by dual wire+arc additive manufacturing. J. Mater. Lett. 2021, 298, 130010. [Google Scholar] [CrossRef]
- Wang, J.; Pan, Z.; Wei, L.; He, S.; Cuiuri, D.; Li, H. Introduction of ternary alloying element in wire arc additive manufacturing of titanium aluminide intermetallic. J. Addit. Manuf. 2019, 27, 236–245. [Google Scholar] [CrossRef]
- Han, J.; Chen, X.; Zhang, G.; Liu, B.; Cai, Y.; Chen, M.; Jiang, H.; Tian, Y. Ni50.8Ti49.2 alloy prepared by double-wire + arc additive manufacturing with a substrate heating temperature of 600 C. J. Manuf. Process. 2023, 104, 76–86. [Google Scholar] [CrossRef]
- Le, V.T.; Bui, M.C.; Nguyen, T.D.; Nguyen, V.A. Van Canh Nguyen. On the connection of the heat input to the forming quality in wire-and-arc additive manufacturing of stainless steels. J. Vacuum. 2023, 209, 111807. [Google Scholar] [CrossRef]
- Le, V.T.; Mai, D.S.; Bui, M.C.; Wasmer, K.; Nguyen, V.A.; Dinh, D.M.; Nguyen, V.C.; Vu, D. Influences of the process parameter and thermal cycles on the quality of 308L stainless steel walls produced by additive manufacturing utilizing an arc welding source. J. Weld World 2022, 66, 1565–1580. [Google Scholar] [CrossRef]
- Zhang, G.; Chen, X.; Cai, Y.; Lu, L.; Xin, Y.; Jia, D.; Tian, Y.; Han, J. Microstructure and mechanical properties of Ti-3Al-2V alloy by dual wire + arc additive manufacturing. J. Mater. Lett. 2021, 229, 130190. [Google Scholar] [CrossRef]
- Danek, M.; Fernandes, F.; Cavaleiro, A.; Polcar, T. Influence of Cr additions on the structure and oxidation resistance of multilayered TiAlCrN films. J. Surf. Coat. Technol. 2017, 313, 158–167. [Google Scholar] [CrossRef]
- Hu, B.; Du, Y.; Schuster, J.C.; Sun, W.; Liu, S.; Tang, C. Thermodynamic modeling of the Cr-Ni-Ti system using a four-sublattice model for ordered/disordered bcc phases. J. Thermochim. Acta 2014, 578, 35–42. [Google Scholar] [CrossRef]
- Górka, J.; Jamrozik, W.; Kiel-Jamrozik, M. The effect of TIG welding on the structure and hardness of butt joints made of Inconel 718. J. Heliyon. 2023, 9, e13175. [Google Scholar] [CrossRef]
- Tian, Y.; Chen, X.; Cai, Y.; Luo, Z.; Chen, M.; Zhang, X.; Li, J.; Han, J. Microstructure and properties of a Ni-Ti-Cr-Mo-Nb alloy fabricated in situ by dual-wire arc additive manufacturing. J. Mater. Sci. Eng. A 2022, 853, 143740. [Google Scholar] [CrossRef]
- Wu, Y.; Wu, X.; Qin, S.; Yang, K. Compressibility and phase transition of intermetallic compound Fe2Ti. J. Alloys Compd. 2013, 558, 160–163. [Google Scholar] [CrossRef]
- Uchil, J.; Kumara, K.G.; Mahesh, K.K. Effects of heat treatment temperature and thermal cycling on phase transformations in Ni-Ti-Cr alloy. J. Alloys Compd. 2001, 325, 210–214. [Google Scholar] [CrossRef]
- Saunders, N.; Miodownik, A.P. Calphad-Calculation of Phase Diagrams: A Comprehensive Guide; Pergamon materials series; Cahn, R.W., Ed.; Elsevier: Amsterdam, The Netherlands, 1998; Volume 1, pp. 1–479. [Google Scholar]
- Shercliff, H.R.; Ashby, M.F. A process model for age hardening of aluminum alloys-I. the model. J. Acta Metall. Et Mater. 1990, 38, 1789–1802. [Google Scholar] [CrossRef]
- Yang, Z.; Yan, C.; Tang, T.; Li, P.; Li, Z. Failure analysis and heat treatment process optimization of NOS525 rotary flat binaural hot forging die. J. Eng. Fail. Anal. 2024, 163, 108521. [Google Scholar] [CrossRef]
- Swartzendruber, L.J.; Itkin, V.P.; Alcock, C.B. The Fe-Ni (iron-nickel) system. J. Phase Equilibria 1991, 12, 288–312. [Google Scholar] [CrossRef]
- Ojo, O.A. Intergranular liquation cracking in heat affected zone of a welded nickel based superalloy in as cast condition. J. Mater. Sci. Technol. 2007, 23, 1149–1155. [Google Scholar] [CrossRef]
- Chintababu, U.; Chary, V.R.; Gupta, S.P. Liquid Film Migration in a Cu-5 At.% Sb Alloy. J. Can. Metall. Q. 2007, 46, 175–187. [Google Scholar] [CrossRef]
- Kumar, S.; Shahi, A.S. Effect of heat input on the microstructure and mechanical properties of gas tungsten arc welded AISI 304 stainless steel joints. J. Mater. Design. 2011, 32, 3617–3623. [Google Scholar] [CrossRef]
- Pelloth, J.; Brand, R.A.; Keune, W. Local magnetic properties of the Fe2Ti Laves phase. J. Magn. Magn. Mater. 1995, 140–144, 59–60. [Google Scholar] [CrossRef]
- Su, L.; Jia, L.; Feng, Y.; Zhang, H.; Yuan, S.; Zhang, H. Microstructure and room-temperature fracture toughness of directionally solidified Nb-Si-Ti-Cr-Al-Hf alloy. J. Mater. Sci. Eng. A Struct. Mater. Prop. Microstruct. Process. 2013, 560, 672–677. [Google Scholar] [CrossRef]
- Liu, M.Y.; Shi, B.; Wang, C.; Ji, S.K.; Cai, X.; Song, H.W. Normal Hall–Petch behavior of mild steel with submicron grains. J. Mater. Lett. 2003, 57, 2798–2802. [Google Scholar] [CrossRef]
















| Al | V | Fe | C | N | H | O | Ti |
|---|---|---|---|---|---|---|---|
| 5.9 | 3.97 | 0.05 | 0.10 | 0.05 | 0.01 | 0.10 | Bal. |
| Ni | Cr | Nb | Mo | Ti | Al | Si | Fe |
|---|---|---|---|---|---|---|---|
| 53.61 | 18.76 | 4.86 | 3.12 | 1.05 | 0.49 | 0.18 | Bal. |
| Parameter | Value |
|---|---|
| Wire feed rate (Ti6Al4V) | 400 mm/min |
| Wire feed rate (Inconel 718) | 800 mm/min |
| Gas flow | 15 L/min |
| Plate speed | 0.9 mm/s |
| Area | Ti | Ni | Cr | Fe | Nb | Mo | C |
|---|---|---|---|---|---|---|---|
| P1 | 4.05 | 17.78 | 12.79 | 10.54 | 6.55 | 2.52 | 44.45 |
| P2 | 6.1 | 48.14 | 22.89 | 19.64 | - | - | - |
| P3 | 68.52 | 23.47 | - | - | - | - | - |
| P4 | 17.15 | 43.48 | 21.31 | 16.02 | - | - | - |
| P5 | 20.22 | 27.59 | 20.96 | 20.86 | 6.10 | 3.16 | - |
| P6 | 12.87 | 33.63 | 21.89 | 19.56 | 6.18 | 3.66 | - |
| P7 | 5.23 | 11.72 | 12.91 | 11.01 | 4.57 | 2.13 | 51.63 |
| P8 | 8.20 | 44.65 | 23.81 | 21.59 | 23.81 | - | - |
| P9 | 22.48 | 26.71 | 21.91 | 21.17 | 4.12 | 2.59 | - |
| P10 | 22.94 | 45 | 16.96 | 15.10 | - | - | - |
| P11 | 12.60 | 17.08 | 14.59 | 13.68 | 3.71 | 2.10 | 35.58 |
Disclaimer/Publisher’s Note: The statements, opinions and data contained in all publications are solely those of the individual author(s) and contributor(s) and not of MDPI and/or the editor(s). MDPI and/or the editor(s) disclaim responsibility for any injury to people or property resulting from any ideas, methods, instructions or products referred to in the content. |
© 2024 by the authors. Licensee MDPI, Basel, Switzerland. This article is an open access article distributed under the terms and conditions of the Creative Commons Attribution (CC BY) license (https://creativecommons.org/licenses/by/4.0/).
Share and Cite
Xia, P.; Ye, X.; Zhang, G. Study on Microstructure and Thermal Cracking Sensitivity of Deposited Ti6Al4V/Inconel 718 Composites Made by Two-Wire Arc Additive Manufacturing by Current. Materials 2024, 17, 5989. https://doi.org/10.3390/ma17235989
Xia P, Ye X, Zhang G. Study on Microstructure and Thermal Cracking Sensitivity of Deposited Ti6Al4V/Inconel 718 Composites Made by Two-Wire Arc Additive Manufacturing by Current. Materials. 2024; 17(23):5989. https://doi.org/10.3390/ma17235989
Chicago/Turabian StyleXia, Peng, Xin Ye, and Guangshun Zhang. 2024. "Study on Microstructure and Thermal Cracking Sensitivity of Deposited Ti6Al4V/Inconel 718 Composites Made by Two-Wire Arc Additive Manufacturing by Current" Materials 17, no. 23: 5989. https://doi.org/10.3390/ma17235989
APA StyleXia, P., Ye, X., & Zhang, G. (2024). Study on Microstructure and Thermal Cracking Sensitivity of Deposited Ti6Al4V/Inconel 718 Composites Made by Two-Wire Arc Additive Manufacturing by Current. Materials, 17(23), 5989. https://doi.org/10.3390/ma17235989

