Unveiling the Effect of Ti Micro-Alloying on the Microstructure and Corrosion Resistance of the GH3536 Alloy Processed by Laser Metal Deposition in a Simulated Environment for PEMFCs
Highlights
- Corrosion resistance of GH3536 alloy is improved as increasing Ti contents.
- Ti-modified Al2O3 particles can serve as effective heterogeneous nucleation sites.
- Grain refinement induced by Ti enhances the protectiveness of passive films.
Abstract
1. Introduction
2. Experimental
2.1. Materials and Samples Preparation
2.2. Microstructual Characterization
2.3. Electrochemical Measurements
2.4. XPS Characterization
3. Results
3.1. Microstructure
3.2. Potentiodynamic Polarization
3.3. Electrochemical Impedance Spectroscopy
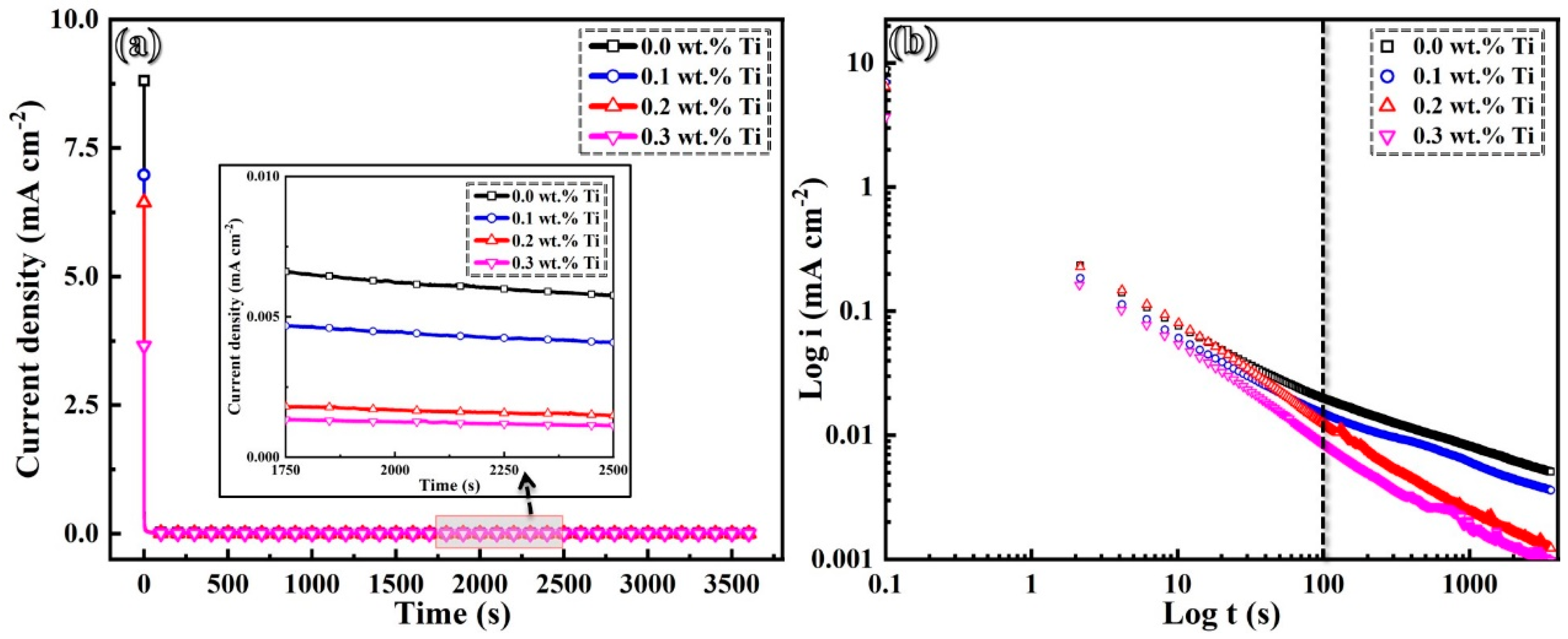
3.4. Potentiostatic Measurements
3.5. Mott–Schottky Analysis
3.6. DL-EPR Tests
3.7. XPS Analysis
4. Discussion
4.1. Refinement Mechanism of Ti Addition on Solidification Structure
4.2. Corrosion Resistance Mechanism of LMD-Processed GH3536 Alloy by Ti Alloying
5. Conclusions
Author Contributions
Funding
Institutional Review Board Statement
Informed Consent Statement
Data Availability Statement
Acknowledgments
Conflicts of Interest
References
- Lu, K.; Zhang, J.; Ding, H.; Wang, Z.; Pan, X. Numerical and experimental investigation of 3D flow field bipolar plates for PEMFCs by metal 3D printing. Fuel 2024, 357, 129699. [Google Scholar] [CrossRef]
- He, B.; Wei, L.; Hu, F.; Dafalla, A.M.; Guo, J.; Wang, C.; Jiang, F. Analyzing Key Factors Influencing Water Transport in Open Air-Cooled PEM Fuel Cells. Materials 2024, 17, 3267. [Google Scholar] [CrossRef]
- Jiao, K.; Xuan, J.; Du, Q.; Bao, Z.; Xie, B.; Wang, B.; Zhao, Y.; Fan, L.; Wang, H.; Hou, Z.; et al. Designing the next generation of proton-exchange membrane fuel cells. Nature 2021, 595, 361–369. [Google Scholar] [CrossRef]
- Steele, B.H.C.; Heinzel, A. Materials for fuel-cell technologies. Nature 2001, 414, 345. [Google Scholar] [CrossRef] [PubMed]
- Fredebeul-Beverungen, N.; Steinhorst, M.; Roch, T. Comparison of Magnetron-Sputtered and Cathodic Arc-Deposited Ti and Cr Thin Films on Stainless Steel for Bipolar Plates. Materials 2024, 17, 2864. [Google Scholar] [CrossRef]
- Saadat, N.; Jaffer, S.; Tjong, J.; Oksman, K.; Sain, M. Enhancing performance of advanced fuel cell design with functional energy materials and process. J. Mater. Res. Technol. 2023, 26, 1723–1735. [Google Scholar] [CrossRef]
- Jin, C.K.; Lee, K.H.; Kang, C.G. Performance and characteristics of titanium nitride, chromium nitride, multi-coated stainless steel 304 bipolar plates fabricated through a rubber forming process. Int. J. Hydrogen Energy 2015, 40, 6681–6688. [Google Scholar] [CrossRef]
- Wang, Y.-Q.; Yuan, C.; Xiao, Y.; Wen, X.; Zhang, B.; Gao, X.-Y.; Chen, Y.-P.; Qiao, S.-C.; Wang, F.-Z. Probing temperature effects on the stacking fault energy of GH3536 superalloy using first-principles theory. Intermetallics 2023, 157, 107882. [Google Scholar] [CrossRef]
- Qiao, C.; Du, Y.; Yang, P.; Liu, Z.; Lyu, H.; Zhao, K.; Guo, L. Influence of Heat Treatment on Microstructure and Mechanical Properties of TC4 Fabricated by Laser Melting Deposition. Met. Mater. Int. 2022, 28, 3068–3079. [Google Scholar]
- Kong, D.; Ni, X.; Dong, C.; Zhang, L.; Man, C.; Yao, J.; Xiao, K.; Li, X. Heat treatment effect on the microstructure and corrosion behavior of 316L stainless steel fabricated by selective laser melting for proton exchange membrane fuel cells. Electrochim. Acta 2018, 276, 293–303. [Google Scholar] [CrossRef]
- Chen, J.; Chen, B. Progress in Additive Manufacturing of Magnesium Alloys: A Review. Materials 2024, 17, 3851. [Google Scholar] [CrossRef] [PubMed]
- Chen, Y.; Zhang, Q.; Li, B.; Chen, Z.; Liu, S.; Ma, X.; Tofil, S.; Yao, J. Effect of Laser on the Interface and Thermal Conductivity of Metallized Diamond/Cu Composite Coatings Deposited by Supersonic Laser Deposition. Materials 2024, 17, 5174. [Google Scholar] [CrossRef] [PubMed]
- Garfias, A.; Sarret, M.; Sánchez, J.; Cano, I.G.; Albaladejo-Fuentes, V.; Andreu, T. Manufacturing and properties characterization of Ti patterned coatings for water electrolyzers by CSAM. Appl. Surf. Sci. Adv. 2024, 24, 100649. [Google Scholar] [CrossRef]
- Perrone, A.; Aziz, M.R.; Gontad, F. Various Configurations for Improving the Efficiency of Metallic and Superconducting Photocathodes Prepared by Pulsed Laser Deposition: A Comparative Review. Materials 2024, 17, 5257. [Google Scholar] [CrossRef]
- Xu, B.; Zhang, S.; Zhang, J.; Mou, L.; Tong, J.; Li, B. Microstructural evolution and corrosion behavior of GH3536 superalloy fabricated by laser metal deposition following different aging heat treatments. Vacuum 2024, 219, 112717. [Google Scholar] [CrossRef]
- Wang, Y.; Zhang, S.; Lu, Z.; Wang, L.; Li, W. Preparation and performances of electrically conductive Nb-doped TiO2 coatings for 316 stainless steel bipolar plates of proton-exchange membrane fuel cells. Corros. Sci. 2018, 142, 249–257. [Google Scholar] [CrossRef]
- Leo, P.; Nobile, R.; Barreiro, J.; Bagheri, S.; Mele, C. Precipitation hardening stainless steel samples processed by additive manufacturing: Process parameters and thermo mechanical treatments effects on microstructure and corrosion resistance. Opt. Laser Technol. 2022, 156, 108547. [Google Scholar] [CrossRef]
- Chen, Z.; Wang, K.; Qu, W.; Chen, M.; Li, S.; Dong, T.; Gong, S.; Wang, F. Hot corrosion behavior analysis and diffusion equation construction based on laser wire additive manufacturing GH3039. J. Mater. Res. Technol. 2024, 30, 1620–1630. [Google Scholar] [CrossRef]
- Revilla, R.I.; Li, G.; Pion, R.; Marcoen, K.; Andreatta, F.; Fedrizzi, L.; Vanmeensel, K.; Graeve, I.D. Effect of heat treatment on the microstructure and pitting corrosion behavior of 316L stainless steel fabricated by different additive manufacturing methods (L-PBF versus L-DED): Comparative investigation exploring the role of microstructural features on passivity. Corros. Sci. 2024, 228, 111814. [Google Scholar]
- Huang, X.; Qiu, W.; Niu, B.; Zou, X.; Pan, L.; Kwok, C.T. Role of complex nonmetallic inclusions on the localized corrosion resistance of wire arc additively manufactured super duplex stainless steel. J. Mater. Res. Technol. 2024, 28, 799–813. [Google Scholar] [CrossRef]
- Zhang, Z.; Li, X.; Yi, H.; Xie, H.; Zhao, Z.; Bai, P. Clarify the role of Nb alloying on passive film and corrosion behavior of CoCrFeMnNi high entropy alloy fabricated by laser powder bed fusion. Corros. Sci. 2023, 224, 111510. [Google Scholar] [CrossRef]
- Liang, Z.; Xiao, S.; Yue, H.; Li, X.; Li, Q.; Zheng, Y.; Xu, L.; Xue, X.; Tian, J.; Chen, Y. Tailoring microstructure and improving oxidation resistance of an additively manufactured high Nb containing TiAl alloy via heat treatment. Corros. Sci. 2023, 220, 111287. [Google Scholar] [CrossRef]
- Chyrkin, A.; Nowak, W.J.; Gunduz, K.O.; Fedorova, I.; Sattari, M.; Froitzheim, J.; Halvarsson, M.; Stiller, K.M. Intergranular oxidation of additively manufactured Ni-base alloy 625: The role of Si. Corros. Sci. 2023, 219, 111234. [Google Scholar] [CrossRef]
- Liu, Y.; Pan, H.; Zhao, Y.; Zhou, L.; Feng, J.; Jiang, Y. New insights for composition design: A novel synergistic corrosion-resistant effect of Fe-Mn-Al-Cr-Si-Mo-C lightweight steel in 3.5 wt% NaCl solution. J. Mater. Res. Technol. 2024, 32, 1602–1619. [Google Scholar] [CrossRef]
- Guo, C.; Yu, Z.; Liu, C.; Li, X.; Zhu, Q.; Ward, R.M. Effects of Y2O3 nanoparticles on the high-temperature oxidation behavior of IN738LC manufactured by laser powder bed fusion. Corros. Sci. 2020, 171, 108715. [Google Scholar] [CrossRef]
- Zhang, W.; Liu, F.; Liu, L.; Li, Q.; Liu, L.; Liu, F.; Huang, C. Effect of grain size and distribution on the corrosion behavior of Y2O3 dispersion-strengthened 304 stainless steel. Mater. Today Commun. 2022, 31, 103723. [Google Scholar] [CrossRef]
- Gao, J.; Liu, F.; Liu, L.; Liu, F.; You, Q.; Zheng, Y.; Wang, P.; Qiu, H. Effect of TiB2 content on microstructure and mechanical properties of GH3536 superalloy formed by laser solid forming. Mater. Today Commun. 2023, 37, 107168. [Google Scholar] [CrossRef]
- Zhou, S.; An, Q.; Chen, X.; Huang, L.; Zhang, R.; Sun, F.; Chen, R.; Wang, C.; Lu, W.; Geng, L. Improvement in tensile strength of GH3536-TiB2 composites fabricated by powder metallurgy. Mater. Sci. Eng. A 2023, 873, 145047. [Google Scholar] [CrossRef]
- Jiang, X.; Di, X.; Li, C.; Wang, D.; Hu, W. Improvement of mechanical properties and corrosion resistance for wire arc additive manufactured nickel alloy 690 by adding TiC particles. J. Alloys Compd. 2022, 928, 167198. [Google Scholar] [CrossRef]
- Wang, Z.; Liu, H.; Huang, J.; Zhuo, S.; Wu, Y.; Wang, G.; Zheng, Z.; Qiu, Z.; Zeng, D. Improving wear and corrosion resistance of HVAF sprayed 316L stainless steel coating by adding TiB2 ceramic particles and CeO2. J. Mater. Res. Technol. 2024, 302, 1313–1325. [Google Scholar] [CrossRef]
- Kim, J.K.; Kim, Y.H.; Lee, J.S.; Kim, K.Y. Effect of chromium content on intergranular corrosion and precipitation of Ti-stabilized ferritic stainless steels. Corros. Sci. 2010, 52, 1847–1852. [Google Scholar] [CrossRef]
- Shang, B.; Lei, L.; Wang, X.; He, P.; Yuan, X.; Dai, W.; Li, J.; Jiang, Y.; Sun, Y. Effects of grain boundary characteristics changing with cold rolling deformation on intergranular corrosion resistance of 443 ultra-pure ferritic stainless steel. Corros. Commun. 2022, 8, 27–39. [Google Scholar] [CrossRef]
- Xu, B.; Li, B.; Tong, J.; Zhang, J.; Zhang, S. Microstructural evolution and corrosion behavior of deformed GH3536 alloy fabricated by laser metal deposition for bipolar plates in PEMFC. Vacuum 2024, 227, 113440. [Google Scholar] [CrossRef]
- Momeni, M.; Moayed, M.H.; Davoodi, A. Tuning DOS measuring parameters based on double-loop EPR in H2SO4 containing KSCN by Taguchi method. Corros. Sci. 2010, 52, 2653–2660. [Google Scholar] [CrossRef]
- Tong, Z.; Ren, X.; Jiao, J.; Zhou, W.; Ren, Y.; Ye, Y.; Larson, E.A.; Gu, J. Laser additive manufacturing of FeCrCoMnNi high-entropy alloy: Effect of heat treatment on microstructure, residual stress and mechanical property. J. Alloys Compd. 2019, 785, 1144–1159. [Google Scholar] [CrossRef]
- Brandon, D.G.; Ralph, B.; Ranganathan, S.; Wald, M.S. A field ion microscope study of atomic configuration at grain boundaries. Acta Met. 1964, 12, 813–821. [Google Scholar] [CrossRef]
- Sakaguchi, N.; Endo, M.; Watanabe, S.; Kinoshita, H.; Yamashita, S.; Kokawa, H. Radiation-induced segregation and corrosion behavior on Σ3 coincidence site lattice and random grain boundaries in proton-irradiated type-316L austenitic stainless steel. J. Nucl. Mater. 2013, 434, 65–71. [Google Scholar] [CrossRef]
- Yamaura, S.; Igarashi, Y.; Tsurekawa, S.; Watanabe, T. Structure-dependent intergranular oxidation in Ni-Fe polycrystalline alloy. Acta Mater. 1999, 47, 1163–1174. [Google Scholar] [CrossRef]
- Shimada, M.; Kokawa, H.; Wang, Z.; Sato, Y.; Karibe, I. Optimization of grain boundary character distribution for intergranular corrosion resistant 304 stainless steel by twin-induced grain boundary engineering. Acta Mater. 2002, 50, 2331–2341. [Google Scholar] [CrossRef]
- Hu, C.; Xia, S.; Li, H.; Liu, T.; Zhou, B.; Chen, W.; Wang, N. Improving the intergranular corrosion resistance of 304 stainless steel by grain boundary network control. Corros. Sci. 2011, 53, 1880–1886. [Google Scholar] [CrossRef]
- Bi, H.Y.; Kokawa, H.; Wang, Z.J.; Shimada, M.; Sato, Y.S. Suppression of chromium depletion by grain boundary structural change during twin-induced grain boundary engineering of 304 stainless steel. Scr. Mater. 2003, 49, 219–223. [Google Scholar]
- Maffiotte, C.; Sáez-Maderuelo, A.; Gómez-Briceño, D. AES characterization of oxide films formed on nickel-base alloys at Supercritical Water Reactor (SCWR) conditions. Surf. Interface Anal. 2016, 48, 680–684. [Google Scholar] [CrossRef]
- Fu, Y.; Wu, X.; Han, E.H.; Ke, W.; Yang, K.; Jiang, Z. Effects of cold work and sensitization treatment on the corrosion resistance of high nitrogen stainless steel in chloride solutions. Electrochim. Acta 2009, 54, 1618–1629. [Google Scholar] [CrossRef]
- Schultze, J.W.; Lohrengel, M.M. Stability, reactivity and breakdown of passive films. Problems of recent and future research. Electrochim. Acta 2000, 45, 2499–2513. [Google Scholar] [CrossRef]
- Burstein, G.; Daymond, B. The remarkable passivity of austenitic stainless steel in sulphuric acid solution and the effect of repetitive temperature cycling. Corros. Sci. 2009, 51, 2249–2252. [Google Scholar] [CrossRef]
- Ren, Y.; Zhao, H.; Liu, W.; Yang, K. Effect of cold deformation on pitting corrosion of 00Cr18Mn15Mo2N0.86 stainless steel for coronary stent application. Mater. Sci. Eng. C 2016, 60, 293–297. [Google Scholar] [CrossRef]
- Zhang, S.; Bian, T.; Mou, L.; Yan, X.; Zhang, J.; Zhang, Y.; Liu, B. Alloy design employing Ni and Mo low alloying for 3Cr steel with enhanced corrosion resistance in CO2 environments. J. Mater. Res. Technol. 2023, 24, 1304–1321. [Google Scholar] [CrossRef]
- Brug, G.; van den Eeden, A.L.; Sluyters-Rehbach, M.; Sluyters, J.H. The analysis of electrode impedances complicated by the presence of a constant phase element. J. Electroanal. Chem. Interfacial Electrochem. 1984, 176, 275–295. [Google Scholar] [CrossRef]
- Orazem, M.E.; Frateur, I.; Tribollet, B.; Vivier, V.; Marcelin, S.; Pébère, N.; Bunge, A.L.; White, E.A.; Riemer, D.P.; Musiani, M. Dielectric properties of materials showing constant-phase-element (CPE) impedance response. J. Electrochem. Soc. 2013, 160, C215. [Google Scholar] [CrossRef]
- Martini, E.M.A.; Muller, I.L. Characterization of the film formed on iron in borate solution by electrochemical impedance spectroscopy. Corros. Sci. 2000, 42, 443–454. [Google Scholar] [CrossRef]
- Hassan, H.H. Effect of chloride ions on the corrosion behavior of steel in 0.1 M citrate. Electrochim. Acta 2005, 51, 526–535. [Google Scholar] [CrossRef]
- Baril, G.; Blanc, C.; Pebere, N. AC impedance spectroscopy in characterizing time-dependent corrosion of AZ91 and AM50 magnesium alloys. J. Electrochem. Soc. 2001, 148, B489–B496. [Google Scholar] [CrossRef]
- Galvele, J.R.; Torresi, R.M.; Carranza, R.M. Passivity breakdown, its relation to pitting and stress-corrosion-cracking processes. Corrosion Sci. 1990, 31, 563–571. [Google Scholar] [CrossRef]
- Luo, H.; Dong, C.F.; Li, X.G.; Xiao, K. The electrochemical behaviour of 2205 duplex stainless steel in alkaline solutions with different pH in the presence of chloride. Electrochim. Acta 2012, 64, 211–220. [Google Scholar] [CrossRef]
- Tsuchiya, H.; Fujimoto, S.; Chihara, O.; Shibata, T. Semiconductive behavior of passive films formed on pure Cr and Fe-Cr alloys in sulfuric acid solution. Electrochim. Acta 2002, 47, 4357–4366. [Google Scholar] [CrossRef]
- Hakiki, N.E.; Montemor, M.F.; Ferreira, M.G.S.; da Cunha Belo, M. Semiconducting properties of thermally grown oxide films on AISI 304 stainless steel. Corros. Sci. 2000, 42, 687–702. [Google Scholar] [CrossRef]
- Hakiki, N.E.; Boudin, S.; Rondot, B.; Belo, M.D.C. The electronic structure of passive films formed on stainless steels. Corros. Sci. 1995, 37, 1809–1822. [Google Scholar] [CrossRef]
- Macdonald, D.D.; Sun, A. An electrochemical impedance spectroscopic study of the passive state on Alloy-22. Electrochim. Acta 2006, 51, 1767–1779. [Google Scholar] [CrossRef]
- Majidi, A.P.; Streicher, M.A. The double loop reactivation method for detecting sensitization in AISI 304 stainless steels. Corrosion 1984, 40, 584–593. [Google Scholar] [CrossRef]
- Hong, J.; Han, D.; Tan, H.; Li, J.; Jiang, Y. Evaluation of aged duplex stainless steel UNS S32750 susceptibility to intergranular corrosion by optimized double loop electrochemical potentiokinetic reactivation method. Corros. Sci. 2013, 68, 249–255. [Google Scholar] [CrossRef]
- Yamashita, T.; Hayes, P. Analysis of XPS spectra of Fe2+ and Fe3+ ions in oxide materials. Appl. Surf. Sci. 2008, 254, 2441–2449. [Google Scholar] [CrossRef]
- Salvi, A.M.; Castle, J.E.; Watts, J.F.; Desimoni, E. Peak fitting of the chromium 2p XPS spectrum. Appl. Surf. Sci. 1995, 90, 333–341. [Google Scholar] [CrossRef]
- Kennedy, J.H.; Karl, J.; Frese, W. Flatband potentials and donor densities of polycrystalline α-Fe2O3 determined from Mott-Schottky plots. J. Electrochem. Soc. 1978, 125, 723–726. [Google Scholar] [CrossRef]
- Mou, L.; Bian, T.; Zhang, S.; Liu, B.; Wu, P.; Zhang, J.; Yu, Y.; Zhang, Y.; Wang, X. New sights on intergranular corrosion resistance mechanism of type 304 austenitic stainless steel by adjusting carbon contents. J. Mater. Res. Technol. 2023, 26, 666–680. [Google Scholar] [CrossRef]
- Lloyd, A.C.; Noel, J.J.; McIntyre, S.; Shoesmith, D.W. Mo and W alloying additions in Ni and their effect on passivity. Electrochim. Acta 2004, 49, 3015–3027. [Google Scholar] [CrossRef]
- Nie, J.; Wei, L.; Jiang, Y.; Li, Q.; Luo, H. Corrosion mechanism of additively manufactured 316 L stainless steel in 3.5 wt% NaCl solution. Mater. Today Commun. 2021, 26, 101648. [Google Scholar] [CrossRef]
- Luo, H.; Su, H.; Dong, C.; Xiao, K.; Li, X. Influence of pH on the passivation behaviour of 904L stainless steel bipolar plates for proton exchange membrane fuel cells. J. Alloys Compd. 2016, 686, 216–226. [Google Scholar] [CrossRef]
- Cheng, H.; Liu, Z.; Luo, H.; Pan, Z.; Wang, X.; Zhao, Q.; Qi, X.; Li, X. Tuning the microstructure to improve corrosion resistance of additive manufacturing high-entropy alloy in proton exchange membrane fuel cells environment. Corros. Sci. 2023, 213, 110969. [Google Scholar] [CrossRef]
- Ikehata, H.; Mayweg, D.; Jägle, E. Grain refinement of Fe-Ti alloys fabricated by laser powder bed fusion. Mater. Des. 2021, 204, 109665. [Google Scholar] [CrossRef]
- Wu, S.; Zhang, Y.; Xue, M.; Cheng, F. Grain refinement of flux-cored wire arc additively manufactured duplex stainless steel through in-situ alloying of Ti. Mater. Charact. 2024, 209, 113749. [Google Scholar] [CrossRef]
- Fu, J.; Nie, Q.; Qiu, W.; Liu, J.; Wu, Y. Morphology, orientation relationships and formation mechanism of TiN in Fe-17Cr steel during solidification. Mater. Charact. 2017, 133, 176–184. [Google Scholar] [CrossRef]
- Easton, M.; StJohn, D. Grain refinement of aluminum alloys: Part I. The nucleant and solute paradigms—A review of the literature. Metall. Mater. Trans. A 1999, 30, 1613–1623. [Google Scholar] [CrossRef]
- Kobayashi, S.; Kobayashi, R.; Watanabe, T. Control of grain boundary connectivity based on fractal analysis for improvement of intergranular corrosion resistance in SUS316L austenitic stainless steel. Acta Mater. 2016, 102, 397–405. [Google Scholar] [CrossRef]
- Sautter, H.; Gleiter, H.; Baro, G. The effect of solute atoms on the energy and structure of grain boundaries. Acta Metall. 1977, 25, 467–473. [Google Scholar] [CrossRef]
- Sato, N. Toward a more fundamental understanding of corrosion processes. Corrosion 1989, 45, 354–368. [Google Scholar] [CrossRef]
- Lv, J.; Luo, H. Electrochemical investigation of passive film in pre-deformation AISI 304 stainless steels. Appl. Surf. Sci. 2012, 263, 29–37. [Google Scholar]
















| C | Si | Mn | Cr | W | B | Co | Mo | Fe | Ni |
|---|---|---|---|---|---|---|---|---|---|
| 0.056 | 0.02 | 0.02 | 21.87 | 1.05 | 0.003 | 1.23 | 9.12 | 18.20 | Bal. |
| Samples | RS (Ω cm2) | Rf (Ω cm2) | Yf (Ω−1·sn·cm2) | nf | Rct (Ω cm2) | Ydl (Ω−1·sn·cm2) | ndl | X2 | Errors |
|---|---|---|---|---|---|---|---|---|---|
| 0.0 wt.% Ti | 2.022 | 5.38 × 104 | 1.09 × 10−4 | 0.8646 | 1.641 × 10−4 | 1.81% | |||
| 0.1 wt.% Ti | 1.775 | 6.57 × 104 | 1.434 × 10−4 | 0.8341 | 1.162 × 10−4 | 2.31% | |||
| 0.2 wt.% Ti | 2.648 | 9870 | 2.318 × 10−5 | 0.647 | 9.89 × 104 | 0.679 × 10−4 | 0.9161 | 4.378 × 10−4 | 2.09% |
| 0.3 wt.% Ti | 2.168 | 10,410 | 2.329 × 10−5 | 0.5602 | 0.12 × 104 | 0.600 × 10−4 | 0.8857 | 3.571 × 10−4 | 1.89% |
| Sample | 0.0 wt.% Ti | 0.1 wt.% Ti | 0.2 wt.% Ti | 0.3 wt.% Ti |
|---|---|---|---|---|
| Initial stage | −0.61 | −0.63 | −0.79 | −0.78 |
| After 100 s | −0.37 | −0.41 | −0.60 | −0.59 |
| Orbital | Peak (0.0 wt.% Ti) | Binding Energy | Peak (0.2 wt.% Ti) | Binding Energy |
|---|---|---|---|---|
| C 1s | C-C | 1s: 284.80 | C-C | 1s: 284.80 |
| C-O | 1s: 285.68 | C-O | 1s: 286.00 | |
| C=O | 1s: 288.60 | C=O | 1s: 288.69 | |
| O 1s | O2− | 1s: 529.94 | O2− | 1s: 529.87 |
| OH− | 1s: 531.63 | OH− | 1s: 531.52 | |
| H2O | 1s: 533.37 | H2O | 1s: 532.50 | |
| Ni 2p | Ni | 2p3/2: 852.39 | Ni | 2p3/2: 852.38 |
| 2p1/2: 869.39 | 2p1/2: 869.49 | |||
| Ni(OH)2 | 2p3/2: 855.78 | Ni(OH)2 | 2p3/2: 855.77 | |
| 2p1/2: 873.98 | 2p1/2: 873.63 | |||
| Cr 2p | Cr | 2p3/2: 573.54 | Cr | 2p3/2: 573.59 |
| 2p1/2: 582.77 | 2p1/2: 582.92 | |||
| Cr2O3 | 2p3/2: 575.79 | Cr2O3 | 2p3/2: 575.82 | |
| 2p1/2: 585.29 | 2p1/2: 585.42 | |||
| Cr(OH)3 | 2p3/2: 577.10 | Cr(OH)3 | 2p3/2: 576.97 | |
| 2p1/2: 586.86 | 2p1/2: 586.75 | |||
| Fe 2p | Fe | 2p3/2: 706.56 | Fe | 2p3/2: 706.62 |
| 2p1/2: 719.51 | 2p1/2: 719.58 | |||
| FeO | 2p3/2: 709.07 | FeO | 2p3/2: 708.40 | |
| 2p1/2: 721.87 | 2p1/2: 721.22 | |||
| Fe2O3 | 2p3/2: 711.51 | Fe2O3 | 2p3/2: 711.09 | |
| 2p1/2: 725.31 | 2p1/2: 724.70 | |||
| Mo 3d | Mo | 3d5/2: 227.25 | Mo | 3d5/2: 227.34 |
| 3d3/2: 230.32 | 3d3/2: 230.30 | |||
| Mo4+ | 3d5/2: 228.60 | Mo4+ | 3d5/2: 228.48 | |
| 3d3/2: 231.95 | 3d3/2: 231.90 | |||
| Mo5+ | 3d5/2: 230.89 | Mo5+ | 3d5/2: 230.89 | |
| 3d3/2: 233.94 | 3d3/2: 233.73 | |||
| Mo6+ | 3d5/2: 232.19 | Mo6+ | 3d5/2: 232.18 | |
| 3d3/2: 235.24 | 3d3/2: 235.22 |
Disclaimer/Publisher’s Note: The statements, opinions and data contained in all publications are solely those of the individual author(s) and contributor(s) and not of MDPI and/or the editor(s). MDPI and/or the editor(s) disclaim responsibility for any injury to people or property resulting from any ideas, methods, instructions or products referred to in the content. |
© 2024 by the authors. Licensee MDPI, Basel, Switzerland. This article is an open access article distributed under the terms and conditions of the Creative Commons Attribution (CC BY) license (https://creativecommons.org/licenses/by/4.0/).
Share and Cite
Xu, B.; Li, B.; Zhang, J.; Tong, J.; Liu, Y. Unveiling the Effect of Ti Micro-Alloying on the Microstructure and Corrosion Resistance of the GH3536 Alloy Processed by Laser Metal Deposition in a Simulated Environment for PEMFCs. Materials 2024, 17, 5900. https://doi.org/10.3390/ma17235900
Xu B, Li B, Zhang J, Tong J, Liu Y. Unveiling the Effect of Ti Micro-Alloying on the Microstructure and Corrosion Resistance of the GH3536 Alloy Processed by Laser Metal Deposition in a Simulated Environment for PEMFCs. Materials. 2024; 17(23):5900. https://doi.org/10.3390/ma17235900
Chicago/Turabian StyleXu, Bing, Bo Li, Jie Zhang, Jianping Tong, and Yi Liu. 2024. "Unveiling the Effect of Ti Micro-Alloying on the Microstructure and Corrosion Resistance of the GH3536 Alloy Processed by Laser Metal Deposition in a Simulated Environment for PEMFCs" Materials 17, no. 23: 5900. https://doi.org/10.3390/ma17235900
APA StyleXu, B., Li, B., Zhang, J., Tong, J., & Liu, Y. (2024). Unveiling the Effect of Ti Micro-Alloying on the Microstructure and Corrosion Resistance of the GH3536 Alloy Processed by Laser Metal Deposition in a Simulated Environment for PEMFCs. Materials, 17(23), 5900. https://doi.org/10.3390/ma17235900

