Wear Resistance Design of Laser Cladding Ni-Based Self-Fluxing Alloy Coating Using Machine Learning
Abstract
1. Introduction
2. Materials and Methods
2.1. Dataset and Data Preprocessing
2.2. Construction of ML Framework
2.3. High-Throughput Coupled Design of Composition and Process
3. Results
3.1. Feature Analysis
3.2. Prediction of Friction Coefficient for Different ML Models
3.3. Coupled Design of Composition and Process
3.4. Validation of Newly Designed Coatings at Computational Level
4. Discussion
4.1. Comparison of Fitting Ability for Different ML Models
4.2. Sensitivity Analysis of Genetic Algorithm Parameters
4.3. Comparison Between the Newly Designed Alloy and the Original Alloy
5. Conclusions
- (1)
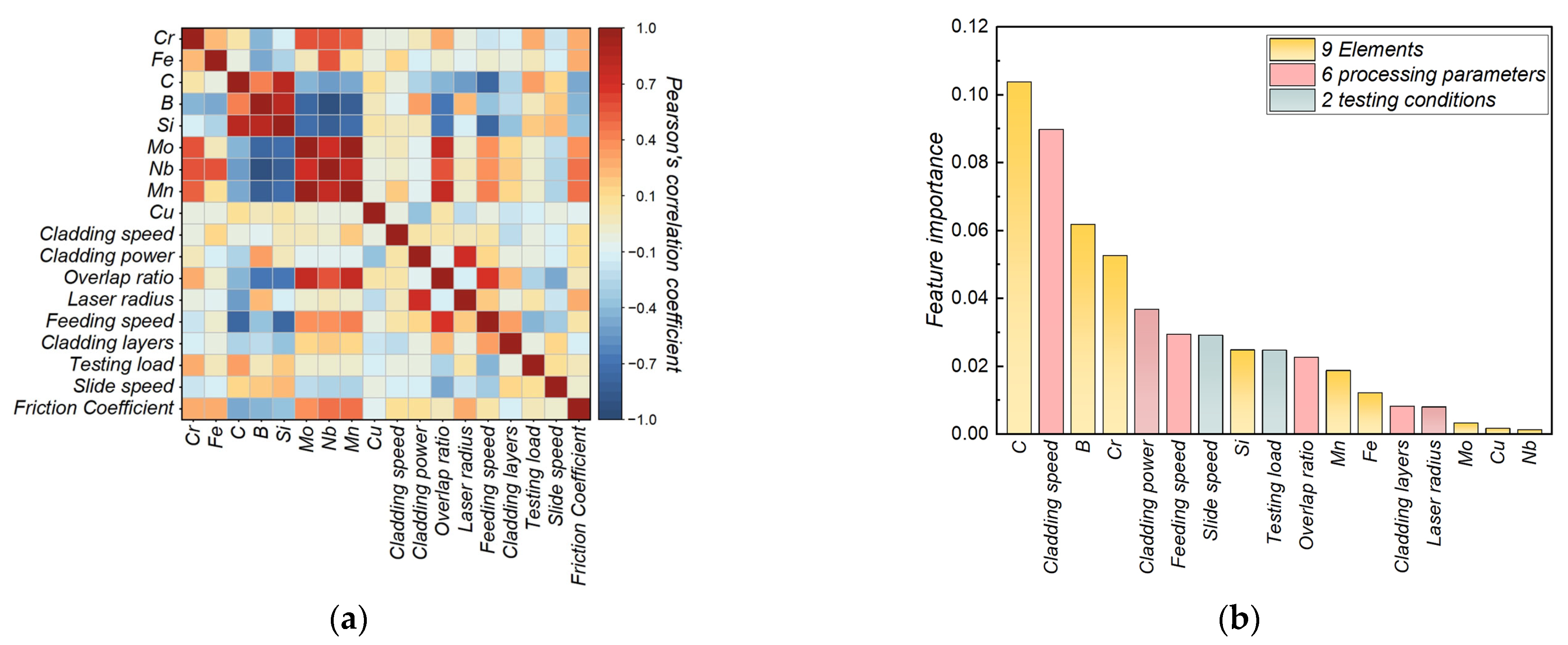
- A comprehensive database was created through literature research, encompassing alloy composition, process parameters, and wear resistance of coatings for laser cladding Ni-based self-fluxing alloys. Feature correlation analysis using PCC and feature importance assessment based on MDI from a random forest model revealed that each feature in the dataset significantly impacts the prediction of the friction coefficient, with C and B elements being particularly influential.
- (2)
- Subsequently, the prediction performance of five classic machine learning algorithms was compared based on the average R², the value of MAE, and the ability of generalization. The RF model, demonstrating the best overall performance, was selected and integrated with a genetic algorithm for the collaborative optimization of the composition and process of the Ni-based SFA coatings.
- (3)
- The combination of the RF model and genetic algorithm facilitated the development of a highly efficient optimization design system. This system successfully generated various composition and process plans for Ni-based SFA coatings. The final designed Alloy D2 demonstrates an average friction coefficient of only 0.34 under test conditions with a fixed load of 30 N and a sliding speed of 10 mm/s. Its excellent wear resistance can be attributed to a high content of strengthening phases, such as Ni₃Si, CrB, and NbC, of approximately 52%, along with a significant solid solution strengthening effect, estimated at around 110 MPa.
- (4)
- The experimental validation of the newly designed Alloy D2 is expected to be conducted in future work to verify the rationality of the composition and process, along with an in-depth analysis of its wear resistance mechanism. These findings offer valuable methodological insights and theoretical support for the preparation of laser cladding coatings, facilitating efficient process optimization in broader laser processing applications.
Author Contributions
Funding
Institutional Review Board Statement
Informed Consent Statement
Data Availability Statement
Conflicts of Interest
References
- Williams, J.A. Wear and wear particles—Some fundamentals. Tribol Int. 2005, 38, 863–870. [Google Scholar] [CrossRef]
- Ding, Y.; Bi, W.; Zhong, C.; Wu, T.; Gui, W. A comparative study on microstructure and properties of ultra-high-speed laser cladding and traditional laser cladding of Inconel625 coatings. Materials 2022, 15, 6400. [Google Scholar] [CrossRef] [PubMed]
- Tu, J.; Liu, M.; Mao, Z. Erosion resistance of Ni WC self-fluxing alloy coating at high temperature. Wear 1997, 209, 43–48. [Google Scholar] [CrossRef]
- Chen, H.; Xu, C.; Qu, J.; Hutchings, I.M.; Shipway, P.H.; Liu, J. Sliding wear behaviour of laser clad coatings based upon a nickel-based self-fluxing alloy co-deposited with conventional and nanostructured tungsten carbide–cobalt hardmetals. Wear 2005, 259, 801–806. [Google Scholar] [CrossRef]
- Herzog, D.; Seyda, V.; Wycisk, E.; Emmelmann, C. Additive manufacturing of metals. Acta Mater. 2016, 117, 371–392. [Google Scholar] [CrossRef]
- Lu, P.-Z.; Jia, L.; Zhang, C.; Heng, X.; Xi, X.-C.; Duan, M.-F.; Lu, Z.-L.; Zhou, Y.-X. Optimization on laser cladding parameters for preparing Ni60 coating along with its friction and wear properties. Mater. Today Commun. 2023, 37, 107162. [Google Scholar] [CrossRef]
- Chen, C.; Feng, A.; Wei, Y.; Wang, Y.; Pan, X.; Song, X. Effects of WC particles on microstructure and wear behavior of laser cladding Ni60 composite coatings. Opt. Laser Technol. 2023, 163, 109425. [Google Scholar] [CrossRef]
- Hu, Z.; Zhang, D.; Wu, D.; Zheng, X.; Sun, J.; Geng, P.; Ma, N. Enhanced mechanical properties of Fe-based hardfacing alloy with Al additions fabricated by laser cladding. Surf. Coatings Technol. 2024, 478, 130447. [Google Scholar] [CrossRef]
- Mukherjee, T.; Wei, H.; De, A.; DebRoy, T. Heat and fluid flow in additive manufacturing—Part I: Modeling of powder bed fusion. Comput. Mater. Sci. 2018, 150, 304–313. [Google Scholar] [CrossRef]
- Wirth, F.; Wegener, K. A physical modeling and predictive simulation of the laser cladding process. Addit. Manuf. 2018, 22, 307–319. [Google Scholar] [CrossRef]
- Li, Y.; Zhou, X.; Colnaghi, T.; Wei, Y.; Marek, A.; Li, H.; Bauer, S.; Rampp, M.; Stephenson, L.T. Convolutional neural network-assisted recognition of nanoscale L12 ordered structures in face-centred cubic alloys. Npj Comput. Mater. 2021, 7, 8. [Google Scholar] [CrossRef]
- Liu, Y.; Niu, C.; Wang, Z.; Gan, Y.; Zhu, Y.; Sun, S.; Shen, T. Machine learning in materials genome initiative: A review. J. Mater. Sci. Technol. 2020, 57, 113–122. [Google Scholar] [CrossRef]
- Dimiduk, D.M.; Holm, E.A.; Niezgoda, S.R. Perspectives on the impact of machine learning, deep learning, and artificial intelligence on materials, processes, and structures engineering. Integr. Mater. Manuf. Innov. 2018, 7, 157–172. [Google Scholar] [CrossRef]
- Ng, W.L.; Goh, G.L.; Ten, J.S.J.; Yeong, W.Y. Progress and opportunities for machine learning in materials and processes of additive manufacturing. Adv. Mater. 2024, 36, e2310006. [Google Scholar] [CrossRef]
- Liu, Y.; Wu, J.; Wang, Z.; Lu, X.-G.; Avdeev, M.; Shi, S.; Wang, C.; Yu, T. Predicting creep rupture life of Ni-based single crystal superalloys using divide-and-conquer approach based machine learning. Acta Mater. 2020, 195, 454–467. [Google Scholar] [CrossRef]
- Conduit, B.; Jones, N.; Stone, H.; Conduit, G. Design of a nickel-base superalloy using a neural network. Mater. Des. 2017, 131, 358–365. [Google Scholar] [CrossRef]
- Suzuki, A.; Shen, C.; Kumar, N.C. Application of computational tools in alloy design. MRS Bull. 2019, 44, 247–251. [Google Scholar] [CrossRef]
- Venkatesh, V.; Rack, H.J. A neural network approach to elevated temperature creep–fatigue life prediction. Int. J. Fatigue 1999, 21, 225–234. [Google Scholar] [CrossRef]
- Yoo, Y.; Jo, C.; Jones, C. Compositional prediction of creep rupture life of single crystal Ni base superalloy by Bayesian neural network. Mater. Sci. Eng. A 2002, 336, 22–29. [Google Scholar] [CrossRef]
- Barrionuevo, G.O.; Walczak, M.; Ramos-Grez, J.; Sánchez-Sánchez, X. Microhardness and wear resistance in materials manufactured by laser powder bed fusion: Machine learning approach for property prediction. CIRP J. Manuf. Sci. Technol. 2023, 43, 106–114. [Google Scholar] [CrossRef]
- Zhang, Z.; Liu, S.; Zhang, Y.; Wang, C.; Zhang, S.; Yang, Z.; Xu, W. Optimization of low-power femtosecond laser trepan drilling by machine learning and a high-throughput multi-objective genetic algorithm. Opt. Laser Technol. 2021, 148, 107688. [Google Scholar] [CrossRef]
- Fernández, E.; Cadenas, M.; González, R.; Navas, C.; Fernández, R.; de Damborenea, J. Wear behaviour of laser clad NiCrBSi coating. Wear 2005, 259, 870–875. [Google Scholar] [CrossRef]
- Lu, S.; Wei, X.; Zhao, J.; Ling, X. Wear resistance of nickel-based alloy coating formed by multilayer laser cladding. Mater. Res. Express 2018, 5, 126508. [Google Scholar] [CrossRef]
- Qian, S.; Dai, Y.; Guo, Y.; Zhang, Y. Microstructure and wear resistance of multi-layer Ni-based alloy cladding coating on 316L SS under different laser power. Materials 2021, 14, 781. [Google Scholar] [CrossRef] [PubMed]
- de Sousa, J.M.S.; de Souza Pinto Pereira, A.; Silva, R.G.N.; Pereira, M.; de Medeiros Castro, R.; Curi, E.I.M.; Machado, P.C. Tribological performance of Ni-Cr-B-Si coatings deposited via laser cladding process. Surf. Topogr. Metrol. Prop. 2022, 10, 034008. [Google Scholar] [CrossRef]
- Yuan, W.; Li, R.; Chen, Z.; Gu, J.; Tian, Y. A comparative study on microstructure and properties of traditional laser cladding and high-speed laser cladding of Ni45 alloy coatings. Surf. Coat. Technol. 2020, 405, 126582. [Google Scholar] [CrossRef]
- Yan, S.; Jie, G.; Kangning, W.; Qiang, S.; Hongzhi, C.; Wensheng, L.; Canming, W. The effect of multi-element alloying on the structure and properties of laser cladding nickel-based coatings. Surf. Coat. Technol. 2022, 454, 129174. [Google Scholar] [CrossRef]
- Chen, J.L.; Li, J.; Song, R.; Bai, L.L.; Shao, J.Z.; Qu, C.C. Effect of the scanning speed on microstructural evolution and wear behaviors of laser cladding NiCrBSi composite coatings. Opt. Laser Technol. 2015, 72, 86–99. [Google Scholar] [CrossRef]
- Long, H.; Li, T.; Shi, H.; Gui, Y.; Qiu, C. Experimental study of laser cladding Ni-based coating based on response surface method. Coatings 2023, 13, 1216. [Google Scholar] [CrossRef]
- Feng, K.; Chen, Y.; Deng, P.; Li, Y.; Zhao, H.; Lu, F.; Li, R.; Huang, J.; Li, Z. Improved high-temperature hardness and wear resistance of Inconel 625 coatings fabricated by laser cladding. J. Mech. Work. Technol. 2017, 243, 82–91. [Google Scholar] [CrossRef]
- Zhang, C.; Shu, L.; Li, P.; Gong, J.; He, W.; Yu, H. Influence of powder mass flow rates on wear resistance and impact toughness of inconel 718 surface coatings. Coatings 2023, 13, 1877. [Google Scholar] [CrossRef]
- Shi, X.; Wen, D.; Wang, S.; Wang, G.; Zhang, M.; Li, J.; Xue, C. Investigation on friction and wear performance of laser cladding Ni-based alloy coating on brake disc. Optik 2021, 242, 167227. [Google Scholar] [CrossRef]
- Gui, W.; Zhong, C.; Gu, J.; Ding, Y.; Wang, X.; Wu, T.; Liang, Y.; Qin, J.; Qu, Y.; Lin, J. Laser-clad Inconel 625 coatings on Q245R structure steel: Microstructure, wear and corrosion resistance. Npj Mater. Degrad. 2022, 6, 1–11. [Google Scholar] [CrossRef]
- Qian, S.; Zhang, Y.; Dai, Y.; Guo, Y. Microstructure and mechanical properties of nickel-based coatings fabricated through laser additive manufacturing. Metals 2020, 11, 53. [Google Scholar] [CrossRef]
- Miguel, J.M.; Guilemany, J.M.; Vizcaino, S. Tribological study of NiCrBSi coating obtained by different processes. Tribol. Int. 2003, 36, 181–187. [Google Scholar] [CrossRef]
- de Sousa, J.M.S.; Ratusznei, F.; Pereira, M.; de Medeiros Castro, R.; Curi, E.I.M. Abrasion resistance of Ni-Cr-B-Si coating deposited by laser cladding process. Tribol. Int. 2019, 143, 106002. [Google Scholar] [CrossRef]
- Mondal, B.; Mukherjee, T.; DebRoy, T. Crack free metal printing using physics informed machine learning. Acta Mater. 2022, 226, 117612. [Google Scholar] [CrossRef]
- Ghosh, S.; Zollinger, J.; Zaloznik, M.; Banerjee, D.; Newman, C.K.; Arroyave, R. Modeling of hierarchical solidification microstructures in metal additive manufacturing: Challenges and opportunities. Addit. Manuf. 2023, 78, 103845. [Google Scholar] [CrossRef]
- Liu, Q.-S.; Liu, X.-B.; Wang, G.; Liu, Y.-F.; Meng, Y.; Zhang, S.-H. Effect of Cu content on microstructure evolution and tribological behaviors of Ni60 composite coatings on 45# steel by laser cladding. Opt. Laser Technol. 2022, 156, 108549. [Google Scholar] [CrossRef]
- Song, W.; Yang, J.; Liang, J.; Lu, N.; Zhou, Y.; Sun, X.; Li, J. A new approach to design advanced superalloys for additive manufacturing. Addit. Manuf. 2024, 84, 104098. [Google Scholar] [CrossRef]
- Kim, Y.-K.; Kim, D.; Kim, H.-K.; Yoon, E.-Y.; Lee, Y.; Oh, C.-S.; Lee, B.-J. A numerical model to predict mechanical properties of Ni-base disk superalloys. Int. J. Plast. 2018, 110, 123–144. [Google Scholar] [CrossRef]
- Shen, C.; Wang, C.; Wei, X.; Li, Y.; van der Zwaag, S.; Xu, W. Physical metallurgy-guided machine learning and artificial intelligent design of ultrahigh-strength stainless steel. Acta Mater. 2019, 179, 201–214. [Google Scholar] [CrossRef]











| Features | Maximum | Minimum | Mean | Standard Deviation | |
|---|---|---|---|---|---|
| Inputs | Cr (wt.%) | 21.87 | 6 | 15.00 | 4.29 |
| Fe (wt.%) | 20.596 | 0 | 5.06 | 5.58 | |
| C (wt.%) | 1.21 | 0 | 0.44 | 0.36 | |
| B (wt.%) | 4 | 0 | 2.42 | 1.25 | |
| Si (wt.%) | 5.83 | 0 | 3.18 | 1.77 | |
| Mo (wt.%) | 9.5 | 0 | 1.27 | 2.81 | |
| Nb (wt.%) | 5 | 0 | 0.82 | 1.72 | |
| Mn (wt.%) | 0.39 | 0 | 0.06 | 0.12 | |
| Cu (wt.%) | 15 | 0 | 0.53 | 2.16 | |
| Scanning speed (mm/min) | 76860 | 150 | 4301 | 14,167.01 | |
| Laser power (W) | 3000 | 800 | 1912 | 464.79 | |
| Overlap ratio (%) | 85 | 28 | 43.89 | 15.42 | |
| Laser radius (mm) | 6 | 0.85 | 2.82 | 1.22 | |
| Powder feeding speed (g/min) | 32.3 | 0.96 | 15.14 | 7.88 | |
| Cladding layers | 3 | 1 | 1.74 | 0.80 | |
| Testing load (N) | 100 | 5 | 29.72 | 25.26 | |
| Sliding speed (mm/s) | 2620 | 5 | 400.11 | 628.47 | |
| Output | Friction coefficient | 0.772 | 0.2782 | 0.51 | 0.13 |
| Features | Alloy D2 | Optimal 1 in Dataset |
|---|---|---|
| Ni | 62.1 | 89.09 |
| Cr | 15.47 | 6 |
| Fe | 3.26 | 0.38 |
| C | 0.71 | 0.03 |
| B | 3.07 | 3 |
| Si | 4.21 | 1.5 |
| Mo | 7.44 | 0 |
| Nb | 3.4 | 0 |
| Mn | 0.03 | 0 |
| Cu | 0.3 | 0 |
| Scanning speed (mm/min) | 250 | 300 |
| Laser power (W) | 2206 | 2000 |
| Overlap ratio (%) | 50 | 50 |
| Laser radius (mm) | 2.3 | 4 |
| Powder feeding speed (g/min) | 19.4 | 30 |
| Cladding layers | 2 | 3 |
| Friction coefficient | 0.34 | 0.35 |
| Initial Population Size | 20 | 40 | 60 | 80 | 100 |
|---|---|---|---|---|---|
| EGN | 304 | 284.33 | 316 | 344.33 | 349.33 |
| TS | 3.28 | 3.67 | 3.80 | 4.20 | 4.54 |
| GSC | 59.33 | 62.33 | 54.33 | 59.33 | 52.67 |
Disclaimer/Publisher’s Note: The statements, opinions and data contained in all publications are solely those of the individual author(s) and contributor(s) and not of MDPI and/or the editor(s). MDPI and/or the editor(s) disclaim responsibility for any injury to people or property resulting from any ideas, methods, instructions or products referred to in the content. |
© 2024 by the authors. Licensee MDPI, Basel, Switzerland. This article is an open access article distributed under the terms and conditions of the Creative Commons Attribution (CC BY) license (https://creativecommons.org/licenses/by/4.0/).
Share and Cite
Fu, J.; Yang, Q.; Devojno, O.; Kardapolava, M.; Kasiakova, I.; Wang, C. Wear Resistance Design of Laser Cladding Ni-Based Self-Fluxing Alloy Coating Using Machine Learning. Materials 2024, 17, 5651. https://doi.org/10.3390/ma17225651
Fu J, Yang Q, Devojno O, Kardapolava M, Kasiakova I, Wang C. Wear Resistance Design of Laser Cladding Ni-Based Self-Fluxing Alloy Coating Using Machine Learning. Materials. 2024; 17(22):5651. https://doi.org/10.3390/ma17225651
Chicago/Turabian StyleFu, Jiabo, Quanling Yang, Oleg Devojno, Marharyta Kardapolava, Iryna Kasiakova, and Chenchong Wang. 2024. "Wear Resistance Design of Laser Cladding Ni-Based Self-Fluxing Alloy Coating Using Machine Learning" Materials 17, no. 22: 5651. https://doi.org/10.3390/ma17225651
APA StyleFu, J., Yang, Q., Devojno, O., Kardapolava, M., Kasiakova, I., & Wang, C. (2024). Wear Resistance Design of Laser Cladding Ni-Based Self-Fluxing Alloy Coating Using Machine Learning. Materials, 17(22), 5651. https://doi.org/10.3390/ma17225651

