4.1.1. Damage Pattern Analysis
Figure 10,
Figure 11 and
Figure 12 illustrate the damage to the concrete target. The erosion algorithm eliminates severely distorted elements near the concrete perforation, and other failure patterns are characterized by the damage value.
Figure 10a shows that the damage of the HJC model is confined to the compressive-shear failure area near the perforation, with minimal tensile damage. This can be attributed to the mechanical properties discussed in
Section 2.2.1. The tensile strength model of the HJC model assumes elastic–perfectly plastic behavior without considering softening caused by damage. Additionally, the strength surface does not account for the tension–compression ratio, leading to an overestimation of tensile strength and, consequently, slow accumulation of tensile plastic strain with almost no detection of tensile damage.
The simulation results of the RHT model, considering the influence of
J3, effectively illustrate the compressive-shear damage and radial tensile damage near the perforation. For instance, the results show evidence of crushing near the perforation tunnel due to high pressure, radial cracks caused by the radial stress wave depicted in
Figure 10b and
Figure 11b, lamination cracks, breaks between concrete and the reinforcing steel bar, and the convergence of cracks within concrete in the symmetric plane, as illustrated in
Figure 12b. However, the circumferential cracks representing cratering and scrabbing in the front and back faces cannot be observed. Because the softening curve of the tensile test is exponential decay, while the RHT model uses linear softening with slow decay at relatively low strain rates, the RHT model may overestimate the tensile fracture energy. The accumulation of damage near the concrete surface is slow, resulting in the absence of circular cracks on the surface when tensile damage extends to it.
The KCC model effectively captures cratering and scratching damage but does not clearly show surface cracks on the target. It separately calculates compressive and tensile damage but ultimately combines them into one value, making it difficult to directly assess the damage. Instead, the damage can only be indirectly expressed through the effective plastic strain. As a result, while the damage cloud map reflects the damage, it does not clearly indicate the extent of the damage, and it is ineffective in characterizing tensile failure.
The TCK model clearly reflects cratering, scrabbing, radial cracks, circular cracks, lamination cracks, and other types of damage to the concrete. However, the TCK model does not count the compression damage, so it cannot represent the compressive damage near the perforation through the damage value. The damage near the tunnel in
Figure 12d is caused by the tensile wave generated by unloading after perforation rather than compression in penetration progress.
4.1.2. Failure Pattern Analysis
In this section, the erosion algorithm is used to simulate all macroscopic failures of concrete. The experimental results of the front face are depicted in
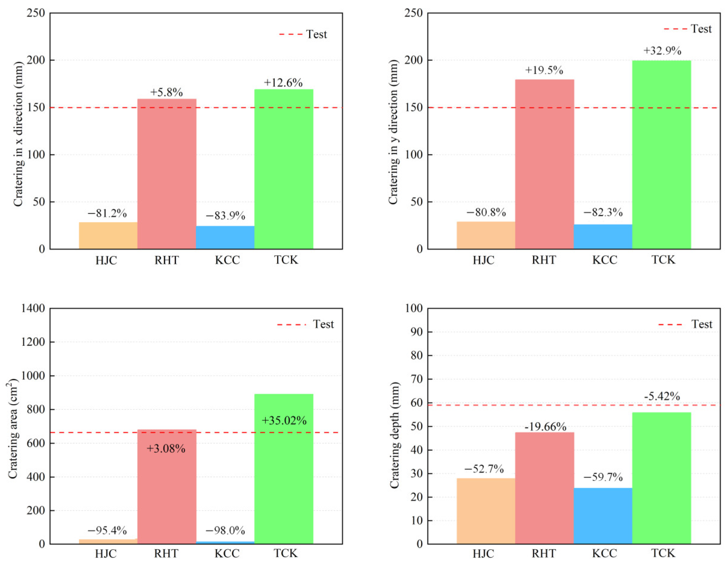
Figure 13, showing an almost square cratering area. Numerous radial cracks extend from the cratering area to the edge of the target plate, some of which are bifurcated. Apart from oblique cracks at a 45° angle, the remaining cracks are located near the reinforcing steel bar. The depth of the cratering area is approximately one-third of the target thickness.
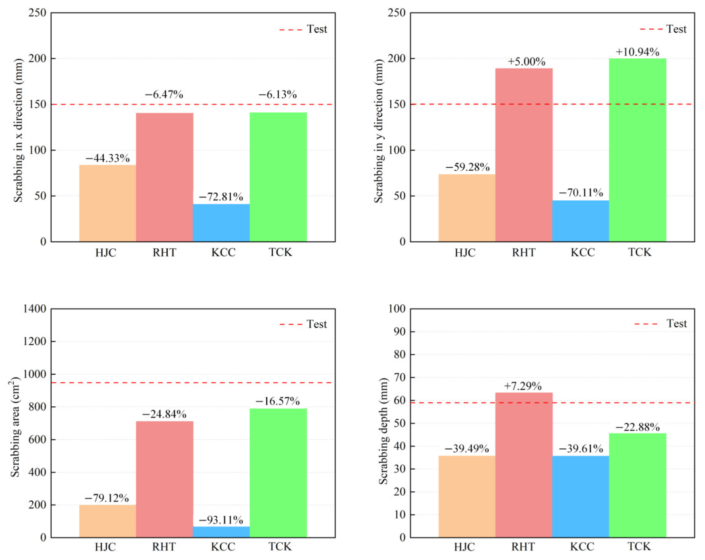
Figure 14 shows the damage patterns on the front face. The solid red line represents the cratering profile in the test, while the dashed yellow line depicts the cratering area in the simulation.
Figure 15 illustrates the comparison between the simulation and test values for the cratering range in the x direction, y direction, cratering area, and cratering depth. Among these, the HJC and KCC models do not exhibit any cracks, and the cratering area is confined to the vicinity of the perforation tunnel. The RHT model accurately portrays the cratering range, radial cracks, and spalling failure near the reinforcing steel bar, with an error in the estimation of the cratering area of just 3.08%. The TCK model reflects the cratering area and radial cracks, with noticeable crack bifurcation and an overestimation of the cratering range. Consequently, the RHT model yields the most accurate simulation result for frontal damage, followed by the TCK model. The simulation error of the KCC model and HJC model is too large for practical use.
The scrabbing area, shown in
Figure 16, features an irregular shape with a small number of cracks along the central reinforcing steel bar. The depth of the scrabbing area is about one-third of the target thickness.
Figure 17 and
Figure 18 display the simulation results and a comparison with test values.
The HJC model shows an approximately circular scrabbing area, with radial cracks extending to the edge of the target. The RHT model’s scrabbing range is slightly smaller than the test value, with radial and oblique cracks near the reinforcing steel bar. The KCC model has a very small back scrabbing area without cracks. The TCK model accurately simulates the scrabbing area shape and all types of cracks. In comparing the models, the RHT model has the smallest error, followed by the TCK model, while the estimations of the HJC and KCC models are inaccurate.
The overall failure pattern of the concrete target is shown in
Figure 19. The failure area of the HJC and KCC models is concentrated near the perforation, and the scrabbing area is slightly larger than the cratering area. The RHT model and TCK model can not only clearly reflect the cratering and scrabbing but also reflect the internal lamination crack.
The macroscopic phenomena observed in the simulation can be explained through the analysis presented in
Section 3. The tensile strength model of the HJC is elastic–perfectly plastic, which disregards the softening stage. The tensile strain is underestimated, which limits the expansion of tensile cracks. Consequently, the range of cratering and scrabbing and the growth of radial cracks are almost invisible.
On the other hand, the RHT and KCC models consider the tensile softening of the material, with the softening function being approximately linear. The maximum tensile strain failure criterion, in combination with this softening, should be able to clearly reflect all kinds of tensile failure of concrete. However, the KCC model’s strengthening factor of tensile stress at a high strain rate is much higher than that of the RHT model, potentially leading to an overestimation of the absorption of fracture energy. Therefore, the element deformation is small, which makes it difficult for the KCC model to simulate crack propagation with the erosion algorithm.
Furthermore, the TCK model uses the density of cracks per unit volume to reflect the tensile damage of the material. The development of element failure follows the nucleation–convergence–propagation of microcracks, with the initial density of cracks within the element following a Weibull random distribution. This approach leads to a failure pattern that is more consistent with the real situation.
In summary, when using the erosion algorithm to describe concrete cracks being penetrated, the RHT and TCK models provide better simulation results. Regarding penetration, the KCC model may require the selection of an appropriate strain rate enhancement factor, while the HJC model is unsuitable for describing concrete failure induced by perforation.
4.1.3. Residual Velocity Analysis
The prediction of the residual velocity of projectiles in different conditions is shown in
Figure 20, and the estimation of four concrete constitutive models is compared with the test result.
In the velocity range of 300 m/s to 1100 m/s, the prediction results of the four models closely align with the test results. Particularly, the HJC and KCC models accurately depict the residual velocities of projectiles penetrating reinforced concrete targets at various initial velocities. However, when using the RHT model to simulate low-velocity penetration, the simulated residual velocity tends to be higher than the actual test values. As the velocity increases, the simulated values gradually converge toward the test results. Notably, all prediction results from the TCK model consistently exceed the test values.
The discrepancy in the RHT model can be attributed to the compression erosion parameters calibrated for high-velocity penetration, which may not be suitable for low-velocity penetration. This leads to reduced target resistance and the rapid deletion of elements with large residual stress. On the other hand, the TCK model’s error stems from the neglect of strain strengthening and the material’s compressive strain rate effect. As a projectile penetrates the concrete, the stress calculated by the ideal elastic–plastic model is lower, thereby reducing resistance to the projectile. Furthermore, as the projectile approaches the rear side of the concrete target, failure caused by tensile damage results in the premature failure and deletion of elements before the projectile even reaches them, further diminishing the concrete’s resistance force.