Early-Age Behaviour of Portland Cement Incorporating Ultrafine Recycled Powder: Insights into Hydration, Setting, and Chemical Shrinkage
Abstract
1. Introduction
2. Experiment Details
2.1. Materials
2.2. Preparation Method of Samples
2.3. Testing Methods
2.3.1. Chemical Shrinkage
2.3.2. Setting Time and Compressive Strength
2.3.3. Hydration Heat Test
2.3.4. Hydration Kinetics
2.3.5. X-Ray Diffraction Analysis
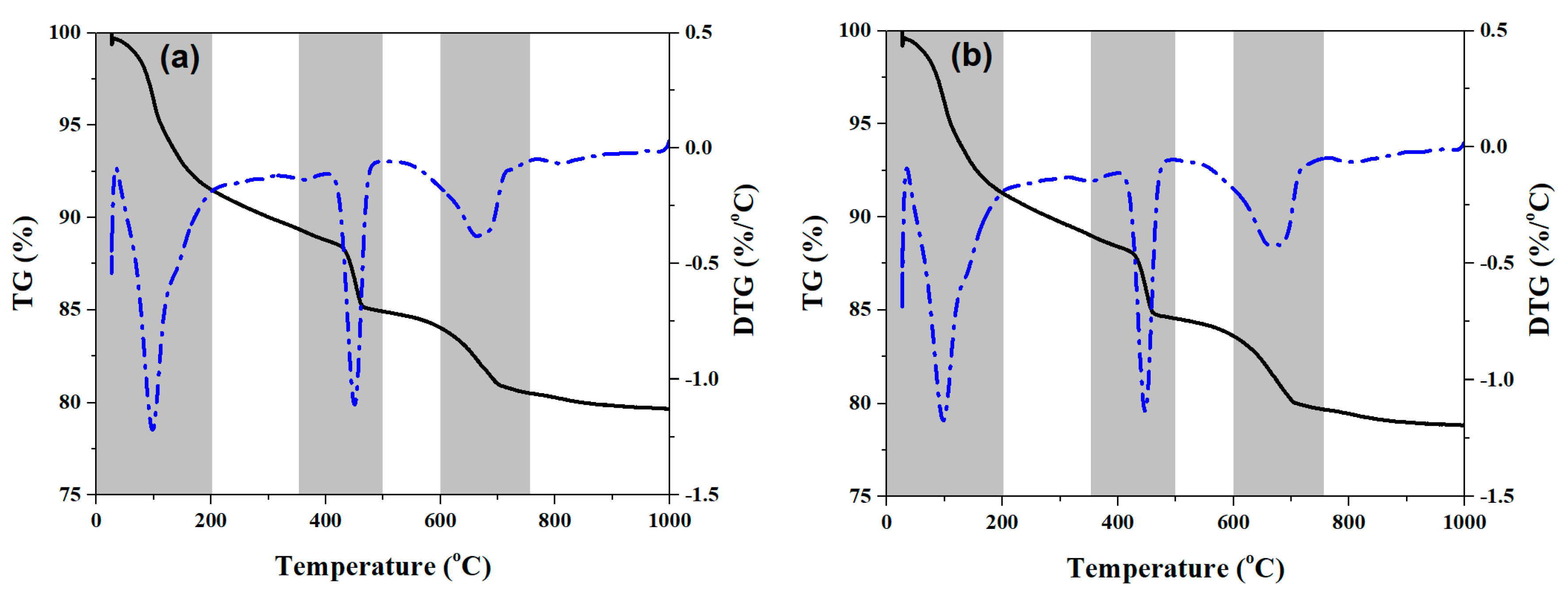
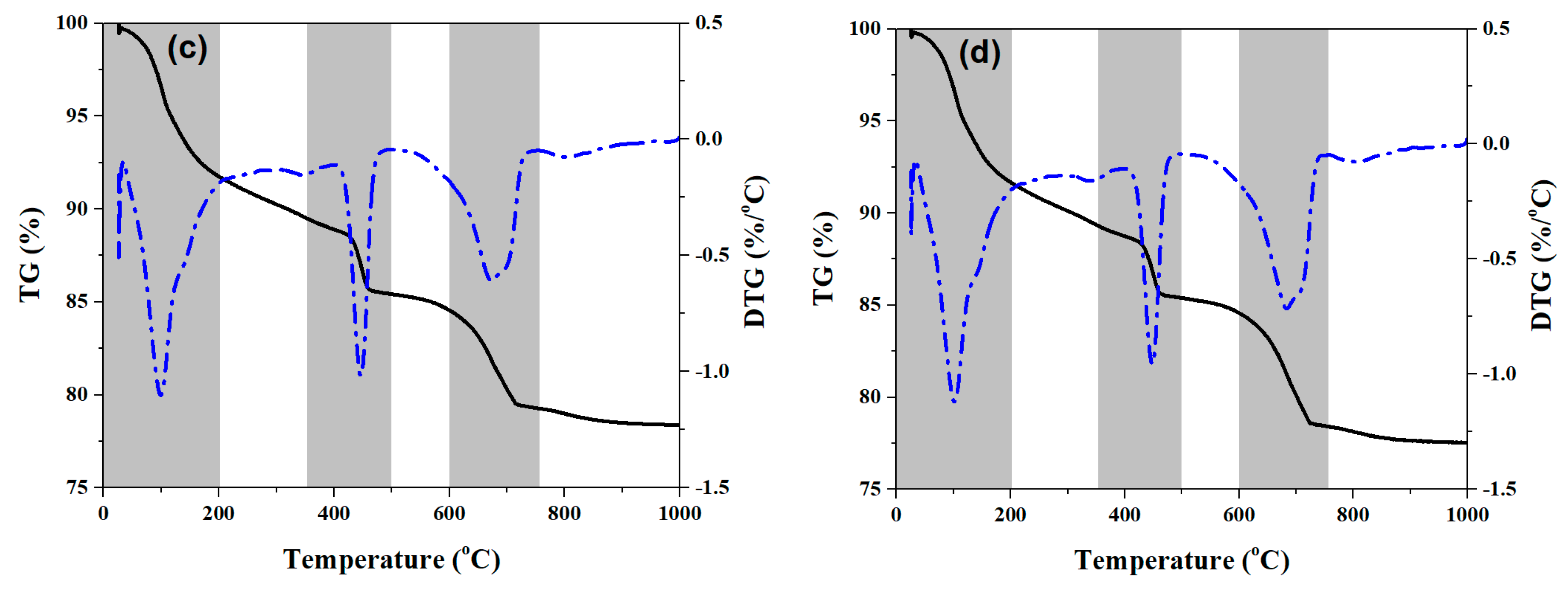
2.3.6. Thermogravimetric Analysis
3. Results and Discussion
3.1. Heat Evolution
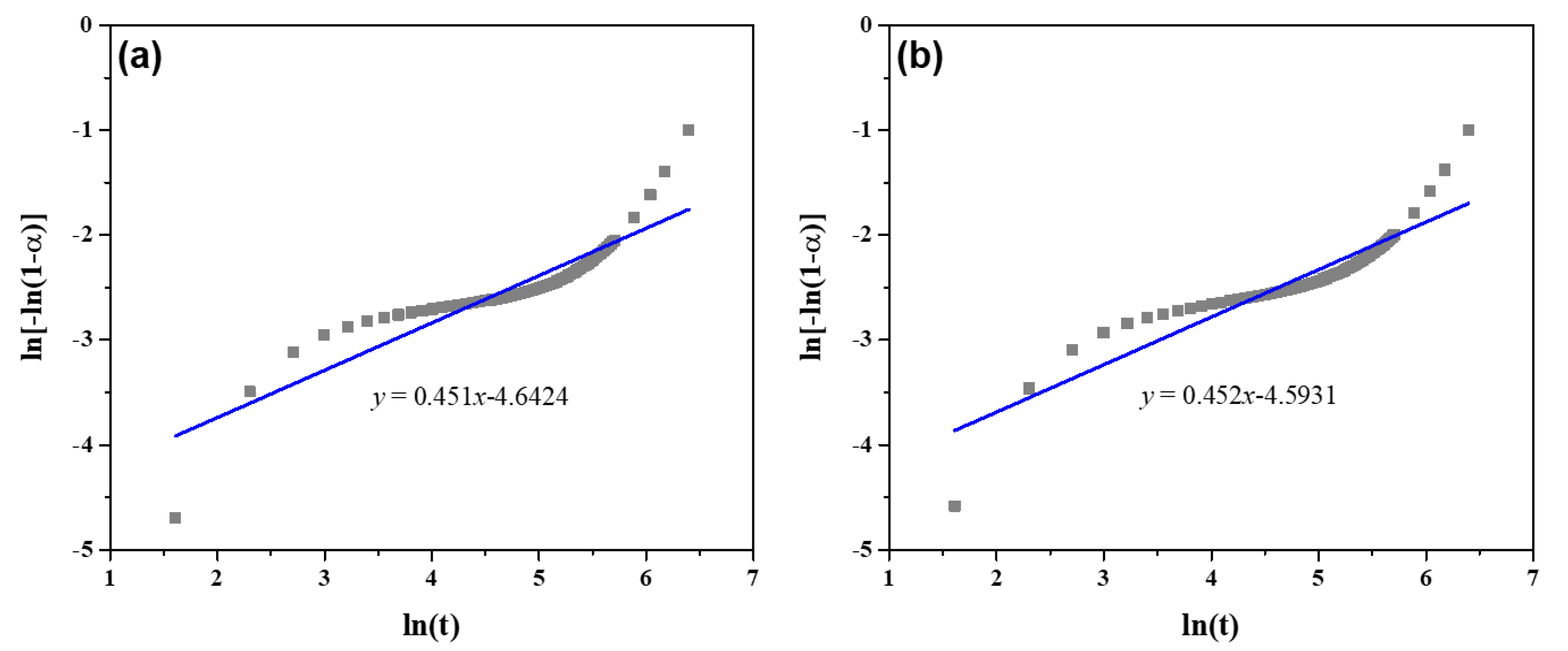
3.2. Hydration Kinetics
3.3. Chemical Shrinkage
3.4. Setting Time
3.5. Compressive and Flexural Strengths
3.6. Hydrate Composition Analysis
4. Conclusions
- (1)
- The incorporation of URP promoted the hydration of cement paste, resulting in an earlier acceleration period. It was believed from the hydration kinetics model that the addition of URP did not change the reaction type of the cement paste, but it provided more nucleation sites, contributing to the acceleration of nucleation rate.
- (2)
- Due to the promotion of URP to the hydration process of cement paste, the setting time of fresh cement paste was shortened and the early-age chemical shrinkage was increased. At the same time, the early-age mechanical properties first increased and then slightly decreased with the content of URP. The optimum usage of URP was 7.5%, the 3-day compressive and flexural strengths were 23.0 MPa and 3.7 MPa at this level.
- (3)
- Combined with the results of mineral and chemical compositions, secondary hydration occurred between the hydration product (calcium hydroxide) and the reactive silica from URP. This is beneficial for the formation of gel and the development of mechanical properties. In total, the URP can be used for the controlling in the hydration process of cement. Integrating URP into cement paste facilitated hydration product formation, consequently influencing macroscopic property development.
Author Contributions
Funding
Institutional Review Board Statement
Informed Consent Statement
Data Availability Statement
Conflicts of Interest
References
- Aїtcin, P.-C. Cements of yesterday and today: Concrete of tomorrow. Cem. Concr. Res. 2000, 30, 1349–1359. [Google Scholar] [CrossRef]
- Liang, G.; Yao, W.; She, A. New insights into the early-age reaction kinetics of metakaolin geopolymer by 1H low-field NMR and isothermal calorimetry. Cem. Concr. Compos. 2023, 137, 104932. [Google Scholar] [CrossRef]
- Ashraf, W. Carbonation of cement-based materials: Challenges and opportunities. Constr. Build. Mater. 2016, 120, 558–570. [Google Scholar] [CrossRef]
- Aragoncillo, M.A.; Cleary, D.; Thayasivam, U.; Lomboy, G. Water sorptivity prediction model for concrete with all coarse recycled concrete aggregates. Constr. Build. Mater. 2023, 394, 132128. [Google Scholar] [CrossRef]
- Shahjalal, M.; Islam, K.; Batool, F.; Tiznobaik, M.; Hossain, F.Z.; Ahmed, K.S.; Alam, M.S.; Ahsan, A. Fiber-reinforced recycled aggregate concrete with crumb rubber: A state-of-the-art review. Constr. Build. Mater. 2023, 404, 133233. [Google Scholar] [CrossRef]
- Tang, Y.; Xiao, J.; Wang, D.; Zhang, M. Effect of carbonation treatment on fracture behavior of low-carbon mortar with recycled sand and recycled powder. Cem. Concr. Compos. 2023, 142, 105178. [Google Scholar] [CrossRef]
- Al-Taie, A.; Yaghoubi, E.; Gmehling, E.; Fragomeni, S.; Disfani, M.; Guerrieri, M. Recycled aggregate blends for backfilling deep trenches in trafficable areas. Constr. Build. Mater. 2023, 401, 132942. [Google Scholar] [CrossRef]
- Adessina, A.; Fraj, A.B.; Barthélémy, J.-F. Improvement of the compressive strength of recycled aggregate concretes and relative effects on durability properties. Constr. Build. Mater. 2023, 384, 131447. [Google Scholar] [CrossRef]
- Zhang, M.; Zhu, L.; Gao, S.; Dong, Y.; Yuan, H. Mechanical properties of recycled aggregate concrete prepared from waste concrete treated at high temperature. J. Build. Eng. 2023, 76, 107045. [Google Scholar] [CrossRef]
- Xu, J.; Kang, A.; Wu, Z.; Xiao, P.; Gong, Y. Evaluation of workability, microstructure and mechanical properties of recycled powder geopolymer reinforced by waste hydrophilic basalt fiber. J. Clean. Prod. 2023, 396, 136514. [Google Scholar] [CrossRef]
- Leng, Y.; Rui, Y.; Shui, Z.; Fan, D.; Wang, J.; Yu, Y.; Luo, Q.; Hong, X. Development of an environmental Ultra-High Performance Concrete (UHPC) incorporating carbonated recycled coarse aggregate. Constr. Build. Mater. 2023, 362, 129657. [Google Scholar] [CrossRef]
- Kaladharan, G.; Ghantous, R.M.; Rajabipour, F. Early age hydration behavior of portland cement-based binders incorporating fly ash contaminated with flue gas desulfurization products. Cem. Concr. Compos. 2023, 139, 105062. [Google Scholar] [CrossRef]
- Bai, S.; Guan, X.; Li, G. Early-age hydration heat evolution and kinetics of Portland cement containing nano-silica at different temperatures. Constr. Build. Mater. 2022, 334, 127363. [Google Scholar] [CrossRef]
- Liang, G.; Yao, W. Effect of diatomite on the reaction kinetics, early-age chemical shrinkage and microstructure of alkali-activated slag cements. Constr. Build. Mater. 2023, 376, 131026. [Google Scholar] [CrossRef]
- Júnior, L.U.; Matos, P.R.; Lima, G.S.; Silvestro, L.; Rocha, J.C.; Campos, C.E.; Gleize, P.J. Effect of the nanosilica source on the rheology and early-age hydration of calcium sulfoaluminate cement pastes. Constr. Build. Mater. 2022, 327, 126942. [Google Scholar] [CrossRef]
- Cheung, J.; Jeknavorian, A.; Roberts, L.; Silva, D. Impact of admixtures on the hydration kinetics of Portland cement. Cem. Concr. Res. 2011, 41, 1289–1309. [Google Scholar] [CrossRef]
- Sun, J.; Shi, Z.; Dai, J.; Song, X.; Hou, G. Early hydration properties of Portland cement with lab-synthetic calcined stöber nano-SiO2 particles as modifier. Cem. Concr. Compos. 2022, 132, 104622. [Google Scholar] [CrossRef]
- Chen, J.; Cou, S.-C.; Poon, C.-S. Hydration and properties of nano-TiO2 blended cement composites. Cem. Concr. Compos. 2012, 34, 642–649. [Google Scholar] [CrossRef]
- Chen, P.; Wang, X.; Zhang, T.; Guo, Y.; Li, K.; Chen, C.; Wu, Z.; Wei, J.; Yu, Q. Effect of ultrafine recycled brick powder on the properties of blended cement: Hydration kinetics, microstructure evolution and properties development. Constr. Build. Mater. 2023, 394, 132239. [Google Scholar] [CrossRef]
- Zhou, Y.; Pu, S.; Han, F.; Zhang, H.; Zhang, Z. Effect of ultrafine slag on hydration heat and rheology properties of Portland cement paste. Powder. Technol. 2022, 405, 117549. [Google Scholar] [CrossRef]
- He, S.; Li, Y.; Yu, P.; Zhou, Y. Effect of lime mud under wet grinding on the compressive strength and hydration of cement mortar. Cem. Concr. Compos. 2023, 140, 105067. [Google Scholar] [CrossRef]
- Wang, Z.; Shui, Z.; Sun, T.; Hu, T.; Xiao, X.; Fan, J. Reutilization of gangue wastes in phosphogypsum-based excess-sulphate cementitious materials: Effects of wet co-milling on the rheology, hydration and strength development. Constr. Build. Mater. 2023, 363, 129778. [Google Scholar] [CrossRef]
- Tanash, A.O.; Muthusamy, K.; Yahaya, F.M.; Ismail, M.A. Potential of recycled powder from clay Brick, sanitary Ware, and concrete waste as a cement substitute for Concrete: An overview. Constr. Build. Mater. 2023, 401, 132760. [Google Scholar] [CrossRef]
- Martin, C.; Manu, E.; Hou, P.; Samuel, A.-A. Circular economy, data analytics, and low carbon concreting: A case for managing recycled powder from end-of-life concrete. Resour. Conserv. Recy. 2023, 198, 107197. [Google Scholar] [CrossRef]
- Li, M.; Tan, H.; He, X.; Jian, S.; Li, G.; Zhang, J.; Deng, X.; Lin, X. Enhancement in compressive strength of foamed concrete by ultra-fine slag. Cem. Concr. Compos. 2023, 138, 104954. [Google Scholar] [CrossRef]
- Ehsani, A.; Ganjian, E.; Haas, O.; Tyrer, M.; Mason, T.J. The positive effects of power ultrasound on Portland cement pastes and mortars; a study of chemical shrinkage and mechanical performance. Cem. Concr. Compos. 2023, 137, 104935. [Google Scholar] [CrossRef]
- Zhang, Z.; Scherer, G.W. Measuring chemical shrinkage of ordinary Portland cement pastes with high water-to-cement ratios by adding cellulose nanofibrils. Cem. Concr. Compos. 2020, 111, 103625. [Google Scholar] [CrossRef]
- Krstulović, P.; Dabić, P. A conceptual model of the cement hydration process. Cem. Concr. Res. 2000, 30, 693–698. [Google Scholar] [CrossRef]
- Wang, X.; Zhang, C.; Zhu, H.; Wu, Q. Reaction kinetics and mechanical properties of a mineral-micropowder/metakaolin-based geopolymer. Ceram. Int. 2022, 48, 14173–14181. [Google Scholar] [CrossRef]
- Liang, G.; Luo, L.; Yao, W. Reusing waste red brick powder as partial mineral precursor in eco-friendly binders: Reaction kinetics, microstructure and life-cycle assessment. Resour. Conserv. Recy. 2022, 185, 106523. [Google Scholar] [CrossRef]
- Liming, H.; Zhenghong, Y. Hydration kinetics of tricalcium silicate with the presence of portlandite and calcium silicate hydrate. Thermochim. Acta 2019, 681, 178398. [Google Scholar] [CrossRef]
- Kontoleontos, F.; Tsakiridis, P.E.; Marinos, A.; Kaloidas, V.; Katsioti, M. Influence of colloidal nanosilica on ultrafine cement hydration: Physicochemical and microstructural characterization. Constr. Build. Mater. 2012, 35, 347–360. [Google Scholar] [CrossRef]
- Li, H.; Liu, Y.; Xu, C.; Guan, X.; Zou, D.; Jing, G. Synergy effect of synthetic ettringite modified by citric acid on the properties of ultrafine sulfoaluminat cement-based materials. Cem. Concr. Compos. 2022, 125, 104312. [Google Scholar] [CrossRef]
- Han, F.; Zhang, Z.; Wang, D.; Yan, P. Hydration heat evolution and kinetics of blended cement containing steel slag at different temperatures. Thermochim. Acta 2015, 605, 43–51. [Google Scholar] [CrossRef]
- Nguyen, V.T.; Lee, S.Y.; Chung, S.-Y.; Moon, J.-H.; Kim, D.J. Effects of cement particle distribution on the hydration process of cement paste in three-dimensional computer simulation. Constr. Build. Mater. 2021, 311, 125322. [Google Scholar] [CrossRef]
- He, J.; Long, G.; Ma, K.; Xie, Y. Influence of fly ash or slag on nucleation and growth of early hydration of cement. Thermochim. Acta 2021, 701, 178964. [Google Scholar] [CrossRef]
- Ahmad, M.R.; Chen, B.; Yu, J. A comprehensive study of basalt fiber reinforced magnesium phosphate cement incorporating ultrafine fly ash. Composities Part B 2019, 168, 204–217. [Google Scholar] [CrossRef]
- Liu, J.; An, S.; Zhang, Y. Mechanism of regulating the mechanical properties and paste structure of supersulfated cement through ultrafine iron tailings powder. Cem. Concr. Compos. 2023, 140, 105061. [Google Scholar] [CrossRef]
- Cook, R.; Han, T.; Childers, A.; Ryckman, C.; Khayat, K.; Ma, H.; Huang, J.; Kumar, A. Machine learning for high-fidelity prediction of cement hydration kinetics in blended systems. Mater. Des. 2021, 208, 109920. [Google Scholar] [CrossRef]
- Mohamed, R.; Razak, R.A.; Abdullah, M.M.A.B.; Shuib, R.K.; Subaer; Chaiprapa, J. Geopolymerization of class C fly ash: Reaction kinetics, microstructure properties and compressive strength of early age. J. Non-Cryst. Solids. 2021, 553, 120519. [Google Scholar] [CrossRef]
- Merzouki, T.; Bouasker, M.; Khalifa, N.E.H.; Mounanga, P. Contribution to the modeling of hydration and chemical shrinkage of slag-blended cement at early age. Constr. Build. Mater. 2013, 44, 368–380. [Google Scholar] [CrossRef]
- Rashwan, M.A.; Lasheen, E.S.R.; Hegazy, A.A. Tracking the pozzolanic activity of mafic rock powder on durability performance of cement pastes under adverse conditions: Physico-mechanical properties, mineralogy, microstructure, and heat of hydration. J. Build. Eng. 2023, 71, 106485. [Google Scholar] [CrossRef]
- Zhang, B.; Feng, Y.; Xie, J.; Dai, J.; Chen, W.; Xue, Z.; Li, L.; Li, Y.; Li, J. Effects of pretreated recycled powder substitution on mechanical properties and microstructures of alkali-activated cement. Constr. Build. Mater. 2023, 406, 133360. [Google Scholar] [CrossRef]
- Luo, X.; Gao, J.; Li, S.; Xu, Z.; Chen, Z. Experimental study on the early-age properties of cement pastes with recycled brick powder. Constr. Build. Mater. 2022, 347, 128584. [Google Scholar] [CrossRef]
- Vedalakshmi, R.; Raj, A.S.; Srinivasan, S.; Babu, K.G. Quantification of hydrated cement products of blended cements in low and medium strength concrete using TG and DTA technique. Thermochim. Acta 2003, 407, 49–60. [Google Scholar] [CrossRef]
- Oliveira, A.M.; Oliveira, A.P.; Vieira, J.D.; Junior, A.N.; Cascudo, O. Study of the development of hydration of ternary cement pastes using X-ray computed microtomography, XRD-Rietveld method, TG/DTG, DSC, calorimetry and FTIR techniques. J. Build. Eng. 2023, 64, 105616. [Google Scholar] [CrossRef]
- Yang, T.; Wu, Q.; Zhu, H.; Zhang, Z. Geopolymer with improved thermal stability by incorporating high-magnesium nickel slag. Constr. Build. Mater. 2017, 155, 475–484. [Google Scholar] [CrossRef]
- Bortoletto, M.; Sanches, A.O.; Santos, J.A.; Silva, R.G.; Tashima, M.M.; Payá, J.; Soriano, L.; Borrachero, M.V.; Malmonge, J.A.; Akasaki, J.L. New insights on understanding the Portland cement hydration using electrical impedance spectroscopy. Constr. Build. Mater. 2023, 407, 133566. [Google Scholar] [CrossRef]
- Kang, L.; Huajun, Z.; Zuhua, Z.; Zheyu, Z.; Zhifeng, Y.; Qisheng, W.; Li, Z. Effect of microscale C–S–H on the properties of Portland cement and hydration kinetics analysis at different curing temperatures. Comp. Part B Eng. 2024, 208, 111461. [Google Scholar] [CrossRef]
- Fangzheng, Z.; Huajun, Z.; Qisheng, W.; Zhifeng, Y.; Zheyu, Z.; Sudong, H. Research on the strength reduction mechanism of Cement Kiln Dust (CKD)—Portland cement systems from macroscale and nanoscale. Constr. Build. Mater. 2024, 425, 135997. [Google Scholar] [CrossRef]












| Oxide | CaO | SiO2 | Al2O3 | Fe2O3 | TiO2 | MgO | K2O | Na2O | LOI |
|---|---|---|---|---|---|---|---|---|---|
| OPC | 64.6 | 20.3 | 5.1 | 3.7 | 0.2 | 0.9 | 0.5 | 0.1 | 1.5 |
| URP | 39.8 | 14.3 | 5.9 | 2.4 | 0.1 | 5.2 | 0.3 | 0.2 | 30.2 |
| Sample | OPC (g) | URP (g) | W/B | B/S |
|---|---|---|---|---|
| P-U0 | 100 | 0 | 1:2 | 1:3 |
| P-U5 | 95 | 5 | 1:2 | 1:3 |
| P-U7.5 | 92.5 | 7.5 | 1:2 | 1:3 |
| P-U10 | 90 | 10 | 1:2 | 1:3 |
| Samples | P-U0 | P-U5 | P-U7.5 | P-U10 |
|---|---|---|---|---|
| N | 0.451 | 0.452 | 0.446 | 0.431 |
| K | 6.634 × 10−3 | 10.121 × 10−3 | 11.587 × 10−3 | 14.399 × 10−3 |
| Sample | 200 °C | 350–500 °C | 600–750 °C |
|---|---|---|---|
| P-U0 | 8.49 | 4.5 | 3.49 |
| P-U5 | 8.72 | 4.51 | 3.88 |
| P-U7.5 | 8.55 | 4.12 | 5.26 |
| P-U10 | 8.32 | 3.97 | 6.13 |
Disclaimer/Publisher’s Note: The statements, opinions and data contained in all publications are solely those of the individual author(s) and contributor(s) and not of MDPI and/or the editor(s). MDPI and/or the editor(s) disclaim responsibility for any injury to people or property resulting from any ideas, methods, instructions or products referred to in the content. |
© 2024 by the authors. Licensee MDPI, Basel, Switzerland. This article is an open access article distributed under the terms and conditions of the Creative Commons Attribution (CC BY) license (https://creativecommons.org/licenses/by/4.0/).
Share and Cite
Yang, F.; Ma, Y.; Li, L.; Liu, S.; Hai, R.; Zhu, Z. Early-Age Behaviour of Portland Cement Incorporating Ultrafine Recycled Powder: Insights into Hydration, Setting, and Chemical Shrinkage. Materials 2024, 17, 5551. https://doi.org/10.3390/ma17225551
Yang F, Ma Y, Li L, Liu S, Hai R, Zhu Z. Early-Age Behaviour of Portland Cement Incorporating Ultrafine Recycled Powder: Insights into Hydration, Setting, and Chemical Shrinkage. Materials. 2024; 17(22):5551. https://doi.org/10.3390/ma17225551
Chicago/Turabian StyleYang, Fei, Yan Ma, Linchang Li, Shuo Liu, Ran Hai, and Zheyu Zhu. 2024. "Early-Age Behaviour of Portland Cement Incorporating Ultrafine Recycled Powder: Insights into Hydration, Setting, and Chemical Shrinkage" Materials 17, no. 22: 5551. https://doi.org/10.3390/ma17225551
APA StyleYang, F., Ma, Y., Li, L., Liu, S., Hai, R., & Zhu, Z. (2024). Early-Age Behaviour of Portland Cement Incorporating Ultrafine Recycled Powder: Insights into Hydration, Setting, and Chemical Shrinkage. Materials, 17(22), 5551. https://doi.org/10.3390/ma17225551

