A Theoretical Study of the Electron–Surface Optical Phonon Interaction in Monolayer Transition Metal Dichalcogenides Deposited on SiC and hexagonal BN Dielectric Substrates in the Vicinity of the Points K+(K−) of the Brillouin Zone
Highlights
- Electron-surface optical (SO) phonon interaction in ML TMDCs depends strongly upon the polar substrate.
- Polarization field induces a resonant coupling between electronic states and surface vibration modes.
- Resonant coupling enhances the efficiency of photoluminescence.
- The highest polarization field created near the interface leads to the highest polaronic oscillator strength and the enhancement of SO phonon scattering rates in ML TMDCs.
Abstract
1. Introduction
2. Electron–Surface Optical Phonon Interaction in ML TMDCs on SiC and h Dielectric Substrates
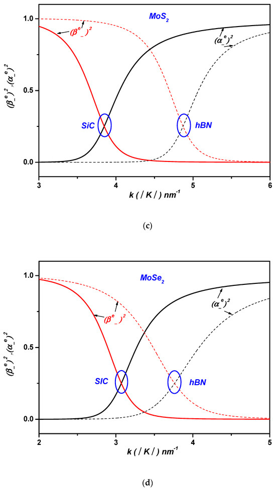
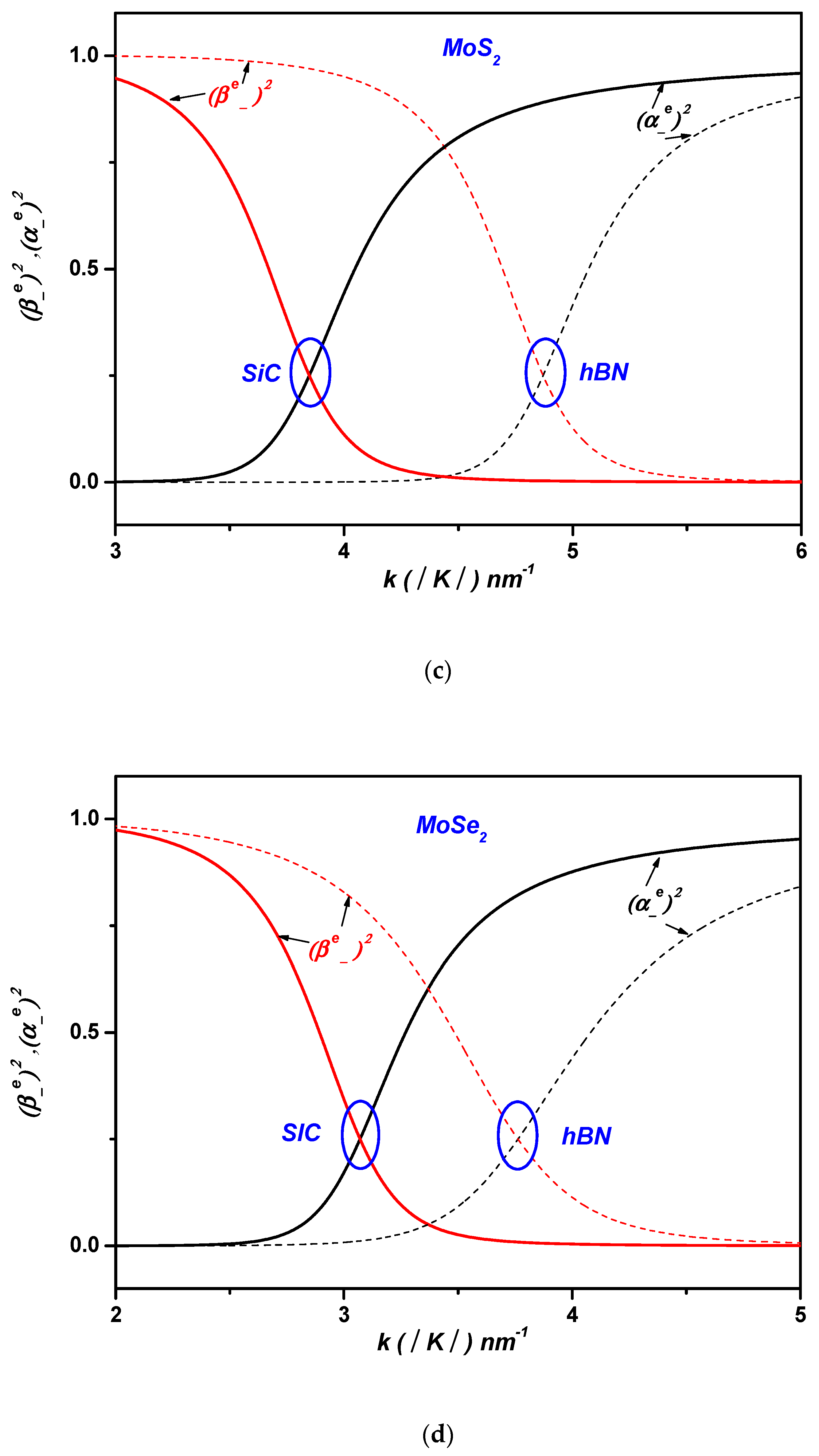
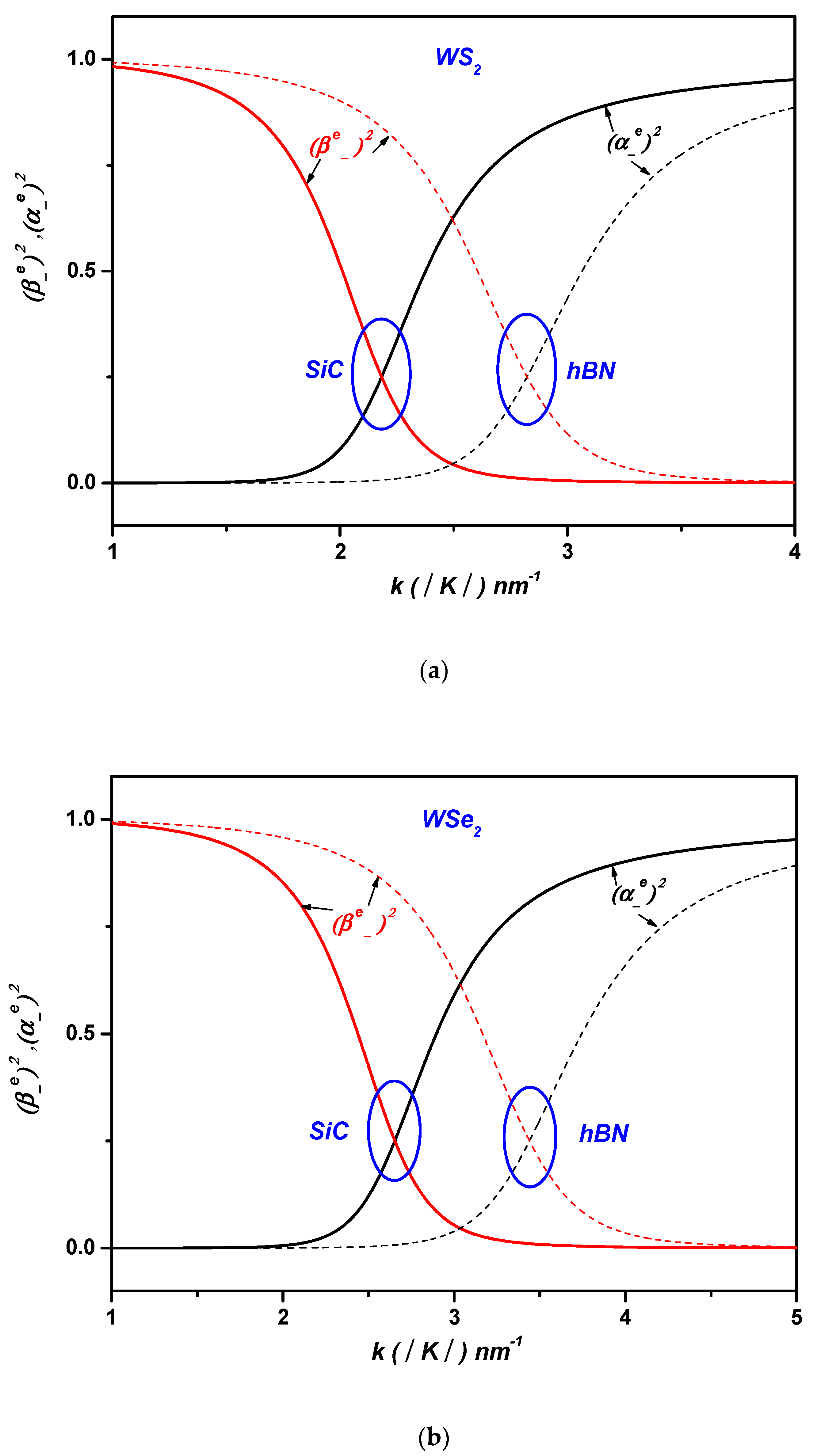
3. Polaronic Oscillator Strength of ML TMDCs on SiC and hBN Polar Substrates
4. Polaronic Scattering Rate of ML TMDCs on SiC and hBN Polar Substrates
5. Conclusions
Author Contributions
Funding
Institutional Review Board Statement
Informed Consent Statement
Data Availability Statement
Conflicts of Interest
References
- Wang, Z.; Nie, Y.; Ou, H.; Chen, D.; Cen, Y.; Liu, J.; Wu, D.; Hong, G.; Li, B.; Xing, G.; et al. Electronic and Optoelectronic Monolayer WSe2 Devices via Transfer-Free Fabrication Method. Nanomaterials 2023, 13, 1368. [Google Scholar] [CrossRef] [PubMed]
- Ahmed, T.; Zha, J.; Lin, K.K.H.; Kuo, H.-C.; Tan, C.; Lin, D.H. Bright and Efficient Light-Emitting Devices Based on 2D Transition Metal Dichalcogenides. Adv. Mater. 2023, 35, 2208054. [Google Scholar] [CrossRef] [PubMed]
- Joseph, S.; Mohan, J.; Lakshmy, S.; Thomas, S.; Chakraborty, B.; Thomas, S.; Kalarikkal, N. A review of the synthesis, properties, and applications of 2D transition metal dichalcogenides and their heterostructures. Mater. Chem. Phys. 2023, 297, 127332. [Google Scholar] [CrossRef]
- Lau, C.S.; Chee, J.Y.; Cao, L.; Ooi, Z.-E.; Tong, S.W.; Bosman, M.; Bussolotti, F.; Deng, T.; Wu, G.; Yang, S.-W.; et al. Gate-Defined Quantum Confinement in CVD 2D WS2. Adv. Mater. 2022, 34, 2103907. [Google Scholar] [CrossRef]
- Zhang, L.; Ni, R.; Zhou, Y. Controlling quantum phases of electrons and excitons in moiré superlattices. J. Appl. Phys. 2023, 133, 080901. [Google Scholar] [CrossRef]
- Ardizzone, V.; De Marco, L.; De Giorgi, M.; Dominici, L.; Ballarini, D.; Sanvitto, D. Emerging 2D materials for room-temperature polaritonics. Nanophotonics 2019, 8, 1547–1558. [Google Scholar] [CrossRef]
- Xie, K.; Li, X.; Cao, T. Theory and Ab Initio Calculation of Optically Excited States—Recent Advances in 2D Materials. Adv. Mater. 2021, 33, 1904306. [Google Scholar] [CrossRef]
- Palummo, M.; Bernardi, M.; Grossman, J.C. Exciton Radiative Lifetimes in Two-Dimensional Transition Metal Dichalcogenides. Nano Lett. 2015, 15, 2794–2800. [Google Scholar] [CrossRef]
- Qiu, D.Y.; Cao, T.; Steven, G. Louie, Nonanalyticity, Valley Quantum Phases, and Lightlike Exciton Dispersion in Monolayer Transition Metal Dichalcogenides: Theory and First-Principles Calculations. Phys. Rev. Lett. 2015, 115, 176801. [Google Scholar] [CrossRef]
- Huang, C.-C.; Wang, H.; Cao, Y.; Weatherby, E.; Richheimer, F.; Wood, S.; Jiang, S.; Wei, D.; Dong, Y.; Lu, X.; et al. Facilitating Uniform Large-Scale MoS2, WS2 Monolayers, and Their Heterostructures through van der Waals Epitaxy. ACS Appl. Mater. Interfaces 2022, 14, 42365–42373. [Google Scholar] [CrossRef]
- Wada, N.; Pu, J.; Takaguchi, Y.; Zhang, W.; Liu, Z.; Endo, T.; Irisawa, T.; Matsuda, K.; Miyauchi, Y.; Takenobu, T.; et al. Efficient and Chiral Electroluminescence from In-Plane Heterostructure of Transition Metal Dichalcogenide Monolayers. Adv. Funct. Mater. 2022, 32, 2203602. [Google Scholar] [CrossRef]
- Robert, C.; Han, B.; Kapuscinski, P.; Delhomme, A.; Faugeras, C.; Amand, T.; Molas, M.R.; Bartos, M.; Watanabe, K.; Taniguchi, T.; et al. Measurement of the spin-forbidden dark excitons in MoS2 and MoSe2 monolayers. Nat. Commun. 2020, 11, 4037. [Google Scholar] [CrossRef] [PubMed]
- Carrascoso, F.; Li, H.; Frisenda, R.; Castellanos-Gomez, A. Strain engineering in single-, bi- and tri-layer MoS2, MoSe2, WS2 and WSe2. Nano Res. 2021, 14, 1698–1703. [Google Scholar] [CrossRef]
- Mahdouani, M. Investigation of the electron-surface phonon interaction effects in graphene on a substrate made of polar materials. PHYSE 2017, 87, 192–198. [Google Scholar] [CrossRef]
- Mahdouani, M.; Gardelis, S.; Bourguiga, R. The effect of Si impurities on the transport properties and the electron-surface phonon interaction in single layer graphene deposited on polar substrates. Phys. B Condens. Matter 2018, 550, 171–178. [Google Scholar] [CrossRef]
- Mahdouani, M.; Bourguiga, R. Auger and carrier-surface phonon interaction processes in graphene on a substrate made of polar materials. Superlattices Microstruct. 2017, 102, 212–220. [Google Scholar] [CrossRef]
- Perebeinos, V.; Avouris, P. Inelastic scattering and current saturation in graphene. Phys. Rev. B 2010, 81, 195442. [Google Scholar] [CrossRef]
- Mahdouani, M.; Bourguiga, R.; Jaziri, S. Polaronic states in Si nanocrystals embedded in SiO2 matrix. Physica E 2008, 41, 228–234. [Google Scholar] [CrossRef]
- Mahdouani, M.; Gardelis, S.; Nassiopoulou, A.G. Role of surface vibration modes in Si nanocrystals within light emitting porous Si at the strong confinement regime. J. Appl. Phys. 2011, 110, 023527. [Google Scholar] [CrossRef]
- Gardelis, S.; Nassiopoulou, A.G.; Mahdouani, M.; Bourguiga, R.; Jaziri, S. Enhancement and red shift of photoluminescence (PL) of fresh porous Si under prolonged laser irradiation or ageing: Role of surface vibration modes. Physica E 2009, 41, 986–989. [Google Scholar] [CrossRef]
- Paul, S.; Karak, S.; Talukdar, S.; Negi, D.; Saha, S. Influence of Edges and Interlayer Electron–phonon Coupling in WS2/h-BN Heterostructure. ACS Appl. Mater. Interfaces 2024, 16, 40077–40085. [Google Scholar] [CrossRef] [PubMed]
- Chow, C.M.; Yu, H.; Jones, A.M.; Yan, J.; Mandrus, D.G.; Taniguchi, T.; Watanabe, K.; Yao, W.; Xu, X. Unusual Exciton–Phonon Interactions at van der Waals Engineered Interfaces. Nano Lett. 2017, 17, 1194–1199. [Google Scholar] [CrossRef] [PubMed]
- Miller, B.; Lindlau, J.; Bommert, M.; Neumann, A.; Yamaguchi, H.; Högele, A. Tuning the Fröhlich exciton-phonon scattering in monolayer MoS. Nat. Commun. 2019, 10, 807. [Google Scholar] [CrossRef] [PubMed]
- Gopalan, S.; Van de Put, M.L.; Gaddemane, G.; Fischetti, M.V. Theoretical Study of Electronic Transport in Two-Dimensional Transition Metal Dichalcogenides: Effects of the Dielectric Environment. Phys. Rev. Appl. 2022, 18, 054062. [Google Scholar] [CrossRef]
- Glazov, M.M.; Ivchenko, E.L. Valley Orientation of Electrons and Excitons in Atomically Thin Transition Metal Dichalcogenide Monolayers. JETP Lett. 2021, 113, 7–17. [Google Scholar] [CrossRef]
- Durnev, M.V.; Glazov, M.M. Excitons and trions in two-dimensional semiconductors based on transition metal dichalcogenides. Phys.–Uspekhi 2018, 61, 825–845. [Google Scholar] [CrossRef]
- Kormanyos, A.; Burkard, G.; Gmitra, M.; Fabian, J.; Zolyomi, V.; Drummond, N.D.; Fal’ko, V. k·p theory for two-dimensional transition metal dichalcogenide semiconductors. 2D Mater. 2015, 2, 022001. [Google Scholar] [CrossRef]
- Antonius, G.; Louie, S.G. Theory of exciton-phonon coupling. Phys. Rev. B 2022, 105, 085111. [Google Scholar] [CrossRef]
- Sohier, T.; Calandra, M.; Mauri, F. Two-dimensional Fröhlich interaction in transition-metal dichalcogenide monolayers: Theoretical modeling and first-principles calculations. Phys. Rev. B 2016, 94, 085415. [Google Scholar] [CrossRef]
- Wang, Y.; He, C.; Tan, Q.; Tang, Z.; Huang, L.; Liu, L.; Yin, J.; Wang, X.; Pan, A. Exciton–phonon coupling in two-dimensional layered (BA)2PbI4 perovskite microplates. RSC Adv. 2023, 13, 5893–5899. [Google Scholar] [CrossRef]
- Ma, J.; Xu, D.; Hu, R.; Luodoi, X. Examining two-dimensional Fröhlich model and enhancing the electron mobility of monolayer InSe by dielectric engineering. J. Appl. Phys. 2020, 128, 035107. [Google Scholar] [CrossRef]
- Hinsche, N.F.; Thygesen, K.S. Electron–phonon interaction and transport properties of metallic bulk and monolayer transition metal dichalcogenide TaS2. 2D Mater. 2017, 5, 015009. [Google Scholar] [CrossRef]
- Xiao, Y.; Li, Z.Q.; Wang, Z.W. Polaron effect on the bandgap modulation in monolayer transition metal dichalcogenides. J. Phys. Cond. Matter 2017, 29, 485001. [Google Scholar] [CrossRef] [PubMed]
- Nguepnang, J.V.; Kenfack, C.; Kenfack, A.; Fobasso, M.F.C.; Sun, Y. Optical signature of bipolaron in monolayer transition metal dichalcogenides: All coupling approach. Opt. Quantum Electron. 2021, 53, 728. [Google Scholar] [CrossRef]
- Devreese, J.T.; Huybrechts, W.; Lemmeks, L. On the optical absorption of free polarons at weak coupling. Phys. Status Solidi 1971, 48, 77–86. [Google Scholar] [CrossRef]
- Mafra, D.L.; Araujo, P.T. Intra- and Interlayer Electron-Phonon Interactions in 12/12C and 12/13C BiLayer Graphene. Appl. Sci. 2014, 4, 207–239. [Google Scholar] [CrossRef]
- Wang, S.Q.; Mahan, G.D. Electron Scattering from Surface Excitations. Phys. Rev. B 1972, 6, 4517. [Google Scholar] [CrossRef]
- Schiefele, J.; Sols, F.; Guinea, F. Temperature dependence of the conductivity of graphene on boron nitride. Phys. Rev. B 2012, 85, 195420. [Google Scholar] [CrossRef]
- Geick, R.; Perry, C.H.; Rupprecht, G. Normal Modes in Hexagonal Boron Nitride. Phys. Rev. 1966, 146, 543. [Google Scholar] [CrossRef]
- Rozhkov, A.V.; Nori, F. Exact wave functions for an electron on a graphene triangular quantum dot. Phys. Rev. B 2010, 81, 155401. [Google Scholar] [CrossRef]
- Han, B.; Robert, C.; Courtade, E.; Manca, M.; Shree, S.; Amand, T.; Renucci, P.; Taniguchi, T.; Watanabe, K.; Marie, X.; et al. Exciton States in Monolayer MoSe2 and MoTe2 Probed by Up conversion Spectroscopy. Phys. Rev. X 2018, 8, 031073. [Google Scholar] [CrossRef]
- Wang, G.; Gerber, I.C.; Bouet, L.; Lagarde, D.; Balocchi, A.; Vidal, M.; Palleau, E.; Amand, T.; Marie, X.; Urbaszek, B. Exciton states in monolayer MoSe2: Impact on interband transitions. 2D Mater. 2015, 2, 045005. [Google Scholar] [CrossRef]
- Laturia, A.; Van de Put, M.L.; Vandenberghe, W.G. Dielectric properties of hexagonal boron nitride and transition metal dichalcogenides: From monolayer to bulk. 2D Mater. Appl. 2018, 2, 6. [Google Scholar] [CrossRef]
- Benedict, L.X.; Louie, S.G.; Cohen, M.L. Static polarizabilities of single-wall carbon nanotubes. Phys. Rev. B 1995, 52, 8541. [Google Scholar] [CrossRef]
- Hwang, E.H.; Sarma, S.D. Surface polar optical phonon interaction induced many-body effects and hot-electron relaxation in graphene. Phys. Rev.B 2013, 87, 115432. [Google Scholar] [CrossRef]
- Mahdouani, M.; Zalfani, M.; Bourguiga, R.; Su, B.-L. Radiative and non radiative recombinations study in the novel nanocomposites BiVO4/3DOM-TiO2, ZnO/3DOM-TiO2 and BiVO4/3DOM-ZnO: Application to the photocatalysis. Physica E 2019, 108, 269–280. [Google Scholar] [CrossRef]
- Chang, Y.-C.; Chan, Y.-C.; Das, B.; Syue, J.-F.; Hu, H.-C.; Lan, Y.-W.; Lu, T.-H. Distinctive characteristics of exciton-phonon interactions in optically driven MoS. Phys. Rev. Mater. 2024, 8, 074003. [Google Scholar] [CrossRef]
- Nguepnang, J.V.; Kenfack-Sadem, C.; Kenfack-Jiotsa, A.; Guimapi, C.; Fotue, A.J.; Merad, A.E. Electron–phonon coupling contribution on the optical absorption and the dynamic of exciton-polaron in monolayer Transition Metal Dichalcogenides. Opt. Quantum Electron. 2021, 53, 654. [Google Scholar] [CrossRef]
- Lai, J.-M.; Xie, Y.-R.; Zhang, J. Detection of electron-phonon coupling in two-dimensional materials by light scattering. Nano Res. 2021, 14, 1711–1733. [Google Scholar] [CrossRef]
- Jiang, Y.; Chen, S.; Zheng, W.; Zheng, B.; Pan, A. Interlayer exciton formation, relaxation, and transport in TMD van der Waals heterostructures. Light Sci. Appl. 2021, 10, 72. [Google Scholar] [CrossRef]










| 9.7 | 5.09 | |
| 6.5 | 4.1 | |
| 116.0 | 101.7 | |
| 123.2 | 103.7 | |
| 0.735 | 0.258 |
| 2.24 | 2.37 | 2.31 | 2.13 | |
| 0.31 | 0.34 | 0.45 | 0.53 | |
| 6.06 | 6.44 | 6.04 | 6.45 |
| The Noninteracting Crossing Levels in the Case of SiC | The Noninteracting Crossing Levels in the Case of hBN | |
|---|---|---|
| Rabi Splitting in the Case of SiC | Rabi Splitting in the Case of hBN | |
|---|---|---|
Disclaimer/Publisher’s Note: The statements, opinions and data contained in all publications are solely those of the individual author(s) and contributor(s) and not of MDPI and/or the editor(s). MDPI and/or the editor(s) disclaim responsibility for any injury to people or property resulting from any ideas, methods, instructions or products referred to in the content. |
© 2024 by the authors. Licensee MDPI, Basel, Switzerland. This article is an open access article distributed under the terms and conditions of the Creative Commons Attribution (CC BY) license (https://creativecommons.org/licenses/by/4.0/).
Share and Cite
Mahdouani, M.; Bourguiga, R.; Gardelis, S. A Theoretical Study of the Electron–Surface Optical Phonon Interaction in Monolayer Transition Metal Dichalcogenides Deposited on SiC and hexagonal BN Dielectric Substrates in the Vicinity of the Points K+(K−) of the Brillouin Zone. Materials 2024, 17, 5552. https://doi.org/10.3390/ma17225552
Mahdouani M, Bourguiga R, Gardelis S. A Theoretical Study of the Electron–Surface Optical Phonon Interaction in Monolayer Transition Metal Dichalcogenides Deposited on SiC and hexagonal BN Dielectric Substrates in the Vicinity of the Points K+(K−) of the Brillouin Zone. Materials. 2024; 17(22):5552. https://doi.org/10.3390/ma17225552
Chicago/Turabian StyleMahdouani, Mounira, Ramzi Bourguiga, and Spiros Gardelis. 2024. "A Theoretical Study of the Electron–Surface Optical Phonon Interaction in Monolayer Transition Metal Dichalcogenides Deposited on SiC and hexagonal BN Dielectric Substrates in the Vicinity of the Points K+(K−) of the Brillouin Zone" Materials 17, no. 22: 5552. https://doi.org/10.3390/ma17225552
APA StyleMahdouani, M., Bourguiga, R., & Gardelis, S. (2024). A Theoretical Study of the Electron–Surface Optical Phonon Interaction in Monolayer Transition Metal Dichalcogenides Deposited on SiC and hexagonal BN Dielectric Substrates in the Vicinity of the Points K+(K−) of the Brillouin Zone. Materials, 17(22), 5552. https://doi.org/10.3390/ma17225552
