Biodegradable Polyurethane Foams Based on Polyols Obtained from Cellulose and Its Hydroxypropyl Derivative
Abstract
1. Introduction
2. Experimental
2.1. Materials
2.2. Syntheses
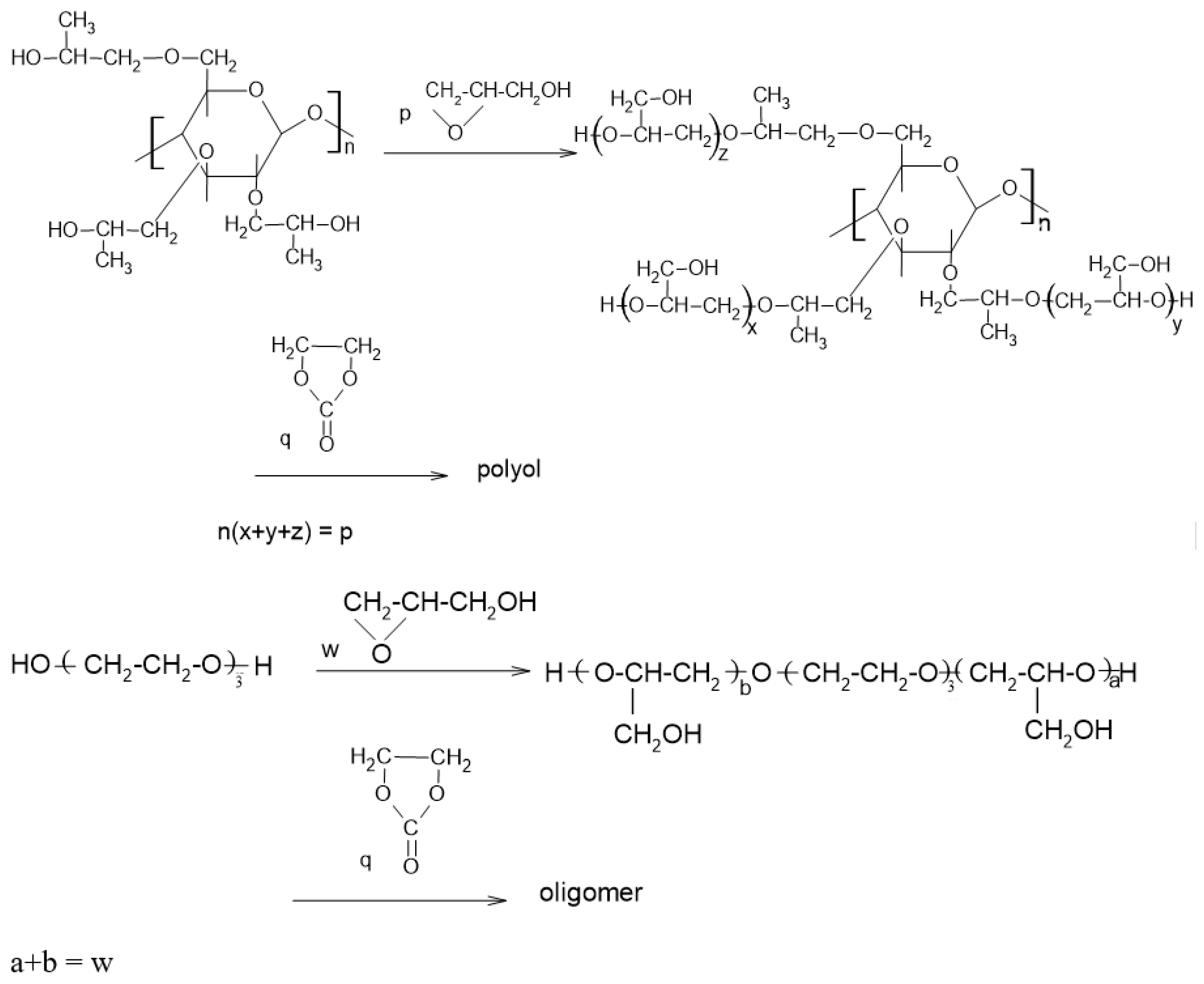
2.2.1. Polyol from HPC
2.2.2. Hydrolysis of Cellulose
2.2.3. Polyol from CNC
2.2.4. Polyol from CEL
2.3. Analytical Methods
2.4. Physical Properties of Polyol
2.5. Obtaining the Polyurethane Foams
2.6. Properties of Foams
2.7. Biodegradation of Polyol and PUF
2.8. Microbial Enzymatic Biodegradation
3. Results and Discussion
3.1. Synthesis and Properties of Polyols
3.2. Synthesis and Properties of Polyurethane Foams
4. Conclusions
Author Contributions
Funding
Institutional Review Board Statement
Informed Consent Statement
Data Availability Statement
Acknowledgments
Conflicts of Interest
References
- Puchała, C. Green chemistry and use possibilities of its principles. Chem. Environ. Biotechnol. 2013, 16, 7–15. [Google Scholar]
- Ryszkowska, J. Polyurethane Materials. Manufactured Using Renewable Raw Materials; Publishing House of the Warsaw University of Technology: Warsaw, Poland, 2019. [Google Scholar]
- Sardon, H.; Mecerreyes, D.; Basterretxea, A.; Avérous, L.; Jehanno, C. From Lab to Market: Current Strategies for the Production of Biobased Polyols. ACS Sustain. Chem. Eng. 2021, 9, 10664–10677. [Google Scholar] [CrossRef]
- Mosiewicki, A.; Rojek, P.; Michałowski, S.; Aranguren, I.; Prociak, A. Rapeseed Oil—Based Polyurethane Foams Modified with Glycerol and Cellulose Micro/Nanocrystals. J. Appl. Polym. Sci. 2015, 132, 41602. [Google Scholar] [CrossRef]
- Seppala, J.; Selin, J.F.; Su, T. Method for Producing Lactic Acid Based Polyurethane. U.S. Patent 5,380,813A, 10 January 1995. [Google Scholar]
- Gołębiewski, J.; Gibas, E.; Malinowski, R. Selected biodegradable polymers—Preparation, properties, application. Polimery 2008, 53, 799–807. [Google Scholar] [CrossRef]
- Brzeska, J.; Dacko, P.; Janeczek, H.; Janik, H.; Sikorska, W.; Rutkowska, M.; Kowalczuk, M. Synthesis, properties and applications of new (bio)degradable polyester urethanes. Polimery 2014, 59, 365–371. [Google Scholar] [CrossRef]
- Arslan, H.; Adamus, G.; Hazer, B.; Kowalczuk, M. Electrospray ionisation tandem mass spectrometry of poly[(R,S)-3-hydroxybutanoic acid] telechelics containing primary hydroxy end groups. Rapid Commun. Mass Spectrom. 1999, 13, 2433–2438. [Google Scholar] [CrossRef]
- Czupryński, B. Topics in the Chemistry and Technology of Polyurethanes; Bydgoszcz Academy Publishing House: Bydgoszcz, Poland, 2004. [Google Scholar]
- Król, P. Review of 60 years of their syntheses and applications. Polimery 2009, 54, 489–500. [Google Scholar] [CrossRef]
- Prociak, A.; Rokicki, G.; Ryszkowska, J. Polyurethane Materials. PWN Scientific Publishing House: Warsaw, Poland, 2016. [Google Scholar]
- Barnat, W.; Miedzińska, D.; Niezgoda, T. Polyurethane foams—Properties, applications, recycling. Arch. Environ. Prot. 2011, 13, 13–18. [Google Scholar]
- Rabek, J.F. Polymers Preparation, Research Methods, Application; PWN Scientific Publishing House: Warsaw, Poland, 2013. [Google Scholar]
- Macedo, V.; Zimmermann, M.; Koester, L.; Scienza, L.; Zattera, A. Flexible polyurethane foams filled with Pinnus elliotti cellulose. Polímeros 2017, 27, 27–34. [Google Scholar] [CrossRef]
- Prociak, A.; Malewska, E.; Bąk, S. Influence of Isocyanate Index on Selected Properties of Flexible Polyurethane Foams Modified with Various Bio-Components. J. Renew. Mater. 2016, 4, 78–85. [Google Scholar] [CrossRef]
- Pan, X.; Saddler, J. Effect of replacing polyol by organosolv and kraft lignin on the property and structure of rigid polyurethane foam. Biotechnol. Biofuels 2013, 6, 12. [Google Scholar] [CrossRef] [PubMed]
- Rodrigues, M.B.B.; Correa, R.; De Cademartori, P.H.G.; Ribeiro, A.C.R.; Coldebella, R.; Delucis, R.A.; Lunkes, N.; Missio, A.L. Bio-Based Tannin Foams: Comparing Their Physical and Thermal Response to Polyurethane Foams in Lightweight Sandwich Panels. Compounds 2024, 4, 1–16. [Google Scholar] [CrossRef]
- Kosmela, P.; Hejna, A.; Formela, K.; Haponiuk, J.; Piszczyk, Ł. The Study on Application of Biopolyols Obtained by Cellulose Biomass Liquefaction Performed with Crude Glycerol for the Synthesis of Rigid Polyurethane Foams. J. Polym. Environ. 2018, 26, 2546–2554. [Google Scholar] [CrossRef]
- Li, Y.; Ren, H.; Ragauskas, A. Rigid polyurethane foam reinforced with cellulose whiskers. Synthesis and characterization. Nano-Micro Lett. 2010, 2, 89–94. [Google Scholar] [CrossRef]
- Luo, F.; Wu, K.; Guo, H.; Zhao, O.; Liang, L.; Lu, M. Effect of cellulose whisker and ammonium polyphosphate on thermal properties and flammability performance of rigid polyurethane foam. J. Therm. Anal. Calorim. 2015, 122, 717–723. [Google Scholar] [CrossRef]
- Septevani, A.; Evans, D.; Annamalai, P.; Martin, D. The use of cellulose nanocrystals to enhance the thermal insulation properties and sustainability of rigid polyurethane foam. Ind. Crops Prod. 2017, 107, 114–121. [Google Scholar] [CrossRef]
- Leng, W.; Pan, B. Thermal Insulating and Mechanical Properties of Cellulose Nanofibrils Modified Polyurethane Foam Composite as Structural Insulated Material. Forests 2019, 10, 200. [Google Scholar] [CrossRef]
- Huang, X.; De Hoop, C.; Xie, J.; Wu, Q.; Boldor, D.; Qi, J. High bio-content polyurethane (PU) foam made from bio-polyol and cellulose nanocrystals (CNCs) via microwave liquefaction. Mater. Des. 2018, 138, 11–20. [Google Scholar] [CrossRef]
- Szpiłyk, M.; Lubczak, R.; Lubczak, J. Polyetherols and polyurethane foams with cellulose subunits. Polym.-Plast. Technol. Mater. 2021, 60, 440–452. [Google Scholar] [CrossRef]
- Szpiłyk, M.; Lubczak, R.; Walczak, M.; Lubczak, J. Polyol and polyurethane foam from cellulose hydrolysate. J. Chem. Technol. Biotechnol. 2021, 96, 881–889. [Google Scholar] [CrossRef]
- Szpiłyk, M.; Lubczak, R.; Lubczak, J. The biodegradable cellulose-derived polyol and polyurethane foam products. Polym. Test. 2021, 100, 107250. [Google Scholar] [CrossRef]
- Brojer, Z.; Hertz, Z.; Penczek, P. Epoxy Resins; WNT: Warsaw, Poland, 1972. [Google Scholar]
- Kijowska, D.; Wołowiec, S.; Lubczak, J. Kinetics and mechanism of initial steps of syn-thesis of polyetherols from melamine and ethylene carbonate. J. Appl. Polym. Sci. 2004, 93, 294–300. [Google Scholar] [CrossRef]
- PN-93/C-89052.03; Polyethers for Polyurethanes. Test Methods. Determination of the Hydroxyl Number. Polish (European) Standards Ed. Polish Committee for Standardization: Warsaw, Poland, 1993.
- Nizioł, J.; Zieliński, Z.; Rode, W.; Ruman, T. Matrix-free laser desorption-ionization with silver nanoparticle enhanced steel targets. Int. J. Mass Spectrom. 2013, 335, 22–32. [Google Scholar] [CrossRef]
- PN-EN ISO 845:2000; Cellular Plastics and Rubbers. Determination of Apparent (Bulk) Density. Polish (European) Standards Ed. Polish Committee for Standardization: Warsaw, Poland, 2000.
- PN-EN ISO 2896:1986; Cellular Plastics, Rigid. Determination of Water Absorption. Polish (European) Standards Ed. Polish Committee for Standardization: Warsaw, Poland, 1986.
- PN-EN ISO 2796:1986; Cellular Plastics, Rigid. Test of Dimensional Stability. Polish (European) Standards Ed. Polish Committee for Standardization: Warsaw, Poland, 1986.
- PN-EN ISO 844:1978; Cellular Plastics, Compression Test for Rigid Materials. Polish (European) Standards Ed. Polish Committee for Standardization: Warsaw, Poland, 1978.
- ISO 17556:2019; Plastics—Determination of the Ultimate Aerobic Biodegradabili-Ty of Plastic Materials in Soil by Measuring the Oxygen Demand in a Respirometer or the Amount of Carbon Dioxide Evolved. Technical Committee ISO/-TC 61 Plastics, Subcom-Mittee SC14 Enviromental Aspect. ISO: Geneva, Switzerland, 2019.
- ISO 11274:2019; Soil Quality-Determination of the Water-Retention Characteristic-Laboratory Methods. BSI Standards Limited: Cardiff, UK, 2019.
- ISO 10390-2005; Soil Quality-Determination of pH. BSI Standards Limited: Cardiff, UK, 2005.
- Marsden, W.L.; Gray, P.P.; Nippard, G.J.; Quilan, M.R. Evaluation of the DNS method for analyzing lignocellulosic hydrolysated. J. Chem. Technol. Biotechnol. 1982, 32, 1016–1022. [Google Scholar] [CrossRef]
- Jiang, F.; Hsieh, Y. Chemically and mechanically isolated nanocellulose and their self-assembled structures. Carbohyd. Polym. 2013, 95, 32–40. [Google Scholar] [CrossRef]
- Dong, X.; Revol, J.; Gray, D. Effect of microcrystallite preparation conditions on the formation of colloid crystals of cellulose. Cellulose 1998, 5, 19–32. [Google Scholar] [CrossRef]
- Borysiak, S.; Grząbka-Zasadzińska, A. Influence of the polymorphism of cellulose on the formation of nanocrystals and their application in chitosan/nanocellulose composites. J. Appl. Polym. Sci. 2016, 133, 42864. [Google Scholar] [CrossRef]
- Wirpsza, Z. Polyurethanes: Chemistry, Technology, Application; WNT: Warsaw, Poland, 1991. [Google Scholar]
- Bertucelli, L.; Parenti, V.; Li, D.; Liu, W.; Chai, N.; Wang, B.; Che, C.; Guo, D.; Chen, G.; Yin, E. Rigid Polyurethane Foam Having a Small Cell Size. U.S. Patent 20160333160A1, 23 January 2014. [Google Scholar]
- Lubczak, J. Polyhydroxyalkyl derivatives and polyetherols obtainedfrom azacyclic compounds. Part I. reactions with oxiranes. Polimery 2011, 56, 360–368. [Google Scholar] [CrossRef]
- Lubczak, R. Multifunctional oligoetherols and polyurethane foams with carbazole ring. Pol. J. Chem. Technol. 2016, 18, 120–126. [Google Scholar] [CrossRef]
- Jiao, L.; Xiao, H.; Wang, Q.; Sun, J. Thermal degradation characteristics of rigid polyure-thane foam and the volatile products analysis with TG-FTIR-MS. Polym. Degrad. Stab. 2013, 98, 2687–2696. [Google Scholar] [CrossRef]
- Ketata, N.; Sanglar, C.; Waton, H.; Alamercery, S.; Delolme, F.; Raffin, G.; Grenier-Loustalot, M.F. Thermal Degradation of Polyurethane Bicomponent Systems in Controlled Atmospheres. Polym. Polym. Compos. 2005, 13, 1–26. [Google Scholar] [CrossRef]
- Liu, J.; He, J.; Xue, R.; Xu, B.; Qian, X.; Xin, F.; Blank, L.M.; Zhou, J.; Wei, R.; Dong, W.; et al. Biodegradation and up-cycling of polyurethanes: Progress, challenges, and proscpect. Biotechnol. Adv. 2021, 48, 107730. [Google Scholar] [CrossRef] [PubMed]
- Howard, G.T. Biodegradation of polyurethane: A review. Int. Biodeterior. Biodegrad. 2002, 49, 245–252. [Google Scholar] [CrossRef]
- Singh, A.; Bajar, S.; Devi, A.; Pant, D. An overview on the recent developments in fungal cellulase production and their industrial applications. Bioresour. Technol. Rep. 2021, 14, 100652. [Google Scholar] [CrossRef]
- Yoon, L.W.; Ang, T.N.; Ngoh, G.C.; Chua, A.S.M. Fungal solid-state fermentation and various method of enhancement in cellulase production. Biomass. Bioenergy 2014, 67, 319–338. [Google Scholar] [CrossRef]
- De Gisi, S.; Gadaleta, G.; Gorrasi, G.; La Mantia, F.P.; Notarnicola, M.; Sorrentono, A. The role of (bio)degradability on the management of petrochemical and bio-based plastic waste. J. Environ. Manag. 2022, 310, 114769. [Google Scholar] [CrossRef]
- Ghazali, R.; Mei, L.C.; Shaari, N.Z.K.; Yusof, M.; Ahmad, S. Microbial Degradation of Flexibe Polyurethane Foams by Aspergillus niger and Aspergillus terreus. Oil Palm Bull. 2005, 51, 26–35. [Google Scholar]
- Ozsagiroglu, E.; Iyisan, B.; Guveihr, Y.A. Biodegradation and Charakterization Studies of Different Kinds of Polyurethanes with Several Enzyme Solutions. Pol. J. Environ. Stud. 2012, 21, 1777–1782. [Google Scholar]
- Sklenickova, K.; Abbrent, S.; Halecky, M.; Koci, V.; Benes, H. Biodegradability and ecotoxicity of polyurethane foams: A review. Crit. Rev. Environ. Sci. Technol. 2020, 52, 157–202. [Google Scholar] [CrossRef]


) and after (
) hydrolysis obtained by the DLS method.
) and after (
) hydrolysis obtained by the DLS method.











) and annealed foam at 150 °C (
), 175 °C (
), and 200 °C (
) obtained from polyol CEL-H2O-GL-EC.
) and annealed foam at 150 °C (
), 175 °C (
), and 200 °C (
) obtained from polyol CEL-H2O-GL-EC.





| Entry | Signal Position m/z | Relative Intensity of Signal [%] | The Molecular Ion Structure | Calc. Molecular Weight [g/mol] |
|---|---|---|---|---|
| 1 | 87.048 | 14.6 | EC | 88.016 |
| 2 | 140.888 | 12.5 | GL + OE + Na+ | 141.053 |
| 3 | 155.987 | 16.7 | GL + OE + K+ | 157.027 |
| 4 | 173.061 | 11.5 | 2 GL + OE − H2O | 174.089 |
| 5 | 196.984 | 71.9 | 2GL + EO − H2O + Na+ | 197.079 |
| 6 | 217.103 | 11.5 | 2GL + 2EO − H2O | 218.115 |
| 7 | 245.101 | 9.4 | GL + 3OE + K+ | 245.079 |
| 8 | 261.131 | 9.2 | 2GL + 3EO − H2O | 262.142 |
| 9 | 289.130 | 19.8 | GL + 4OE + K+ | 289.105 |
| 10 | 303.132 | 30.2 | 2GL + 3EO + Na+ | 305.142 |
| 11 | 319.096 | 14.6 | 2GL + 3OE + K+ | 319.116 |
| 12 | 333.133 | 36.5 | GL + 5OE + K+ | 333.132 |
| 13 | 347.151 | 25.0 | 2GL + 4OE + Na+ | 347.168 |
| 14 | 363.130 | 18.8 | 2GL + 4OE + K+ | 363.142 |
| 15 | 377.169 | 29.2 | GL + 6OE + K+ | 377.158 |
| 16 | 393.985 | 100 | 3GL + 3OE + K+ | 393.153 |
| 17 | 407.147 | 16.7 | 2GL + 5OE + K+ | 407.168 |
| 18 | 421.169 | 18.8 | GL +7OE + K+ | 421.184 |
| 19 | 437.157 | 16.6 | 3GL + 4OE + K+ | 437.179 |
| 20 | 451.186 | 15.6 | 2GL + 6OE + K+ | 451.195 |
| 21 | 465.193 | 12.5 | GL + 8OE + K+ | 465.598 |
| 22 | 481.179 | 13.5 | 3GL + 5OE + K+ | 481.205 |
| 23 | 495.208 | 12.3 | 2GL + 7OE + K+ | 495.221 |
| 24 | 507.211 | 11.5 | 3GL + 6OE − H2O + K+ | 507.221 |
| 25 | 525.207 | 12.3 | 3GL + 6OE + K+ | 525.231 |
| 26 | 539.224 | 11.5 | 2GL + 8OE + K+ | 539.247 |
| 27 | 555.221 | 8.3 | 4GL + 5OE + K+ | 555.242 |
| 28 | 569.248 | 10.4 | 3GL + 7OE + K+ | 569.258 |
| 29 | 581.235 | 9.4 | 4GL + 6OE − H2O + K+ | 581.258 |
| 30 | 590.878 | 75.0 | 5GL + 5EO | 590.315 |
| 31 | 613.280 | 8.4 | 3GL + 8OE + K+ | 613.284 |
| 32 | 625.296 | 7.9 | 4GL + 7OE − H2O + K+ | 625.284 |
| 33 | 643.281 | 10.8 | 4GL + 7OE + K | 643.294 |
| 34 | 687.296 | 5.2 | 4GL + 8OE + K | 687.321 |
| Entry | Signal Position (m/z) | Relative Intensity of Signal [%] | The Molecular Ion Structure | Calc. Molecular Weight [g/mol] |
|---|---|---|---|---|
| 1. | 102.078 | 100.0 | H2O + OE + K+ | 101.001 |
| 2. | 221.802 | 10.4 | 3GL | 222.110 |
| 3. | 265.806 | 69.2 | 3 GL + OE | 266.137 |
| 4. | 322.935 | 7.7 | H2O + 3GL + OE + K+ | 323.111 |
| 5. | 336.944 | 4.3 | H2O + 2GL + 3OE + K+ | 337.127 |
| 6. | 352.948 | 3.4 | H2O + 4GL + K+ GL + 5OE + K+ | 353.121 353.288 |
| 7. | 366.947 | 9.0 | H2O + 3GL + 2OE + K+ | 367.137 |
| 8. | 396.944 | 10.6 | H2O + 4GL + OE + K+ GL + 6OE + K+ | 397.148 397.314 |
| 9. | 410.939 | 6.5 | H2O + 3GL + 3OE + K+ | 411.163 |
| 10. | 426.928 | 4.5 | 2GL + 5OE + K+ H2O + 5GL + K+ | 427.325 427.158 |
| 11. | 440.946 | 11.6 | H2O + 4GL + 2OE + K+ | 441.174 |
| 12. | 470.939 | 13.5 | 2GL + 6OE + K+ H2O + 5GL + OE + K+ | 471.351 471.184 |
| 13. | 484.94 | 8.2 | GL + 8OE + K+ H2O + 4GL + 3OE + K+ | 485.367 485.200 |
| 14. | 514.934 | 13.9 | 2GL + 7OE + K+ H2O + 5GL + 2OE + K+ | 515.377 515.211 |
| 15. | 544.937 | 14.1 | 3GL + 6OE + K+ H2O + 6GL + OE + K+ | 545.388 545.221 |
| 16. | 558.956 | 8.9 | 2GL + 8OE + K+ H2O + 5GL + 3OE + K+ | 559.404 559.237 |
| 17. | 588.956 | 13.6 | 3GL + 7OE + K+ H2O + 6GL + 2OE + K+ | 589.414 589.247 |
| 18. | 618.954 | 11.9 | 4GL + 6OE + K+ H2O + 7GL + OE + K+ | 619.425 619.258 |
| 19. | 632.962 | 9.2 | 3GL + 8OE + K+ H2O + 6GL + 3OE + K+ | 633.44 633.274 |
| 20. | 662.964 | 11.1 | 4GL + 7OE + K+ H2O + 7GL + 2OE + K+ | 663.451 663.284 |
| 21. | 691.965 | 7.1 | 4GL + 9OE | 692.383 |
| 22. | 736.992 | 5.9 | 5GL + 7OE + K+ H2O + 8GL + 2OE + K+ | 737.488 737.321 |
| 23. | 766.984 | 3.3 | 6GL + 6OE + K+ H2O + 9GL + OE + K+ | 767.498 767.332 |
| 24. | 811.008 | 2.8 | 6GL + 7OE + K+ H2O + 9GL + 2OE + K+ | 811.524 811.358 |
| 25. | 825.027 | 1.5 | H2O + 8GL + 4OE + K+ | 825.373 |
| 26. | 840.985 | 1.5 | 7GL + 6OE + K+ H2O + 10GL + OE + K+ 6GL + 9OE | 841.535 841.368 840.457 |
| 27. | 855.005 | 1.8 | 6GL + 8OE + K+ H2O + 9GL + 3OE + K+ | 855.551 855.384 |
| 28. | 884.977 | 1.8 | 7GL + 7OE + K+ H2O + 10GL + 2OE + K+ | 885.175 885.395 |
| 29. | 908.585 | 1.5 | H2O + 2GL + 16OE + K+ 7GL + 8OE + K+ | 909.467 909.431 |
| 30. | 928.995 | 1.1 | 7GL + 8OE + K+ H2O + 10GL + 3OE + K+ | 929.587 929.421 |
| 31. | 958.991 | 1.0 | 8GL + 7OE + K+ H2O + 11GL + 2OE + K+ | 959.598 959.431 |
| Polyol | Fraction Content [%] | Mn [u] | Mw [u] | Mz [u] | Mw/Mn |
|---|---|---|---|---|---|
| HPC-TEG-GL-EC | 100 | 1365 | 1969 | 3891 | 1.44 |
| 7.08 | 99,860 | 155,401 | 209,810 | 1.56 | |
| 92.92 | 1341 | 1906 | 2911 | 1.42 | |
| CNC-GL-EC | 100 | 2514 | 13,557 | 40,439 | 5.39 |
| 61.81 | 9855 | 21,081 | 42,221 | 2.14 | |
| 38.19 | 1125 | 1473 | 1791 | 1.31 | |
| CEL-H2O-GL-EC | 100 | 1650 | 2676 | 4202 | 1.62 |
| Polyol | Density [g/cm3] | Viscosity [mPa·s] | Surface Tension [N/m·10−3] | Hydroksyl Number [mg KOH/g] |
|---|---|---|---|---|
| HPC-TEG-GL-EC | 1.190 | 379,127 | 50.96 | 481 |
| CNC-GL-WE | 1.300 | 42,325 | 52.92 | 473 |
| CEL-H2O-GL-EC | 1.283 | 5538 | 49.00 | 688 |
| Polyol | Composition [g/100 g of Polyol] | IC | Foaming Process | |||||
|---|---|---|---|---|---|---|---|---|
| pMDI | Water [%] | TEA | Silicon L-6900 | Cream Time [s] | Growing Time [s] | Tack Free Time [s] | ||
| HPC-TEG-GL-EC | 175 | 2 | 0.2 | 8.8 | 1.5 | 61 | 35 | 1 |
| CNC-GL-EC | 120 | 2 | 1.3 | 3.9 | 1.0 | 32 | 32 | 1 |
| CEL-H2O-GL-EC | 160 | 2 | 0.3 | 3.1 | 1.0 | 129 | 157 | 1 |
| Foam Obtained from Polyol | Density [kg/m3] | Absorption of Water [wt%] After | Thermal Conductivity Coefficient [W/m·K] | Dimensional Stability [%] in Temperature 150 °C | |||||||
|---|---|---|---|---|---|---|---|---|---|---|---|
| 5 min | 3 h | 24 h | Length Change After | Width Change After | Hight Change After | ||||||
| 20 h | 40 h | 20 h | 40 h | 20 h | 40 h | ||||||
| HPC-TEG-GL-EC | 58.1 | 0.25 | 0.89 | 2.12 | 0.0354 | +3.13 | +4.56 | −5.07 | −4.16 | −3.53 | −2.89 |
| CNC-GL-EC | 72.9 | 1.47 | 3.12 | 4.94 | 0.0364 | −0.67 | −0.80 | −3.36 | −4.00 | −1.37 | −1.51 |
| CEL-H2O-GL-EC | 60.5 | 4.47 | 5.40 | 6.56 | 0.0338 | −0.69 | −0.44 | −1.45 | 0.27 | −2.52 | −3.06 |
| Foam Obtained from Polyol | Large Diameter [µm] | Smaller Diameter [µm] |
|---|---|---|
| HPC-TEG-GL-EC | 140 ± 14 | 90 ± 13 |
| CNC-GL-EC | 290 ± 20 | 170 ± 16 |
| CEL-H2O-GL-EC | 140 ± 15 | 110 ± 14 |
| Polyetherol | Mass Loss [wt%]. After Month Exposure in Temperature [°C] | Compressive Strength [MPa] | |||||
|---|---|---|---|---|---|---|---|
| Before Exposure | After Exposure in Temperature [°C] | ||||||
| 150 | 175 | 200 | 150 | 175 | 200 | ||
| HPC-TEG-GL-EC | 9.83 | 29.27 | 44.48 | 0.279 | 0.350 | 0.549 | 0.725 |
| CNC-GL-EC | 7.57 | 20.97 | - | 0.212 | 0.325 | 0.410 | - |
| CEL-H2O-GL-EC | 13.00 | 30.67 | 46.15 | 0.234 | 0.284 | 0.379 | 0.519 |
| Polyetherol | T5% [°C] | T10% [°C] | T25% [°C] | T50% [°C] | Tmax of Decomposition [°C] | Tg [°C] |
|---|---|---|---|---|---|---|
| HPC-TEG-GL-EC | 269 | 280 | 304 | 371 | 293 | 92 |
| CNC-GL-EC | 274 | 293 | 326 | 380 | 328 | - |
| CEL-H2O-GL-EC | 245 | 263 | 314 | 390 | 397 | 97 |
| Material | Element | |||
|---|---|---|---|---|
| C | H | O | N | |
| Polyol HPC-TEG-GL-EC | 0.4761 | 0.0912 | 0.4327 | 0 |
| Polyol CNC-GL-EC | 0.4970 | 0.0845 | 0.4185 | 0 |
| Polyol CEL-H2O-GL-EC | 0.4530 | 0.0867 | 0.4603 | 0 |
| Foam (powder) from HPC-TEG-GL-EC | 0.6385 | 0.0613 | 0.2335 | 0.0667 |
| Foam (powder) from CNC-GL-EC | 0.6237 | 0.0610 | 0.2514 | 0.0639 |
| Foam (powder) from CEL-H2O-GL-EC | 0.6182 | 0.0603 | 0.2563 | 0.0652 |
| Foam (cube) from HPC-TEG-GL-EC | 0.6385 | 0.0613 | 0.2335 | 0.0667 |
| Foam (cube) from CNC-GL-EC | 0.6237 | 0.0610 | 0.2514 | 0.0639 |
| Foam (cube) from CEL-H2O-GL-EC | 0.6182 | 0.0603 | 0.2563 | 0.0652 |
| Material | BODx [mg/L] | BOD28 [mg/L] | Sample Mass [g] | TOD Counts | TOD [mg/L] | Dt [%] |
|---|---|---|---|---|---|---|
| Polyol HPC-TEG-GL-EC | 251.0 | 242.5 | 0.24 | 9.0416 | 37.67 | 100 |
| Polyol CNC-GL-EC | 138.0 | 129.5 | 0.21 | 9.8840 | 47.07 | 100 |
| Polyol CEL-H2O-GL-EC | 209.0 | 200.5 | 0.19 | 7.8248 | 41.18 | 100 |
| PUF (powder) HPC-TEG-GL-EC | 46.5 | 38.0 | 0.21 | 15.5856 | 74.22 | 51.2 |
| PUF (powder) CNC-GL-EC | 57.8 | 49.3 | 0.20 | 14.8904 | 74.45 | 66.2 |
| PUF (powder) CEL-H2O-GL-EC | 60.6 | 52.1 | 0.20 | 14.5992 | 73.00 | 71.4 |
| PUF (cube) HPC-TEG-GL-EC | 64.8 | 56.3 | 0.21 | 15.5856 | 74.22 | 75.9 |
| PUF (cube) CNC-GL-EC | 62.0 | 53.5 | 0.20 | 14.8904 | 74.45 | 71.9 |
| PUF (cube) CEL-H2O-GL-EC | 66.2 | 57.7 | 0.21 | 14.5992 | 69.52 | 83.0 |
Disclaimer/Publisher’s Note: The statements, opinions and data contained in all publications are solely those of the individual author(s) and contributor(s) and not of MDPI and/or the editor(s). MDPI and/or the editor(s) disclaim responsibility for any injury to people or property resulting from any ideas, methods, instructions or products referred to in the content. |
© 2024 by the authors. Licensee MDPI, Basel, Switzerland. This article is an open access article distributed under the terms and conditions of the Creative Commons Attribution (CC BY) license (https://creativecommons.org/licenses/by/4.0/).
Share and Cite
Lubczak, R.; Kus-Liśkiewicz, M.; Lubczak, J.; Szpiłyk, M.; Broda, D.; Bobko, E. Biodegradable Polyurethane Foams Based on Polyols Obtained from Cellulose and Its Hydroxypropyl Derivative. Materials 2024, 17, 5490. https://doi.org/10.3390/ma17225490
Lubczak R, Kus-Liśkiewicz M, Lubczak J, Szpiłyk M, Broda D, Bobko E. Biodegradable Polyurethane Foams Based on Polyols Obtained from Cellulose and Its Hydroxypropyl Derivative. Materials. 2024; 17(22):5490. https://doi.org/10.3390/ma17225490
Chicago/Turabian StyleLubczak, Renata, Małgorzata Kus-Liśkiewicz, Jacek Lubczak, Marzena Szpiłyk, Daniel Broda, and Ewa Bobko. 2024. "Biodegradable Polyurethane Foams Based on Polyols Obtained from Cellulose and Its Hydroxypropyl Derivative" Materials 17, no. 22: 5490. https://doi.org/10.3390/ma17225490
APA StyleLubczak, R., Kus-Liśkiewicz, M., Lubczak, J., Szpiłyk, M., Broda, D., & Bobko, E. (2024). Biodegradable Polyurethane Foams Based on Polyols Obtained from Cellulose and Its Hydroxypropyl Derivative. Materials, 17(22), 5490. https://doi.org/10.3390/ma17225490

