Machine Learning and First-Principle Predictions of Materials with Low Lattice Thermal Conductivity
Abstract
1. Introduction
2. Computational Methods
2.1. Machine Learning Simulation
2.2. First-Principle Calculation
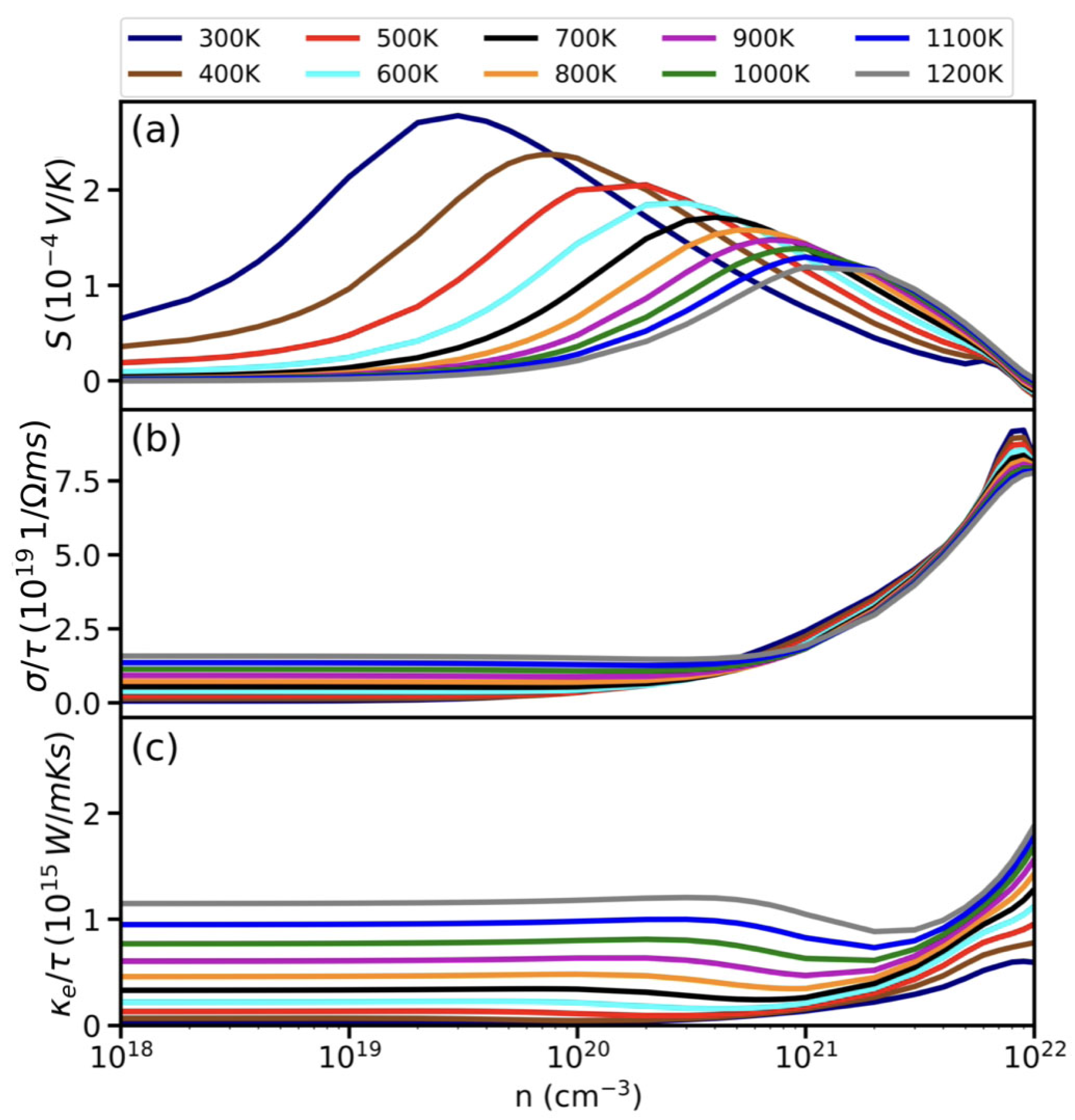
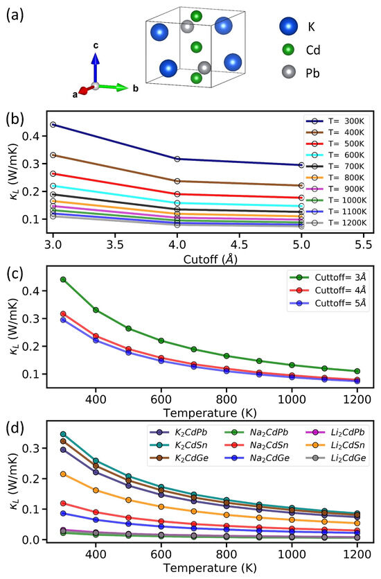
3. Results and Discussion
4. Conclusions
Author Contributions
Funding
Data Availability Statement
Acknowledgments
Conflicts of Interest
References
- He, J.; Tritt, T.M. Advances in thermoelectric materials research: Looking back and moving forward. Science 2017, 357, eaak9997. [Google Scholar] [CrossRef] [PubMed]
- Liu, W.; Hu, J.; Zhang, S.; Deng, M.; Han, C.G.; Liu, Y. New trends, strategies and opportunities in thermoelectric materials: A perspective. Mater. Today Phys. 2017, 1, 50–60. [Google Scholar] [CrossRef]
- Zevalkink, A.; Smiadak, D.M.; Blackburn, J.L.; Ferguson, A.J.; Chabinyc, M.L.; Delaire, O.; Wang, J.; Kovnir, K.; Martin, J.; Schelhas, L.T.; et al. A practical field guide to thermoelectrics: Fundamentals, synthesis, and characterization. Appl. Phys. Rev. 2018, 5, 021303. [Google Scholar] [CrossRef]
- Urban, J.J.; Menon, A.K.; Tian, Z.; Jain, A.; Hippalgaonkar, K. New horizons in thermoelectric materials: Correlated electrons, organic transport, machine learning, and more. J. Appl. Phys. 2019, 125, 180902. [Google Scholar] [CrossRef]
- Wei, J.; Yang, L.; Ma, Z.; Song, P.; Zhang, M.; Ma, J.; Yang, F.; Wang, X. Review of current high-ZT thermoelectric materials. J. Mater. Sci. 2020, 55, 12642–12704. [Google Scholar] [CrossRef]
- Hasan, M.N.; Wahid, H.; Nayan, N.; Mohamed Ali, M.S. Inorganic thermoelectric materials: A review. Int. J. Energy Res. 2020, 44, 6170–6222. [Google Scholar] [CrossRef]
- Zoui, M.A.; Bentouba, S.; Stocholm, J.G.; Bourouis, M. A review on thermoelectric generators: Progress and applications. Energies 2020, 13, 3606. [Google Scholar] [CrossRef]
- Jaziri, N.; Boughamoura, A.; Müller, J.; Mezghani, B.; Tounsi, F.; Ismail, M. A comprehensive review of Thermoelectric Generators: Technologies and common applications. Energy Rep. 2020, 6, 264–287. [Google Scholar] [CrossRef]
- Pei, Y.L.; Wu, H.; Wu, D.; Zheng, F.; He, J. High thermoelectric performance realized in a BiCuSeO system by improving carrier mobility through 3D modulation doping. J. Am. Chem. Soc. 2014, 136, 13902–13908. [Google Scholar] [CrossRef]
- Lee, K.H.; Kim, S.I.; Mun, H.; Ryu, B.; Choi, S.M.; Park, H.J.; Hwang, S.; Kim, S.W. Enhanced thermoelectric performance of n-type Cu0.008Bi2Te2.7Se0.3 by band engineering. J. Mater. Chem. C 2015, 3, 10604–10609. [Google Scholar] [CrossRef]
- Lu, X.; Morelli, D.T.; Xia, Y.; Ozolins, V. Increasing the thermoelectric figure of merit of tetrahedrites by co-doping with nickel and zinc. Chem. Mater. 2015, 27, 408–413. [Google Scholar] [CrossRef]
- Jiang, B.; Yu, Y.; Chen, H.; Cui, J.; Liu, X.; Xie, L.; He, J. Entropy engineering promotes thermoelectric performance in p-type chalcogenides. Nat. Commun. 2021, 12, 3234. [Google Scholar] [CrossRef]
- Ma, Z.; Wei, J.; Song, P.; Zhang, M.; Yang, L.; Ma, J.; Liu, W.; Yang, F.; Wang, X. Review of experimental approaches for improving zT of thermoelectric materials. Mater. Sci. Semicond. Process. 2021, 121, 105303. [Google Scholar] [CrossRef]
- Ghosh, T.; Dutta, M.; Sarkar, D.; Biswas, K. Insights into low thermal conductivity in inorganic materials for thermoelectrics. J. Am. Chem. Soc. 2022, 144, 10099–10118. [Google Scholar] [CrossRef]
- Ding, C.H.; Duan, Z.F.; Ding, Z.K.; Pan, H.; Wang, J.; Xiao, W.H.; Liu, W.P.; Li, Q.Q.; Luo, N.N.; Zeng, J.; et al. XMoSiN2 (X = S, Se, Te): A novel 2D Janus semiconductor with ultra-high carrier mobility and excellent thermoelectric performance. Europhys. Lett. 2023, 143, 16002. [Google Scholar] [CrossRef]
- Zhu, T.; He, R.; Gong, S.; Xie, T.; Gorai, P.; Nielsch, K.; Grossman, J.C. Charting lattice thermal conductivity for inorganic crystals and discovering rare earth chalcogenides for thermoelectrics. Energy Environ. Sci. 2021, 14, 3559–3566. [Google Scholar] [CrossRef]
- Loftis, C.; Yuan, K.; Zhao, Y.; Hu, M.; Hu, J. Lattice thermal conductivity prediction using symbolic regression and machine learning. J. Phys. Chem. A 2020, 125, 435–450. [Google Scholar] [CrossRef]
- Tranås, R.; Løvvik, O.M.; Tomic, O.; Berland, K. Lattice thermal conductivity of half-Heuslers with density functional theory and machine learning: Enhancing predictivity by active sampling with principal component analysis. Comput. Mater. Sci. 2022, 202, 110938. [Google Scholar] [CrossRef]
- Chester, G.; Thellung, A. The law of Wiedemann and Franz. Proc. Phys. Soc. 1961, 77, 1005. [Google Scholar] [CrossRef]
- Seko, A.; Togo, A.; Hayashi, H.; Tsuda, K.; Chaput, L.; Tanaka, I. Prediction of low-thermal-conductivity compounds with first-principles anharmonic lattice-dynamics calculations and Bayesian optimization. Phys. Rev. Lett. 2015, 115, 205901. [Google Scholar] [CrossRef]
- Yang, L.; Huh, D.; Ning, R.; Rapp, V.; Zeng, Y.; Liu, Y.; Ju, S.; Tao, Y.; Jiang, Y.; Beak, J.; et al. High thermoelectric figure of merit of porous Si nanowires from 300 to 700 K. Nat. Commun. 2021, 12, 3926. [Google Scholar] [CrossRef] [PubMed]
- Lin, C.M.; Chen, W.C.; Chen, C.C. First-principles study of strain effect on the thermoelectric properties of LaP and LaAs. Phys. Chem. Chem. Phys. 2021, 23, 18189–18196. [Google Scholar] [CrossRef] [PubMed]
- Wu, C.W.; Ren, X.; Xie, G.; Zhou, W.X.; Zhang, G.; Chen, K.Q. Enhanced high-temperature thermoelectric performance by strain engineering in BiOCl. Phys. Rev. Appl. 2022, 18, 014053. [Google Scholar] [CrossRef]
- Govindaraj, P.; Sivasamy, M.; Murugan, K.; Venugopal, K.; Veluswamy, P. Pressure-driven thermoelectric properties of defect chalcopyrite structured ZnGa2Te4: Ab initio study. RSC Adv. 2022, 12, 12573–12582. [Google Scholar] [CrossRef]
- Qi, H.; Qu, T.; Liu, Z.; Qiu, Z.; Li, C.; Yue, S.; Guo, J. Large enhancement of thermoelectric properties of CoSb3 tuned by uniaxial strain. J. Alloys Compd. 2022, 908, 164404. [Google Scholar] [CrossRef]
- Xia, M.; Zhao, L.; Chang, Y.; Liu, H.; Zhang, G.; Zhou, W.; Zhao, J.; Gao, J. Strain controlled thermal regulator realized in two-dimensional black and blue phosphorene in-plane heterostructure. Phys. Rev. B 2024, 109, 104106. [Google Scholar] [CrossRef]
- Gorai, P.; Stevanović, V.; Toberer, E.S. Computationally guided discovery of thermoelectric materials. Nat. Rev. Mater. 2017, 2, 17053. [Google Scholar] [CrossRef]
- Puligheddu, M.; Xia, Y.; Chan, M.; Galli, G. Computational prediction of lattice thermal conductivity: A comparison of molecular dynamics and Boltzmann transport approaches. Phys. Rev. Mater. 2019, 3, 085401. [Google Scholar] [CrossRef]
- Xia, Y.; Hegde, V.I.; Pal, K.; Hua, X.; Gaines, D.; Patel, S.; He, J.; Aykol, M.; Wolverton, C. High-throughput study of lattice thermal conductivity in binary rocksalt and zinc blende compounds including higher-order anharmonicity. Phys. Rev. X 2020, 10, 041029. [Google Scholar] [CrossRef]
- He, J.; Xia, Y.; Lin, W.; Pal, K.; Zhu, Y.; Kanatzidis, M.G.; Wolverton, C. Accelerated discovery and design of ultralow lattice thermal conductivity materials using chemical bonding principles. Adv. Funct. Mater. 2022, 32, 2108532. [Google Scholar] [CrossRef]
- Xia, Y.; Gaines, D.; He, J.; Pal, K.; Li, Z.; Kanatzidis, M.G.; Ozoliņš, V.; Wolverton, C. A unified understanding of minimum lattice thermal conductivity. Proc. Natl. Acad. Sci. USA 2023, 120, e2302541120. [Google Scholar] [CrossRef] [PubMed]
- Ma, N.; Xiao, C.; Xie, Y. Multilayer Approach for Ultralow Lattice Thermal Conductivity in Low-Dimensional Solids. Accounts Mater. Res. 2024, 5, 286–294. [Google Scholar] [CrossRef]
- Gaultois, M.W.; Sparks, T.D.; Borg, C.K.; Seshadri, R.; Bonificio, W.D.; Clarke, D.R. Data-driven review of thermoelectric materials: Performance and resource considerations. Chem. Mater. 2013, 25, 2911–2920. [Google Scholar] [CrossRef]
- Furmanchuk, A.; Saal, J.E.; Doak, J.W.; Olson, G.B.; Choudhary, A.; Agrawal, A. Prediction of seebeck coefficient for compounds without restriction to fixed stoichiometry: A machine learning approach. J. Comput. Chem. 2018, 39, 191–202. [Google Scholar] [CrossRef] [PubMed]
- Choudhary, K.; Garrity, K.F.; Tavazza, F. Data-driven discovery of 3D and 2D thermoelectric materials. J. Phys. Condens. Matter 2020, 32, 475501. [Google Scholar] [CrossRef] [PubMed]
- Wang, T.; Zhang, C.; Snoussi, H.; Zhang, G. Machine learning approaches for thermoelectric materials research. Adv. Funct. Mater. 2020, 30, 1906041. [Google Scholar] [CrossRef]
- Liu, J.; Han, S.; Cao, G.; Zhou, Z.; Sheng, C.; Liu, H. A high-throughput descriptor for prediction of lattice thermal conductivity of half-Heusler compounds. J. Phys. D Appl. Phys. 2020, 53, 315301. [Google Scholar] [CrossRef]
- Chen, W.C.; Schmidt, J.N.; Yan, D.; Vohra, Y.K.; Chen, C.C. Machine learning and evolutionary prediction of superhard BCN compounds. NPJ Comput. Mater. 2021, 7, 114. [Google Scholar] [CrossRef]
- Mbaye, M.T.; Pradhan, S.K.; Bahoura, M. Data-driven thermoelectric modeling: Current challenges and prospects. J. Appl. Phys. 2021, 130, 190902. [Google Scholar] [CrossRef]
- Han, G.; Sun, Y.; Feng, Y.; Lin, G.; Lu, N. Machine learning regression guided thermoelectric materials discovery—A review. ES Mater. Manuf. 2021, 14, 20–35. [Google Scholar] [CrossRef]
- An, Y. (Ed.) Machine Learning in Materials Informatics: Methods and Applications; ACS Publications: Washington, DC, USA, 2022. [Google Scholar] [CrossRef]
- Wang, X.; Sheng, Y.; Ning, J.; Xi, J.; Xi, L.; Qiu, D.; Yang, J.; Ke, X. A critical review of machine learning techniques on thermoelectric materials. J. Phys. Chem. Lett. 2023, 14, 1808–1822. [Google Scholar] [CrossRef] [PubMed]
- Wu, C.W.; Li, F.; Zeng, Y.J.; Zhao, H.; Xie, G.; Zhou, W.X.; Liu, Q.; Zhang, G. Machine learning accelerated design of 2D covalent organic frame materials for thermoelectrics. Appl. Surf. Sci. 2023, 638, 157947. [Google Scholar] [CrossRef]
- Purcell, T.A.; Scheffler, M.; Ghiringhelli, L.M.; Carbogno, C. Accelerating materials-space exploration for thermal insulators by mapping materials properties via artificial intelligence. NPJ Comput. Mater. 2023, 9, 112. [Google Scholar] [CrossRef]
- Liu, L.; Yao, M.; Wang, Y.; Jin, Y.; Ji, J.; Luo, H.; Cao, Y.; Xiong, Y.; Sheng, Y.; Li, X.; et al. The MatHub-3d first-principles repository and the applications on thermoelectrics. Mater. Genome Eng. Adv. 2024, 2, e21. [Google Scholar] [CrossRef]
- Soleimani, Z.; Zoras, S.; Ceranic, B.; Shahzad, S.; Cui, Y. A review on recent developments of thermoelectric materials for room-temperature applications. Sustain. Energy Technol. Assess. 2020, 37, 100604. [Google Scholar] [CrossRef]
- Gorai, P.; Gao, D.; Ortiz, B.; Miller, S.; Barnett, S.A.; Mason, T.; Lv, Q.; Stevanović, V.; Toberer, E.S. TE Design Lab: A virtual laboratory for thermoelectric material design. Comput. Mater. Sci. 2016, 112, 368–376. [Google Scholar] [CrossRef]
- Ward, L.; Dunn, A.; Faghaninia, A.; Zimmermann, N.E.; Bajaj, S.; Wang, Q.; Montoya, J.; Chen, J.; Bystrom, K.; Dylla, M.; et al. Matminer: An open source toolkit for materials data mining. Comput. Mater. Sci. 2018, 152, 60–69. [Google Scholar] [CrossRef]
- Chen, L.; Tran, H.; Batra, R.; Kim, C.; Ramprasad, R. Machine learning models for the lattice thermal conductivity prediction of inorganic materials. Comput. Mater. Sci. 2019, 170, 109155. [Google Scholar] [CrossRef]
- Callaway, J. Model for lattice thermal conductivity at low temperatures. Phys. Rev. 1959, 113, 1046. [Google Scholar] [CrossRef]
- Slack, G.A. Nonmetallic crystals with high thermal conductivity. J. Phys. Chem. Solids 1973, 34, 321–335. [Google Scholar] [CrossRef]
- Smith, A.D.; Harris, S.B.; Camata, R.P.; Yan, D.; Chen, C.C. Machine learning the relationship between Debye temperature and superconducting transition temperature. Phys. Rev. B 2023, 108, 174514. [Google Scholar] [CrossRef]
- Ho, T.K. The random subspace method for constructing decision forests. IEEE Trans. Pattern Anal. Mach. Intell. 1998, 20, 832–844. [Google Scholar] [CrossRef]
- Breiman, L. Random forests. Mach. Learn. 2001, 45, 5–32. [Google Scholar] [CrossRef]
- Pedregosa, F.; Varoquaux, G.; Gramfort, A.; Michel, V.; Thirion, B.; Grisel, O.; Blondel, M.; Prettenhofer, P.; Weiss, R.; Dubourg, V.; et al. Scikit-learn: Machine learning in Python. J. Mach. Learn. Res. 2011, 12, 2825–2830. [Google Scholar]
- Kresse, G.; Furthmüller, J. Efficiency of ab-initio total energy calculations for metals and semiconductors using a plane-wave basis set. Comput. Mater. Sci. 1996, 6, 15–50. [Google Scholar] [CrossRef]
- Kresse, G.; Furthmüller, J. Efficient iterative schemes for ab initio total-energy calculations using a plane-wave basis set. Phys. Rev. B 1996, 54, 11169. [Google Scholar] [CrossRef]
- Blöchl, P.E. Projector augmented-wave method. Phys. Rev. B 1994, 50, 17953. [Google Scholar] [CrossRef] [PubMed]
- Kresse, G.; Joubert, D. From ultrasoft pseudopotentials to the projector augmented-wave method. Phys. Rev. B 1999, 59, 1758. [Google Scholar] [CrossRef]
- Perdew, J.P.; Burke, K.; Ernzerhof, M. Generalized gradient approximation made simple. Phys. Rev. Lett. 1996, 77, 3865. [Google Scholar] [CrossRef]
- Monkhorst, H.J.; Pack, J.D. Special points for Brillouin-zone integrations. Phys. Rev. B 1976, 13, 5188. [Google Scholar] [CrossRef]
- Madsen, G.K.; Carrete, J.; Verstraete, M.J. BoltzTraP2, a program for interpolating band structures and calculating semi-classical transport coefficients. Comput. Phys. Commun. 2018, 231, 140–145. [Google Scholar] [CrossRef]
- Togo, A.; Tanaka, I. First principles phonon calculations in materials science. Scr. Mater. 2015, 108, 1–5. [Google Scholar] [CrossRef]
- Togo, A.; Chaput, L.; Tanaka, I. Distributions of phonon lifetimes in Brillouin zones. Phys. Rev. B 2015, 91, 094306. [Google Scholar] [CrossRef]
- Togo, A.; Chaput, L.; Tadano, T.; Tanaka, I. Implementation strategies in phonopy and phono3py. J. Phys. Condens. Matter 2023, 35, 353001. [Google Scholar] [CrossRef]
- Momma, K.; Izumi, F. VESTA 3 for three-dimensional visualization of crystal, volumetric and morphology data. J. Appl. Crystallogr. 2011, 44, 1272–1276. [Google Scholar] [CrossRef]
- Periodic Trend Plotter. Available online: https://github.com/Andrew-S-Rosen/periodic_trends (accessed on 8 August 2024).
- Dutta, M.; Samanta, M.; Ghosh, T.; Voneshen, D.J.; Biswas, K. Evidence of highly anharmonic soft lattice vibrations in a Zintl rattler. Angew. Chem. 2021, 133, 4305–4311. [Google Scholar] [CrossRef]
- Chen, Z.; Zhang, X.; Pei, Y. Manipulation of phonon transport in thermoelectrics. Adv. Mater. 2018, 30, 1705617. [Google Scholar] [CrossRef]
- Chang, C.; Zhao, L.D. Anharmoncity and low thermal conductivity in thermoelectrics. Mater. Today Phys. 2018, 4, 50–57. [Google Scholar] [CrossRef]
- Toberer, E.S.; May, A.F.; Snyder, G.J. Zintl chemistry for designing high efficiency thermoelectric materials. Chem. Mater. 2010, 22, 624–634. [Google Scholar] [CrossRef]
- Zevalkink, A.; Zeier, W.G.; Pomrehn, G.; Schechtel, E.; Tremel, W.; Snyder, G.J. Thermoelectric properties of Sr3GaSb3—A chain-forming Zintl compound. Energy Environ. Sci. 2012, 5, 9121–9128. [Google Scholar] [CrossRef]
- Ding, G.; He, J.; Cheng, Z.; Wang, X.; Li, S. Low lattice thermal conductivity and promising thermoelectric figure of merit of Zintl type TlInTe2. J. Mater. Chem. C 2018, 6, 13269–13274. [Google Scholar] [CrossRef]
- Yin, Y.; Baskaran, K.; Tiwari, A. A review of strategies for developing promising thermoelectric materials by controlling thermal conduction. Phys. Status Solidi A 2019, 216, 1800904. [Google Scholar] [CrossRef]
- Cai, B.; Hu, H.; Zhuang, H.L.; Li, J.F. Promising materials for thermoelectric applications. J. Alloys Compd. 2019, 806, 471–486. [Google Scholar] [CrossRef]
- Guo, K.; Weng, T.; Jiang, Y.; Zhu, Y.; Li, H.; Yuan, S.; Yang, J.; Zhang, J.; Luo, J.; Grin, Y.; et al. Unveiling the origins of low lattice thermal conductivity in 122-phase Zintl compounds. Mater. Today Phys. 2021, 21, 100480. [Google Scholar] [CrossRef]
- Wang, S.F.; Zhang, J.R.; Wang, F.W. Acoustic phonon softening enhances phonon scattering in Zintl-phase II-IV compounds. Phys. Rev. B 2023, 108, 235213. [Google Scholar] [CrossRef]
- Tranås, R.; Løvvik, O.M.; Berland, K. Lattice Thermal Conductivity from First Principles and Active Learning with Gaussian Process Regression. arXiv 2023, arXiv:2309.06786. [Google Scholar] [CrossRef]
- Pandey, T.; Singh, A.K. High thermopower and ultra low thermal conductivity in Cd-based Zintl phase compounds. Phys. Chem. Chem. Phys. 2015, 17, 16917–16926. [Google Scholar] [CrossRef]
- Zhang, J.; He, D.; Jiang, H.; Xia, X.; Gao, Y.; Huang, Z. Remarkable Thermoelectric Performance in K2CdPb Crystals with 1D Building Blocks via Structure Particularity and Bond Heterogeneity. ACS Appl. Energy Mater. 2022, 5, 5146–5158. [Google Scholar] [CrossRef]
- Koley, B.; Lakshan, A.; Raghuvanshi, P.R.; Singh, C.; Bhattacharya, A.; Jana, P.P. Ultralow lattice thermal conductivity at room temperature in Cu4TiSe4. Angew. Chem. 2021, 133, 9188–9195. [Google Scholar] [CrossRef]
- Fallah, M.; Moghaddam, H.M. Ultra-low lattice thermal conductivity and high thermoelectric efficiency in Cs2SnX6 (X = Br, I): A DFT study. Mater. Sci. Semicond. Process. 2021, 133, 105984. [Google Scholar] [CrossRef]
- Gibson, Q.D.; Zhao, T.; Daniels, L.M.; Walker, H.C.; Daou, R.; Hébert, S.; Zanella, M.; Dyer, M.S.; Claridge, J.B.; Slater, B.; et al. Low thermal conductivity in a modular inorganic material with bonding anisotropy and mismatch. Science 2021, 373, 1017–1022. [Google Scholar] [CrossRef] [PubMed]
- Zhang, T.; Yu, T.; Ning, S.; Zhang, Z.; Qi, N.; Jiang, M.; Chen, Z. Extremely Low Lattice Thermal Conductivity Leading to Superior Thermoelectric Performance in Cu4TiSe4. ACS Appl. Mater. Interfaces 2023, 15, 32453–32462. [Google Scholar] [CrossRef] [PubMed]
- Cutler, M.; Leavy, J.; Fitzpatrick, R. Electronic transport in semimetallic cerium sulfide. Phys. Rev. 1964, 133, A1143. [Google Scholar] [CrossRef]
- Snyder, G.J.; Toberer, E.S. Complex thermoelectric materials. Nat. Mater. 2008, 7, 105–114. [Google Scholar] [CrossRef] [PubMed]
- Glassbrenner, C.J.; Slack, G.A. Thermal conductivity of silicon and germanium from 3 K to the melting point. Phys. Rev. 1964, 134, A1058. [Google Scholar] [CrossRef]
- Shi, H.; Parker, D.; Du, M.H.; Singh, D.J. Connecting thermoelectric performance and topological-insulator behavior: Bi2Te3 and Bi2Te2Se from first principles. Phys. Rev. Appl. 2015, 3, 014004. [Google Scholar] [CrossRef]
- Gong, J.; Hong, A.; Shuai, J.; Li, L.; Yan, Z.; Ren, Z.; Liu, J.M. Investigation of the bipolar effect in the thermoelectric material CaMg2Bi2 using a first-principles study. Phys. Chem. Chem. Phys. 2016, 18, 16566–16574. [Google Scholar] [CrossRef]





| Methods | K2CdPb | K2CdSn | K2CdGe | Na2CdPb | Na2CdSn | Na2CdGe | Li2CdPb | Li2CdSn | Li2CdGe |
|---|---|---|---|---|---|---|---|---|---|
| ML | 0.69 | 0.79 | 0.8 | 0.84 | 0.76 | 0.87 | 0.95 | 0.71 | 0.77 |
| DFT | 0.295 | 0.346 | 0.323 | 0.022 | 0.119 | 0.086 | 0.032 | 0.215 | 0.028 |
| ML + Weight 5 | 0.56 | 0.35 | 0.37 | 0.45 | 0.63 | 0.119 | 0.68 | 0.27 | 0.4 |
| ML + Weight 10 | 0.469 | 0.29 | 0.62 | 0.43 | 0.37 | 0.58 | 0.76 | 0.4 | 0.22 |
Disclaimer/Publisher’s Note: The statements, opinions and data contained in all publications are solely those of the individual author(s) and contributor(s) and not of MDPI and/or the editor(s). MDPI and/or the editor(s) disclaim responsibility for any injury to people or property resulting from any ideas, methods, instructions or products referred to in the content. |
© 2024 by the authors. Licensee MDPI, Basel, Switzerland. This article is an open access article distributed under the terms and conditions of the Creative Commons Attribution (CC BY) license (https://creativecommons.org/licenses/by/4.0/).
Share and Cite
Lin, C.-M.; Khatri, A.; Yan, D.; Chen, C.-C. Machine Learning and First-Principle Predictions of Materials with Low Lattice Thermal Conductivity. Materials 2024, 17, 5372. https://doi.org/10.3390/ma17215372
Lin C-M, Khatri A, Yan D, Chen C-C. Machine Learning and First-Principle Predictions of Materials with Low Lattice Thermal Conductivity. Materials. 2024; 17(21):5372. https://doi.org/10.3390/ma17215372
Chicago/Turabian StyleLin, Chia-Min, Abishek Khatri, Da Yan, and Cheng-Chien Chen. 2024. "Machine Learning and First-Principle Predictions of Materials with Low Lattice Thermal Conductivity" Materials 17, no. 21: 5372. https://doi.org/10.3390/ma17215372
APA StyleLin, C.-M., Khatri, A., Yan, D., & Chen, C.-C. (2024). Machine Learning and First-Principle Predictions of Materials with Low Lattice Thermal Conductivity. Materials, 17(21), 5372. https://doi.org/10.3390/ma17215372

